Heritage Building Preservation in the Process of Sustainable Urban Development: The Case of Brasov Medieval City, Romania
Abstract
1. Introduction
2. Heritage and Sustainable Development
- characterization (attachment to location/place; traditional or perceived aesthetic, artistic, and harmonious values; building fabrics, insulation and ability to adapt them to the construction requirements, etc.);
- protection (viability of existing recyclable materials, authenticity of the concept, integrity, spatial compatibility);
- enhancement (environmental/ecological awareness, promoting actions for further knowledge about historical/cultural heritage, improvement of living conditions and quality of life, benefits of reuse vs. redevelopment);
- use and impacts (locals or visitors’ interests and implication in conservation, functional and business use, investments, tourists drawing, increasing the urban density);
- policy and regulation (public perceived opinion, appropriate protection and/or management system, compliance with regulations in force and building codes established by national/international agreements, stakeholders’ inclusiveness, and partnership). The more complex the intervention required the more indicators are recommended.
3. Air Pollutants Damaging Actions on Heritage Buildings
3.1. The Influence of Air Pollutants on Stone, Limestone, and Marble
3.1.1. Black Crusts
3.1.2. Investigative Techniques
3.1.3. Pollutants’ Impact on Heritage Stones Structures
3.2. The Influence of Air Pollutants on Concrete and Mortars
3.2.1. Deterioration and Degradation of Mortars and Concretes
3.2.2. Investigative Techniques for Mortars and Concretes Degradation
3.2.3. Pollutants’ Impact on Mortars and Concretes from Heritage Structures
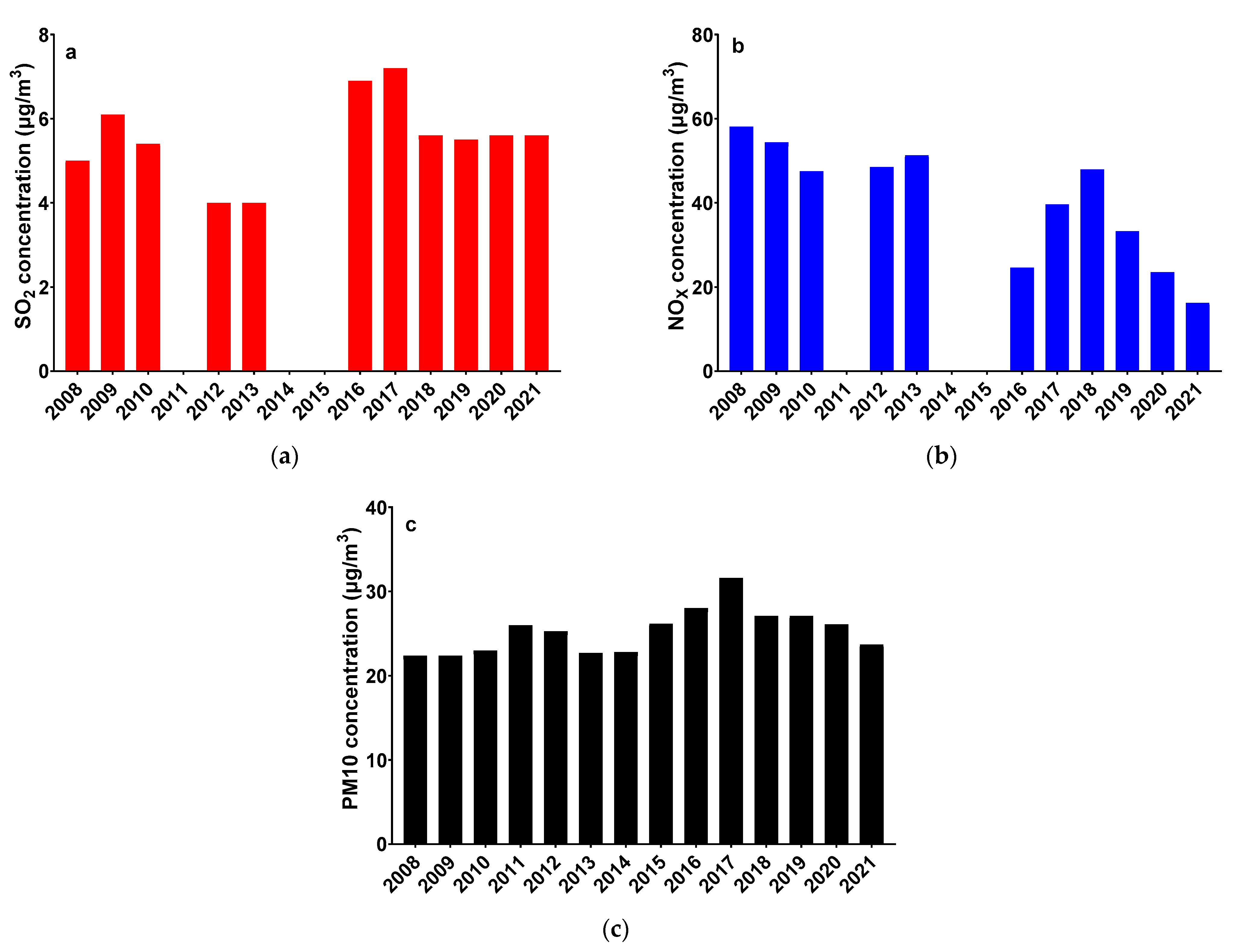
4. The Brasov Cultural Medieval Buildings
5. Conclusions
Author Contributions
Funding
Institutional Review Board Statement
Informed Consent Statement
Data Availability Statement
Acknowledgments
Conflicts of Interest
References
- Du Plessis, C. A strategic framework for sustainable construction in developing countries. Constr. Manag. Econ. 2007, 25, 67–76. [Google Scholar] [CrossRef]
- Tanguay, G.; Berthold, E.; Rajaonson, J. A comprehensive strategy to identify indicators of sustainable heritage conservation. CRTP Work. Pap. 2014, 2014, 1–24. [Google Scholar]
- Revez, M.J.; Coghi, P.; Rodrigues, J.D.; Vaz Pinto, I. Analysing the Cost-Effectiveness of Heritage Conservation Interventions: A Methodological Proposal within Project STORM. Int. J. Archit. Herit. 2021, 15, 985–999. [Google Scholar] [CrossRef]
- Grontoft, T.; Verney-Carron, A.; Tidblad, J. Cleaning Costs for European Sheltered White Painted Steel and Modern Glass Surfaces Due to Air Pollution Since the Year 2000. Atmosphere 2019, 10, 167. [Google Scholar] [CrossRef]
