Analysis of Urban Woody Plant Diversity among Different Administrative Districts and the Enhancement Strategy in Changchun City, China
Abstract
:1. Introduction
2. Methods
2.1. Study Area
2.2. Plot Selection and Investigation
Species Diversity Indices and Important Value (IV) Calculation
2.3. Landscape Pattern Indices Selection and Calculation
2.4. Data Analysis
3. Results and Discussion
3.1. Species Composition and Important Values in Different Administrative Districts
3.2. Spatial Pattern of Species Diversity Attributes in Different Administrative Districts
3.3. PCA and Dissimilarity Analysis of Species Composition in Different Administrative Districts
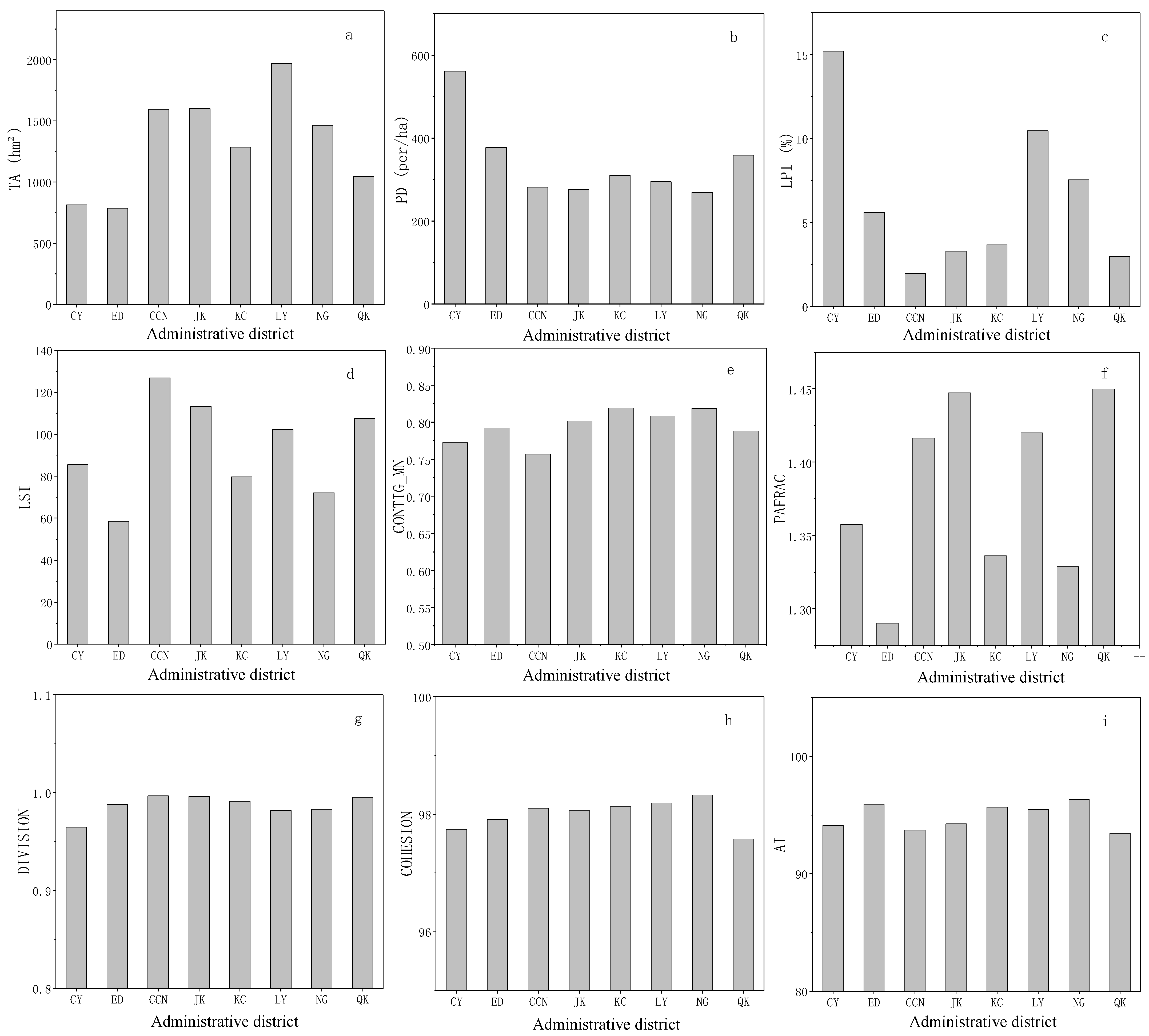
3.4. Characteristics of Urban Forest Landscape Pattern in Different Administrative Districts
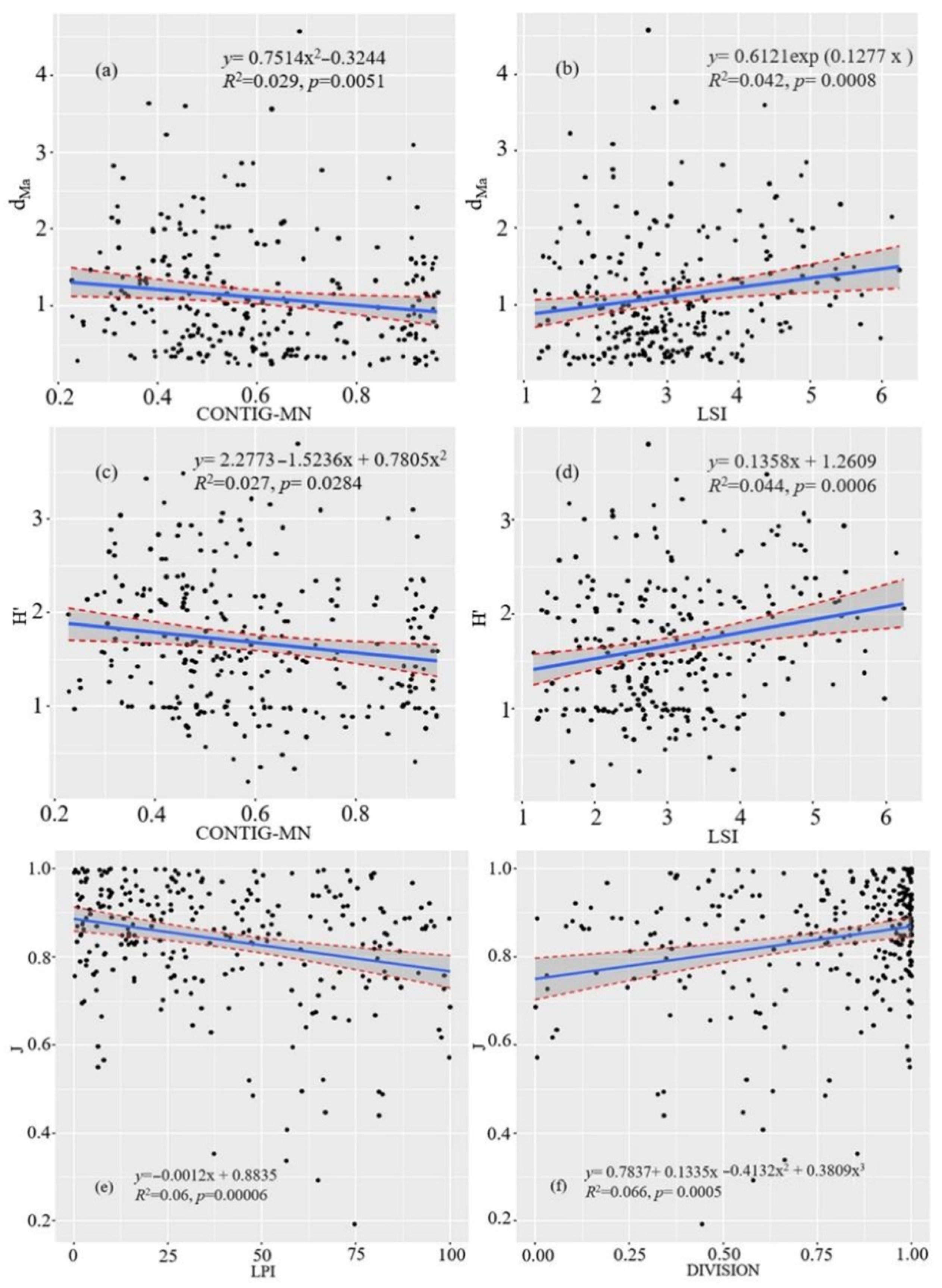
3.5. Correlation Analysis between Species Diversity Attributes and Landscape Pattern Indices in Different Administrative Districts
4. Discussion
4.1. Species Composition and Diversity in Different Administrative Districts
4.2. Influencing Factors of Species Diversity Characteristics in Different Administrative Districts
4.3. Suggestions on the Selection of Urban Forest Species and Landscape Pattern Regulation in Different Administrative Districts of Changchun
5. Conclusions
Author Contributions
Funding
Institutional Review Board Statement
Informed Consent Statement
Data Availability Statement
Conflicts of Interest
Appendix A
| Landscape Index | Formula |
|---|---|
| Landscape Area (TA) | A = Total landscape area (m2); TA > 0; unit, hectare. |
| PD | N = Total number of plaques; PD > 0; unit, per/100 hectare |
| Largest Patch Index (LPI) | |
| Mean Shape Index (LSI) | A = Total landscape area (m2); E = Total landscape edge length |
| CONTIG-MN | cijr = Connectivity value of patch r within patch ij, v = 3 × 3 sum of temporary pixel values, aij = the area of patch ji consisting of a single member of multiple pixels |
| PAFRAC | aij = area of patch ij; pij = perimeter of patch ij; ni = number of plaques |
| DIVISION | aij = Area of patch ij (m2); A = Total landscape area (m2) |
| COHESION | pij = Side length of patch ij within the cell involved, aij = Area of patch ij within the cell involved, Z = The number of units in the landscape. 1 < COHESION < 100 |
| AI | (100) gii = Number of similar adjacent patches for corresponding landscape types |
Appendix B
| Latin Name | Abbreviation |
|---|---|
