Next Article in Journal
The Moderator Effect of Communicative Rational Action in the Relationship between Emotional Labor and Job Satisfaction
Next Article in Special Issue
Towards a Sustainable City with a Sensory Garden in the Context of Urban Well-Being
Previous Article in Journal
Analysis of Urban Woody Plant Diversity among Different Administrative Districts and the Enhancement Strategy in Changchun City, China
Previous Article in Special Issue
The Small Water Cycle in the Czech Landscape: How Has It Been Affected by Land Management Changes Over Time?
 
 
Font Type:
Arial Georgia Verdana
Font Size:
Aa Aa Aa
Line Spacing:
Column Width:
Background:
Article

Sustaining Human Nutrition in an Increasingly Urban World

by
Angélica Valencia Torres
1,2,*,
Chetan Tiwari
3,4 and
Samuel F. Atkinson
1,2
1
Advanced Environmental Research Institute, University of North Texas, Denton, TX 76201, USA
2
Department of Biological Sciences, University of North Texas, Denton, TX 76201, USA
3
Department of Geosciences, Center for Disaster Informatics and Computational Epidemiology, Georgia State University, Atlanta, GA 30303, USA
4
Department of Computer Science, Center for Disaster Informatics and Computational Epidemiology, Georgia State University, Atlanta, GA 30303, USA
*
Author to whom correspondence should be addressed.
Sustainability 2022, 14(13), 7607; https://doi.org/10.3390/su14137607
Submission received: 2 June 2022 / Revised: 15 June 2022 / Accepted: 17 June 2022 / Published: 22 June 2022
(This article belongs to the Special Issue Landscape Monitoring, Ecosystem Services and Sustainable Development)

Abstract

:
The complex interaction between social, economic, and environmental processes coupled with transformations of the landscape primarily driven by urbanization have impacts on the access, availability, and distribution, of food. This has resulted in a global micronutrient deficiency and hunger. Given rapid urbanization and population growth, a more sustainable food system is necessary to feed more urban populations and provide adequate nutrition, especially in developing countries. Existing frameworks for modelling urban-environment interactions contain components related to food security, however, lack the specificity needed to evaluate the effects of land use decisions and agricultural production strategies on the health of local populations measured through metrics such as nutritional output. The research presented here proposes an urban nutrition (UN) extension to the previously published urban ecological economic system by developing a focused component that simulates scenarios of different degrees of urbanization and agricultural production techniques to improve the nutritional output of agricultural land, while considering the conservation of soil. This simulation approach was subsequently applied to the Toluca Metropolitan Zone, Mexico. Results showed that nutritional output would greatly increase when adding a variety of crops, even in scenarios where agricultural land is limited. The proposed extension can be used by decision makers worldwide to evaluate how landscape configurations and agricultural production systems affect the nutritional needs of the local population while fostering sustainable practices.

1. Introduction

Urbanization is a complex process that involves various social, economic, and environmental processes that are continuously interacting and shaping the landscape. Economic development can be viewed, under a lens of increasing urbanization, as one metric of progress [1,2]. Industrialization has fostered the transition and expansion of economic activities, replacing primary economic sectors (e.g., agriculture and forestry) with modern industries that provide services and create new technologies that advance the human condition [3,4]. Consequently, urban areas have become the main human habitat. Urbanization is often problematic, since it is accompanied by rapid landscape transformations and socio-economic and demographic pressures that challenge the availability, access, and distribution of food. Additionally, rapid urbanization has displaced agricultural and forest land, thus impacting soils and food production. Local populations living in urbanized areas face multiple stressors such as environmental degradation, overcrowding, and lack of access to locally grown healthy food. Meeting demands for food with a region’s limited resources is challenging and requires other strategies to satisfy an increasing population’s needs, which may include new agricultural production technologies, importing foods, and changes in traditional practices. As agricultural land decreases due to land cover change, more production, or higher quality foods, are needed. High-intensity agricultural systems are required to increase crop production per unit area. However, intensive irrigation, the use of fertilizers and pesticides, and high-yielding crop varieties (HYV) have resulted in increased water pollution, soil erosion, and have decreased the fertility of soil [5,6]. Alternatively, crop-diversification production systems that can maximize specific nutrients but reduce high-intensity agricultural options, could be utilized. In this regard, environmental policies and strategies are crucial to conserve resources and ecosystem services. Additionally, sustainable land use planning and decision making are critical to balance the supply and demand of the resources and services needed to ensure food security for the population. While various approaches have been developed to foster sustainable land management and agricultural practices, these are often context-specific and mainly focus on the prevention of environmental degradation [7,8,9]. There is a need for an approach that considers environmental sustainability but focuses on agricultural production for local nutrition.
Diverse conceptual frameworks have been developed to link the urban system, the agricultural system, the natural system, and human wellbeing, including nutritional aspects. Examples of these frameworks are the social–ecological system, the urban social-ecological–technological systems, the FEW nexus framework, the landscape sustainability science framework, and the urban ecological economic systems framework [10,11,12,13,14,15]. In this paper, we propose an urban nutrition (UN) extension (Figure 1) to the urban ecological economic system framework, by developing a focused component that simulates how existing agricultural systems can be modified to achieve nutritional food security through the use of sustainable practices that yield increased crop production and better nutritional support. The urban ecological economic systems framework proposed by Huang and others in 1988 attempts to study urban societies using a holistic view [15]. We use the UN extension to narrow the focus of the four main components of the framework: natural system, agricultural system, urban system, and life support service. The natural system is represented by ecosystem services, the agricultural system is represented by agricultural practices (monoculture versus crop diversity), the urban system is represented by land use change, and the life support service is represented by human nutrition. This research examines these complex relationships to help decision makers with policy decisions concerning land use choices that might impact the interrelationships between urbanization and food production. Details of this framework are described in the Methods section. Here, we use three hypothetical scenarios to evaluate how land use choices affect crop production, leading to impacts on human nutrition and the environment measured through soil erosion. The scenarios include three simulated landscapes with different levels of urban, agriculture, and forest-land use. Each scenario was analyzed for (1) soil erosion and (2) crop production under both high-intensity agricultural methods (monoculture cultivation) and diverse crop cultivation, to explore the minimum population size that can be supported given a fixed amount of agricultural land and identify the limited nutrients that could be supported under each strategy. This framework promotes local sustainability practices, such as the “farm-to-table” (or farm-to-fork) movement, by enabling decision makers to evaluate options under various land use constraints. This is important because as cities grow, populations shift to urban landscapes and disengage from healthy locally grown food.

