Changes of SOC Content in China’s Shendong Coal Mining Area during 1990–2020 Investigated Using Remote Sensing Techniques
Abstract
:1. Introduction
2. Materials and Methods
2.1. Study Area
2.2. Data Acquisition and Processing
2.2.1. Data Collection and Preprocessing
- (1)
- SOC content data
- (2)
- Remote sensing images
- (3)
- Land use and vegetation coverage data
- Mining intensity data for the Shendong mining area
- (4)
- Meteorological and topographic data
2.2.2. Establishment of Models of SOC Content
- (1)
- Band selection and analysis of SOC spectral properties
- (2)
- SOC content prediction models
2.2.3. Changes of SOC Content and Its Relation with Impacting Factors
- (1)
- Changes in SOC content
- (2)
- Impacting factors of SOC content changes
3. Results
3.1. SOC of Soil Samples
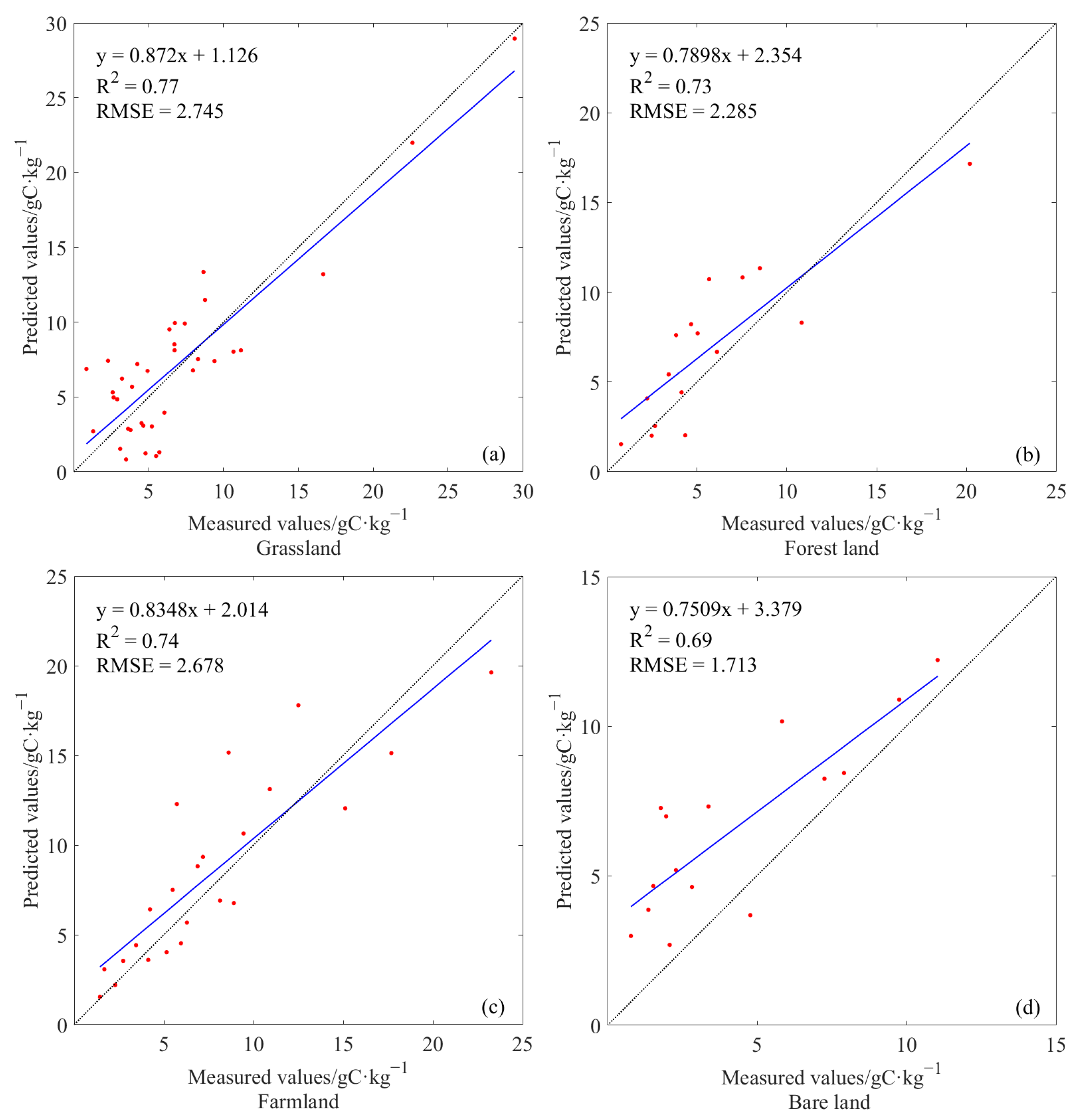
3.2. Established SOC Remote Sensing Prediction Models
3.3. Changes of SOC in Shendong Mining Area
3.3.1. Spatial Patterns of SOC in Shendong Mining Area
3.3.2. SOC Distribution under Different Mining Intensities
3.4. Influential Factors of SOC Changes
4. Discussion
4.1. SOC Prediction Models of Coal Mining Area
4.2. Spatiotemporal Change Properties of SOC
4.3. Influential Factors of SOC Changes
4.4. Implications
5. Conclusions
Author Contributions
Funding
Institutional Review Board Statement
Informed Consent Statement
Data Availability Statement
Acknowledgments
Conflicts of Interest
References
- Liu, P.; Gao, P.; Zhang, C. How to Promote Energy Transition with Market Design: A Review on China’s Electric Power Sector. Front. Energy Res. 2021, 9. [Google Scholar]
- Yuan, Y.; Zhao, Z.; Zhang, P.; Chen, L.; Hu, T.; Niu, S.; Bai, Z. Soil organic carbon and nitrogen pools in reclaimed mine soils under forest and cropland ecosystems in the Loess Plateau, China. Ecol. Eng. 2017, 102, 137–144. [Google Scholar] [CrossRef]
- Yu, Y.; Chen, S.-E.; Deng, K.-Z.; Wang, P.; Fan, H.-D. Subsidence Mechanism and Stability Assessment Methods for Partial Extraction Mines for Sustainable Development of Mining Cities—A Review. Sustainability 2018, 10, 113. [Google Scholar] [CrossRef] [Green Version]
- Miller, B.A.; Koszinski, S.; Wehrhan, M.; Sommer, M. Comparison of spatial association approaches for landscape mapping of soil organic carbon stocks. SOIL 2015, 1, 217–233. [Google Scholar] [CrossRef] [Green Version]
- Zhang, G.S.; Ni, Z.W. Winter tillage impacts on soil organic carbon, aggregation and CO2 emission in a rainfed vegetable cropping system of the mid–Yunnan plateau, China. Soil Tillage Res. 2017, 165, 294–301. [Google Scholar] [CrossRef]
- Batjes, N. Carbon and nitrogen stocks in the soils of Central and Eastern Europe. Soil Use Manag. 2002, 18, 324–329. [Google Scholar] [CrossRef]
- Derrien, M.; Yang, L.; Hur, J. Lipid biomarkers and spectroscopic indices for identifying organic matter sources in aquatic environments: A review. Water Res. 2017, 112, 58–71. [Google Scholar] [CrossRef]
- Berhe, A.A.; Barnes, R.T.; Six, J.; Marín-Spiotta, E. Role of soil erosion in biogeochemical cycling of essential elements: Carbon, nitrogen, and phosphorus. Annu. Rev. Earth Planet. Sci. 2018, 46, 521–548. [Google Scholar] [CrossRef]