| Abies nephrolepis (Trautv.) Maxim | Abi nep |
| Acer tataricum subsp. ginnala (Maxim.) Wesmael | Ace gin |
| Acer pictum subsp. mono (Maxim.) H. Ohashi | Ace mon |
| Acer negundo L. | Ace neg |
| Acer triflorum Kom. | Ace tri |
| Albizia kalkora (Roxb.) Prain | Alb kal |
| Armeniaca mandshurica (Maxim.) Skv. | Arm man |
| Betula platyphylla Suk. | Bet pla |
| Catalpa ovata G. Don | Cat ova |
| Cornus alba L. | Cor alb |
| Crataegus pinnatifida Bge. | Cra |
| Euonymus alatus (Thunb.) Sieb. | Euo ala |
| Fraxinus mandshurica Rupr. | Fra man |
| Fraxinus chinensis subsp. rhynchophylla (Hance) E. Murray | Fra rhy |
| Larix gmelinii (Rupr.) Kuzen. | Lar gme |
| Malus prunifolia (Willd.) Borkh. | Mal pru |
| Padus avium Miller | Pad avi |
| Picea koraiensis Nakai | Pic kor |
| Pinus koraiensis Siebold et Zuccarini | Pin kor |
| Pinus sylvestris L. | Pin syl mon |
| Pinus sylvestris var. sylvestriformis (Takenouchi) Cheng et C.D. Chu | Pin syl syl |
| Pinus tabuliformis Carrière | Pin tab |
| Populus alba L. | Pop alb |
| Populus alba var. pyramidalis Bunge | Pop alb pyr |
| Populus maximowiczii A. Henry | Pop max |
| Populus × canadensis Moench | Pop can |
| Populus ussuriensis Kom. | Pop uss |
| Populus davidiana Dode | Pop dav |
| Prunus davidiana (Carrière) Franch. | Pru dav |
| Prunus triloba (Lindl.) Ricker | Pru tri |
| Prunus ussuriensis Kovalev & Kostina | Pru uss |
| Quercus mongolica Fischer ex Ledebour | Que mon |
| Rhus typhina L. | Rhu typ |
| Rosa xanthina Lindl. | Ros xan |
| Salix babylonica L. | Sal bab |
| Salix matsudana Koidz | Swi mat |
| Syringa oblata Lindl. | Syr obl |
| Syringa pubescens subsp. microphylla (Diels) M. C. Chang & X. L. Chen | Syr pub |
| Syringa villosa Vahl | Syr vil |
| Taxus cuspidata Sieb. et Zucc | Tax chi |
| Ulmus densa Litw. | Ulm den |
| Ulmus pumila L. | Ulm pum |
| Ulmus pumila ‘Tenue’ S.Y.Wang | Ulm pum Ten |
| Viburnum macrocephalum Fort. | Vib mac |
| Weigela florida (Bunge) A. DC. | Wei flo |
References
- Grimm, N.B.; Faeth, S.H.; Golubiewski, N.E.; Redman, C.L.; Wu, J.; Bai, X.; Briggs, J.M. Global change and the ecology of cities. Science 2008, 319, 756–760. [Google Scholar] [CrossRef] [PubMed] [Green Version]
- Güneralp, B.; Seto, K.C. Futures of global urban expansion: Uncertainties and implications for biodiversity conservation. Environ. Res. Lett. 2013, 8, 014025. [Google Scholar] [CrossRef]
