Next Article in Journal
Study of Chemical Pollutants and Ecological Reconstruction Methods in the Tismana I Quarry, Rovinari Basin, Romania
Previous Article in Journal
The Household Context of In Situ Conservation in a Center of Crop Diversity: Self-Reported Practices and Perceptions of Maize and Phaseolus Bean Farmers in Oaxaca, Mexico
 
 
Font Type:
Arial Georgia Verdana
Font Size:
Aa Aa Aa
Line Spacing:
Column Width:
Background:
Article

Food, Energy and Water Nexus: An Urban Living Laboratory Development for Sustainable Systems Transition

by
Maria Ester Soares Dal Poz
*,
Paulo Sergio de Arruda Ignácio
,
Aníbal Azevedo
,
Erika Cristina Francisco
,
Alessandro Luis Piolli
,
Gabriel Gheorghiu da Silva
and
Thaís Pereira Ribeiro
School of Applied Sciences, University of Campinas, Campinas 13083-970, Brazil
*
Author to whom correspondence should be addressed.
Sustainability 2022, 14(12), 7163; https://doi.org/10.3390/su14127163
Submission received: 23 March 2022 / Revised: 20 May 2022 / Accepted: 6 June 2022 / Published: 10 June 2022
(This article belongs to the Section Energy Sustainability)

Abstract

:
From a climate change perspective, the governance of natural common-pool resources—the commons—is a key point in the challenge of transitioning to sustainability. This paper presents the main strategic advances of the São Paulo Urban Living Laboratory (ULL) regarding Food, Energy and Water (FEW Nexus) analysis and modelling at the border of a high biodiverse forest in a peri-urban region in southeast Brazil. It is a replicable and scalable method concerning FEW governance. The FEW Nexus is an analytical guide to actions that will enable a colossal set of innovative processes that the transition to sustainability presupposes. Sustainable governance of the FEW dimensions, seen as an innovation-based process, is approached by a decision making tool to understand the past and future dynamics of the system. The governance framework is based on a multi-criteria and multi-attribute set of sustainability-relevant factors used as indicators to model complex system dynamics (SD) and the stakeholders’ future expectations through a Delphi approach. Based on the three main dimensions of the Ecosystem Services Approach—Physical and Material Conditions, Attributes of Communities, and Rules-in-Use—the tool comprises thirteen specific sustainability indicators such as water and carbon footprints, land use social development, payment for ecosystem services, and land use gain indices. Its development was designed to generate a long-term network of socioenvironmental stakeholders’ decision making processes and collective learning about a higher level of sustainable systems. System Dynamics modelling demonstrates the associations between sustainability indicators and the impacts of payment for ecosystem services on the land use social development index, or on the trophic state index. The Delphi foresight approach, using the Promethee-Gaia method, allows us to understand the positions of multiple agents regarding the transition process. In this context, decision making tools can be very useful and effective in answering the “how to” questions of ULLs and paving the way for transition, providing collective planning and decision support frameworks for sustainability transition management.

1. Introduction

Climate change—as a phenomenon characteristic of the Anthropocene—is the primary driver of demands for efforts to transition to sustainability. The risk of natural resource scarcity raises a planetary dilemma involving political, social, and economic factors at the macro, meso, and micro-institutional levels, implying systemic changes in markets and modes of production, distribution, marketing, and consumption [1,2,3,4].
In this scenario, faith is not enough and action is needed, implementing the process of transition to sustainability, characterised by the almost infinite combination of at least a few thousand factors of production, marketing and consumption behaviour currently in place. The array of combinatorial factors to be considered in the transition is then also nearly infinite [5,6].
Hence, the search for sustainability proves to be a civilizational milestone, an urgent global collective goal, surrounded by new constitutions and commitments to be undertaken in a highly uncertain process. This is because it implies new patterns of economic production and growth, of developing new markets and adapting old ones, new social relations and consumption behaviour [7].
Such a scenario allows us to think of the transition as a profound process of evolutionary adaptation regarding the governance of natural common-pool resources, known as commons [8,9].
Actions that contribute to the transition can thus be seen as the two-faced Janus, the Roman god of changes and transitions, looking at the past and the future, at things as they were and are, and projecting, in foresight, how they could be more sustainable.
This article presents exemplary research in so-called commons governance towards sustainable food systems (SFS) for food production at the border of the Atlantic Forest, South-eastern Brazil. Although based on a regional SFS case, the sustainability policy support tool is far-reaching, since its structuring governance indicators are applicable to other cases. It is not, in this sense, a single regional or specific decision making tool for development and validation, but a replicable and scalable methodology for FEW governance demands.
In order to explore the subject from a combined qualitative and quantitative perspectives, the research design of this paper was conducted using literature reviews, data collected from stakeholders and mathematical and simulation modelling. The flowchart in Figure 1 illustrates the steps organised in the research.
Thus, we have two layers of analysis, each referring to a core action problem of the Urban Living Laboratory (ULLs), or a Research Question (RQ).
The first RQ is the networking of stakeholders involved in this transition, without whom there is no evolutionary path to change, which is performed by the communities involved in the problem. This community is responsible for characterising the relevant criteria and attributes to guide the transition, resulting in a decision support framework with 13 sustainability indicators that are highly relevant to this process: the Sustainability Policy Innovation Network tool for decision making [10].
The second RQ is the application of two tools based on such framework indicators: (a) modelling of complex food production systems, and (b) prospective solution consultation. Conventional and agroecological production systems were our objects of investigation, allowing us to understand the relative functionalities and dysfunctionalities of each system, and to identify how the relevant stakeholder communities see the future of the transition process.
In this context, this paper presents the results of the first two (the deadline and scope of the project supporting São Paulo ULL does not include the issue of generating markets based on sustainability standards as a target of discussion; however, this research question may be investigated in the ULL’s new work cycles) key research questions (RQ), which are also the two main objectives of the ULL, that can develop and materialise FEW governance: (a) the role of ULLs in consolidating communities who can act as transition agents (RQ1); that is, involving stakeholders and forming situation arenas, and (b) (RQ2) the practical ways of promoting change; namely, the development and use by communities of instruments that guide and lead to the transition.
Thus, we accept that commons governance is, essentially, an innovative process, from the perspective of demands for technological, organisational, financial, and human behaviour innovations. It encompasses changes at the local, regional, national, and international levels, almost in a process of entropy and reorganisation, so that the latter is more sustainable than the initial conditions.
However, the promotion of this profound process of change towards sustainability is not linear: all levels of human organisation must be seen as a complex system, and its multiple institutions must be reoriented so that an evolutionary process of transition towards sustainability is delivered.
We adopted the instrumental concept of Food, Energy, Water Nexus (FEW Nexus) as a tool for planning and implementing this transition process as it was initially conceived and used as a tool for analytical development, capable of guiding the actions that address such processes and creating interstitial and interaction spaces between the specific problems of each of its components.
FEW nexus studies originally focused on clarifying interlinkages between physical resource systems, but this gradually expanded to implement refinements of the nexus concept, recognising the need to incorporate environmental, economic, political, and social dimensions. By incorporating these dimensions, we can combine several approaches, tools or methods from disciplines with disparate epistemologies.
As an example, a water–food–energy plan following a simulation-optimization approach was applied to a real case study in the Jing River, China, which analysed and related these dimensions, identifying “comprehensive water-food-energy alternatives in a multi-reservoir optimization system” [11]. Additionally, with environmental, economic, political, and social dimensions, several FEW analyses on liberal democracies have participatory components in planning, data collection and analysis that contribute to “new sources of knowledge to inform nexus conceptual models and quantitative model parameterization, and they help align nexus assessments with stakeholders’ needs”.
So, which institutions would then be responsible for undertaking the transition challenge?
We see today a huge variety of institutions and initiatives and efforts to carry out the transition to sustainability: from national entities, such as ministries of the environment and sustainability policies, to national and supranational committees and institutions for assessing and regulating the phenomenon of global warming and sustainable production efforts within private sectors, etc. These entities make the sustainability issue a cross-cutting subject in all current human actions aimed at the transition.
Highly representative of this type of institution are the ULLs, focused specifically on promoting sustainability. These are sustainability mission-oriented institutions, or SMOIs [12], which address technological, organisational, social, behaviour, and market innovations, promoting the transition to sustainability.
Defining the character, nature, and functions of ULLs is an ongoing process. Generally, they can be described as experimental learning spaces for transition (according to the research group of the Project Belmont Forum WASTE FEW—Food, Energy and Water, after intense debates about “what are ULLs” throughout the project, https://wastefewull.weebly.com/, accessed on 3 March 2022); they can also be understood by their potential impacts on:
  • The generation of new knowledge and guiding tools for the transition;
  • Creation of measurable contributions to public sustainability policies that reach the level of transition planning;
  • Identification of technological, organizational and social innovations for sustainable systems in the FEW Nexus complex;
  • Measurable improvements in natural resource quality systems for human, industrial, and agricultural use.
The paths to achieving such impacts follow the three major research questions (RQ) of ULLs:
  • Create learning communities within decision making on the higher sustainability content of FEW systems;
  • Develop and divulge tools focused on decision making for sustainability;
  • Create permanent markets for sustainable food production and consumption systems.
We argue here that only by involving a variety of stakeholders from communities capable of selecting innovations that make the systems more sustainable, such as policy makers, food production and marketing, social enterprises, educational services, and sustainable rural tourism, will it be possible to build a scenario with these three characteristics.
These stakeholders should be involved in permanent evaluation systems and actions for new decision making cycles: evolutionary spirals that can make production systems more sustainable, redirecting current practices and policies towards new, sustainable ones.
More than “stakeholder engagement”, this means generating situation arenas [13]: community networks that make collective, sustainability-oriented decisions.
The validation of the SPIN tool as the result of the community’s collective work is a process, not only a final product. It has been collectively developed and used by some important stakeholders and shareholders, as governmental actors and Non-Governmental Organizations relates to FEW governance. The effectiveness of the tool’s spiral cycles of decision making support is an ex-cursus phenomenon, and is currently monitored with some actors, as the operators of global World Bank policies of payment for ecosystem services, municipalities, and private associations.
This ensemble of questions and demands for FEW governances predicates an intricate methodological problem for ULLs as mission-oriented institutions for transitions. We argue that ULLs are toolboxes. Therefore, this paper does not present a single methodology, since it is not a hard science positivist linear experiment, but a demonstration of the institutional governance approach of ULLs.
The challenge here is to present evolving institution actions, whose main mission is to develop, validate and disseminate decision support tools and governance mechanisms for transition.
In this sense, this article discusses the theoretical, conceptual and methodological bases of each governance mechanism throughout the presentation of each of the main ULL’s research questions.
Section 1.1 and Section 1.2 below detail and present experimental materiality, respectively, to the paper’s main objectives: the two research questions.

