Development and Optimization of a Sustainable Process Assisted by Microwave Energy to Dye Cellulosic Fabrics by Juglans regia Barks Residues Extract
Abstract
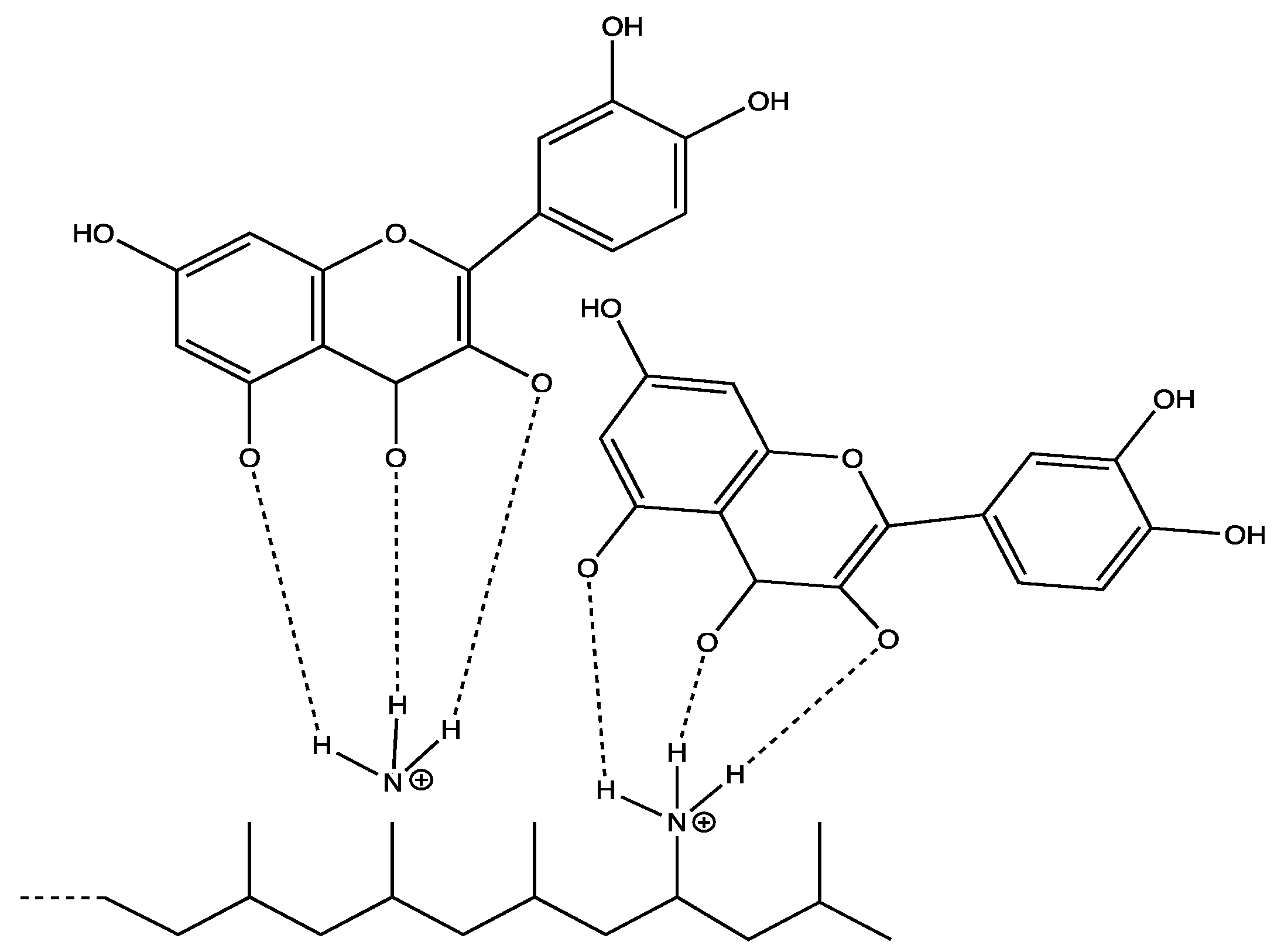
:1. Introduction
2. Materials and Methods
2.1. Material Preparation
2.2. Extraction Process of Natural Dye
2.3. Determination of the Content of Colored Compounds
2.4. Spectroscopic Analysis of Colored Components
2.5. Microwave Dyeing Process
2.6. Mordanting Processes
2.7. Dyeing Quality Evaluation
2.8. Testing the Fastness Properties of Dyed Fabrics
2.9. Fourier Transform Infrared Spectroscopic Analysis
2.10. Statistical Analysis
2.11. DPPH Radical Scavenging Assay
2.11.1. Antioxidant Activity of The Coloring Extract
2.11.2. Anti-Oxidant Activity of Dyed Cotton Fabrics
3. Results and Discussion
3.1. Characterization of The Aqueous Extract of Juglans Regia Barks
3.1.1. Characterization by UV-Visible Spectroscopy
3.1.2. Determination of Composition
3.1.3. Antioxidant Activity Measurement
3.2. Development of a Dyeing Process for Cellulosic Fabrics with Juglans Regia Barks Residues Extract
3.2.1. Effect of The Cotton Cationization on Dyeing Quality
3.2.2. Effect of pH on Dyeing Quality of Cationized Cellulosic Fabrics
3.2.3. Effect of Microwave Power on Dyeing Quality of Cationized Cellulosic Fabrics
3.2.4. Effect of Duration on Dyeing Quality of Cationized Cellulosic Fabrics
3.2.5. Effect of Pre-Mordanting on The Dyeing Quality of Cationized Cellulosic Fabrics
Effect on Colorimetric Coordinates and Color Strength of Cationized Cellulosic Fabrics
Effect on Fastness Properties of Cationized Cellulosic Fabrics
3.2.6. Characterization of Raw and Dyed Cotton Fibers
3.3. Optimization of Cationized Cotton Dyeing by The Extract of Juglans Regia Barks Residues
3.3.1. Response Surface Design
3.3.2. Regression Equation Analysis
3.3.3. Main Effects Graph Evaluation
- -
- A percentage of cationizing agent ranging from 3 to 6.5% significantly improved the color strength K/S. However, a higher percentage causes a decrease in K/S.
- -
- The pH ranging from 3 to 7 positively affected the color strength. For a pH greater than 7 K/S weakened.
- -
- The effect of the dyeing power is positive. An increase in power up to 625 W stimulated the K/S response. For a power greater than 625 W the effect became practically negligible.
- -
- A dyeing duration of 3–4 min positively affected the K/S response. Beyond 4 min, the K/S response decreased.
3.3.4. Interaction Diagram Evaluation
3.3.5. Contours Graph Evaluation
3.3.6. Response Optimization
3.4. Antioxidant Activity of Cotton Dyed with Barks Extract
4. Conclusions
Author Contributions
Funding
Data Availability Statement
Acknowledgments
Conflicts of Interest
References