- Seto, K.C.; Güneralp, B.; Hutyra, L.R. Global forecasts of urban expansion to 2030 and direct impacts on biodiversity and carbon pools. Proc. Natl. Acad. Sci. USA 2012, 109, 16083–16088. [Google Scholar] [CrossRef] [PubMed] [Green Version]
- Shwartz, A.; Turbé, A.; Simon, L.; Julliard, R. Enhancing urban biodiversity and its influence on city-dwellers: An experiment. Biol. Conserv. 2014, 171, 82–90. [Google Scholar] [CrossRef]
- Botzat, A.; Fischer, L.K.; Kowarik, I. Unexploited opportunities in understanding liveable and biodiverse cities. A review on urban biodiversity perception and valuation. Global Environ. Chang. 2016, 39, 220–233. [Google Scholar] [CrossRef]
- Wu, J.; Jenerette, G.D.; Buyantuyev, A.; Redman, C.L. Quantifying spatiotemporal patterns of urbanization: The case of the two fastest growing metropolitan regions in the United States. Ecol. Complex. 2011, 8, 1–8. [Google Scholar] [CrossRef]
- Li-Xia, Z.; Feng, Z.; Tie-Liang, S. Vegetation diversity of Luya Mountains. Biodiv. Sci. 2000, 8, 361. [Google Scholar] [CrossRef]
- Morgenroth, J.; Östberg, J.; van den Bosch, C.K.; Nielsen, A.B.; Hauer, R.; Sjöman, H.; Chen, W.; Jansson, M. Urban tree diversity—Taking stock and looking ahead. Urban. For. Urban. Gree. 2016, 15, 1–5. [Google Scholar] [CrossRef] [Green Version]
- Jim, C.Y.; Liu, H.T. Species diversity of three major urban forest types in Guangzhou City, China. Forest Ecol. Manag. 2001, 146, 99–114. [Google Scholar] [CrossRef]
- Goddard, M.A.; Dougill, A.J.; Benton, T.G. Scaling up from gardens: Biodiversity conservation in urban environments. Trends Ecol. Evol. 2010, 25, 90–98. [Google Scholar] [CrossRef]
- Burton, M.L.; Samuelson, L.J.; Mackenzie, M.D. Riparian woody plant traits across an urban–rural land use gradient and implications for watershed function with urbanization. Landscape Urban Plan. 2009, 90, 42–55. [Google Scholar] [CrossRef]
- Ranta, P.; Viljanen, V. Vascular plants along an urban-rural gradient in the city of Tampere, Finland. Urban Ecosyst. 2011, 14, 361–376. [Google Scholar] [CrossRef]
- Xu, K.; Wu, Z.; Chen, J. Comparison of species diversity of different urban forest types in Hefei City. J. Northeast Agric. Univ. 2010, 38, 26–30. [Google Scholar]
- Lin, L.P.; Tian, D.L.; Yan, W.D.; Liu, Q.; Guo, Y.; Zhu, J. Study on species diversity of three different forest types of karst vegetation in Guiyang. J. Cent. South Univ. T. 2011, 31, 127–134. [Google Scholar]