1.1. RQ 1. Role of ULLs in the Process of Generating Transition Communities?

As discussed above, creating stakeholder networks in situation arenas is an essential step towards commons; so, in this case, FEW governance. More than stakeholder engagement, this complex conceptual process involves transforming stakeholders into agents of change.
Thus, we develop here the arguments about the character of ULLs and, consequently, their role in forming these networks.
Multiple initiatives have recently emerged as global efforts towards new sustainability standards. One of the most relevant are ULLs, mission-oriented sustainability institutions (SMOIs) [12] whose institutional contexts are strictly associated with transition governance and with the specific role of developing a set of actions to do so, such as public policies, new regulatory contexts, laws, routines, productive practices, education, among others.
ULLs are essentially agents of innovation generation and dissemination, since the transition is itself a process of implementing new productive forms, new consumption behaviours, new organizational and market forms, new policies, and collective agreements.
Importantly, ULLs have a new kind of institutionality. Institutions are sets of rules, laws and collective agreements that must be upheld. In the transition, institutions oriented towards transformation must propose, address and open perspectives for the definition of new regulatory and legal frameworks and new forms of production and consumption. Essentially, they must be agents for the creation of new and systemic forms of rationality and intentionality that contemplate a sustainable world.
From an institutional point of view, besides being agents of innovation, ULLs are also institutionally innovative. Institutions evolve, and in the case of ULLs, they must be founded and developed to uphold core competencies [14] to promote transition and, in a loose parallel between innovation and corporate strategic management [15], to introduce and maintain dynamic capabilities oriented towards transition, and not to uphold current institutionalities.
We assume here that the transition competes with what already exists, and therefore demands a new paradigm regarding the process of competitive advantages between “old and unsustainable” and other “new and more sustainable” systems.
The “new”, that is, the most sustainable, is (or may be) the result of a strategic evolutionary-adaptive process of change. ULLs, as agents of this change, should establish, as a form of competitive advantages, dynamic capabilities: strategically manage the current scenarios to promote the transition via cycles of replacement adaptations, integrations, and internal and external reconfigurations of the systems.
This context allows us to characterise ULLs as entities:
(a)
Responsible for outlining sustainability policies, whose dynamics are non-linear; that is, they do not establish relations to uphold current institutionality, and
(b)
Of a sociotechnical and socio-environmental character, considering the demands, supply and capacity for adopting and divulging innovations that raise the sustainability level of the systems.
Therefore, the emerging question is how SMOIs can accomplish these tasks and become a de facto transition governance agent.
As SMOIs, ULLs do not carry out the transition process alone; rather, they take on the role of networking agents for stakeholder and shareholder participation, whose iterative and interactive cycles may, in the medium and long term, guide and lead the evolution (collectively played) of the new choices on more sustainable productive forms.
We assume here that neither states nor markets [16] are able to promote the transition, given the complex agenda for sustainability [12], a multifaceted and highly complex system of aspects, factors, systems, and demands for integrated actions to be considered in order to forward the transition.
We then resume the essential concept of common-pool resources, or commons, from Garrett Hardin’s The Tragedy of the Commons (1968) [17], which refers to communal lands, goods shared among all that precede the process of organizing private property that marks the beginning of capitalism.
In Hardin’s classical example of the use of a pasture open to all, each sheepherder, in an effort to maximise their gains, would seek to fill the pasture with as many sheep as possible, thinking only of themselves and their income; the sheepherder would then be destroyed, and everyone would lose.
There are two alternatives to prevent the depletion of natural resources: privatization or strong state regulation; in the first case, Hardin recognises that private property has its problems, but sees it as a way to ensure the regulation of collective use by the owner, which would inevitably prevent overexploitation (this, of course, if the owner is able to rationally plan for the long-term use of resources). The other solution would be to impose economic sanctions via the state, making exploitation more costly than preservation. For Hardin, there is no possibility for the community coming together to avoid overexploitation through negotiated agreements.
Elinor Ostrom’s proposal, in which human beings are seen as “adaptive creatures that attempt to do well” [13,18], encompasses the concept of trust, without which no collective action can succeed. For this article, this assumption is non-negotiable. The best option for natural resources management seems to be governance (strictly speaking, the term governance, or governance structures, is a coordination mechanism employed by economic players in their transactions to reduce transaction costs, according to Nobel prize winner Oliver Williamson (in 2009, together with Elinor Ostrom). Its use has been broadened, encompassing many other contexts (such as corporate governance). For the purposes of this technical note, and to conceptually define the indicators delineated and qualified here, we employ the original idea, based on institutional economics, and the forms of governing described by Elinor Ostrom) by means of the motivations in decision making and the creation of collectively designed and internalised rules that govern them.
Different collective strategies for the use, management, and preservation of common-pool resources are the alternative to avoid management failure (and proceed to the transition), beyond the absence of state and market actions.
We do not believe, therefore, that nationalization or privatization are guaranteed solutions (even if they are necessary and should be proposed) for the rational use of these resources.
We treat the representative actions of each common good as a specific arena (in the original, situation arenas, given the myriad combinations of issues to be addressed by the agents involved in the process that will, ex post, manage the commons) [13], qualifying them as spaces where different social actors interact before a specific conflict and act in ways to maximise their opportunities to influence collective decision making according to their interests, thus delimiting their area of study and analysis.
Arenas are political decision-making spaces where social actors mobilise their resources for specific purposes, aiming to influence the political decision of the best means, given their interests. The actors mobilise social resources: elements that ensure the agents’ attention and influence, such as money (economic resource), power (political resource), or evidence/scientific knowledge (scientific resource); mobilizing them means imprinting actions in an arena. In the arenas, political discussion and actors’ actions revolve around their motivations, goals or intentions.
The different decision making in situation arenas is not random, but respect formal and informal rules that determine actions and resource mobilisations. Formally, these rules imply laws and institutional acts. Informally, they influence the political factors, expectations, and elements that organise debates within situation arenas. In such a context, the state of governance manifests itself in alliance building and cooperation, uniting all interests to ensure the realization of all common goods; in this case, the transition to sustainability.
In this context, the São Paulo ULL first prompted a network of actors capable of performing situation arenas. Food production near the Atlantic Forest, a highly biodiverse biome (considering the three FEW Nexus, the preservation potential of the Atlantic Forest in south-eastern Brazil represents, for São Paulo ULL, a fourth propeller towards sustainability), was the stage for the development and application of modelling and foresight tools for more sustainable scenarios. The communities involved were key players in developing the food production system modelling tool, actively participating in the definition of sustainability indicators.
This creates a sociotechnical network, or situation arena, that internalises the decision making tool according to the most relevant criteria for raising the level of sustainability. The arena consists of 18 institutions, such as regulatory and environmental monitoring agencies, including the Environment Prosecutor’s Office, State Departments, Municipalities, rural producer cooperatives, policy makers, third sector, food safety policy regulation committees and technical production support bodies.
We selected and organised the set of indicators into a decision tree together with these stakeholders, based on three major governance dimensions as a framework for assessing degrees of sustainability of food production systems (and illustrated in Figure 2):
(c)
Physical and Material Conditions (Indicators: Water footprint, Carbon footprint, Eutrophication, Land use earnings, Land social development index (which has five other sub-indicators: Rural property income, Environmental service index, Degree of land use, Community supported agriculture and Rural dependency index)), which refer to attributes of the physical and biological world, such as water, soil, carbon production, and the ways in which humans exploit them and the capital applied to these activities;
(d)
Attributes of Communities (Indicators: Agents’ Expectation Index on technological adoption, Productive Integration and Contractual Structure): stakeholders involved and their degree of cohesion and compliance with collective governance rules;
(e)
Rules-in-Use (Governance, Enforcement and Compliance indicators): a set of agreements, laws, regulatory instruments, and incentives that define the interaction rules between participants in exploiting the commons.
The situation arena collectively defined for each of these dimensions, Level I and II indicators, based on highly relevant attributes for assessing the sustainability level of the systems studied. The set of indicators—as proxies for the attributes mentioned above—form the decision tree, framework of the São Paulo ULL assessment instruments (In order for this to happen, efforts must still be made to make the tool available; this should be carried out through the AgroSP platform (http://agrosp.sp.gov.br/, accessed on 3 March 2022), a government platform for interaction between food producers and consumers in the form of a digital market):
Once used interactively and iteratively by the communities, this decision making tool can perform an adaptive and evolutionary process of multiple choices among agents of food production processes.
The tool is a guide for more sustainable choices, allowing producers to evaluate new possibilities, such as transitioning from conventional to agroecological production, or introducing their business into Consumer Supported Agriculture systems, which better remunerate producers and prevent waste, as the production and consumption chains are shorter.
This process constitutes a situation area where the interactions between agents evolve according to interpretative and conflicting interaction patterns. These processes, if guided by decision making tools that raise the rationality standards of the multiple agents towards greater sustainability, potentially result in the transition.