Urbanization Impacts on Food and Health

Food production, influenced by urbanization and technology, has direct impacts on human wellbeing. Production systems such as crop diversification—the introduction of new crop species to diversify crop production—can be used to increase food security in communities, increase income on small farm holdings, reduce environmental degradation such as soil erosion, and mitigate climate change [16]. This paper compares crop production systems that are driven by technologies and urbanization, such as monoculture production systems, where only one genetically identical crop is continuously grown, and crop diversification systems, where multiple crops are cultivated based on their nutrient content.
Monocultures are widely used in industrial agricultural systems since they allow the overproduction of a particular commodity that is valuable for society (i.e., corn, rice, wheat). For example, maize is used for several purposes, including fuel ethanol, industrial products, and livestock feed. Global dietary trends of increasing demand for foods of animal origin have resulted in a high percentage of agricultural land being allocated for growing feed for livestock rather than crops for direct human consumption. Growing a diversity of crops is a straightforward strategy for providing sufficient nutrients for a healthy urban population. A perspective of sustainability is needed to produce enough food for the current population, while conserving the land for future generations and ensuring human welfare. This perspective can center on the study and management of ecosystem services that directly or indirectly affect the supply of crops, including supportive (e.g., soil fertility), regulating (e.g., erosion control), and provisioning (e.g., food production) ecosystem services. Bommarco and others illustrate how ecological intensification through the management of ecosystem services can sustainably enhance food security globally [17].
Linking sustainability with ecosystem services is complex, since the definitions of both are still being developed [18,19,20]. For instance, some authors use “environmental sustainability” to prioritize conservation and to highlight the importance of maintaining natural capital [21]. Other definitions attempt to capture the relationship between economic development and global ecology [22]. Here, we use one of the most common definitions of sustainability: “meeting the needs of the present without compromising the ability of future generations to meet their own needs”, because it addresses the future of human societies and their environments [23].
The overarching hypothesis of the work presented here is that, given a limited amount of cropland, agricultural strategies that diversify crop types nutritionally support larger populations, promote a healthier diet, and synergize ecosystem services, leading to more sustainable urban societies as compared to strategies that prioritize monocultures. This hypothesis was explored using synthetic landscapes where agricultural area and crop production systems were specified, and nutrient production and soil erosion were modeled for each landscape.

2. Data and Methods

2.1. Urban Nutrition Extension

The UN extension illustrates how the urban system, the natural system, and the agricultural system interact and affect nutritional security in local populations. The extension could help guide decision makers and stakeholders to differentially prioritize between land uses (urban surface versus cropland) and agricultural-production techniques (monoculture versus crop diversity), which affect ecosystem services (crop production and soil erosion) that promote urban population’s nutritional needs. Decisions are affected by many drivers, including the food system, agricultural technologies, science, education, economic growth, governance, and policies.

2.2. Coupling UN Extension with InVEST

The Integrated Valuation of Ecosystem Services and Tradeoffs (InVEST) software, version 3.9.0, was used to explore this interplay. The following steps describe the construction and assessment of scenarios of land use change, crop production, soil erosion, and nutrition: (1) development of hypothetical scenarios, (2) data collection and preparation, (3) modeling and analysis of the effects of each scenario on ecosystem services, and (4) comparison between nutrition and calories for each scenario.
This paper uses two InVEST models to evaluate the impacts on ecosystem services: the Crop Production-Percentile (CPP) model, and the Sediment Delivery Ratio (SDR) model. The InVEST software was developed by the Natural Capital Project in collaboration with Stanford University and several other academic and non-profit institutions to assist and facilitate the inclusion of ecosystem services in decision making [24]. The different models can be applied in developed and developing countries and for different types of ecosystem services (e.g., provisioning, regulating, cultural) or multiple ecosystem services under different scenarios [25]. The suite of models can be operated by non-experts, making it a relatively simple and valuable decision support tool. However, the complexity of the model can vary, and availability of data can be problematic [26].
The CPP model evaluates different strategies and scenarios of crop production impacted by land use/land cover change across the globe depending on climate. The model uses the United Nations Food and Agriculture Organization (FAO) database comprised of 175 kinds of crops. This database is supplemented by national and regional datasets [27,28]. The SDR model uses global data to determine annual soil loss in a determined area. This model is based on the Universal Soil Loss Equation and requires spatially explicit data including a land use/land cover raster, soil type, topography, and rainfall intensity data [26,28,29].

2.3. Development of Hypothetical Scenarios

Three land use scenarios were developed to assess crop production, soil erosion, and nutritional yield. Each scenario utilizes a synthetic landscape (after Smith and Atkinson [30]) that emphasizes one of three planning preferences: (1) economic and urban growth, (2) forest conservation, and (3) integrated (Table S1 in the Supplementary Materials). These planning preferences were selected to enable the comparison of the economic and environmental components of sustainability with an integrated perspective that seeks to balance land uses that influence components of economy, environment, and society. Further, the integrated scenario follows a current and realistic pattern of urbanization. These scenarios were based on a hypothetical metropolitan region that occupies approximately 220,000 ha with specific land uses distributed across the area based on a desired composition that emphasizes a planning preference. The first scenario was composed of 70% urban surface, 20% agriculture, and 10% forest. This scenario is based on the current perspective of countries where economic and urban growth is a typical political priority (e.g., USA, China, and Mexico). Consequently, there is a reduction in natural capital and environmental degradation is more likely to occur. The second scenario was composed of 30% urban surface, 25% agriculture, and 45% forest. This scenario has an environmental emphasis, where conservation of forest and natural resources are the priority. For example, northern European countries (e.g., Denmark and Sweden) encourage strategies to prioritize natural capital. However, the proposed distribution of land use types in this scenario may be unrealistic in an already highly urbanized area where many stakeholders may not support halting economic development due to common perceptions that link economic progress to the advancement of human welfare. The third scenario was composed of 50% urban surface, 30% agriculture, and 20% forest. This scenario tries to integrate the three components of sustainability but considers the inevitability of urbanization while global population continues to increase. We expect that this option is the most suitable for present and future human societies, at least for the foreseeable future. Additionally, we expect that, despite a continuing increase in urban surfaces, every scenario can improve human wellbeing alongside progress towards sustainability. Therefore, three additional scenarios were created using the same three land use-composition scenarios described above but examining the effect of agriculture lands primarily driven by monoculture crop cultivation versus a diversity of crop cultivation that emphasizes nutrition through macronutrients and micronutrients for optimal health. These three additional scenarios used the same set of ten crops but the percentages for each crop varied according to the planning preference. For example, the first scenario used 2% of agricultural land for each crop (total of 20% agricultural lands), the second scenario used 2.5% per crop (25% agricultural lands), and the third scenario used 3% for each crop (30% agricultural lands).