- Walker, J.S.; Grimm, N.B.; Briggs, J.M.; Gries, C.; Dugan, L. Effects of urbanization on plant species diversity in central Arizona. Front. Ecol. Environ. 2009, 7, 465–470. [Google Scholar] [CrossRef]
- Conway, T.M.; Urbani, L. Variations in municipal urban forestry policies: A case study of Toronto, Canada. Urban For Urban Gree. 2007, 6, 181–192. [Google Scholar] [CrossRef]
- Luck, G.W.; Smallbone, L.T.; O’Brien, R. Socio-economics and vegetation change in urban ecosystems: Patterns in space and time. Ecosystems 2009, 12, 604–620. [Google Scholar] [CrossRef]
- He, Y.J. Socioeconomic Factors and Green Space Management Influence Plant Diversity Pattern along Urban-Rural Gradient in Shanghai, China. Master’s Thesis, East China Normal University, Shanghai, China, 2015. [Google Scholar]
- Hope, D.; Gries, C.; Zhu, W.; Fagan, W.F.; Redman, C.L.; Grimm, N.B.; Nelson, A.L.; Martin, C.; Kinzig, A. Socioeconomics drive urban plant diversity. Proc. Natl. Acad. Sci. USA 2003, 100, 8788–8792. [Google Scholar] [CrossRef] [Green Version]
- Martin, C.A.; Warren, P.S.; Kinzig, A.P. Neighborhood socioeconomic status is a useful predictor of perennial landscape vegetation in residential neighborhoods and embedded small parks of Phoenix, AZ. Landscape Urban Plan. 2004, 69, 355–368. [Google Scholar] [CrossRef]
- Kirkpatrick, J.B.; Daniels, G.D.; Zagorski, T. Explaining variation in front gardens between suburbs of Hobart, Tasmania, Australia. Landscape Urban Plan. 2007, 79, 314–322. [Google Scholar] [CrossRef]
- McKinney, M.L. Urbanization, Biodiversity, and Conservation The impacts of urbanization on native species are poorly studied, but educating a highly urbanized human population about these impacts can greatly improve species conservation in all ecosystems. Bioscience 2002, 52, 883–890. [Google Scholar] [CrossRef]
- FAN, M.; PENG, Y.; WANG, Q.; MI, K.; QING, F. Correlations between landscape pattern and plant diversity at multiple spatial scales: A case study of Hunshandak Sandland. Acta Ecol. Sin. 2018, 7, 22. [Google Scholar]
- Zhu, F.T.; Liao, X.R. The formation mechanism of the latitudinal gradient distribution pattern of species diversity. Sci. Technol. Inf. 2009, 118, 214–215. [Google Scholar]
- Feng, J.; Dong, X.; Xu, C.; Zha, F. Effects of sampling scale on latitudinal patterns of species diversity in seed plants in northwestern Yunnan, China. Biodiv. Sci. 2009, 17, 266. [Google Scholar]
- He, J.S.; Chen, W.L. A REVIEW of gradirnt changes in species diversity of land plant communities. Acta Ecol. Sin. 1997, 17, 92–99. [Google Scholar]