1.2. RQ 2. How Can ULLs Actually Promote the Transition Process?

As a procedure to forward the São Paulo ULL actions, answering RQ 2, two commons governance tools were applied. Both use the sustainability indicators framework (Figure 2).
The first one (Section 2) looks at the current profile (the “backward-looking” face of Janus) of FEW systems, modelling them using SD, and assessing their potential pattern of sustainability gains. The second (Section 3) looks to the future, prospecting how communities see the expectations and ways of transitioning to sustainability, using the Delphi method for decision support. The integration between system dynamics and multicriteria decision analysis can contribute to understanding two sides of the same phenomenon: the transition. The first, SD modelling, concerns how the dynamics of complex systems take place, their functionalities and dysfunctions. The other, from agents’ perspective, is how to obtain the most reliable consensus of opinions from experts about the same phenomenon, so as to increase the chances of the transition happening [19].

2. System Dynamics Modelling: The Backward-Looking Face of Janus

Transition to sustainability comprises a subset of highly complex meta-disciplinary problems. In the case of peri-urban agriculture, such transition requires greater levels of understanding of multi-scale phenomena and common-pool resource use systems.
These are open or semi-open, which makes understanding their dynamics even more uncertain. This aspect, from the local to the global scope, confronts us with the so-called “complexity”, given the diverse set of agricultural, biological, aquaculture, environmental, technological, and socioeconomic issues one needs to understand and manage, aiming at sustainable development [20].
The analytical capabilities required to understand and manage the data and information volatility and multidisciplinarity [21] leads us to use system dynamics (SD) simulation modelling, by means of cause-effect simulations between stocks (in this case, sustainability indicators) and other variables (such as the effects of payment for environmental services on the Land Social Development Index).
They allow: (a) to verify the current sustainability of FEW Nexus in order to guide decision making towards more sustainable systems, and (b) to analyse and design the sustainability policies and governance arrangements of the same nexus.
SD simulation, by modelling, gives materiality to the understanding of how production systems (or others, such as consumption or innovation financing ones) behave, measuring, in an interconnected way, the productive relationships that use different commons as input, especially the FEW Nexus. Hence, the micro-foundations of these systems can indeed be evaluated in terms of their functionality and degrees of sustainability.
This procedure begins by developing causal loop diagrams, general representations of the qualitative relationships between system elements, a kind of skeleton for the SD model. Cause–effect simulation between stocks and flows is made possible by inserting quantitative data that link them.
Once modelled, these relationships show scenarios of positive and negative influences between stocks [22]. The time dimension is established by diagrammatic relations between stocks and flows, simulating the dynamics of the system [23].
This provides the methodology with the ability to quantify (a) patterns of interactive relations between components of complex systems [24,25], (b) the behaviours in recursive feeding and feedback cycles between relevant factors of a certain system, and (c) analyses of potential trade-offs in scenarios with multiple attributes.
We considered five socio-economic-environmental indicators: Trophic State Index (eutrophication’s proxy), Land Use Earnings, Land Social Development Index and Water and Carbon Footprints. The choice of indicators and their position in the decision tree (framework) was based on teach one’s relevance in representing the system regarding sustainability, as well as possible measurement by primary and/or secondary data. Quantification of the indicators followed methodologies validated scientifically and by regulatory agencies.
Based on the factors that make up the systems of interest, we developed a representative model of the on-site production process. The SD-CoAg model (Figure 3) (developed using AnyLogic® University 8.7.7 software; the systems are analysed individually, as input data differ qualitatively and quantitatively, such as the parameters representing chemical and organic inputs) represents the two production modes: conventional and agroecological.
The SD-CoAg model assesses synergies between society, the production system, and the environment via cause-and-effect analysis for predictive scenarios.
To illustrate the tool’s ability to respond to the aforementioned objective, we evaluated the causal links between commons stocks and certain parameters and/or dynamic variables (also considering the multiple impacts between different variables, such as those between product price and the CSAI, which shortens chains and allows producers to sell for a higher price), performing such simulations for agroecological (Ag) and conventional (Co) production methods. The components and input data that constitute the SDM-CoAg model are presented in Table 1.
Behaviour curves of the cause–effect relationships mentioned were compared (Graphs T, U V, W, Z) with their respective benchmarks and divided into a ruler: pessimistic, neutral, or optimistic scenario, previously built based on the literature and technical protocols.
Some of the multiple cause–effect relationships between indicators and parameters or variables are displayed graphically (Figure 4, Figure 5, Figure 6, Figure 7 and Figure 8):
  • Figure 4—Land Use Earnings stock (For the Land Use Earnings (LUE) and Land Social Development Index (LSDI) indicators, we considered four scenarios for a 10-year period—Scenario 1: null CSAI and ESI; Scenario 2: CSAI random and ESI with implementation of 1%/month, per hectare of the property; Scenario 3: CSAI random and ESI with implementation of 5%/month; Scenario 4: CSAI random and ESI with implementation of 10%/month) X Community Supported Agriculture Index (CSAI) and Payments for Environmental/Ecosystem Service (PES) parameters/dynamic variables;
  • Figure 5—Land Use Social Development Index Stock X Community Supported Agriculture Index (CSAI) and Ecosystem Service Index (ESI) parameters;
  • Figure 6—Tropic State Index (TSI) stock X Ecosystem Service Index (ESI) parameter (in this case, the strategy to reduce phosphorus not assimilated by the crops and leached via soil is substantiated by implementing Ecosystem Services, which aims to induce more sustainable practices, such as those that allow IST reduction);
  • Figure 7—Water Footprint (WF) stock X Ecosystem Service Index (ESI) parameter (in this case, the strategy to reduce nitrogen and chemicals and pesticides responsible for increasing the Grey Water Footprint (one of the components of total water footprint), is substantiated by implementing Ecosystem Services, which aims to induce more sustainable practices, such as those that allow WF reduction), and
  • Figure 8—Trophic State Index expanded to larger production area.
We selected cause–effect relationships between stocks and parameters and variables for analysis because they represent highly relevant sustainability policies regarding current transition efforts, namely:
(a)
Payments for Environmental Services (PES) (input data on ESI payments used as a benchmark, the Inter-American Development Bank (IBD) ruler, which was, in turn, used to implement the PES policy in the region under study at the border of the Atlantic Forest (Public Selection Notice PSA No. 006/2018), practiced by international development banks such as the World Bank, has the Ecosystem Service Index (ESI) payments indicator for land users who adopt sustainable commons practices, thus aligning their incentives with those of society as a whole [26] and generating ecosystem benefits.
(b)
In the Community Supported Agriculture Index (CSAI) (programmed in random mode, via an automatic variation between 0 and 1, given the absence of historical CSAI data in countries for the practices under analysis), direct sales from producers to consumers relate to Land Use Earnings, since sales prices practiced without intermediaries can be higher.
(c)
The Trophic State Index (TSI) (TSI was measured using the methodology of the environmental control and inspection agencies of the State of São Paulo, Brazil, as well as international protocols for this measurement, which interprets the phosphorus parameter as a measure of the eutrophication potential [27,28]. Measurement of the Water Footprint (WF) indicator for production systems considers the sum of the green, blue and grey water footprints representing the fraction of rainwater precipitated on the soil, the volume extracted from surface and/or underground springs, and the volume of water needed to dilute agricultural inputs, respectively [25]) [26,28,29], which measures the eutrophication process (since the eutrophication process is affected by climatic factors such as rainfall, which influences the flow of springs, we programmed the Dilution Rate parameter to simulate the seasonality of the region under study for scenarios 1 to 4), that is, it evaluates water quality, one of the FEW nexus’ direct stocks. We evaluated the impacts of the parameters in productive units (1–4 ha) and in the pilot region under study (1376 ha, southern São Paulo).
(d)
The Water Footprint (WF), a measure of water use in food production.
In the case of null CSAI and PES (scenario 1), we observed that for both systems, LUE has an essentially pessimistic profile; without the cited policies, LUE is at the limit of remuneration. In the Agroecological method, implementing the CSAI (all scenarios in which CSAI is positive) results in some improvement in LUE; the indicator goes from a pessimistic scale to neutral, emphasizing the importance of implementing CSAI strategies. On the other hand, in the conventional method, implementing the CSAI keeps LUE in a pessimistic benchmark band.
CSAI practice thus shows a differential vector impact for both production systems. Despite the positive influence of practices that result in PES, we see that the amount received monthly by producers has a marginal effect on the LUE indicator, not significantly influencing it for either production methods. This finding points to a review of the PES rates set in current PES grant notices.
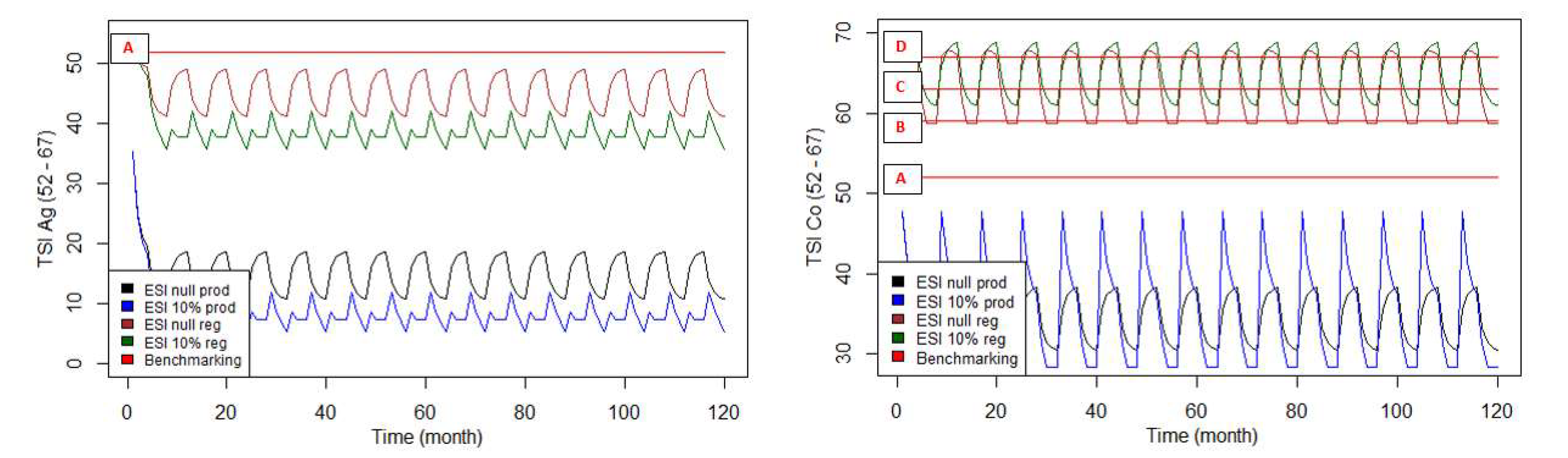
This simulation clearly demonstrates the importance of CSAI and ESI policies for increasing land use social development (LSDI). Without implementing these practices (null CSAI and ESI), the LSDI profile is pessimistic for both systems (conventional and agroecological); that is, it is below the three benchmarks.
In scenarios where CSAI and ESI strategies are implemented, albeit asymmetrically, both modes of food production experience sustainability level gains.
We observe an important evolution of this indicator for agroecological production, which goes from a pessimistic level to neutral in the 5% and 10% ESI scenarios, coming close to the optimistic profile. In conventional production, implementing these same strategies drives the indicator towards neutrality at times when the CSAI is highest for the 5% and 10% ESI scenarios.
However, it has a lower profile compared to the agroecological system, since the ESI can be implemented at a maximum of 0.5 (Public Selection Notice PSA No. 006/2018, from the São Paulo Forestry Institute, in joint policies with the Interamerican Development Bank, assigned an Environmental Services Index (ESI) for each of the modes of production, defined according to its potential to improve the region’s degree of sustainability. This index can reach a maximum of 0.5 in the conventional system and 1.0 for agroecology) in conventional systems, while it can reach 1.0 in agroecological, according to the guidelines of Notice No. 006/2018.
It is also relevant to observe that implementing 5% or 10% ESI does not significantly impact the levels of social and economic sustainability in both modes of production, suggesting a review of policies that establish gross values for payment for environmental services as a way to promote sustainability.
Figure 6 and Figure 7 below present the analysis of the relations between TSI and the ESI parameter for the two production methods; however, Figure 6 presents the dynamics modelling of 1ha properties, while Figure 7 analyses an expanded area of 1376 ha (referring to 344 properties of 1–4 ha on average, in southern São Paulo).
In the case of the agroecological system in any simulated scenario and area, individual property (1ha and 4ha) or expanded area (1376 ha), the result is TSI below the reference value 52 TSI (Trophic State Index, according to the methodology adopted by Brazilian national environmental regulatory agencies)—Oligotrophic; that is, agricultural activity in the region has a profile without undesirable interferences on water use.
For conventional production, in the case of a property (1 to 4ha), and considering both the absence and presence of TSI, all scenarios are sustainable, but come very close to the first benchmark (52 TSI—Oligotrophic).
When evaluating regional scenarios (1376 ha), however, we observe that the TSI profile moves between neutral and pessimistic benchmarks, even for the 10% ESI per month implementation scenario, across all properties. Neutral TSI (63 < TSI ≤ 59), called Eutrophic, shows reduced water transparency directly affected by human activities.
In the pessimistic benchmarking levels, TSI transits between the super eutrophic and hypereutrophic classifications, resulting in frequent undesirable changes in the quality of regional springs, caused by high concentration of organic matter and, at times (hypereutrophic), can present episodes of algae blooms and fish kills.
ESI implementation, which presupposes new practices to reduce the use of chemical and organic inputs in both systems, shows the importance of implementing ecosystem service strategies and techniques.
The reduction in phosphorus and nitrogen concentration of the inputs used in conventional crops, although lower than in agroecological production, results in decreased WF (since a significant fraction, in its calculation, refers to the grey water footprint), showing that ESI is strategically viable.
In the agroecological system, WF is at the highest rung of sustainability; that is, according to the developed benchmarking, agroecological production results in low WF rates, even in negative weather conditions, as in a water crisis. In the conventional system, although ESI promotes WF reduction, we can see that in all scenarios, even those of greater ESI implementation, the indicator is above the last step of the most pessimistic benchmark (760 m3/ton product), pointing to the unsustainability of the system regarding water use.
Results point to a whole set of public policy provisions, presented in the Final Considerations section of this article.