2.4. Data Collection and Preparation

Boundaries of the synthetic landscapes were based on the Toluca Metropolitan Zone (TMZ), which is a large and rapidly urbanizing metropolitan region in the center of Mexico. This region was selected because it is within Latin America, a part of the Global South [31], and due to its similarity to many other rapidly urbanizing contexts in the region. Additionally, this region is characterized by heterogenous landscapes, soil types, climate, and elevation, mixed with disparate land use patterns and agricultural priorities. This complex system, representing multiple tradeoffs, was used as a foundation for the synthetic landscape research. These synthetic landscapes were constructed using a classified 2015 Landsat image of this area. The original classified image contains 5 main classes: (1) forest, (2) water, (3) agriculture, (4) bare surface, and (5) urban surface. Each synthetic landscape is a modified version of the original classified image, where the number of pixels contained within each class, i.e., the percentage coverage of each land use category, varies in accordance with the sustainability component emphasis (economic and urban growth, forest conservation, or integrated). The algorithm to develop each synthetic landscape starts with the original classified image. A frequency distribution of pixels classified as forest, grass, agriculture, and urban is then computed. The number of pixels that need to be converted from one class to another (e.g., agriculture to urban) is then computed using the desired distribution of urban, agriculture, and forest land uses (e.g., 70% urban surface, 20% agriculture, and 10% forest). The process of converting pixels from one class to another cannot be performed sequentially starting at one corner of the image, as this leads to linear land use classification that does not represent realistic geographic patterns. To better control the placement of converted land use classes across the study area, the algorithm randomly chooses starting points in the image and converts a user-specified number of pixels from one land use class to another. This number ranged from 500 pixels to 10,000 pixels at a time. This procedure of selecting a random starting point is repeated until all conversions are complete. Pixels classified as bare surface or water are excluded from modification and remain consistent across all the synthetic landscapes.
The forest class was dominated by coniferous (mostly pine trees) and deciduous forest (mostly oak trees). The water class comprised small bodies of water, peatlands, and dams. The agriculture class included both irrigated and rain-fed crops, but mostly dominated by irrigated maize. The urban surface consisted of built-up area, roads, and pavement.
Agricultural land has been increasingly dominated by monocultures (e.g., maize) in Mexico; therefore, we developed similar synthetic monoculture landscapes, but also developed diverse crop landscapes with an emphasis on nutrition, as explained in the section above. The crops included 1 fruit type; 5 vegetable types, including a leafy green and a brassica; 2 types of legumes; 1 type of nut; and 1 type of grain. Specifically, we used the following crops: apple, barely, cabbage, cucumber, fava beans, maize, peas, pecan nuts, spinach, and tomatoes (Table S1 in Supplementary Materials). These 10 crops were selected based on climate and geography and following the food groups recommended in a whole food plant-based diet (WFPBD). The WFPBD has been demonstrated to be a health-promoting diet that can meet most of the nutritional requirements of the population. Additionally, evidence shows that a WFPBD may help with the prevention and treatment of chronic diseases, such as type-2 diabetes and cardiovascular diseases [32,33,34].

2.5. Modelling Ecosystem Services Using InVEST

Two InVEST models were used to evaluate the impacts of planning preferences on ecosystem services: crop production percentile (CPP) and sediment delivery ratio (SDR). Both models require spatial data projected in a coordinate system with units of meters. A spatial reference is important in the CPP model because crop yield is primarily driven by climate, while the SDR model uses global sediment database [28]. We selected the latitude of the Toluca metropolitan area in Mexico. Spatial files were projected in UTM coordinates (WGS 1984 Zone 14).
The main data needs of the CPP model include projected land use or land cover raster, and a comma-separated values file containing the name of the crop as specified by the model with the respective land use code. The main outputs include total observed production, total area covered by each crop, and nutrient information for each crop (e.g., energy, vitamins, minerals). The main data needs for the SDR model include a projected land use or land cover raster, topography, rainfall erosivity index, soil erodibility, a comma-separated values file containing management factor and support practice factor associated with the land use, and a watershed polygon obtained with the InVEST “DelineatIT” tool. This tool uses the deterministic eight-neighbor (D8) method to route flow directions using the digital elevation model (DEM). The D8 approach determines the boundary of the watershed, river networks, and sub-watersheds associated with each river segment [35]. The main outputs for the SDR model include total amount of potential soil loss, total amount of sediment exported to the stream, and total amount of sediment deposited to the landscape. For the full list of data needs and main outputs for each InVEST model, see Table S2 in the Supplementary Materials.
Spatial data were obtained from “Instituto Nacional de Geografía, Estadística e Informática” INEGI and “Consejo Nacional de Biodiversidad” CONABIO [36,37]. Data included soil types, digital elevation model, and land use. Soils in Mexico use the 1974 FAO-UNESCO classification. As erodibility was not calculated for the area, we conducted a literature review to obtain characteristics and properties for each type of soil. Percentage of sand, silt, clay, and organic matter for each soil was obtained from INEGI [36]. The K factor was calculated following the InVEST 3.9.0 user’s guide [28]. The R factor was obtained from European Soil Data Centre, which provides global rainfall erosivity data [38].

2.6. Nutritional Needs Assessment

Data generated by the crop production model was used to compare nutrition provided by monoculture cultivation (generated in the initial land use scenarios) and crop diversity cultivation (generated in the land use scenarios recommended for nutrition). The model’s output included the total area covered by the crop, annual crop production and resultant nutrients. The nutritional data were used to calculate the population size that could be supported by each scenario on an annual basis. Those values were divided by 365 to obtain daily nutrition production, which was subsequently divided by the Recommended Dietary Allowance (RDA) or Adequate Intake (AI) for each macro- and micronutrient to estimate the population size that could be supported under each scenario. Both RDA and AI set reference values to meet nutrient requirements of healthy people (NIH, 2021), but because nutrient requirements vary for children, women, men, and elderly people, we used the upper limit RDA or AI for each nutrient to ensure all healthy people were supported despite gender and age, yielding a conservative estimate of the population size supported for each scenario.

3. Results

3.1. Hypothetical Scenarios of Land Use

Using synthetic landscapes facilitated the visualization of three planning preferences: prioritizing urban and economic growth, prioritizing forest conservation, and integrating the growth and conservation priorities (Figure 2). The land use classes included forest, water, agriculture, bare surface, and urban surface. Water and bare surface were held spatially constant across the three landscapes, while the percentage of pixels for forest, agriculture, and urban surface changed according to the planning preference. The three synthetic land uses facilitated an exploration of the relationships between land use and ecosystem services using InVEST modeling. These synthetic land uses were further analyzed to explore nutritional tradeoffs within each scenario by altering the proportions of the existing agricultural classification into the ten subclasses of crop diversity recommended to optimize nutrition.

3.2. Ecosystem Services Assessment

Land use rasters were the only parameters that changed for each scenario evaluated in InVEST. The rest of the data needed for the models, such as soil type, elevation/slope, and rainfall were held constant. The modeled results showed that the integrated scenario had the highest crop yield, while the urban and economic growth scenario had the lowest. These results correspond to an agricultural area dominated by maize monocultures. Comparatively, soil export was higher in the integrated scenario, but values were closely followed by the economic growth scenario. Forest conservation had the least soil export and highest sediment retention (Table 1). A comparison of soil export per hectare across the three planning scenarios is shown in Figure 3.