- Smith, P. Land use change and soil organic carbon dynamics. Nutr. Cycl. Agroecosystems 2008, 81, 169–178. [Google Scholar] [CrossRef]
- Wang, L.; Okin, G.S.; Caylor, K.K.; Macko, S.A. Spatial heterogeneity and sources of soil carbon in southern African savannas. Geoderma 2009, 149, 402–408. [Google Scholar] [CrossRef]
- Zhao, Y.; Wang, M.; Hu, S.; Zhang, X.; Shi, X. Economics- and policy-driven organic carbon input enhancement dominates soil organic carbon accumulation in Chinese croplands. Proc. Natl. Acad. Sci. USA 2018, 115, 4045. [Google Scholar] [CrossRef] [PubMed] [Green Version]
- Haigh, M.; Reed, H.; Flege, A.; D’Aucourt, M.; Plamping, K.; Cullis, M.; Woodruffe, P.; Sawyer, S.; Panhuis, W.; Wilding, G. Effect of Planting Method on the Growth of Alnus glutinosa and Quercus petraea in Compacted Opencast Coal-Mine Spoils, South Wales. Land Degrad. Dev. 2015, 26, 227–236. [Google Scholar] [CrossRef]
- Chaudhuri, S.; Mcdonald, L.M.; Skousen, J.; Pena-Yewtukhiw, E.M. Soil Organic Carbon Molecular Properties: Effects of Time Since Reclamation in a Minesoil Chronosequence. Land Degrad. Dev. 2015, 26, 237–248. [Google Scholar] [CrossRef]
- Zhou, J.; Sun, X.; Jiao, J.; Liu, M.; Hu, F.; Li, H. Dynamic changes of bacterial community under the influence of bacterial-feeding nematodes grazing in prometryne contaminated soil. Appl. Soil Ecol. 2013, 64, 70–76. [Google Scholar] [CrossRef]
- Lal, R. Digging deeper: A holistic perspective of factors affecting soil organic carbon sequestration in agroecosystems. Glob. Change Biol. 2018, 24, 3285–3301. [Google Scholar] [CrossRef] [PubMed]
- Jian, J.; Du, X.; Reiter, M.S.; Stewart, R.D. A meta-analysis of global cropland soil carbon changes due to cover cropping. Soil Biol. Biochem. 2020, 143, 107735. [Google Scholar] [CrossRef]
- Li, D.; Niu, S.; Luo, Y. Global patterns of the dynamics of soil carbon and nitrogen stocks following afforestation: A meta-analysis. New Phytol. 2012, 195, 172–181. [Google Scholar] [CrossRef] [PubMed]
- Baldrian, P.; Kolarik, M.; Stursova, M.; Kopecky, J.; Valaskova, V.; Vetrovsky, T.; Zifcakova, L.; Snajdr, J.; Ridl, J.; Vlcek, C.; et al. Active and total microbial communities in forest soil are largely different and highly stratified during decomposition. ISME J. 2012, 6, 248–258. [Google Scholar] [CrossRef] [Green Version]
- Clemmensen, K.E.; Bahr, A.; Ovaskainen, O.; Dahlberg, A.; Ekblad, A.; Wallander, H.; Stenlid, J.; Finlay, R.D.; Wardle, D.A.; Lindahl, B.D. Roots and associated fungi drive long-term carbon sequestration in boreal forest. Science 2013, 339, 1615–1618. [Google Scholar] [CrossRef]
- Mcsherry, M.E.; Ritchie, M.E. Effects of grazing on grassland soil carbon: A global review. Glob. Change Biol. 2013, 19, 1347–1357. [Google Scholar] [CrossRef]
- Conant, R.T.; Cerri, C.; Osborne, B.B.; Paustian, K. Grassland management impacts on soil carbon stocks: A new synthesis. Ecol. Appl. 2017, 27, 662–668. [Google Scholar] [CrossRef] [PubMed] [Green Version]
- KöChy, M.; Hiederer, R.; Freibauer, A. Global distribution of soil organic carbon–Part 1: Masses and frequency distributions of SOC stocks for the tropics, permafrost regions, wetlands, and the world. SOIL 2015, 1, 351–365. [Google Scholar] [CrossRef] [Green Version]