3. Delphi: The Forward-Looking Face of Janus

As a complement to the SD modelling procedures, we now present the procedures that allow ULLs to prospect desirable futures; that is, to prospect scenarios of greater sustainability.
We explore below the communities’ expectations regarding the transition, by means of a foresight tool; that is, for formulating a collectively desired future.
Achieving the goals of the transition requires multiple efforts of high geographical capillarity and involves substantial changes in eating and consumption patterns, a representative reduction in wasted FEW resources, and improvements in food production practices.
Foresight approaches are identified with the intention of collectively conceiving the advances that certain future context such as FEW Nexus present from the dynamic perspective of innovation systems and socioeconomic structures.
It is about seeking a shared vision of what would be the main demands and promising fields of research and, in the discussed case, the most sustainable scenarios in the near future to establish priorities, but also to articulate several players around the problem—the uncertain unsustainable future—and the competitiveness constraints for it.
Transitioning to conditions of greater sustainability requires numerous adjustments necessary for such a change to take place: it depends on the incremental routing of problems, dysfunctionality, reorganization of production chains, food distribution and consumption systems, etc.
According to Webler et al. (1991) [30], rarely do decision makers have enough information available to make a decision, even one about which they can be confident.
Considerable effort must be spent on reducing uncertainty surrounding decisions, since knowledge about problems, especially complex problems such as transition, is incomplete, just as the values (priorities or social preferences) that guide these changes are not always clear.
Paving the way for planning future events then requires reducing uncertainties about interpretations of factual evidence and should consider the parameters within which scientific causal relations can operate [30]. These are typically characteristic of a problem to be addressed via its multiple criteria and attributes.
Witt and Klumpt (2021) [31] argue that a multicriteria approach to decision making is capable of evaluating a finite and discrete number of alternatives, as is the case with the FEW Nexus problem. This approach “allows to make explicit and to address scientifically the desires and beliefs of organizational agents (stakeholders) in order to formalize them into the organizational strategy and objectives” [19]. For these reasons we used the Delphi method (named after the ancient Greek oracle Delphi, which offered visions of the future to those who sought counsel), a multicriteria tool for forecasting, communication, collective planning and implementation process for dealing with complex problems, in this case, the FEW system.
Delphi is a far-reaching qualitative forecasting technique that draws, refines, and relies on the collective opinion and experience of an expert panel; it has been used in planning, policy analysis, and long-term forecasting in both the public and private sectors; the goal of Delphi is not to obtain a single answer or to reach a consensus, but to obtain as many high-quality answers and opinions as possible on a given problem to improve decision making [32].
The instrument was developed to capture agents’ expectations about the future, as desired by stakeholders and experts, and “obtain the most reliable consensus of opinions of a group of experts (...) by a series of intensive questionnaires interspersed with controlled opinion feedback” [33]. This offers: (a) “a way to encourage experts to make a consensual ‘best guess’ on future conditions” [31], and (b) a dual-character tool, as future analysis investigates the current conditions of a certain agent-operated system [34].
To promote interviewee heterogeneity and expand the representativeness of different stakeholder groups, we based the selection of experts on political criteria [35], numerical balance between these different stakeholders, epistemological criteria [36], and the interviewees’ expertise.
We interviewed farmers, sustainability transition experts, public managers, and other stakeholders, such as representatives of the third sector and environmental regulatory agencies. Each Delphi questionnaire question was designed based on a respective indicator of the FEW governance framework (Figure 2).
Quantitatively, using a Likert scale (scale of 1-3-5-7-9, from 1 “strongly disagree” to 9 “strongly agree” with the statement) to guide the answers allowed us to identify, by aggregation with the Promethee-Gaia method [37,38] (Preference Ranking Organization Method for Enrichment Evaluations. It originated from a variation of the ELECTRE method, with greater resistance to parameter variations, but more fragile to the subjectivities of technical parameters [37]. This method uses a dominance relationship which seeks to find an overarching relationship weighted by a set of pre-established criteria. For each pair of alternatives, a degree of preference is established for one over the other [38]), the preference functions of each criterion related to a general problem, identifying factors critical to the transition process towards sustainability between agroecological and conventional modes of production.
Qualitatively, the comments provided by interviewees for each question were analysed using grounded theory [39]. For the overall analysis of the Gaia plan, we grouped the 63 participants according to the criteria for the “agroecological transition” alternative, in opposition to the “conventional” alternative. The larger the vector, the greater the number of people who gave equal marks to the question, showing a greater or lesser convergence of opinion. Left-hand orientation of the graph indicates that the resultant tended towards agroecological transition; right-hand orientation indicates conventional transition.
Figure 9 shows the preference functions of the Delphi indicators: on the left, the indicators that tended towards the “agroecology” alternative, and, on the right, towards “conventional”.
Highlighted in results in Figure 9, the three indicators in the “Physical and Material Conditions” dimension—Water Footprint, Eutrophication, Carbon Footprint—refer to measurable factors and had expected convergence of responses, pointing to the advantages of agroecology transition. Interviewees expect to see an improvement in the environmental indicators analysed with the transition.
Most opinions pointed to the Economic Instruments of Incentives (C10) indicator, followed by the Index of Future Technological Adoption of agroecology under favourable conditions (C6) indicator, as advantages of the transition. Most remarks converged to the Contract Structure Index (C8) as an obstacle to transition. Qualitative analysis of the answers confirmed these same indicators—C10, C6, and C8—as the most critical for the transition process.
The Water Footprint (C1), Carbon Footprint (C3) and Eutrophication (C2) indicators converged opinions on the advantages of agroecology. Of the most highlighted aspects, the various conservationist practices in soil management, such as green cover and organic fertilization, lead to a desirable and necessary improvement in these three indicators, according to most experts.
These are strong arguments for strengthening incentive systems, such as payments for environmental services, to compensate all and not only part of the financial investment in the transition.
As for the Land Use Earnings (C4) and the Land Social Development Index (C5), although we observed a tendency towards favourable responses to agroecology compared to conventional, they bring several considerations and caveats when thinking about the future, according to the experts who relate these two socioeconomic indicators.
One of them concerns production scale gains on large properties, where the transition is more technically difficult, and it is not certain that the higher final price of agroecological products will immediately compensate the cost of transition.
Small properties, in turn, need to search for a new market, for input suppliers and technical assistance, the demand for creating a new organizational network for production, as well as the culture and learning surrounding the conventional system, appear as main limiting factors of the transition.
Second in highest convergence favourable to the transition, the Index of Future Technological Adoption, an indicator related to dissemination of innovations, confirms the stakeholders’ opinion on the key role of innovation in the transition process.
The ideal conditions of access to credit and technologies, regulation of the land situation, and technical support are currently distant conditions for Brazilian agroecological farmers, but the expectations exist.
The Production Integration Index (C7) measures the stakeholders’ expectation regarding the role of creation of production chains in the transition process.
Opinions oscillated between the advantages and necessity of integrating production chains for the transition and the consideration that, if there is no chain available and prepared for the agroecological market, integration can be an obstacle for the transition.
When looking to the future, transition depends on chains that can, in addition to market their products, adequately exploit green marketing as a brand differential. For small producers, it is also essential that these production chains be able to promote direct sales from the rural producer to the final consumer (via CSAI), and direct sales to municipalities and to companies for final consumption.
For the Contract Structure Index (C8) indicator, answers pointed to the existence of a contract as an obstacle for the transition. When looking at the present, respondents point to future difficulties for farmers in the transition, such as the transfer of organic products to market.
The way contracts are structured proves to be a determining factor in the existence or not of guarantees that prices compensate the higher costs of organic production compared with conventional production. Simultaneously, pointed out as a critical factor and in a current unfavourable situation, the quantitative and qualitative results indicate that the contract structure can be considered a key issue, if not the main one, to be developed and improved in sustainability policies.
The Governance Index (C9), which addresses the intrinsic ability of rules to be grasped and consistent with production conditions, had little convergence of opinions. The same is true for the indicators Control Instruments (C11), Environmental Action and Defence Instruments (C12), and Rule Enforcement Tools (C13), all related to the “rules-in-use” dimension.
It reveals a belief that large producers obtain all the incentives derived from environmental rules and legislation without having to comply with basic rules such as preserving permanent protection areas. Additionally, there is a belief that it is impractical to adopt and follow all the rules established for the large production system to work. From a technical point of view, experts consider the existing rules to be generally adequate, but adherence to these rules at different institutional levels is a central challenge for the desired future transition process.
Regarding the Economic Instruments of Incentives (C10) indicator, most answers converged to point this one out as the main factor of the transition, also confirming the centrality of innovation for the transition process.
Dependence on the initial investment of resources (and the absence of specific programs for this), support for organizing production chains and networks, and the lack of technical assistance were cited as the most important bottlenecks for agroecological transition.
Financial contribution and public policies could direct mechanisms towards consumer awareness, economic guarantees during the transition process, increased interest of researchers on agroecology, and, consequently, increased interest of large corporations and rural producers on the subject.
In the conventional farmers’ pessimistic view regarding the possibility of agroecological transition, the efforts and investments in innovation could be lost due to the difficulty in finding markets and obtaining returns that offset the added costs of this production method. Another critical factor concerns the institutional aspects of the organizations involved.
Ignorance on the part of private banks and development institutions about agroecological models, and the lack of research and development of this method generates doubts in the financial market and reduces to almost zero the specific lines of credit and technical support for agroecological producers.
More pessimistic views place hope in the next generation, since there is and has been, according to several farmers, a whole “indoctrination” for the use of pesticides and industrial fertilisers. The more optimistic point out the consumer’s growing awareness regarding healthy and safer food, which demands better production techniques based on good practices and agroecological production.
Business ties and partnerships with farmers are pointed out as strong motivations for opting or not for the transition.
Changing the business model requires significant changes in the farmer’s ways of acting and thinking and in the ways of establishing partnerships and dealing with customers.
Thus, farmers often prefer stability to seeking new methods and taking risks in their business model. Another central factor pointed out is that large producers have little interest in organic agriculture, precisely because their productions are inserted in stable markets. Additionally, contractual integrations can mask dependency agreements between producers and food industries, which compromises the transition.