- Ma, J.; Jia, B.; Zhang, W.; Liu, X.; Li, X.; Liu, J. The characteristics of urban forest structure within the Sixth Ring Road of Beijing. Chin. J. Ecol. 2019, 38, 2318–2325. [Google Scholar]
- Zhai, S.; Chen, B.; Lin, N.; Shi, X.; Pan, Y.; Zou, Z. Structure and species diversity of typical forests in Guangzhou City. Ecol. Environ. Sci. 2015, 24, 1625–1633. [Google Scholar]
- Santamour, F.S. Trees for urban planting: Diversity, uniformity, and common sense. In 504 Proceedings of the Seventh Conference of the Metropolitan Tree Improvement Alliance 505. METRIA 1990, 7, 57–65. [Google Scholar]
- Jim, C.Y.; Zhang, H. Species diversity and spatial differentiation of old-valuable trees in urban Hong Kong. Urban For. Urban Gree. 2013, 12, 171–182. [Google Scholar] [CrossRef]
- Gopal, D.; von der Lippe, M.; Kowarik, I. Sacred sites, biodiversity and urbanization in an Indian megacity. Urban Ecosyst. 2019, 22, 161–172. [Google Scholar] [CrossRef]
- Xiao, L.; Wang, W.; Zhang, D.; He, X.; Wei, C.; Lv, H.; Zhou, W.; Zhang, B. Urban forest tree species composition and arrangement reasonability in Harbin, northeast China. Chin. J. Ecol. 2016, 35, 2074–2081. [Google Scholar]
- Kinzig, A.P.; Warren, P.; Martin, C.; Hope, D.; Katti, M. The effects of human socioeconomic status and cultural characteristics on urban patterns of biodiversity. Ecol. Soc. 2005, 10, 1. [Google Scholar] [CrossRef] [Green Version]
- Smith, R.M.; Thompson, K.; Hodgson, J.G.; Warren, P.H.; Gaston, K.J. Urban domestic gardens (IX): Composition and richness of the vascular plant flora, and implications for native biodiversity. Biol. Conserv. 2006, 129, 312–322. [Google Scholar] [CrossRef]
- DeCandido, R.; Calvanese, N.; Alvarez, R.V.; Brown, M.I.; Nelson, T.M. The naturally occurring historical and extant flora of Central Park, New York City, New York 1857–2007. J. Torrey Bot. Soc. 2007, 134, 552–569. [Google Scholar] [CrossRef]
- Li, X.; Jia, B.; Zhang, W.; Ma, J.; Liu, X. Woody plant diversity spatial patterns and the effects of urbanization in Beijing, China. Urban For. Urban Gree. 2020, 56, 126873. [Google Scholar] [CrossRef]
- Zhang, D.; Wang, W.; Zheng, H.; Ren, Z.; Zhai, C.; Tang, Z.; Shen, G.; He, X. Effects of urbanization intensity on forest structural-taxonomic attributes, landscape patterns and their associations in Changchun, Northeast China: Implications for urban green infrastructure planning. Ecol. Indic. 2017, 80, 286–296. [Google Scholar] [CrossRef]