- Leifeld, J.; Menichetti, L. The underappreciated potential of peatlands in global climate change mitigation strategies. Nat. Commun. 2018, 9, 1071. [Google Scholar] [CrossRef] [PubMed] [Green Version]
- Rogers, K.; Kelleway, J.J.; Saintilan, N.; Megonigal, J.P.; Adams, J.B.; Holmquist, J.R.; Lu, M.; Schile-Beers, L.; Zawadzki, A.; Mazumder, D. Wetland carbon storage controlled by millennial-scale variation in relative sea-level rise. Nature 2019, 567, 91–95. [Google Scholar] [CrossRef] [PubMed]
- Guo, L.B.; Gifford, R.M. Soil carbon stocks and land use change: A meta analysis. Glob. Change Biol. 2002, 8, 345–360. [Google Scholar] [CrossRef]
- Chen, L.; Gong, J.; Fu, B.; Huang, Z.; Huang, Y.; Gui, L. Effect of land use conversion on soil organic carbon sequestration in the loess hilly area, loess plateau of China. Ecol. Res. 2007, 22, 641–648. [Google Scholar] [CrossRef]
- Laganiere, J.; Angers, D.A.; Pare, D. Carbon accumulation in agricultural soils after afforestation: A meta-analysis. Glob. Change Biol. 2010, 16, 439–453. [Google Scholar] [CrossRef]
- Choudhury, B.U.; Mohapatra, K.P.; Das, A.; Das, P.T.; Nongkhlaw, L.; Fiyaz, R.A.; Ngachan, S.V.; Hazarika, S.; Rajkhowa, D.J.; Munda, G.C. Spatial variability in distribution of organic carbon stocks in the soils of North East India. Curr. Sci. 2013, 104, 604–614. [Google Scholar]
- Baumgartl, T.; Chan, J.; Bucka, F.; Pihlap, E. Soil organic carbon in rehabilitated coal mine soils as an indicator for soil health. In Proceedings of the 14th International Conference on Mine Closure, Ulaanbaatar, Mongolia, 17–19 August 2021. [Google Scholar]
- Xu, Z.; Zhang, Y.; Zhang, S.; Li, L.; Yu, M. Spatial prediction of soil organic carbon content in coal mining subsidence area based on GIS and partition Kriging. Trans. Chin. Soc. Agric. Eng. 2018, 34, 253–259. [Google Scholar]
- Ussiri, D.A.N.; Lal, R.; Jacinthe, P.A. Soil Properties and Carbon Sequestration of Afforested Pastures in Reclaimed Minesoils of Ohio. Soil Sci. Soc. Am. J. 2006, 70, 1797–1806. [Google Scholar] [CrossRef]
- Shrestha, R.K.; Lal, R. Carbon and nitrogen pools in reclaimed land under forest and pasture ecosystems in Ohio, USA. Geoderma 2010, 157, 196–205. [Google Scholar] [CrossRef]
- Bouwman, A.F.; Leemans, R. The role of forest soils in the global carbon cycle. Carbon Funct. For. Soils 1995, 23, 503–525. [Google Scholar]
- Izaurralde, R.C. Cycles of soil. Crop Sci. 2000, 40, 288. [Google Scholar] [CrossRef]
- De Baets, S.; Meersmans, J.; Vanacker, V.; Quine, T.A.; Van Oost, K. Spatial variability and change in soil organic carbon stocks in response to recovery following land abandonment and erosion in mountainous drylands. Soil Use Manag. 2013, 29, 65–76. [Google Scholar] [CrossRef]
- Marín-Spiotta, E.; Sharma, S. Carbon storage in successional and plantation forest soils: A tropical analysis. Glob. Ecol. Biogeogr. 2013, 22, 105–117. [Google Scholar] [CrossRef]
- Anderson, J.D.; Ingram, L.J.; Stahl, P.D. Influence of reclamation management practices on microbial biomass carbon and soil organic carbon accumulation in semiarid mined lands of Wyoming. Appl. Soil Ecol. 2008, 40, 387–397. [Google Scholar] [CrossRef]