4. Final Considerations

To advance experiments that can increase the understanding of the FEW nexus, this paper presented the results of implementing the São Paulo ULL.
The transition subject is evolving, both in theory and in practice. So, the ongoing institutionalization of such a transition mission-oriented laboratory has permitted to understand the advantages and future challenges of:
(a)
A public choice approach: the sustainable FEW governance network formation and dynamics and this paper’s RQ 1.
The commons concept itself has expanded to encompass new coordination problems, such as that concerning the FEW Nexus; this approach presumes a self-governance system, in which collective choices for sustainable practices can evolve from a network’s actors’ interactions and learning.
This view assumes the political economy of liberal democracies. It does not fit in the contexts of countries where decisions are centralised, leaving communities out of the decision making processes.
The commons collective governance deals with a novel approach with the idea of a finitude of resources; remembering that, from Hardin’s Tragedy of Commons, the sum of units extracted individually from a system would be greater than the maximum extraction capacity of it as a whole, leading to its scarcity; this is a current model of neoclassical environmental economics that addresses the issue are dynamic partial equilibrium model. This approach does not consider the complexity of decisions in a society, at least in democratic ones, and which are not always mere sums of individual decisions.
There are alternative forms of organization concerning the transition challenge that are not merely a matter of market versus state. It is possible to assume a test field of economic hypotheses in game theory between agents, as well as aspects such as economic psychology and economic sociology.
This paper has performed a validated experiment in collective choice arrangement; São Paulo ULL has organised a stakeholders and shareholders network theory around a sustainability decision tool, the SPIN instrument. All the individuals affected by the operative rules can participate in its construction and modification; there is current use and validation of this tool. The tool’s users effectively have constructed the rules to be followed on site and commit themselves in advance to cooperate with them.
This experiment allowed us to understand the decisive factors for the formation of the network and involvement of the actors as the clear definition of rights to extract the resources, the appropriation and provision rules consistent with local or regional conditions, the collective arrangement conflict resolution, the operating rules, and their gradual sanction of violation. These factors are represented, at the SPIN decision tool, as indicators.
The current use and broad discussion of the SPIN tool, concerning a broad variety of institutional actors, has allowed us to validate and understand the decision making process. Regarding the efficiency of network actions, there is, especially, the resulting learning effects on the perpetuation of decision making that raise the sustainability levels of the systems.
Again, from the institutional public-choice approach, this is a very useful way to foster effective policy making. So, forming a socio-technical network of stakeholders in the process of transition towards sustainability, as a public choice option, in the context of food production at the border of the Atlantic Forest in south-eastern Brazil, proved to be essential to create situation arenas, the basis for future negotiations that could make the transition a reality.
Networking—situation arena—took place during the collective elaboration of a decision making tool capable of guiding this community in the process of adopting technological and organizational innovations that lead to the so-called sustainable food systems.
The tool resulting from this collective process has a holistic character in terms of its ability to originate, design, and implement sustainable urban development and to give materiality to the coordinated actions necessary to forward solutions to such a complex problem.
In order not to fall into the most common flaws that this type of tool can present, we adopted the three core dimensions of commons governance, covering the attributes of the physical world and production systems, the stakeholders and their expectations, and the role played by the rules and laws that govern the relations between stakeholders and the physical world. Under each of these dimensions, we developed a comprehensive set of 13 sustainability indicators, which are highly relevant for driving the transition.
(b)
The demonstration of the utilization of joint and integrated tools and methodologies, such as the SD modelling and the Delphi foresight.
We conducted two experiments: one to simulate the complexity of cause–effect relationships using SD modelling between the sustainability factors of the production modes, and the other using Delphi methodology to simulate the stakeholders’ foresight about the transition process. Its results allowed São Paulo ULL to qualify the possible effects of numerous policies based on technological and organizational innovation, such as those that introduce institutional actions to induce new environmental conservation practices, such as Payment for Ecosystem Services, the effects of income generation on rural properties derived from reduced marketing chains (via Consumer Supported Agriculture Index), in addition to measuring the actual sustainability levels of conventional and agroecological production systems.
This means FEW governance mechanisms demand an evaluation of social, technological, financial, and organizational sustainable innovations—as this article argues. The use of the SPIN framework structured multi-criteria indicators for SD modelling and Delphi agent’s expectations’ foresight proved to be very useful in modelling and foreseeing the technological aspects and economic impacts of innovations.
From a practical perspective, the SD offers the possibility of dealing with the multiple cause and effect relationships between environmental, social, and economic efficiency indicators. As a ULL proceeding, it is a powerful simulation mechanism for policy prescription. From the SD results, we propose some adjustments to current policies, such as the Inter-American Bank of Development’s current Payment of Ecosystem Services and the development of more accurate landmarks for Consumer Supported Agriculture organizational innovations.
This ensemble reveals the capacity of the tools’ integration power to deal with the many complexities in sustainable innovation.
In an integrated way, Delphi foresight reaches the human dimension of the future of adopting more sustainable practices and behaviours.
These proceedings highlight the complexity, reduces uncertainty, and promotes interactivity in the development and implementation of sustainable innovations.
In this context, the São Paulo ULL demonstrates how to implement actions that allow institutionalizing and promoting FEW governance, in addition to the interrelationships and feedbacks between multiple sources and actors in innovation for transition, establishing networks and designing foresight tools and robust, long-term sustainability policies.

Author Contributions

Conceptualization: M.E.S.D.P.; Methodology: (a) System Dynamics Mod-eling, P.S.d.A.I. and E.C.F.; (b) Delphi, A.A., A.L.P. and T.P.R.; Validation, Formal Analysis, Data Curation: all the authors and stakeholders and partners of the São Paulo ULL; Original Draft, M.E.S.D.P.; Supervision, M.E.S.D.P. All authors have read and agreed to the published version of the manuscript.

Funding

This research was funded by São Paulo Research Agency, FAPESP, grant number 2017/50421-3.

Institutional Review Board Statement

Institutional Review Board Statement: Brazilian Research Ethics Council, “Brasil Plataform”; approval CAAE 29568619.8.0000.5404.

Data Availability Statement

Not applicable.

Acknowledgments

São Paulo Research Foundation (Fapesp) for funding the project.

Conflicts of Interest

The authors declare no conflict of interest. The funders had no role in the design of the study; in the collection, analyses, or interpretation of data; in the writing of the manuscript, or in the decision to publish the results.