3.3. Land Use, Crop Production Techniques, and Nutrition

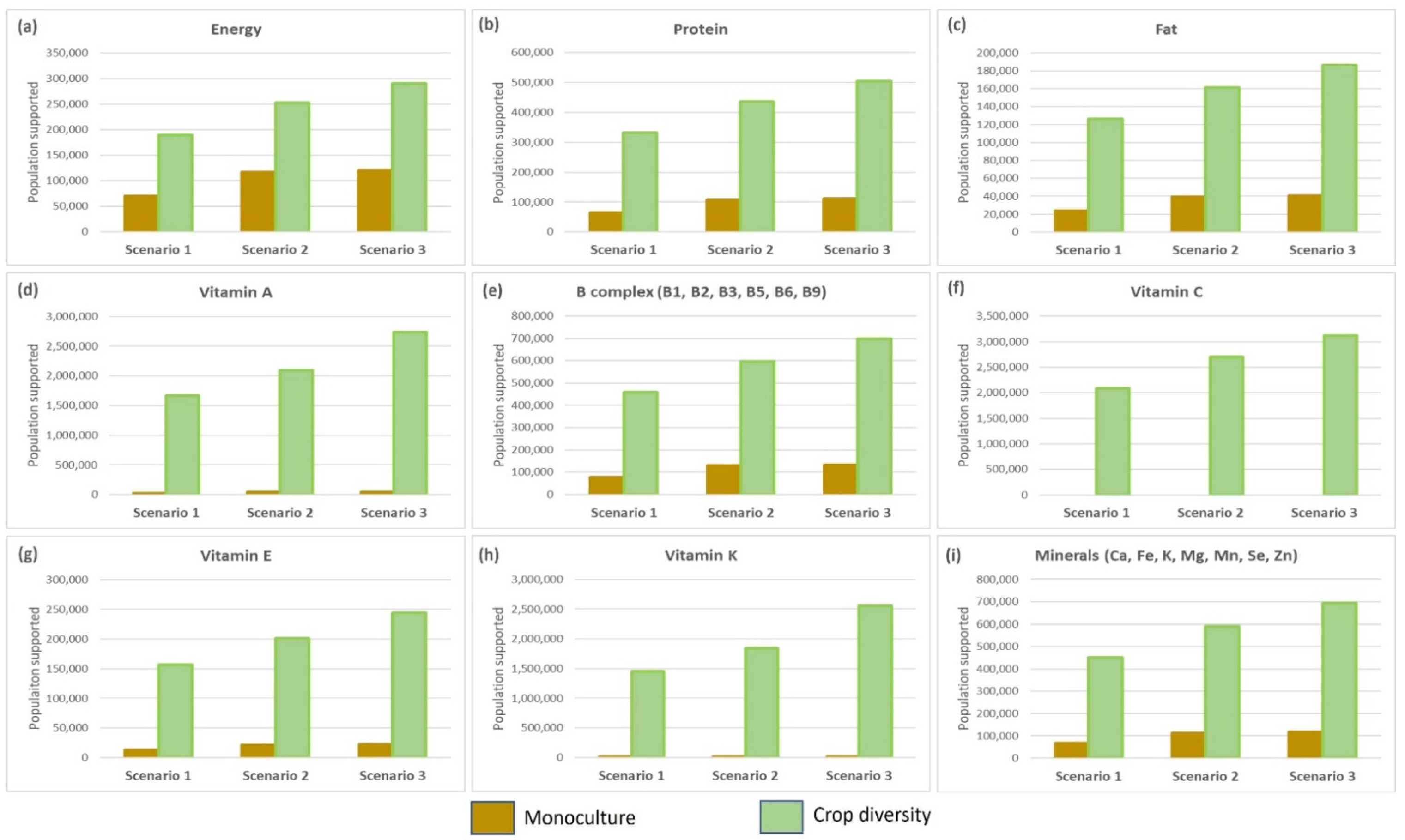
Nutrients obtained from scenarios of agricultural land use dominated by the maize monoculture were compared with nutrients obtained from land use scenarios that prioritize crop diversity. Modeled results were based on Recommended Dietary Allowance (RDA) and Adequate Intake (AI) values to determine the total number of people that can be supported by nutrients under each scenario. Results from the crop production model are shown in the Supplementary Materials (Tables S3–S5). Overall, the integrated scenario that prioritizes crop diversity nutritionally supports the largest population. In comparison, the economic and urban scenarios supported smaller population sizes with regards to the amount of available nutrition (Figure 4). Comparing urban growth to forest conservation shows an even larger change. The population size supported under the monoculture system increased by 68% when comparing the urban and economic to the forest conservation scenario, but only increased by 3% when comparing the forest conservation and the integrated scenarios. The change in population size supported under the urban and economic, forest conservation and integrated scenarios was more consistent when examining crop-diversity cultivation. The population size supported under the forest-conservation scenario was 29% higher than the urban and economic scenario, and the integrated scenario supported a 21% larger population than the forest conservation scenario. Figure 4 shows that there is significantly more nutritional benefit when prioritizing a diversity of crops than with maize monocultures, as signified by the slope of the lines in the graph. The nutrition provided by a mix of crops has a positive relationship with the percentage of agricultural land and, therefore, the supported population increased substantially. Conversely, there is little to no nutrient benefit when increasing the percentage of agricultural land if it is cultivated in a maize monoculture setting.
A nutrient improvement index (NII) was calculated to determine nutritional benefit between monoculture and crop-diversity systems. For each nutrient, the index is calculated by dividing the population size supported by crop diversification by the population supported under monoculture. The NII suggests that it is possible to at least double nutritional production and population size supported under crop diversity versus monoculture systems (Table 2). Riboflavin (vitamin B2), selenium, and energy had the lowest improvement change among the different scenarios. For example, under monoculture maize cultivation, riboflavin can support a population size of approximately 113,000, while, shifting to diverse crop cultivation, a population of approximately 275,000 could be supported (NII = 2.4).
Additionally, a “limiting nutrient”, the nutrient that supports the least population size, can be identified. For example, nutrients such as vitamin C are not present in maize, therefore, it is the limiting nutrient in the monoculture setting. However, a diverse crop strategy not only removes this limitation but also increases the quantity and variety of other nutrients that, at minimum, doubles the population size that can be supported. The crop-diversity scenario returned a higher amount of every macronutrient and micronutrient, leaving fat as the limiting nutrient. In terms of calories, the total population size that can be supported ranged from 69,737 (urban and economic scenario) to 120,306 people (integrated scenario) in the monoculture system; and from 189,779 (urban and economic scenario) to 290,061 people (integrated scenario) in the crop diversity system. Some specific micronutrients, such as manganese, vitamin A, C, and K, could support from a million to almost three million people within the crop-diversity scenario.