- Yuan, Y.; Zhao, Z.Q.; Li, X.Z.; Wang, Y.Y.; Bai, Z.K. Characteristics of labile organic carbon fractions in reclaimed mine soils: Evidence from three reclaimed forests in the Pingshuo opencast coal mine, China. Sci. Total Environ. 2018, 613, 1196–1206. [Google Scholar] [CrossRef]
- Lal, R. Residue management, conservation tillage and soil restoration for mitigating greenhouse effect by CO2-enrichment. Soil Tillage Res. 1997, 43, 81–107. [Google Scholar] [CrossRef]
- Sencindiver, J.; Ammons, J. Minesoil genesis and classification. Reclam. Drastically Disturb. Lands 2000, 41, 595–613. [Google Scholar]
- Mcfee, W.W.; Kelly, J.M.; Bouwman, A.F.; Leemans, R. The Role of Forest Soils in the Global Carbon Cycle. In Carbon Forms and Functions in Forest Soils; John Wiley & Sons, Inc.: Hoboken, NJ, USA, 1995. [Google Scholar]
- Bolin, B.; Degens, E.T.; Duvigneaud, P.; Kempe, S. The global biogeochemical carbon cycle. In The Global Carbon Cycle; Princeton University Press: Princeton, NJ, USA, 1979. [Google Scholar]
- Bohn, H.L. Estimate of organic-carbon in world soils. Soil Sci. Soc. Am. J. 1982, 40, 468–470. [Google Scholar] [CrossRef]
- Parton, W.J. The Century Model; Springer: Berlin/Heidelberg, Germany, 1996. [Google Scholar]
- Coleman, K.; Jenkinson, D.S. RothC-26.3-A Model for the Turnover of Carbon in Soil; Springer: Berlin/Heidelberg, Germany, 1996. [Google Scholar]
- Campbell, J.B. Spatial variation of sand content and pH within single contiguous delineation of two soil mapping units. Soil Sci. Soc. Am. J. 1978, 42, 460–464. [Google Scholar] [CrossRef]
- Burgess, T.M.; Webster, R. Optimal interpolation and isar1thmic mapping of soil properties: I the semi-variogram and punctual krig1ng. J. Soil Sci. 1980, 31, 315–331. [Google Scholar] [CrossRef]
- Bergstrom, D.W.; Monreal, C.M.; Millette, J.A.; King, D.J. Spatial Dependence of Soil Enzyme Activities along a Slope. Soil Sci. Soc. Am. J. 1998, 62, 1302–1308. [Google Scholar] [CrossRef]
- Levine, E.R.; Knox, R.G.; Lawrence, W.T. Relationships between soil properties and vegetation at the Northern Experimental Forest, Howland, Maine. Remote Sens. Environ. 1994, 47, 231–241. [Google Scholar] [CrossRef]
- Frazier, B.E.; Cheng, Y. Remote sensing of soils in the eastern Palouse region with Landsat Thematic Mapper. Remote Sens. Environ. 1989, 28, 317–325. [Google Scholar] [CrossRef]
- Feng, C.; Kissel, D.E.; West, L.T.; Adkins, W. Field-Scale Mapping of Surface Soil Organic Carbon Using Remotely Sensed Imagery. Soil Sci. Soc. Am. J. 2000, 64, 746–753. [Google Scholar]
- Tripathi, A.; Tiwari, R.K. Utilisation of spaceborne C-band dual pol Sentinel-1 SAR data for simplified regression-based soil organic carbon estimation in Rupnagar, Punjab, India. Adv. Space Res. 2022, 69, 1786–1798. [Google Scholar] [CrossRef]
- Shafizadeh-Moghadam, H.; Minaei, F.; Talebi-khiyavi, H.; Xu, T.; Homaee, M. Synergetic use of multi-temporal Sentinel-1, Sentinel-2, NDVI, and topographic factors for estimating soil organic carbon. CATENA 2022, 212, 106077. [Google Scholar] [CrossRef]
- Wang, H.; Zhang, X.; Wu, W.; Liu, H. Prediction of Soil Organic Carbon under Different Land Use Types Using Sentinel-1/-2 Data in a Small Watershed. Remote Sens. 2021, 13, 1229. [Google Scholar] [CrossRef]