References

  1. Dosi, G. Technological paradigms and technological trajectories: A suggested interpretation of the determinants and directions of technical change. Res. Policy 1982, 6, 147–162. [Google Scholar] [CrossRef]
  2. Levinthal, D.A. The slow pace of rapid technological change:gradualism and punctuation in technological change. Ind. Corp. Change 1998, 7, 217–247. [Google Scholar] [CrossRef]
  3. Nelson, R.R.; Winter, S.G. An Evolutionary Theory of Economic Change; Belknap Press: Cambridge, MA, USA, 1982. [Google Scholar]
  4. Callon, M. Actor-network theory: The market test. In Actor Network Theory and After; Law, J., Hassard, J., Eds.; Blackwell Publishers: Oxford, UK, 1999; pp. 181–195. [Google Scholar]
  5. Geels, F.W. Technological transitions as evolutionary recon-figuration processes: A multi-level perspective and a case-study. Res. Policy 2002, 31, 1257–1274. [Google Scholar] [CrossRef] [Green Version]
  6. Geels, F.W.; Elzen, B.; Green, K.; Elzen, B. General introdution: System innovation and transitions to sustainabilty. In System Innovation and the Transition to Sustainability: Theory, Evidence and Policy; Geels, F.W., Green, K., Eds.; Edward Elgar: Cheltenham, UK, 2004; Capítulo 1. [Google Scholar]
  7. Ostrom, E.; James, W. Neither Markets Nor States: Linking Transformation Processes in Collective Action Arenas. In Perspectives on Public Choice: A Handbook; Dennis, C.M., Ed.; Cambridge University Press: Cambridge, UK, 1997; pp. 35–72. [Google Scholar]
  8. Ostrom, E. Background on the institutional analysis and development framework. Policy Stud. J. 2011, 39, 7–27. [Google Scholar] [CrossRef]
  9. McGinnis, M.D.; Ostrom, E. Social-ecological system framework: Initial changes and continuing challenges. Ecol. Soc. 2014, 19, 30. [Google Scholar] [CrossRef] [Green Version]
  10. El Bilali, H. Transition heuristic frameworks in research on agro-food sustainability transitions. Environ. Dev. Sustain. 2018, 22, 1693–1728. [Google Scholar] [CrossRef] [Green Version]
  11. Zeng, X.T.; Zhang, J.L.; Yu, L.; Zhu, J.X.; Li, Z.; Tang, L. A sustainable water-food-energy plan to confront climatic and socioeconomic changes using simulation-optimization approach. Appl. Energy 2019, 236, 743–759. [Google Scholar] [CrossRef]
  12. Dal Poz, M.E.; Batista, M.R.; Francisco, E.C.; Piolli, A.L.; Bueno CSE Favero, C.N. The institutions for institutional transitions. In Proceedings of the World International Network for Institutional Research, WINIR Conference, Lund, Sweden, 19–22 September 2019. [Google Scholar]
  13. Ostrom, E. Governing the Commons: The Evolution of Institutions for Collective Action; Cambridge University Press: Cambridge, UK, 1990. [Google Scholar] [CrossRef]
  14. Penrose, E.T. The Growth of Firms, Middle East Oil and Other Essays; Frank Cass: London, UK, 1971. [Google Scholar]
  15. Teece, D.J.; Pisano, G.; Shuen, A. Dynamic Capabilities and Strategic Management. Strateg. Manag. J. 1997, 18, 509–533. [Google Scholar] [CrossRef]
  16. Ostrom, E. Beyond markets and states: Polycentric governance of complex economic systems. Am. Econ. Rev. 2010, 100, 641–672. [Google Scholar] [CrossRef] [Green Version]
  17. Hardin, G. The Tragedy of the Commons. Science 1968, 162, 1243–1248. [Google Scholar] [CrossRef] [PubMed] [Green Version]
  18. Poteete, A.; Janssen, M.A.; Ostrom, E. Working Together: Collective Action, the Commons, and Multiple Methods in Practice; Princeton University Press: Princeton, NJ, USA, 2010. [Google Scholar]
  19. Flunger, R.R. The System Dynamics Approach and the Methodology for Multicriteria Decision aid as Tools for Organizational Learning. 2001. Available online: http://flunger.com.br/blog/2001/01/26/the-system-dynamics-approach-and-the-methodology-for-multicriteria-decision-aid-as-tools-for-organizational-learning/#comments (accessed on 3 March 2021).
  20. Bala, B.K.; Arshad, F.M.; Noh, K.M. System Dynamics Modelling and Simulation; Springer: Singapore, 2017. [Google Scholar]
  21. Hajkowicz, S.; Negra, C.; Barnett, P.; Clark, M.; Harch, B.; Keating, B. Food price volatility and hunger alleviation: Can Cannes work? Agric. Food Secur. 2012, 1, 8. [Google Scholar] [CrossRef] [Green Version]
  22. Ahmad, S.; Tahar, R.M.; Muhammad Sukki, F.; Munir, A.B.; Rahim, R.A. Application of system dynamics approach in electricity sector modelling: A review. Renew. Sustain. Energy Rev. 2016, 56, 29–37. [Google Scholar] [CrossRef]
  23. Chhipi-Shrestha, G.; Hewage, K.; Sadiq, R. Water-Energy-Carbon Nexus Modelling for Urban Water Systems: System Dynamics Approach. J. Water Resour. Plann. Manag. 2017, 143, 04017016. [Google Scholar] [CrossRef]
  24. Forrester, J.W. Industrial Dynamics; MIT Press: Cambridge, MA, USA, 1961. [Google Scholar]
  25. Forrester, J.W. Principles of System Dynamics; Productivity Press: Cambridge, MA, USA, 1968. [Google Scholar]
  26. Hoekstra, A.Y.; Chapagain, A.K.; Aldaya, M.M.; Mekonnen, M.M. The Water Footprint Assessment Manual; E. Earthscan: Washington, DC, USA, 2011. [Google Scholar]
  27. GHG. Programa Brasileiro GHG Protocol. 2010. Available online: https://www.ghgprotocolbrasil.com.br/ (accessed on 3 March 2021).
  28. Lamparelli, M.C. Grau de Trofia em Corpos D’água do Estado de São Paulo: Avaliação dos Métodos de Monitoramento. Ph.D. Thesis, Instituto de Biociências, Universidade de São Paulo, São Paulo, Brazil, 2004. [Google Scholar]
  29. CETESB (Companhia Ambiental do Estado de São Paulo). Índices de Qualidade das Águas—Apêndice D; CETESB: São Paulo, Brazil, 2017. Available online: https://cetesb.sp.gov.br/aguas-interiores/wp-content/uploads/sites/12/2017/11/Ap%C3%AAndice-D-%C3%8Dndices-de-Qualidade-das-%C3%81guas.pdf (accessed on 3 March 2021).
  30. Webler, T.; Levine, D.; Rakel, H.; Renn, O. A Novel Approach to Reducing Uncertainty. Technol. Forecast. Soc. Change 1991, 39, 253–263. [Google Scholar] [CrossRef]
  31. Witt, T.; Klumpp, M. Multi-Period Multi-Criteria Decision Making under Uncertainty: A Renewable Energy Transition Case from Germany. Sustainability 2021, 13, 6300. [Google Scholar] [CrossRef]
  32. Gupta, U.G.; Clarke, R.E. Theory and applications of the Delphi technique: A bibliography (1975–1994). Technol. Forecast. Soc. Change 1996, 53, 185–211. [Google Scholar] [CrossRef]
  33. Dalkey, N.; Helmer, O. An Experimental Application of the Delphi Method to the Use of Experts. Manag. Sci. 1963, 9, 458. [Google Scholar] [CrossRef]
  34. Barré, R. Foresights and Their Themes: Analysis, Typology and Perspectives. In Conference Papers: Role of Foresight in the Selection of Research Policy Priorities; European commission: Seville, Spain, 2002; pp. 88–109. [Google Scholar]
  35. Turner, S.P. What Is the Problem with Experts? In Social Studies of Science; Sage: London, UK, 2001; Volume 31, pp. 123–149. [Google Scholar]
  36. Collins, H.M.; Evans, R. The Third Wave of Science Studies: Studies of Expertise and Experience. In Social Studies of Science; Sage: London, UK, 2002; Volume 3, pp. 235–296. [Google Scholar]
  37. Campos, V.R. Multicriteria Decision Aid Model for the Prioritization of Water Supply and Sewage Projects. Ph.D. Thesis, Universidade de São Paulo, São Carlos, Brazil, 2011. [Google Scholar]
  38. Macedo, M.G.C. Indicadores de Sustentabilidade Ambiental na Indústria Da Mineração: Avaliação Pelo Método Prométhée II. Master’s Thesis, Faculdade de Economia e Finanças Ibmec, Rio de Janeiro, Brazil, 2008. [Google Scholar]
  39. Strauss, A. Qualitative Analysis for Social Scientists; Cambridge University Press: Cambridge, UK, 1987. [Google Scholar]
Figure 1. Research design.
Figure 1. Research design.
Sustainability 14 07163 g001
Figure 2. Sustainability Indicators Framework, The Sustainability Policy Innovation Network tool (SPIN) set of criteria. Source: the authors. (Indicators: Agents’ Expectation Index on technological adoption, Productive Integration and Contractual Structure; Governance, Enforcement and Compliance indicators; In order to happen, efforts must still be made to make the tool available; this should be carried out through the AgroSP platform (http://agrosp.sp.gov.br/, accessed on 3 March 2022), a government platform for interaction between food producers and consumers, in the form of a digital market).
Figure 2. Sustainability Indicators Framework, The Sustainability Policy Innovation Network tool (SPIN) set of criteria. Source: the authors. (Indicators: Agents’ Expectation Index on technological adoption, Productive Integration and Contractual Structure; Governance, Enforcement and Compliance indicators; In order to happen, efforts must still be made to make the tool available; this should be carried out through the AgroSP platform (http://agrosp.sp.gov.br/, accessed on 3 March 2022), a government platform for interaction between food producers and consumers, in the form of a digital market).
Sustainability 14 07163 g002
Figure 3. System Dynamics Model (SD-CoAg) for conventional and agroecological food production systems, Source: the authors. Legend: BioPest: biological pesticides; BioPestCF: biological pesticides carbon footprint; BlueWF: blue water footprint; CarbonFootprint: carbon footprint indicator stock; CSAI: community supported agriculture index; DIRD: demographic index of rural dependency; EnergyCF: energy carbon footprint; ESI: ecosystem service index; ETBlue: reference evapotranspiration; ETBGreen: crop evapotranspiration; FertCF: fertiliser carbon footprint; FuelsCF: fuels carbon footprint; Fung: fungicides; GreenWF: green water footprint; GreyWF: grey water footprint; Herb: herbicides; Insect: insecticides; InputCF: carbon footprint input flow; InputYield: yield input flow; InputLSDI: land social development index input flow; InputLUE: land use earnings input flow; InputTSI: trophic state index input flow; InputWF: water footprint input flow; K: potassium; LaborCF: carbon footprint labour; LandSocDevIndex: land social development index; LimestoneCF: limestone carbon footprint; LOD: land occupation degree; LossPre: loss of pre-production; LossPost: loss of post-production; LossPro: production loss; N: nitrogen; NonAgricIncome: non-agricultural income; OrganicFert: organic fertiliser; OutputCF: carbon footprint output flow; OutputLoss: total loss output flow; OutputProduct: product output flow; OutputYield: yield output flow; OutputLSDI: land social development index output flow; OutputLUE: land use earnings output flow; OutputTSI: trophic state index output flow; OutputWF: water footprint output flow; P: phosphorus; PA: property area; PestCF: pesticides carbon footprint; PreProd: pre-production; PostProd: post production; PumpCF: pump carbon footprint; PES: payment for environmental services; RPI: rural property income; SeedRep: seed replacement; SuppliesCF: supplies carbon footprint; Trophic State Index: trophic state index indicator stock; WaterFootprint: water footprint indicator stock; Yield: yield indicator stock.