- Peng, Y.; Mi, K.; Wang, H.; Liu, Z.; Lin, Y.; Sang, W.; Cui, Q. Most suitable landscape patterns to preserve indigenous plant diversity affected by increasing urbanization: A case study of Shunyi District of Beijing, China. Urban For. Urban Gree 2019, 38, 33–41. [Google Scholar] [CrossRef]
- Zhao, Q.; Zheng, G.Q.; Huang, Q.H. Characteristics of Urban Forest Landscape Pattern and Optimization of Urban Forest Spatial Structure: A Case Study of Nanjing City. Acta Geograph. Sin. 2007, 62, 870–878. [Google Scholar]
- Peng, Y.; Wang, W.T.; Lu, Y.T.; Dong, J.H.; Zhou, Y.Q.; Shang, J.X.; Li, X.; Mi, K. Multiscale influences of urbanized landscape metrics on the diversity of indigenous plant species: A case study in Shunyi District of Beijing, China. J. Appl. Ecol. 2020, 31, 4058–4066. [Google Scholar]







| Administrative Districts | Family | Genera | Species | Plant Number | The Top Three Species Ranked by Important Value | Alien Species |
|---|---|---|---|---|---|---|
| CY | 17 | 28 | 46 | 649 | Pinus tabuliformis var. mukdensis (Uyeki ex Nakai) Uyeki), Armeniaca mandshurica (Maxim.) Skv., Salix matsudana Koidz | 4 |
| ED | 14 | 23 | 29 | 340 | Populus davidiana Dode, Salix matsudana Koidz, Pinus tabuliformis var. mukdensis (Uyeki ex Nakai) Uyeki) | 1 |
| CCN | 17 | 35 | 58 | 1611 | Pinus sylvestris var. mongolica Litv., Salix matsudana Koidz, Populus davidiana Dode | 1 |
| JK | 16 | 30 | 49 | 749 | Populus× canadensis Moench Salix matsudana Koidz Populus davidiana Dode | 4 |
| KC | 18 | 29 | 57 | 1113 | Syringa reticulata subsp. amurensis P. S., Salix matsudana Koidz, Populus davidiana Dode | 5 |
| LY | 19 | 35 | 58 | 1350 | Fraxinus mandshurica Rupr., Salix matsudana Koidz, Populus davidiana Dode | 6 |
| NG | 16 | 30 | 55 | 1061 | Pinus tabuliformis var. mukdensis (Uyeki ex Nakai) Uyeki, Populus × canadensis Moench, Salix matsudana Koidz | 6 |
| QK | 17 | 33 | 60 | 905 | Prunus persica ‘Rubro-plena’, Salix matsudana Koidz, Populus davidiana Dode | 3 |
| Administrative Districts | dMa (ANOVA F7330 = 3.443, p = 0.001, df = 7) | H′ (ANOVA F7330 = 3.407, p = 0.002, df = 7) | J (ANOVA F7330 = 2.973, p = 0.005, df = 7) | SR (ANOVA F7330 = 3.127, p = 0.003, df = 7) |
|---|---|---|---|---|
| CY | 0.93 (0.14) ab | 0.92 (0.11) ab | 0.64 (0.06) ab | 3.80 (0.41) ab |
| ED | 0.73 (0.19) a | 0.81 (0.18) a | 0.57 (0.12) a | 3.31 (0.62) a |
| CCN | 0.88 (0.12) ab | 0.92 (0.09) ab | 0.68 (0.05) ab | 4.04 (0.45) ab |