4. Discussion

This paper proposes an urban nutrition simulation extension of the urban ecological economic system proposed by Huang and others in 1988 and describes how the InVEST software model was used to assess the interactions between urbanization, agricultural production techniques, and ecosystem services, to better understand their impacts on local nutritional security. These components were analyzed using synthetic landscapes and crop production systems on (1) provisioning and regulating ecosystem services, such as food production and erosion control, and (2) calories and nutrients to support the population. This research contributes to different themes in the ecosystem services literature including human welfare, land use, agroecosystems and food security, and landscape planning [20]. Furthermore, this paper explicitly integrates the concept of sustainability in a world where urbanization, land use change, economic development, and population growth are inexorable and impact nutritional security. The synthetic landscapes along with the InVEST models illustrated how different planning preferences and agricultural choices impact ecosystem services and nutritional output that consequently affect urban sustainability. Results derived from these simulations showed that: (a) provisioning ecosystem services and human nutrition can be improved when land use/land cover (LU/LC) are balanced as shown in the integrated scenario; (b) crop diversity techniques yield a higher production compared to monocultures; (c) larger populations can be supported when adding a variety of crop types, even in scenarios where there is limited cropland area and urban surface dominates; (d) nutritional benefit, at minimum, is at least two times higher under the crop-diversity priority compared to monoculture; and (e) limiting nutrients can be identified and prioritized to ensure the population meets all nutritional requirements for optimal human wellbeing.
The results obtained from the InVEST models demonstrated that the integrated scenario was the most suitable land use-planning preference to increase crop production and enhance nutrition. However, it is important to note that the forest conservation scenario had the least potential soil loss compared to the other scenarios and, therefore, was most likely to preserve ecosystem services. Crop production under the economic and urban growth scenario supported the smallest population and induced a large amount of erosion. This could be considered the least favorable approach for optimal nutrition and the conservation of ecosystem services from a sustainability perspective. It is important to note that the integrated scenario showed the least sediment retention and highest soil export, even compared to the economic and urban growth scenario. This can be due the high proportion of impermeable surface found in the urban growth scenario. After other types of land use (e.g., agriculture and forest) are converted into concrete, soil is no longer lost. However, these land transformations require construction efforts that temporarily lead to high rates of sediment loss and impact other ecosystem services, including habitat quality. Additionally, cover management and support practice factors impact soil loss and greatly vary from one jurisdiction to another. It is likely that C and P factors are higher in integrated and conservation scenarios, resulting in lower levels of soil export and loss; however, these values were held constant across scenarios. Sustainable agricultural practices (i.e., crop diversification) are necessary to decrease soil erosion and support other ecosystem services.
In addition to assessing crop production and soil erosion in landscapes that prioritize corn monoculture, crop production and derived nutrition was also assessed in landscapes with diversified crops. The integrated scenario demonstrates that locally grown crops provide adequate nutritional support to urban communities, thereby reducing reliance on food imports. This option is relevant at the local scale when desired or mandated changes to promote agricultural land use are not feasible. In response, current practices encourage food imports, typically resulting in lower food prices. However, food imports that prioritize lower costs are often limited in variety and poor quality, which in turn can adversely affect human wellbeing, particularly for vulnerable groups. Further, there are many costs associated with poor quality food, i.e., malnutrition, cardiovascular diseases, and healthcare costs. Current food systems also encourage overproduction, which has led to a drop in commodity prices. Hence, commercial large-scale agribusinesses control the market and local small farms suffer the consequences of this unsustainable activity [39,40]. Monoculture production systems, driven by industrialization and technological developments, enable the overproduction of valuable commodities. Corn, for instance, is a versatile commodity used for livestock feed, food, seed, biofuel, and industrial purposes [41]. The current demand and profitability of corn production has resulted in a lack of diversity of crops. The ecological footprint of corn monocultures includes food waste; soil erosion and nutrient losses; reduced biodiversity and increased vulnerabilities to pests; the use of large amounts of herbicides, particularly atrazine, which is known to be an endocrine disruptor; the use of large amounts of nitrogenous fertilizer, which leads to surface and groundwater pollution; as well as air pollution that contributes to climate change [42,43].
An agricultural system that encourages crop diversity not only reduces these environmental impacts, but substantially increases the nutrition in communities, supports local farmers and reduces overproduction and food waste. Figure 3 showed the different levels of population size supported across the three planning scenarios, and the type of production system. Nutritional output, and therefore the population size supported, was the highest under the integrated scenario when prioritizing crop diversity. In fact, crop diversity always improves nutritional output regardless of land use distributions. The graphs also revealed that, as you transition across scenarios, the percentage increase associated with crop diversification is always greater than the percentage increase associated with monoculture, i.e., the slopes associated with crop diversification are greater in comparison with monoculture. This suggests greater incentive to transition from the urban and economic growth scenario to the integrated scenario under crop diversification strategies.
The crop selection used in this research (Tables S3–S5 in Supplementary Materials) showed that communities can obtain most required nutrients from plants. Additionally, there are other phytonutrients obtained from plants that improve health. Nutritional transition has impacted the health of the population by contributing to non-communicable diseases such as heart disease, obesity, diabetes, and cancer, which have become leading causes of death globally [44,45]. This is important in an urbanized and industrialized world where processed and animal-based foods are predominant [46]. There are several studies that show that whole-food plant-based diets protect against many types of cancers, such as breast, prostate, colorectal, and gastrointestinal cancers [47,48]. They also are a safe, low-cost, and effective option to lose weight, reduce cholesterol, and prevent and treat cardiovascular diseases and type-2 diabetes [33,34,49,50]. Lycopene, for instance, a carotenoid present in tomatoes, is associated with a reduced risk of cardiovascular, and degenerative, diseases, and has shown to defend against cancer development and progression [51,52,53]. Hever suggests that a health-promoting plant-based diet should be composed mainly of vegetables, fruits, whole grains, legumes, herbs and spices, and in smaller amounts, nuts and seeds [54]. These food groups contain all the nutrients necessary for optimal wellbeing. The only exception is vitamin B12; animals are the exclusive natural sources of active cobalamin [55].
Decision makers can use the InVEST CPP model and simulation landscapes to explore differences in nutrients resulting from distinct land uses and crop production systems. The NII developed in this research can determine how much benefit can be obtained when switching scenarios of crop production and land use. It is also possible to determine the limiting nutrient affecting a community. For example, if fat is insufficient, decision makers can focus on this limiting nutrient and encourage healthful whole food sources of fat such as seeds and nuts. Additionally, the NII can provide guidance on how much of this nutrient is needed to support a larger population.
The UN extension along with the InVEST modeling guided the exploration of the effects of land use change, crop techniques, and ecosystem services on nutrition. Decision makers can use this guide to identify nutritional needs and pathways that can be taken (e.g., land use planning and agricultural production techniques) to improve nutritional yield in a sustainable manner. However, there are some limitations when using the InVEST model. The CPP model only provides estimates from the 175 crops (based on FAO national datasets) and many crops have incomplete nutritional information. Research presented in this paper utilized the best combination of crops in the Toluca, Mexico region according to the climate bin maps provided by the model. Additionally, spatial resolution might be another factor that affects overall results. This research took a conservative approach to model the population size that can be supported under each scenario by using the highest recommended dietary allowance, which varies among men, women, and children. If average RDA were used as the basis, or if a representative population distribution of sex- and age-based RDAs were modeled, the population size that could be supported would be greater. Despite these limitations, the framework should be valuable to stakeholders and decision makers since it provides guidance on how to preserve ecosystem services while increasing human wellbeing. Protecting ecosystem services and including them in planning is crucial to promote sustainable cities [56]. This paper focuses on soil erosion and crop production; however, other types of ecosystem services can be considered. For example, urban ecosystem services can be used in the framework to foster resilience in urban settings [57]. Sustainability is a work in progress, an evolving concept that has different emphases in different countries and at different points in time. However, one of the shared challenges is to balance different components (environment, society, economy) in a world that is continually transforming and becoming increasingly urban.

5. Conclusions

The UN extension coupled with the InVEST suite of models can be a useful tool for decision makers to explore the impacts of urbanization and agricultural practices at different levels of governance on local nutritional security and ecosystem services. This paper used different scenarios of land use and agricultural production systems to determine impacts on crop production and soil erosion, and consequent impacts on nutrition and available calories in a local population. The UN extension was exemplified in a developing metropolitan area, TMZ, Mexico. Results confirmed that, given limited cropland, agricultural strategies that diversify crop types can nutritionally support larger urban populations, promote a healthier diet, and could synergize ecosystem services, leading to more sustainable urban societies as opposed to strategies that prioritize monocultures. This paper provides examples of how decision makers can use the UN extension and the InVEST models together to make better informed decisions about land use planning and policies on agricultural production to identify nutritional needs in a local population, as well as how progress towards urban sustainability can be achieved independent of land use distributions. This research can be used as a basis for developing a decision support system that analyzes the impacts of land use decisions and agricultural practices on nutritional security, while recognizing the importance of incorporating the value of ecosystem services in a highly urbanized world.