Figure 3. System Dynamics Model (SD-CoAg) for conventional and agroecological food production systems, Source: the authors. Legend: BioPest: biological pesticides; BioPestCF: biological pesticides carbon footprint; BlueWF: blue water footprint; CarbonFootprint: carbon footprint indicator stock; CSAI: community supported agriculture index; DIRD: demographic index of rural dependency; EnergyCF: energy carbon footprint; ESI: ecosystem service index; ETBlue: reference evapotranspiration; ETBGreen: crop evapotranspiration; FertCF: fertiliser carbon footprint; FuelsCF: fuels carbon footprint; Fung: fungicides; GreenWF: green water footprint; GreyWF: grey water footprint; Herb: herbicides; Insect: insecticides; InputCF: carbon footprint input flow; InputYield: yield input flow; InputLSDI: land social development index input flow; InputLUE: land use earnings input flow; InputTSI: trophic state index input flow; InputWF: water footprint input flow; K: potassium; LaborCF: carbon footprint labour; LandSocDevIndex: land social development index; LimestoneCF: limestone carbon footprint; LOD: land occupation degree; LossPre: loss of pre-production; LossPost: loss of post-production; LossPro: production loss; N: nitrogen; NonAgricIncome: non-agricultural income; OrganicFert: organic fertiliser; OutputCF: carbon footprint output flow; OutputLoss: total loss output flow; OutputProduct: product output flow; OutputYield: yield output flow; OutputLSDI: land social development index output flow; OutputLUE: land use earnings output flow; OutputTSI: trophic state index output flow; OutputWF: water footprint output flow; P: phosphorus; PA: property area; PestCF: pesticides carbon footprint; PreProd: pre-production; PostProd: post production; PumpCF: pump carbon footprint; PES: payment for environmental services; RPI: rural property income; SeedRep: seed replacement; SuppliesCF: supplies carbon footprint; Trophic State Index: trophic state index indicator stock; WaterFootprint: water footprint indicator stock; Yield: yield indicator stock.
Sustainability 14 07163 g003
Figure 4. Land Use Earnings stock X Community Supported Agriculture Index (CSAI) and Payments for Environmental/Ecosystem Services (PES) parameters/dynamic variables, for agroecological (Ag) and conventional (Co) systems, Benchmarking—A: pessimistic level I; B: pessimistic level II; C: neutral, Source: the authors.
Figure 4. Land Use Earnings stock X Community Supported Agriculture Index (CSAI) and Payments for Environmental/Ecosystem Services (PES) parameters/dynamic variables, for agroecological (Ag) and conventional (Co) systems, Benchmarking—A: pessimistic level I; B: pessimistic level II; C: neutral, Source: the authors.
Sustainability 14 07163 g004
Figure 5. Land Use Social Development Index Stock X Community Supported Agriculture Index (CSAI) and Ecosystem Service Index (ESI) parameters, for agroecological (Ag) and conventional (Co) systems, Benchmarking—A: pessimistic level I; B: pessimistic level II; C: neutral, Source: the authors.
Figure 5. Land Use Social Development Index Stock X Community Supported Agriculture Index (CSAI) and Ecosystem Service Index (ESI) parameters, for agroecological (Ag) and conventional (Co) systems, Benchmarking—A: pessimistic level I; B: pessimistic level II; C: neutral, Source: the authors.
Sustainability 14 07163 g005
Figure 6. Tropic State Index (TSI) stock X Ecosystem Service Index (ESI) parameter for agroecological (Ag) and conventional (Co), in production units, Benchmarking—A: optimistic, Source: the authors.
Figure 6. Tropic State Index (TSI) stock X Ecosystem Service Index (ESI) parameter for agroecological (Ag) and conventional (Co), in production units, Benchmarking—A: optimistic, Source: the authors.
Sustainability 14 07163 g006
Figure 7. Tropic State Index (TSI) stock X Ecosystem Service Index (ESI) parameter for agroecological (Ag) and conventional (Co) systems, for an expanded area (1376 ha) in Southern São Paulo, Benchmarking—A: optimistic; B: optimistic; C: neutral; D: pessimistic, Source: the authors.
Figure 7. Tropic State Index (TSI) stock X Ecosystem Service Index (ESI) parameter for agroecological (Ag) and conventional (Co) systems, for an expanded area (1376 ha) in Southern São Paulo, Benchmarking—A: optimistic; B: optimistic; C: neutral; D: pessimistic, Source: the authors.
Sustainability 14 07163 g007
Figure 8. Water Footprint (WF) stock X Ecosystem Service Index (ESI) parameter, for agroecological (Ag) and conventional (Co) systems, Benchmarking—A: optimistic; B: pessimistic, Source: the authors.
Figure 8. Water Footprint (WF) stock X Ecosystem Service Index (ESI) parameter, for agroecological (Ag) and conventional (Co) systems, Benchmarking—A: optimistic; B: pessimistic, Source: the authors.
Sustainability 14 07163 g008
Figure 9. Promethée-Gaia Plan—Preference Functions, Legend: C1—Water Footprint; C2—Eutrophication; C3—Carbon Footprint; C4—Land Use Earnings; C5—Land Social Development Index; C6—Index of Future Technological Adoption; C7—Production Integration Index; C8—Contract Structure Index; C9—Governance; C10—Economic Instruments of Incentives; C11—Control Instruments, Standards and Norms; C12—Environmental Action and Defence Instruments; C13—Rule Enforcement Tools.
Figure 9. Promethée-Gaia Plan—Preference Functions, Legend: C1—Water Footprint; C2—Eutrophication; C3—Carbon Footprint; C4—Land Use Earnings; C5—Land Social Development Index; C6—Index of Future Technological Adoption; C7—Production Integration Index; C8—Contract Structure Index; C9—Governance; C10—Economic Instruments of Incentives; C11—Control Instruments, Standards and Norms; C12—Environmental Action and Defence Instruments; C13—Rule Enforcement Tools.
Sustainability 14 07163 g009
Table 1. SDM-CoAg Model components and source, Source: the authors.
Table 1. SDM-CoAg Model components and source, Source: the authors.
ParameterSource
LimestoneInput data collected from pilot properties
Bio PesticideBio-inputs used on family farms under “event” configuration, aiming at simulating the implementation of the ESI strategy (replacement by sources with greater efficiency)
Organic Fertilizer
FungicideInputs used in Family properties under “event” configuration, aiming at simulating the implementation of ESI strategy (replacement of maximum concentrations for minimum)
Herbicide
Insect
Potassium/K
Nitrogen/N
Phosphorus/P
Cost ProductionCollect secondary input data in São Paulo state database (https://www.cepea.esalq.usp.br/br/custos-de-producao.aspx, accessed on 3 March 2022)
Community-supported Agriculture Index (CSAI) Simulated inputs under randomly configuration, due to lack of national historical data
Demand Secondary collection in State databases, parameter under “seasonal event” configuration (https://ceagesp.gov.br/, accessed on 3 March 2022)
Dilution RateSecondary collection in State databases, parameter under “seasonal event” configuration for the Hydrographic Basin Baixo Tietê (https://sigrh.sp.gov.br/cbhat/apresentacao, accessed on 3 March 2022)
Ecosystem Services Index (ESI)Parameter under “event” configuration aiming at simulating the implementation of ESI strategy for predictive scenarios
Demographic Index of Rural Dependency (DIRD)Input data previously developed during the elaboration of the framework
Evapotranspiration Rate Blue (ETB)Collect input in secondary databases [25]
Evapotranspiration Rate Green (ETG)
Fuels Carbon FootprintInput data obtained via internationally validated tool used to obtain a CO2eq emission inventory [26]
Labour Carbon Footprint
Pump Carbon Footprint
Bio Pesticide Carbon Footprint
Energy Carbon Footprint
Fertilizer Carbon Footprint
Pesticide Carbon Footprint
Supplies Carbon Footprint
Land Use AreaAverage area used by family producers (pilot plant)
Non-Agriculture IncomeGiven input, simulated a national minimum salary
Property Area (PA)Average area of properties (pilot plant)
Runoff RateCollect input data in secondary databases [26], https://sigrh.sp.gov.br/cbhat/apresentacao, accessed on 3 March 2022)
Seed RepositionInput data collected from pilot properties
Dynamic VariableSource
Change SoilInput data (equation) obtained via GHG Protocol (2010) tool [27]
Blue Water FootprintCollect input data in secondary databases [26]
Green Water Footprint
Grey Water Footprint
Land Occupation Degree (LOD)Average area of family properties (pilot plant)
Payment for Environment Services (PES)Equation elaborated according to data obtained in secondary databases (Public Select Notion nº 006/2018, https://www.finatec.org.br/site/wp-content/uploads/2018/09/edital_PSA_006_2018.pdf, accessed on 3 March 2022)
PriceEquation elaborated according to data obtained in secondary databases (https://ceagesp.gov.br/, accessed on 3 March 2022; https://www.cepea.esalq.usp.br/br/custos-de-producao.aspx, accessed on 3 March 2022)
Sale Rate
Rural Property Income (RPI)Equation previously developed during the elaboration of the framework (Figure 2)
FluxSource
GrowingInput data referring to production on family properties (food production analysis)
Harvest
Output Product
Tillage
Input/Output Carbon FootprintSome of CF considering on-site productivity (energy proxy)
Input/Output Land Social Development IndexEquation developed considering the average between the economic-social-environmental indicators
Input/Output Land Use EarningsEquation developed considering the sale of local production
Input/Output TSIEquation developed considering residual phosphorus and weather conditions [28,29]
Input/Output Water FootprintSome of the WF considering on-site productivity—water proxy [26]
Input/Output YieldLocal productivity (food production analysis)
Loss PostproductionInput data referring to family property losses
Loss Pre Production
Loss Production
Output Loss
StockSource
Carbon Footprint (CF)Stocks of economic-social-environmental indicators developed from framework with data from pilot plant or according to secondary bases [26,27,28,29]
Land Social Development Index (LSDI)
Land Use Earning (LUE)
Trophic State Index (TSI)
Water Footprint (WF)
LossInventories that represent local production and respective interferences, such as losses under productivity
Postproduction
Production
Yield
Publisher’s Note: MDPI stays neutral with regard to jurisdictional claims in published maps and institutional affiliations.