- Chang, C.W.; Laird, D.A.; Hurburgh, C.R. Influence of soil moisture on near-infrared reflectance spectroscopic measurement of soil properties. Soil Sci. 2005, 170, 244–255. [Google Scholar] [CrossRef] [Green Version]
- Dwivedi, R. Soil resources mapping: A remote sensing perspective. Remote Sens. Rev. 2001, 20, 89–122. [Google Scholar] [CrossRef]
- Jaber, S.M.; Lant, C.L.; Al-Qinna, M.I. Estimating spatial variations in soil organic carbon using satellite hyperspectral data and map algebra. Int. J. Remote Sens. 2011, 32, 5077–5103. [Google Scholar] [CrossRef]
- Heuvelink, G.; Webster, R. Modelling soil variation: Past, present, and future. Geoderma 2001, 100, 269–301. [Google Scholar] [CrossRef]
- Bhunia, G.S.; Kumar Shit, P.; Pourghasemi, H.R. Soil organic carbon mapping using remote sensing techniques and multivariate regression model. Geocarto Int. 2019, 34, 215–226. [Google Scholar] [CrossRef]
- Paul, K.I.; Polglase, P.J.; Nyakuengama, J.; Khanna, P. Change in soil carbon following afforestation. For. Ecol. Manag. 2002, 168, 241–257. [Google Scholar] [CrossRef]
- Xu, J.; Zhu, W.; Xu, J.; Wu, J.; Li, Y. High-intensity longwall mining-induced ground subsidence in Shendong coalfield, China. Int. J. Rock Mech. Min. Sci. 2021, 141, 104730. [Google Scholar] [CrossRef]
- Xiao, W.; Lv, X.; Zhao, Y.; Sun, H.; Li, J. Ecological resilience assessment of an arid coal mining area using index of entropy and linear weighted analysis: A case study of Shendong Coalfield, China. Ecol. Indic. 2020, 109, 105843. [Google Scholar] [CrossRef]
- Xiao, W.; Zhang, W.; Ye, Y.; Lv, X.; Yang, W. Is underground coal mining causing land degradation and significantly damaging ecosystems in semi-arid areas? A study from an Ecological Capital perspective. Land Degrad. Dev. 2020, 31, 1969–1989. [Google Scholar] [CrossRef]
- Nelson, D.W.; Sommers, L.E. A rapid and accurate method for estimating organic carbon in soil. Proc. Indiana Acad. Sci. 1975, 84, 456–462. [Google Scholar]
- Yang, J.; Huang, X. The 30 m annual land cover dataset and its dynamics in China from 1990 to 2019. Earth Syst. Sci. Data 2021, 13, 3907–3925. [Google Scholar] [CrossRef]
- Fan, L.; Ma, X.; Li, Y.; LI, C.; Yao, C.; Xiang, M.; Wu, B.; Peng, J. Geological disasters and control technology in high intensity mining area of western China. J. China Coal Soc. 2017, 42, 276–285. [Google Scholar]
- Tabios, G.Q., III; Salas, J.D. A comparative analysis of techniques for spatial interpolation of precipitation 1. JAWRA J. Am. Water Resour. Assoc. 1985, 21, 365–380. [Google Scholar] [CrossRef]
- Tang, G.; Yang, X. The Experiment Tutorial of Spatial Analysis with ArcGIS; Science Press: Beijing, China, 2006; Volume 196. [Google Scholar]
- N.S.S.O. (Ed.) Soils of China; China Agricultural Press: Beijing, China, 1998. [Google Scholar]
- Wang, J.; Xu, C. Geodetector: Principle and prospective. Acta Geogr. Sin. 2017, 72, 116–134. [Google Scholar]
- Hbirkou, C.; Pätzold, S.; Mahlein, A.-K.; Welp, G. Airborne hyperspectral imaging of spatial soil organic carbon heterogeneity at the field-scale. Geoderma 2012, 175, 21–28. [Google Scholar] [CrossRef]