Supplementary Materials

The following supporting information can be downloaded at: https://www.mdpi.com/article/10.3390/su14137607/s1, Table S1: Hypothetical landuse scenarios; Table S2: Required data and outputs generated by InVEST models; Table S3: Scenario 1. Nutrient comparison between agriculture land dominated by monocultures versus crop diversity: (a) Macronutrient production, (b) Mineral production, (c) Vitamin production; Table S4: Scenario 2. Nutrient comparison between agriculture land dominated by monocultures versus crop diversity: (a) Macronutrient production, (b) Mineral production, (c) Vitamin production; Table S5: Scenario 3. Nutrient comparison between agriculture land dominated by monocultures versus crop diversity: (a) Macronutrient production, (b) Mineral production, (c) Vitamin production.

Author Contributions

A.V.T. is the lead and corresponding author with overall responsibility for the article. A.V.T., C.T. and S.F.A. contributed to the development, analysis, and writing of this paper. A.V.T. developed the idea, obtained, and processed data, synthesized results, and lead the paper writing. C.T. developed the idea, generated scenarios with Python, wrote part of the methods, guided discussion, and edited text. S.F.A. developed the idea, wrote parts of the paper, guided discussion, and edited figures and text. All authors have read and agreed to the published version of the manuscript.

Funding

This research received no external funding.

Data Availability Statement

The authors declare that the main data supporting the findings of this study are available within the article and its Supplementary Information file. Extra data are available from the corresponding author upon request.

Conflicts of Interest

The authors declare no conflict of interests.