- Dhouibi, N.; Ben Ticha, M.; Raddaoui, H.; Boudokhane, C.; Dhaouadi, H. Valorization and Reuse of Centaurea Kroumeriensis Hydrodistillation Effluent:A Sustainable Phytodyeing Process for Wool Fabrics. Fibers Polym. 2021, 22, 2238–2250. [Google Scholar] [CrossRef]
- Souissi, M.; Guesmi, A.; Moussa, A. Valorization of natural dye extracted from date palm pits (Phoenix dactylifera) for dyeing of cotton fabric. Part 1: Optimization of extraction process using Taguchi design. J. Clean. Prod. 2018, 202, 1045–1055. [Google Scholar] [CrossRef]
- Vankar, P.S.; Shanker, R.; Srivastava, J. Ultrasonic dyeing of cotton fabric with aqueous extract of Eclipta alba. Dyes Pigm. 2007, 72, 33–37. [Google Scholar] [CrossRef]
- Clydestale, F.M. Color as a factor in food Choice. Crit. Rev. Food Sci. Nutr. 2009, 33, 38–101. [Google Scholar] [CrossRef] [PubMed]
- Wrolstad, R.E. Anthocyanin Pigments: Bioactivity and Coloring Properties. J. Food Sci. 2004, 69, 419–425. [Google Scholar] [CrossRef]
- Geetha, B.; Sumathy, V.J.H. Extraction of Natural Dyes from Plants. Int. J. Pharm. Chem. 2013, 1, 502–509. [Google Scholar]
- Siva, R. Status of natural dyes and dye-yielding plants in India. Curr. Sci. 2007, 92, 916–925. [Google Scholar]
- Prabhavathi, R.; Sharada, A.; Anitha, A. Improving the Colour Fastness of the Selected Natural Dyes on Cotton (Improving the sunlight fastness and washfastness of the eucalyptus barks dye on cotton). J. Polymer Text. Eng. 2014, 1, 27–30. [Google Scholar]
- Haddar, W.; Baaka, N.; Meksi, N.; Elksibi, I.; Mhenni, M.F. Optimization of an ecofriendly dyeing process using the wastewater of the olive oil industry as natural dyes for acrylic fibers. J. Clean. Prod. 2014, 66, 546–554. [Google Scholar] [CrossRef]
- Ben Ticha, M.; Meksi, N.; Attia, H.; Haddar, W.; Guesmi, A.; Ben Jannet, H.; Mhenni, M.F. Ultrasonic extraction of Parthenocissus quinquefolia colorants: Extract identification by HPLC-MS analysis and cleaner application on the phytodyeing of natural fibres. Dyes Pigm. 2017, 141, 103–111. [Google Scholar] [CrossRef]
- Baaka, N.; Haddar, W.; Ben Ticha, M.; Amorim, M.T.P.; MHenni, M.F. Sustainability issues of ultrasonic wool dyeing with grape pomace colourant. Nat. Prod. Res. 2017, 31, 1655–1662. [Google Scholar] [CrossRef] [PubMed]
- Pérez Cid, B.; Fernández Alborés, A.; Fernández Gómez, E.; Falqué López, E. Use of microwave single extractions for metal fractionation in sewage sludge samples. Anal. Chim. Acta 2001, 431, 209–218. [Google Scholar] [CrossRef]
- Pasquet, V.; Chérouvrier, J.R.; Farhat, F.; Thiéry, V.; Piot, J.M.; Bérard, J.B.; Kaas, R.; Serive, B.; Patrice, P.; Cadoret, J.P.; et al. Study on the microalgal pigments extraction process: Performance of microwave assisted extraction. Process Biochem. 2011, 46, 59–67. [Google Scholar] [CrossRef] [Green Version]