- Vaudour, E.; Bel, L.; Gilliot, J.-M.; Coquet, Y.; Hadjar, D.; Cambier, P.; Michelin, J.; Houot, S. Potential of SPOT Multispectral Satellite Images for Mapping Topsoil Organic Carbon Content over Peri-Urban Croplands. Soil Sci. Soc. Am. J. 2013, 77, 2122–2139. [Google Scholar] [CrossRef]
- Zhang, Y.; Shen, H.; Gao, Q.; Zhao, L. Estimating soil organic carbon and pH in Jilin Province using Landsat and ancillary data. Soil Sci. Soc. Am. J. 2020, 84, 556–567. [Google Scholar] [CrossRef]
- Croft, H.; Kuhn, N.; Anderson, K. On the use of remote sensing techniques for monitoring spatio-temporal soil organic carbon dynamics in agricultural systems. Catena 2012, 94, 64–74. [Google Scholar] [CrossRef]
- Grinand, C.; Le Maire, G.; Vieilledent, G.; Razakamanarivo, H.; Razafimbelo, T.; Bernoux, M. Estimating temporal changes in soil carbon stocks at ecoregional scale in Madagascar using remote-sensing. Int. J. Appl. Earth Obs. Geoinf. 2017, 54, 1–14. [Google Scholar] [CrossRef]
- Guerschman, J.P.; Scarth, P.F.; McVicar, T.R.; Renzullo, L.J.; Malthus, T.J.; Stewart, J.B.; Rickards, J.E.; Trevithick, R. Assessing the effects of site heterogeneity and soil properties when unmixing photosynthetic vegetation, non-photosynthetic vegetation and bare soil fractions from Landsat and MODIS data. Remote Sens. Environ. 2015, 161, 12–26. [Google Scholar] [CrossRef]
- Wu, D.; Zhang, G. Influence of Parent Material and Land Use Type on Soil Spectral Inversion Model. Soils 2016, 48, 173–179. [Google Scholar]
- Ao, X.; Baodong, M.; Xingchun, L.; Lixin, W. Spectral testing and quantitative inversion for dust of iron tailings on leaf. Remote Sens. Nat. Resour. 2017, 29, 164–169. [Google Scholar]
- Stallard, R.F. Terrestrial sedimentation and the carbon cycle: Coupling weathering and erosion to carbon burial. Glob. Biogeochem. Cycles 1998, 12, 231–257. [Google Scholar] [CrossRef]
- Borrelli, P.; Robinson, D.A.; Fleischer, L.R.; Lugato, E.; Ballabio, C.; Alewell, C.; Meusburger, K.; Modugno, S.; Schütt, B.; Ferro, V. An assessment of the global impact of 21st century land use change on soil erosion. Nat. Commun. 2017, 8, 2013. [Google Scholar] [CrossRef] [PubMed] [Green Version]
- Xin, Z.; Qin, Y.; Yu, X. Spatial variability in soil organic carbon and its influencing factors in a hilly watershed of the Loess Plateau, China. Catena 2016, 137, 660–669. [Google Scholar] [CrossRef]
- Cambardella, C.A.; Elliott, E. Particulate soil organic-matter changes across a grassland cultivation sequence. Soil Sci. Soc. Am. J. 1992, 56, 777–783. [Google Scholar] [CrossRef]
- Göl, C. Effects of aspect and changes in land use on organic carbon and soil properties in Uludere catchment, semi-arid region: Turkey. Rend. Lincei 2017, 28, 463–469. [Google Scholar] [CrossRef]
- Lal, R. Forest soils and carbon sequestration. For. Ecol. Manag. 2005, 220, 242–258. [Google Scholar] [CrossRef]
- Gao, Y.; Zhu, B.; Zhou, P.; Tang, J.-L.; Wang, T.; Miao, C.-Y. Effects of vegetation cover on phosphorus loss from a hillslope cropland of purple soil under simulated rainfall: A case study in China. Nutr. Cycl. Agroecosystems 2009, 85, 263–273. [Google Scholar] [CrossRef]