References

  1. Hofmann, A.; Wan, G. Determinants of Urbanization; ADB Economics Working Paper Series; Asian Development Bank: Mandaluyong, Philippines, 2013. [Google Scholar]
  2. He, X.; Sim, N.C. Does economic growth affect urbanization? New evidence from China and the Chinese National Congress. J. Asian Econ. 2015, 36, 62–71. [Google Scholar] [CrossRef]
  3. Henderson, V. The Urbanization Process and Economic Growth: The So-What Question. J. Econ. Growth 2003, 8, 47–71. [Google Scholar] [CrossRef]
  4. Chen, M.; Zhang, H.; Liu, W.; Zhang, W. The Global Pattern of Urbanization and Economic Growth: Evidence from the Last Three Decades. PLoS ONE 2014, 9, e103799. [Google Scholar] [CrossRef] [PubMed] [Green Version]
  5. Khush, G.S. Green revolution: Preparing for the 21st century. Genome 1999, 42, 646–655. [Google Scholar] [CrossRef]
  6. Tilman, D. The greening of the green revolution. Nature 1998, 396, 211–212. [Google Scholar] [CrossRef]
  7. Cecchini, M.; Zambon, I.; Pontrandolfi, A.; Turco, R.; Colantoni, A.; Mavrakis, A.; Salvati, L. Urban sprawl and the ‘olive’landscape: Sustainable land management for ‘crisis’ cities. GeoJournal 2019, 84, 237–255. [Google Scholar] [CrossRef]
  8. Hurni, H.; Abate, S.; Bantider, A.; Debele, B.; Ludi, E.; Portner, B.; Yitaferu, B.; Zeleke, G. Land degradation and sustainable land management in the Highlands of Ethiopia. In Global Change and Sustainable Development; Cambridge University Press: Cambridge, UK, 2010. [Google Scholar]
  9. Gomiero, T.; Pimentel, D.; Paoletti, M.G. Environmental Impact of Different Agricultural Management Practices: Conventional vs. Organic Agriculture. Crit. Rev. Plant Sci. 2011, 30, 95–124. [Google Scholar] [CrossRef]
  10. Partelow, S. A review of the social-ecological systems framework. Ecol. Soc. 2018, 23, 36. [Google Scholar] [CrossRef]
  11. Matsler, M.; McPhillips, L.E.; Rosenzweig, B.R.; Groffman, P.M.; Elser, S.; Grimm, N.B.; Chang, H.; Zimmerman, R. Green Infrastructure Implementation and Performance: Lessons learned from Nine US and Latin American Cities in the Urban Resilience to Extremes Sustainability Research Network (UREx SRN). In Proceedings of the AGU Fall Meeting 2019, San Francisco, CA, USA, 9–13 December 2019. [Google Scholar]
  12. Märker, C.; Venghaus, S.; Hake, J.-F. Integrated governance for the food–energy–water nexus–The scope of action for institutional change. Renew. Sustain. Energy Rev. 2018, 97, 290–300. [Google Scholar] [CrossRef]
  13. Wu, J. Landscape sustainability science: Ecosystem services and human well-being in changing landscapes. Landsc. Ecol. 2013, 28, 999–1023. [Google Scholar] [CrossRef]
  14. Huang, L.; Xiang, W.; Wu, J.; Traxler, C.; Huang, J. Integrating GeoDesign with Landscape Sustainability Science. Sustainability 2019, 11, 833. [Google Scholar] [CrossRef] [Green Version]
  15. Huang, S.-L.; Wong, J.-H.; Chen, T.-C. A framework of indicator system for measuring Taipei’s urban sustainability. Landsc. Urban Plan. 1998, 42, 15–27. [Google Scholar] [CrossRef]
  16. Climate Technology Centre & Network (CTCN). Crop Diversification and New Varieties. United Nations Environment Programme. 2021. Available online: https://www.ctc-n.org/technologies/crop-diversification-and-new-varieties (accessed on 25 October 2021).
  17. Bommarco, R.; Kleijn, D.; Potts, S.G. Ecological intensification: Harnessing ecosystem services for food security. Trends Ecol. Evol. 2013, 28, 230–238. [Google Scholar] [CrossRef]
  18. Bennett, E.M.; Chaplin-Kramer, R. Science for the sustainable use of ecosystem services. F1000Research 2016, 5, 2622. [Google Scholar] [CrossRef] [PubMed] [Green Version]
  19. Schröter, M.; Stumpf, K.H.; Loos, J.; van Oudenhoven, A.; Böhnke-Henrichs, A.; Abson, D. Refocusing ecosystem services towards sustainability. Ecosyst. Serv. 2017, 25, 35–43. [Google Scholar] [CrossRef]
  20. Torres, A.V.; Tiwari, C.; Atkinson, S.F. Progress in ecosystem services research: A guide for scholars and practitioners. Ecosyst. Serv. 2021, 49, 101267. [Google Scholar] [CrossRef]
  21. Goodland, R. The concept of environmental sustainability. Annu. Rev. Ecol. Syst. 1995, 26, 1–24. [Google Scholar] [CrossRef]
  22. Faber, N.; Jorna, R.; van Engelen, J. The sustainability of “sustainability”—A study into the conceptual foundations of the notion of “sustainability”. In Tools, Techniques and Approaches for Sustainability: Collected Writings in Environmental Assessment Policy and Management; World Scientific: Singapore, 2010; pp. 337–369. [Google Scholar]
  23. Brundtland, G.H. What is sustainable development. In Our Common Future; Oxford University Press: Oxford, UK, 1987; Volume 8. [Google Scholar]
  24. SU. Natural Capital Project; InVEST Software Platform: Stanford, CA, USA, 2021; Available online: https://naturalcapitalproject.stanford.edu/software/invest (accessed on 1 June 2022).
  25. Dennedy-Frank, P.J.; Muenich, R.L.; Chaubey, I.; Ziv, G. Comparing two tools for ecosystem service assessments regarding water resources decisions. J. Environ. Manag. 2016, 177, 331–340. [Google Scholar] [CrossRef] [Green Version]
  26. Nelson, E.; Mendoza, G.; Regetz, J.; Polasky, S.; Tallis, H.; Cameron, D.; Chan, K.M.; Daily, G.C.; Goldstein, J.; Kareiva, P.M.; et al. Modeling multiple ecosystem services, biodiversity conservation, commodity production, and tradeoffs at landscape scales. Front. Ecol. Environ. 2009, 7, 4–11. [Google Scholar] [CrossRef]
  27. Scorza, F.; Pilogallo, A.; Saganeiti, L.; Murgante, B.; Pontrandolfi, P. Comparing the territorial performances of renewable energy sources’ plants with an integrated ecosystem services loss assessment: A case study from the Basilicata region (Italy). Sustain. Cities Soc. 2020, 56, 102082. [Google Scholar] [CrossRef]
  28. Sharp, R.; Douglass, J.; Wolny, S.; Arkema, K.; Bernhardt, J.; Bierbower, W.; Chaumont, N.; Denu, D.; Fisher, D.; Glowinski, K.; et al. InVEST 3.8. 7. User’s Guide; The Natural Capital Project, Standford University, University of Minnesota, The Nature Conservancy, and World Wildlife Fund: Standford, CA, USA, 2020. [Google Scholar]
  29. Marques, A.; Martins, I.S.; Kastner, T.; Plutzar, C.; Theurl, M.C.; Eisenmenger, N.; Huijbregts, M.A.J.; Wood, R.; Stadler, K.; Bruckner, M.; et al. Increasing impacts of land use on biodiversity and carbon sequestration driven by population and economic growth. Nat. Ecol. Evol. 2019, 3, 628–637. [Google Scholar] [CrossRef] [PubMed]
  30. Smith, D.P.; Atkinson, S.F. Accuracy of rectification using topographic map versus GPS ground control points. Photogramm. Eng. Remote Sens. 2001, 67, 565–570. [Google Scholar]
  31. Dados, N.; Connell, R. The global south. Contexts 2012, 11, 12–13. [Google Scholar] [CrossRef] [Green Version]
  32. Hever, J.; Cronise, R.J. Plant-based nutrition for healthcare professionals: Implementing diet as a primary modality in the prevention and treatment of chronic disease. J. Geriatr. Cardiol. 2017, 14, 355–368. [Google Scholar]
  33. McMacken, M.; Shah, S. A plant-based diet for the prevention and treatment of type 2 diabetes. J. Geriatr. Cardiol. 2017, 14, 342–354. [Google Scholar]
  34. Wright, N.; Wilson, L.; Smith, M.; Duncan, B.; McHugh, P. The BROAD study: A randomised controlled trial using a whole food plant-based diet in the community for obesity, ischaemic heart disease or diabetes. Nutr. Diabetes 2017, 7, e256. [Google Scholar] [CrossRef]
  35. Lai, Z.; Li, S.; Lv, G.; Pan, Z.; Fei, G. Watershed delineation using hydrographic features and a DEM in plain river network region. Hydrol. Process. 2015, 30, 276–288. [Google Scholar] [CrossRef]
  36. Consejo Nacional de Biodiversidad (CONABIO). Portal de Geoinformación 2022. Sistema Nacional de Información Sobre Biodiversidad (SNIB). 2022. Available online: http://www.conabio.gob.mx/informacion/gis/ (accessed on 15 February 2022).
  37. Instituto Nacional de Estadística Geografía.e.Informática (INEGI). Edafología. 2022. Available online: https://www.inegi.org.mx/temas/edafologia/ (accessed on 16 January 2022).
  38. European Soil Data Centrem (ESDAC). Rainfall Erosivity in Europe. European Commission. 2021. Available online: https://esdac.jrc.ec.europa.eu/themes/rainfall-erosivity-europe (accessed on 28 August 2021).
  39. Wallinga, D. Today’s food system: How healthy is it? J. Hunger. Environ. Nutr. 2009, 4, 251–281. [Google Scholar] [CrossRef]
  40. Messner, R.; Johnson, H.; Richards, C. From surplus-to-waste: A study of systemic overproduction, surplus and food waste in horticultural supply chains. J. Clean. Prod. 2020, 278, 123952. [Google Scholar] [CrossRef]
  41. Zahniser, S.; López, N.F.L.; Motamed, M.; Vargas, Z.Y.S.; Capehart, T. The Growing Corn Economies of Mexico and the United States; FDS-19f-01; US Department of Agriculture Economic Research Service: Washington, DC, USA, 2019.