- Ben Ticha, M.; Slama, N.; Dhouibi, N.; Boudokhane, C.; Dhaouadi, H. Barks Residues Recovery of Juglans Regia. L For the Dyeing of Wool Fabrics: Development of Microwave-assisted Extraction and Dyeing Processes. J. Nat. Fibers. 2021. [Google Scholar]
- Saleh, M.; Abd El-Baset, Y.A.; El-Badry, K.H. Dyeing of Cationized Cotton Fabrics with Natural Dye Extracted from Acacia. Int. J. Text. Sci. 2013, 2, 30–35. [Google Scholar]
- Hwang, J.S.; Park, S.Y. Application of green husk of Juglans regia Linn and effect of mordants for staining of silk. J. Converg. Inf. Technol. 2013, 12, 279–283. [Google Scholar]
- Ali, M.K.; Islam, S.; Mohammad, F. Extraction of natural dye from walnut barks and its dyeing properties on wool yarn. J. Nat. Fibers 2016, 13, 458–469. [Google Scholar]
- Ben Ticha, M.; Slama, N.; Dhouibi, N.; Boudokhane, C.; Dhaouadi, H. Valorization of Juglans Regia. L Barks residues as a natural colorant basing on a response surface methodology: A chal-lenging approach for a sustainable dyeing process of acrylic fabrics. Sustainability 2022, 14, 4134. [Google Scholar] [CrossRef]
- Swain, T.; Hillis, W.E. The phenolic constituents of Prunus domestica. I.—The quantitative analysis of phenolic constituents. J. Sci. Food Agric. 1959, 10, 63–68. [Google Scholar] [CrossRef]
- Butler, L.G.; Price, M.L.; Brotherton, J.E. Vanillin assay for proanthocyanidins (condensed tannins): Modification of the solvent for estimation of the degree of polymerization. J. Agric. Food Chem. 1982, 30, 1087–1089. [Google Scholar] [CrossRef]
- Mole, S.; Waterman, P.G. A critical analysis of techniques for measuring tannins in ecological studies. Oecologia 1987, 72, 137–147. [Google Scholar] [CrossRef] [PubMed]
- Brinkworth, B.J. Interpretation of the Kubelka-Munk Coefficients in Reflection Theory. Appl. Opt. 1972, 11, 1434–1435. [Google Scholar] [CrossRef] [PubMed]
- Brand-Williams, W.; Cuvelie, M.E.; Berset, C. Comparative Studies of the Phytochemical, Antioxidant and Antimicrobial Properties of Cashew Leaf, Barks and Fruits Extracts. LWT 1995, 28, 25–30. [Google Scholar] [CrossRef]
- Hong, K. Preparation and properties of cotton and wool fabrics dyed by black rice extract. Text. Res. J. 2015, 85, 1875–1883. [Google Scholar] [CrossRef]
- Kim, H.; Moon, J.Y.; Kim, H.; Lee, D.S.; Cho, M.; Choi, H.K.; Kim, Y.S.; Mosaddik, A.; Kim Cho, S. Antioxidant and antiproliferative activities of mango (Mangifera indica L.) flesh and peel. Food Chem. 2010, 121, 429–436. [Google Scholar] [CrossRef]
- Ben Ticha, M.; Haddar, W.; Meksi, N.; Guesmi, A.; Mhenni, M.F. Improving dyeability of modified cotton fabrics by the natural aqueous extract from red cabbage using ultrasonic energy. Carbohydr. Polym. 2016, 154, 287–295. [Google Scholar] [CrossRef]