- Shrestha, R.K.; Lal, R. Ecosystem carbon budgeting and soil carbon sequestration in reclaimed mine soil. Environ. Int. 2006, 32, 781–796. [Google Scholar] [CrossRef]
- Cheng, J.; Nie, X.; Liu, C. Spatial variation of soil organic carbon in coal-mining subsidence areas. J. China Coal Soc. 2014, 39, 2495–2500. [Google Scholar]
- Zhang, L.; Wang, J.; Bai, Z.; Lv, C. Effects of vegetation on runoff and soil erosion on reclaimed land in an opencast coal-mine dump in a loess area. Catena 2015, 128, 44–53. [Google Scholar] [CrossRef]
- Caddeo, A.; Marras, S.; Sallustio, L.; Spano, D.; Sirca, C. Soil organic carbon in Italian forests and agroecosystems: Estimating current stock and future changes with a spatial modelling approach. Agric. For. Meteorol. 2019, 278, 107654. [Google Scholar] [CrossRef]
- Longbottom, T.L.; Townsend-Small, A.; Owen, L.A.; Murari, M.K. Climatic and topographic controls on soil organic matter storage and dynamics in the Indian Himalaya: Potential carbon cycle–climate change feedbacks. Catena 2014, 119, 125–135. [Google Scholar] [CrossRef]
- Gabarrón-Galeote, M.A.; Trigalet, S.; van Wesemael, B. Soil organic carbon evolution after land abandonment along a precipitation gradient in southern Spain. Agric. Ecosyst. Environ. 2015, 199, 114–123. [Google Scholar] [CrossRef]
- Wang, L.; Chen, W. A CMIP5 multimodel projection of future temperature, precipitation, and climatological drought in China. Int. J. Climatol. 2014, 34, 2059–2078. [Google Scholar] [CrossRef]







| Sample Set | Quantity | Organic Carbon Content/(gC·kg−1) | ||||
|---|---|---|---|---|---|---|
| Min | Max | Mean | Std. | |||
| Grassland | Total set | 119 | 0.84 | 31.99 | 6.76 | 5.53 |
| Training set | 83 | 0.85 | 31.99 | 6.71 | 5.48 | |
| Validation set | 36 | 0.84 | 29.45 | 6.86 | 5.63 | |
| Forest land | Total set | 54 | 0.76 | 27.09 | 5.76 | 4.52 |
| Training set | 38 | 0.93 | 27.09 | 5.75 | 4.54 | |
| Validation set | 16 | 0.76 | 20.19 | 5.77 | 4.45 | |
| Farmland | Total set | 75 | 1.37 | 23.49 | 7.75 | 5.10 |
| Training set | 52 | 1.37 | 23.49 | 7.77 | 5.04 | |
| Validation set | 23 | 1.44 | 23.25 | 7.70 | 5.23 | |
| Bare land | Total set | 52 | 0.66 | 11.04 | 4.33 | 2.95 |
| Training set | 37 | 0.66 | 10.09 | 4.35 | 2.85 | |
| Validation set | 15 | 0.78 | 11.04 | 4.30 | 3.18 | |
| Model | Expression | Training Set | Validation Set | ||||
|---|---|---|---|---|---|---|---|
| R2 | p | RMSE | R2 | p | RMSE | ||
| Grassland | 0.78 | <0.01 ** | 2.63 | 0.77 | <0.01 ** | 2.74 | |
| Forest land | 0.76 | <0.01 ** | 2.13 | 0.73 | <0.01 ** | 2.29 | |
| Farmland | 0.73 | <0.01 ** | 2.55 | 0.74 | <0.01 ** | 2.68 | |
| Bare land | 0.69 | 0.01 * | 1.85 | 0.69 | 0.01 * | 1.71 | |
| 2010 (Level) | Area/km2 | |||||||||
|---|---|---|---|---|---|---|---|---|---|---|
| 1990 (Level) | 0 | I | II | III | IV | V | VI | Total | Transfer Out | |
| Area/km2 | I | 9.38 | 3.05 | 2.01 | 7.06 | 22.31 | 8.52 | 6.77 | 59.10 | 56.06 |
| II | 1.07 | 0.37 | 0.24 | 0.91 | 2.85 | 1.02 | 0.76 | 7.22 | 6.99 | |
| III | 5.57 | 2.15 | 1.40 | 5.19 | 16.18 | 5.53 | 4.09 | 40.11 | 34.91 | |
| IV | 18.93 | 10.64 | 5.72 | 21.04 | 58.34 | 17.76 | 12.71 | 145.14 | 86.80 | |