| JK | 0.79 (0.10) a | 0.92 (0.09) ab | 0.76 (0.05) ab | 3.50 (0.36) a |
| KC | 1.00 (0.11) ab | 1.03 (0.08) ab | 0.72 (0.04) ab | 4.11 (0.36) ab |
| LY | 0.78 (0.08) a | 0.88 (0.08) a | 0.67 (0.05) ab | 3.47 (0.27) a |
| NG | 0.74 (0.10) a | 0.75 (0.09) a | 0.55 (0.06) a | 3.29 (0.32) a |
| QK | 1.43 (0.17) b | 1.34 (0.10) b | 0.84 (0.04) b | 5.60 (0.58) b |
| Reduce Usage | Recommended to Increase | |||
|---|---|---|---|---|
| Administrative district | ED | Species | Salix matsudana, Amygdalus davidiana | Other species |
| Genera | Populus, Salix, Amygdalus | Larix, Euonymus, Phellodendron, Tilia, Spiraea, Forsythia | ||
| Family | Salicaceae, Rosaceae | Rutaceae, Tiliaceae, Juglandaceae | ||
| LY | Species | Populusdavidiana, Pinus sylvestris L.var. mongolica Prunus ussuriensis | Pinus koraiensis, Betula platyphylla | |
| CY | Family | Pinaceae | Aceraceae, Betulaceae, Tiliaceae | |
Publisher’s Note: MDPI stays neutral with regard to jurisdictional claims in published maps and institutional affiliations. |
© 2022 by the authors. Licensee MDPI, Basel, Switzerland. This article is an open access article distributed under the terms and conditions of the Creative Commons Attribution (CC BY) license (https://creativecommons.org/licenses/by/4.0/).
Share and Cite
Chang, Y.; Wang, Z.; Zhang, D.; Fu, Y.; Zhai, C.; Wang, T.; Yang, Y.; Wu, J. Analysis of Urban Woody Plant Diversity among Different Administrative Districts and the Enhancement Strategy in Changchun City, China. Sustainability 2022, 14, 7624. https://doi.org/10.3390/su14137624
Chang Y, Wang Z, Zhang D, Fu Y, Zhai C, Wang T, Yang Y, Wu J. Analysis of Urban Woody Plant Diversity among Different Administrative Districts and the Enhancement Strategy in Changchun City, China. Sustainability. 2022; 14(13):7624. https://doi.org/10.3390/su14137624
Chicago/Turabian StyleChang, Yufei, Zihan Wang, Dan Zhang, Yao Fu, Chang Zhai, Tong Wang, Yihan Yang, and Junjie Wu. 2022. "Analysis of Urban Woody Plant Diversity among Different Administrative Districts and the Enhancement Strategy in Changchun City, China" Sustainability 14, no. 13: 7624. https://doi.org/10.3390/su14137624
APA StyleChang, Y., Wang, Z., Zhang, D., Fu, Y., Zhai, C., Wang, T., Yang, Y., & Wu, J. (2022). Analysis of Urban Woody Plant Diversity among Different Administrative Districts and the Enhancement Strategy in Changchun City, China. Sustainability, 14(13), 7624. https://doi.org/10.3390/su14137624