- Kamel, M.M.; El-Shishtawy, R.M.; Youssef, B.M.; Mashaly, H. Ultrasonic assisted dyeing. IV. Dyeing of cationised cotton with lac natural dye. Dyes Pigm. 2007, 73, 279–284. [Google Scholar] [CrossRef]
- Kamel, M.M.; El Zawahry, M.M.; Ahmed, N.S.E.; Abdelghaffar, F. Ultrasonic dyeing of cationized cotton fabric with natural dye. Part 1: Cationization of cotton using Solfix E. Ultrason Sonochem. 2009, 16, 243–249. [Google Scholar] [CrossRef]
- Kamel, M.M.; El Zawahry, M.M.; Ahmed, N.S.E.; Abdelghaffar, F. Ultrasonic dyeing of cationized cotton fabric with natural dye. Part 2: Cationization of cotton using Quat 188. Ind. Crops Prod. 2011, 34, 1410–1417. [Google Scholar] [CrossRef]
- Haddar, W.; BenTicha, M.; Guessmi, A.; Khoffi, F.; Durand, B. A novel approach for a natural dyeing process of cotton fabric with Hibiscus mutabilis (Gulzuba): Process development and optimization using statistical analysis. J. Clean. Prod. 2014, 68, 114–120. [Google Scholar] [CrossRef]
- Bouatay, F.; Baaka, N.; Shahid, A.; Mhenni, M.F. A novel natural source Vicia faba L. membranes as colourant: Development and optimisation of the extraction process using response surface methodology (RSM). Nat. Prod. Res. 2019, 33, 59–65. [Google Scholar] [CrossRef] [PubMed]






| Factors | L* | a* | b* | Samples | K/S | |
|---|---|---|---|---|---|---|
| Cationizing agent (%) | 0 | 71.53 | 4.50 | 13.44 | ![]() | 0.9 |
| 3 | 53.78 | 9.05 | 15.01 | ![]() | 3.37 | |
| 5 | 51.09 | 10.3 | 15.66 | ![]() | 3.63 | |
| 7 | 53.76 | 9.88 | 16.14 | ![]() | 3.6 | |
| 10 | 56.59 | 8.16 | 16.29 | ![]() | 3.58 | |
| 12 | 55.83 | 8.97 | 17.56 | ![]() | 3.6 | |
| 15 | 54.96 | 9.32 | 17.92 | ![]() | 4.12 | |
| 17 | 54.38 | 9.15 | 18.01 | ![]() | 4.23 | |
| 20 | 52.34 | 8.79 | 17.12 | ![]() | 4.80 | |
| pH | 3 | 73.67 | 4.65 | 17.26 | ![]() | 1.12 |
| 5 | 74.40 | 4.22 | 15.44 | ![]() | 0.97 | |
| 7 | 66.43 | 7.4 | 18.05 | ![]() | 1.99 | |
| 9 | 60.38 | 9.60 | 16.95 | ![]() | 2.57 | |
| 11 | 55.84 | 7.44 | 16.00 | ![]() | 3 | |
| 13 | 68.64 | 5.22 | 11.24 | ![]() | 1.34 | |
| Microwave power (W) | 160 | 62.20 | 8.90 | 18.55 | ![]() | 2.50 |
| 350 | 55.67 | 8.86 | 16.86 | ![]() | 3.39 | |
| 500 | 52.25 | 10.23 | 16.94 | ![]() | 4.23 | |
| 650 | 51.98 | 10.19 | 17.20 | ![]() | 4.44 | |
| 750 | 51.80 | 9.45 | 16.84 | ![]() | 5.30 | |
| 850 | 52.66 | 8.99 | 16.15 | ![]() | 4.80 | |
| Duration (min) | 0.5 | 52.64 | 10.37 | 15.89 | ![]() | 2.07 |
| 1 | 55.48 | 9.70 | 12.63 | ![]() | 2.43 | |
| 2 | 49.92 | 10.15 | 11.53 | ![]() | 3.03 | |
| 3 | 54.91 | 9.52 | 12.49 | ![]() | 4.44 | |
| 4 | 44.70 | 10.19 | 11.60 | ![]() | 3.77 | |
| 5 | 50.37 | 9.20 | 11.86 | ![]() | 3.8 | |
| Mordant | L* | a* | b* | K/S | Samples | |
|---|---|---|---|---|---|---|
| Without mordanting | ------------ | 54.49 | 8.59 | 16.39 | 3.82 | ![]() |