  42. Altieri, M.A. The Ecological Impacts of Large-Scale Agrofuel Monoculture Production Systems in the Americas. Bull. Sci. Technol. Soc. 2009, 29, 236–244. [Google Scholar] [CrossRef]
  43. Berti, M.T.; Cecchin, A.; Samarappuli, D.P.; Patel, S.; Lenssen, A.W.; Moore, K.J.; Wells, S.S.; Kazula, M.J. Alfalfa Established Successfully in Intercropping with Corn in the Midwest US. Agronomy 2021, 11, 1676. [Google Scholar] [CrossRef]
  44. Baker, P.; Machado, P.; Santos, T.; Sievert, K.; Backholer, K.; Hadjikakou, M.; Russell, C.; Huse, O.; Bell, C.; Scrinis, G.; et al. Ultra-processed foods and the nutrition transition: Global, regional and national trends, food systems transformations and political economy drivers. Obes. Rev. 2020, 21, e13126. [Google Scholar] [CrossRef] [PubMed]
  45. Popkin, B.M. Relationship between shifts in food system dynamics and acceleration of the global nutrition transition. Nutr. Rev. 2017, 75, 73–82. [Google Scholar] [CrossRef] [PubMed] [Green Version]
  46. Smith, P. Delivering food security without increasing pressure on land. Glob. Food Secur. 2012, 2, 18–23. [Google Scholar] [CrossRef]
  47. Nguyen, J.Y.; Major, J.M.; Knott, C.J.; Freeman, K.M.; Downs, T.M.; Saxe, G.A. Adoption of a Plant-Based Diet by Patients with Recurrent Prostate Cancer. Integr. Cancer Ther. 2006, 5, 214–223. [Google Scholar] [CrossRef] [Green Version]
  48. Madigan, M.; Karhu, E. The role of plant-based nutrition in cancer prevention. J. Unexplored Med. Data 2018, 3, 9. [Google Scholar] [CrossRef]
  49. Hu, F.B. Plant-based foods and prevention of cardiovascular disease: An overview. Am. J. Clin. Nutr. 2003, 78, 544S–551S. [Google Scholar] [CrossRef] [Green Version]
  50. Storz, M.A. Reduced Diabetes Medication Needs with a Plant-Based Diet. J. Am. Coll. Nutr. 2019, 39, 574–577. [Google Scholar] [CrossRef]
  51. Arab, L.; Steck, S. Lycopene and cardiovascular disease. Am. J. Clin. Nutr. 2000, 71, 1691S–1695S. [Google Scholar] [CrossRef] [Green Version]
  52. Lim, J.Y.; Wang, X.-D. Mechanistic understanding of β-cryptoxanthin and lycopene in cancer prevention in animal models. Biochim. Biophys. Acta BBA Mol. Cell Biol. Lipids 2020, 1865, 158652. [Google Scholar] [CrossRef]
  53. Srivastava, S.; Srivastava, A.K. Lycopene; chemistry, biosynthesis, metabolism and degradation under various abiotic parameters. J. Food Sci. Technol. 2013, 52, 41–53. [Google Scholar] [CrossRef]
  54. Hever, J. Plant-based diets: A physician’s guide. Perm. J. 2016, 20, 15–82. [Google Scholar] [CrossRef] [PubMed] [Green Version]
  55. David, J.; Fencl, F. Life-threatening Manifestations of Vitamin B12 Deficiency in Infants on a Vegan Diet. Klin. Pädiatrie 2021, 233, 306–307. [Google Scholar] [CrossRef] [PubMed]
  56. Elmqvist, T.; Setälä, H.; Handel, S.N.; Van Der Ploeg, S.; Aronson, J.; Blignaut, J.N.; Gomez-Baggethun, E.; Nowak, D.J.; Kronenberg, J.; De Groot, R. Benefits of restoring ecosystem services in urban areas. Curr. Opin. Environ. Sustain. 2015, 14, 101–108. [Google Scholar] [CrossRef] [Green Version]
  57. McPhearson, T.; Andersson, E.; Elmqvist, T.; Frantzeskaki, N. Resilience of and through urban ecosystem services. Ecosyst. Serv. 2014, 12, 152–156. [Google Scholar] [CrossRef]
Figure 1. Conceptual framework for examining the complex interplay between urbanization and land use change, agricultural practices, and ecosystem services: urban nutrition (UN) framework.
Figure 1. Conceptual framework for examining the complex interplay between urbanization and land use change, agricultural practices, and ecosystem services: urban nutrition (UN) framework.
Sustainability 14 07607 g001
Figure 2. Land use classification of synthetic land use scenarios: (a) Scenario 1: economic and urban growth, (b) Scenario 2: forest conservation, (c) Scenario 3: integrated.
Figure 2. Land use classification of synthetic land use scenarios: (a) Scenario 1: economic and urban growth, (b) Scenario 2: forest conservation, (c) Scenario 3: integrated.
Sustainability 14 07607 g002
Figure 3. Comparison of total soil export (tons/ha) in three planning scenarios: (a) economic and urban growth, (b) forest conservation, and (c) integrated.
Figure 3. Comparison of total soil export (tons/ha) in three planning scenarios: (a) economic and urban growth, (b) forest conservation, and (c) integrated.
Sustainability 14 07607 g003
Figure 4. Total population that can be nutritionally supported in each land use scenario according to the agriculture technique: monoculture or crop diversity for the following nutrients: (a) energy, (b) protein, (c) fat, (d) vitamin A, (e) vitamin B complex, (f) vitamin C, (g) vitamin E, (h) vitamin K, (i) minerals.
Figure 4. Total population that can be nutritionally supported in each land use scenario according to the agriculture technique: monoculture or crop diversity for the following nutrients: (a) energy, (b) protein, (c) fat, (d) vitamin A, (e) vitamin B complex, (f) vitamin C, (g) vitamin E, (h) vitamin K, (i) minerals.
Sustainability 14 07607 g004
Table 1. Comparison between crop production and soil erosion.
Table 1. Comparison between crop production and soil erosion.
ScenariosCrop Area (ha) Total Corn
Production
(Tons/Year)
Soil Export (Tons/ha)Potential Soil Loss (Tons/ha)Sediment
Retention (Tons/ha)
Sediment
Deposition (Tons/ha)
Economic and
urban growth
42,28113,97724170217144
Forest conservation52,71723,42422162219137
Integrated63,42124,06425179215151
Table 2. Nutrients obtained from different land use scenarios and crop production systems (monoculture versus crop diversity) and total population size that can be supported for each nutrient.
Table 2. Nutrients obtained from different land use scenarios and crop production systems (monoculture versus crop diversity) and total population size that can be supported for each nutrient.
Scenario 1:
Economic and Urban Growth
Scenario 2:
Forest Conservation
Scenario 3:
Integrated
Population Supported per Day for Approximately 42,000 ha of
Agriculture
Population Supported per Day for Approximately 52,000 ha of
Agriculture
Population Supported per Day for Approximately 60,000 ha of
Agriculture
NutrientUpper Limit RDA or AIUnitsCorn
Monoculture
Crop
Diversity
Improvement
Index
Corn
Monoculture
Crop
Diversity
Improvement
Index
Corn
Monoculture
Crop
Diversity
Improvement
Index
Energy8368KJ69,737189,7792.7117,148252,8072.2120,306290,0612.4
Fat77g23,573126,046 *5.339,519161,369 *4.140,584186,396 *4.6
Protein56g64,415331,8025.2107,990435,7534.0110,900504,3144.5
Ca1300mg2062184,00589.23457237,61768.73550280,56079.0
Fe18mg57,653337,3535.996,653439,3024.599,258519,3965.2
K3400mg32,324574,70217.854,190748,84413.855,651873,07215.7
Mg420mg115,793458,0514.0194,121598,7663.1199,353705,3513.5
Mn2.3mg80,7501,027,25112.7135,3731,333,9209.9139,0221,576,08111.3
Se55mcg107,919293,3472.7180,921399,2222.2185,797463,7562.5
Zn11mg76,936279,2653.6128,979368,8212.9132,455427,6703.2
Vit A3000IU27,3161,665,25361.045,7942,093,14145.747,0292,734,84558.2
Vit C90mg0 *2,089,506N/A0 *2,701,635N/A0 *3,122,470N/A
Vit E15mg12,509157,07112.620,971201,5079.621,536244,48611.4
Vit K120mcg9571,451,0191516.216051,845,0281149.616482,559,8301553.3
Thiamine (B1)1.2mg64,142492,8007.7205,967646,3513.1211,519745,1163.5
Riboflavin (B2)1.3mg113,408275,1222.499,259358,9933.6101,935425,9284.2
Niacin (B3)16mg86,807303,2063.5145,528403,2482.8149,450466,3683.1
Pantothenic (B5)5mg32,473268,9628.354,440354,5796.555,907406,9307.3
Vit B61.7mg140,110447,2613.2234,888588,1602.5241,219682,6602.8
Folate (B9)400mcg18,190956,84052.630,4941,229,41040.331,3161,460,29346.6
LycopeneN/AmcgN/AN/AN/AN/AN/AN/AN/AN/AN/A
* Limiting nutrient—Nutrient that supports the least population.
Publisher’s Note: MDPI stays neutral with regard to jurisdictional claims in published maps and institutional affiliations.

Share and Cite

MDPI and ACS Style

Valencia Torres, A.; Tiwari, C.; Atkinson, S.F. Sustaining Human Nutrition in an Increasingly Urban World. Sustainability 2022, 14, 7607. https://doi.org/10.3390/su14137607

AMA Style

Valencia Torres A, Tiwari C, Atkinson SF. Sustaining Human Nutrition in an Increasingly Urban World. Sustainability. 2022; 14(13):7607. https://doi.org/10.3390/su14137607

Chicago/Turabian Style

Valencia Torres, Angélica, Chetan Tiwari, and Samuel F. Atkinson. 2022. "Sustaining Human Nutrition in an Increasingly Urban World" Sustainability 14, no. 13: 7607. https://doi.org/10.3390/su14137607

APA Style

Valencia Torres, A., Tiwari, C., & Atkinson, S. F. (2022). Sustaining Human Nutrition in an Increasingly Urban World. Sustainability, 14(13), 7607. https://doi.org/10.3390/su14137607

Note that from the first issue of 2016, this journal uses article numbers instead of page numbers. See further details here.

Article Metrics

Back to TopTop