| V | 90.47 | 67.39 | 37.57 | 136.58 | 257.00 | 62.21 | 48.50 | 699.72 | 637.52 | |
| VI | 277.89 | 121.60 | 85.44 | 324.85 | 798.70 | 221.65 | 173.39 | 2003.52 | 1830.13 | |
| Total | 403.31 | 205.20 | 132.38 | 495.63 | 1155.38 | 316.69 | 246.22 | 2954.83 | 2652.39 | |
| Transfer in | 403.31 | 202.15 | 132.14 | 490.44 | 1097.04 | 254.48 | 72.83 | 2652.39 | ||
| 2020 (Level) | Area/km2 | |||||||||
|---|---|---|---|---|---|---|---|---|---|---|
| 2010 (Level) | 0 | I | II | III | IV | V | VI | Total | Transfer Out | |
| Area/km2 | I | 22.82 | 5.14 | 2.83 | 9.07 | 53.83 | 49.29 | 62.23 | 205.21 | 200.07 |
| II | 15.69 | 2.85 | 1.90 | 6.57 | 40.49 | 33.56 | 31.31 | 132.37 | 130.47 | |
| III | 59.93 | 11.76 | 7.85 | 28.85 | 157.43 | 122.24 | 107.58 | 495.64 | 466.79 | |
| IV | 92.79 | 24.85 | 16.53 | 60.45 | 419.03 | 289.44 | 252.27 | 1155.36 | 736.33 | |
| V | 5.79 | 4.76 | 3.57 | 12.70 | 115.17 | 103.48 | 71.21 | 316.68 | 213.20 | |
| VI | 17.66 | 3.95 | 3.04 | 10.08 | 77.45 | 66.89 | 67.16 | 246.23 | 179.07 | |
| Total | 214.68 | 53.31 | 35.72 | 127.72 | 863.40 | 664.90 | 591.76 | 2551.52 | 1925.93 | |
| Transfer in | 214.68 | 48.17 | 33.82 | 98.87 | 444.37 | 561.42 | 524.60 | 1925.93 | ||
| Impact Factor | Temperature | Precipitation | Elevation | NDVI | Land Use | Mining Intensity |
|---|---|---|---|---|---|---|
| Temperature | 0.115 | 0.372 | 0.277 | 0.322 | 0.233 | 0.274 |
| Precipitation | 0.372 | 0.138 | 0.37 | 0.555 | 0.256 | 0.408 |
| Elevation | 0.277 | 0.370 | 0.111 | 0.506 | 0.211 | 0.361 |
| NDVI | 0.322 | 0.555 | 0.506 | 0.149 | 0.292 | 0.332 |
| Land use | 0.233 | 0.256 | 0.211 | 0.292 | 0.165 | 0.342 |
| Mining intensity | 0.274 | 0.408 | 0.361 | 0.332 | 0.242 | 0.041 |
Publisher’s Note: MDPI stays neutral with regard to jurisdictional claims in published maps and institutional affiliations. |
© 2022 by the authors. Licensee MDPI, Basel, Switzerland. This article is an open access article distributed under the terms and conditions of the Creative Commons Attribution (CC BY) license (https://creativecommons.org/licenses/by/4.0/).
Share and Cite
Yang, X.; Yao, W.; Li, P.; Hu, J.; Latifi, H.; Kang, L.; Wang, N.; Zhang, D. Changes of SOC Content in China’s Shendong Coal Mining Area during 1990–2020 Investigated Using Remote Sensing Techniques. Sustainability 2022, 14, 7374. https://doi.org/10.3390/su14127374
Yang X, Yao W, Li P, Hu J, Latifi H, Kang L, Wang N, Zhang D. Changes of SOC Content in China’s Shendong Coal Mining Area during 1990–2020 Investigated Using Remote Sensing Techniques. Sustainability. 2022; 14(12):7374. https://doi.org/10.3390/su14127374
Chicago/Turabian StyleYang, Xuting, Wanqiang Yao, Pengfei Li, Jinfei Hu, Hooman Latifi, Li Kang, Ningjing Wang, and Dingming Zhang. 2022. "Changes of SOC Content in China’s Shendong Coal Mining Area during 1990–2020 Investigated Using Remote Sensing Techniques" Sustainability 14, no. 12: 7374. https://doi.org/10.3390/su14127374
APA StyleYang, X., Yao, W., Li, P., Hu, J., Latifi, H., Kang, L., Wang, N., & Zhang, D. (2022). Changes of SOC Content in China’s Shendong Coal Mining Area during 1990–2020 Investigated Using Remote Sensing Techniques. Sustainability, 14(12), 7374. https://doi.org/10.3390/su14127374