| Pre-mordanting | Copper sulfate | 44.12 | 8.45 | 11.56 | 5.89 | ![]() |
| Iron sulfate | 44.37 | 4.35 | 8.92 | 5.21 | ![]() | |
| Mimosa | 51.61 | 9.44 | 18.40 | 5.14 | ![]() | |
| Tin chloride | 59.45 | 8.99 | 18.98 | 3.08 | ![]() | |
| Tannic acid | 54.30 | 10.78 | 20.56 | 4.62 | ![]() |
| Fabric | Mordant | Fastness to Light (ISO 105-B02) | Fastness to Wash (ISO 105-C06) | Fastness to Rubbing (ISO 105-X12). | |
|---|---|---|---|---|---|
| Wet | Dried Up | ||||
| Cotton | Without mordanting | 3 | 3–4 | 3–4 | 4 |
| Iron sulfate | 4 | 4 | 4 | 4–5 | |
| Copper sulfate | 4 | 4–5 | 4 | 4–5 | |
| Tin chloride | 4 | 4 | 4 | 4–5 | |
| Tannic acid | 4 | 4 | 4 | 4–5 | |
| Mimosa | 4 | 4–5 | 4 | 4–5 | |
| Factors | Response | |||
|---|---|---|---|---|
| cat (%) | pH | P (W) | t (min) | K/S |
| 3 | 7 | 500 | 5 | 9.4 |
| 3 | 11 | 500 | 4 | 1.08 |
| 3 | 3 | 625 | 3 | 2 |
| 6.5 | 11 | 750 | 5 | 3.04 |
| 10 | 11 | 500 | 3 | 1.03 |
| 3 | 11 | 750 | 3 | 1.5 |
| 3 | 3 | 750 | 5 | 6.15 |
| 10 | 11 | 625 | 5 | 1.4 |
| 6.5 | 7 | 625 | 4 | 11.04 |
| 10 | 3 | 500 | 5 | 5.5 |
| 10 | 3 | 750 | 4 | 6.2 |
| 6.5 | 3 | 500 | 3 | 2.3 |
| 10 | 7 | 750 | 3 | 6.03 |
Publisher’s Note: MDPI stays neutral with regard to jurisdictional claims in published maps and institutional affiliations. |
© 2022 by the authors. Licensee MDPI, Basel, Switzerland. This article is an open access article distributed under the terms and conditions of the Creative Commons Attribution (CC BY) license (https://creativecommons.org/licenses/by/4.0/).
Share and Cite
Slama, N.; Ben Ticha, M.; Skhiri, W.; Boudokhane, C.; Dhaouadi, H. Development and Optimization of a Sustainable Process Assisted by Microwave Energy to Dye Cellulosic Fabrics by Juglans regia Barks Residues Extract. Sustainability 2022, 14, 7534. https://doi.org/10.3390/su14137534
Slama N, Ben Ticha M, Skhiri W, Boudokhane C, Dhaouadi H. Development and Optimization of a Sustainable Process Assisted by Microwave Energy to Dye Cellulosic Fabrics by Juglans regia Barks Residues Extract. Sustainability. 2022; 14(13):7534. https://doi.org/10.3390/su14137534
Chicago/Turabian StyleSlama, Nourhene, Manel Ben Ticha, Wiem Skhiri, Chedly Boudokhane, and Hatem Dhaouadi. 2022. "Development and Optimization of a Sustainable Process Assisted by Microwave Energy to Dye Cellulosic Fabrics by Juglans regia Barks Residues Extract" Sustainability 14, no. 13: 7534. https://doi.org/10.3390/su14137534
APA StyleSlama, N., Ben Ticha, M., Skhiri, W., Boudokhane, C., & Dhaouadi, H. (2022). Development and Optimization of a Sustainable Process Assisted by Microwave Energy to Dye Cellulosic Fabrics by Juglans regia Barks Residues Extract. Sustainability, 14(13), 7534. https://doi.org/10.3390/su14137534


