Share and Cite

MDPI and ACS Style

Soares Dal Poz, M.E.; de Arruda Ignácio, P.S.; Azevedo, A.; Francisco, E.C.; Piolli, A.L.; Gheorghiu da Silva, G.; Pereira Ribeiro, T. Food, Energy and Water Nexus: An Urban Living Laboratory Development for Sustainable Systems Transition. Sustainability 2022, 14, 7163. https://doi.org/10.3390/su14127163

AMA Style

Soares Dal Poz ME, de Arruda Ignácio PS, Azevedo A, Francisco EC, Piolli AL, Gheorghiu da Silva G, Pereira Ribeiro T. Food, Energy and Water Nexus: An Urban Living Laboratory Development for Sustainable Systems Transition. Sustainability. 2022; 14(12):7163. https://doi.org/10.3390/su14127163

Chicago/Turabian Style

Soares Dal Poz, Maria Ester, Paulo Sergio de Arruda Ignácio, Aníbal Azevedo, Erika Cristina Francisco, Alessandro Luis Piolli, Gabriel Gheorghiu da Silva, and Thaís Pereira Ribeiro. 2022. "Food, Energy and Water Nexus: An Urban Living Laboratory Development for Sustainable Systems Transition" Sustainability 14, no. 12: 7163. https://doi.org/10.3390/su14127163

APA Style

Soares Dal Poz, M. E., de Arruda Ignácio, P. S., Azevedo, A., Francisco, E. C., Piolli, A. L., Gheorghiu da Silva, G., & Pereira Ribeiro, T. (2022). Food, Energy and Water Nexus: An Urban Living Laboratory Development for Sustainable Systems Transition. Sustainability, 14(12), 7163. https://doi.org/10.3390/su14127163

Note that from the first issue of 2016, this journal uses article numbers instead of page numbers. See further details here.

Article Metrics

Back to TopTop