- Patron, D.; Lyamani, H.; Titos, G.; Casquero-Vera, J.A.; Cardell, C.; Mocnik, G.; Alados-Arboledas, L.; Olmo, F.J. Monumental heritage exposure to urban black carbon pollution. Atmos. Environ. 2017, 170, 22–32. [Google Scholar] [CrossRef]
- Arsovski, S.; Kwiatkowski, M.; Lewandowska, A.; Peshevska, D.J.; Sofeska, E.; Dymitrow, M. Can urban environmental problems be overcome? The case of Skopje-world’s most polluted city. Bull. Geogr. Socio-Econ. Ser. 2018, 40, 17–39. [Google Scholar] [CrossRef]
- Battista, G.; Vollaro, R.D. Correlation between air pollution and weather data in urban areas: Assessment of the city of Rome (Italy) as spatially and temporally independent regarding pollutants. Atmos. Environ. 2017, 165, 240–247. [Google Scholar] [CrossRef]
- Bungau, S.; Behl, T.; Aleya, L.; Bourgeade, P.; Aloui-Sosse, B.; Purza, A.L.; Abid, A.; Samuel, A.D. Expatiating the impact of anthropogenic aspects and climatic factors on long-term soil monitoring and management. Environ. Sci. Pollut. Res. 2021, 28, 30528–30550. [Google Scholar] [CrossRef] [PubMed]
- Christodoulakis, J.; Tzanis, C.G.; Varotsos, C.A.; Ferm, M.; Tidblad, J. Impacts of air pollution and climate on materials in Athens, Greece. Atmos. Chem. Phys. 2017, 17, 439–448. [Google Scholar] [CrossRef]
- Prada, M.; Prada, I.F.; Cristea, M.; Popescu, D.E.; Bungau, C.; Aleya, L.; Bungau, C.C. New solutions to reduce greenhouse gas emissions through energy efficiency of buildings of special importance—Hospitals. Sci. Total Environ. 2020, 718, 137446. [Google Scholar] [CrossRef]
- Prada, M.F.; Popescu, D.E.; Bungau, C. Building Education, Source of Energy Saving in Romania. In Proceedings of the 15th National Technical-Scientific Conference on Modern Technologies for the 3rd Millennium, Oradea, Romania, 27–28 November 2015; pp. 157–162. [Google Scholar]
- Prada, M.; Popescu, D.E.; Bungau, C.; Pancu, R. Parametric Studies on European 20-20-20 Energy Policy Targets in University Environment. J. Environ. Prot. Ecol. 2017, 18, 1146–1157. [Google Scholar]
- Zeayter, H.; Mansour, A.M.H. Heritage conservation ideologies analysis—Historic urban Landscape approach for a Mediterranean historic city case study. HBRC J. 2018, 14, 345–356. [Google Scholar] [CrossRef]
- Klarin, T. The Concept of Sustainable Development: From its Beginning to the Contemporary Issues. Zagreb Int. Rev. Econ. Bus. 2018, 21, 67–94. [Google Scholar] [CrossRef]
- Prada, I.F.; Bungau, C.; Zsak, I.G. Regeneration of the Industrial Heritage in the Central Area of Oradea, Romania. In Proceedings of the 4th World Multidisciplinary Civil Engineering-Architecture-Urban Planning Symposium (WMCAUS), Prague, Czech Republic, 17–21 June 2019. [Google Scholar]
- Santini, S.; Borghese, V.; Micheli, M.; Paz, E.O. Sustainable Recovery of Architectural Heritage: The Experience of a Worksite School in San Salvador. Sustainability 2022, 14, 608. [Google Scholar] [CrossRef]
- Jelincic, D.; Glivetić, D. Cultural Heritage and Sustainability: Practical Guide; European Union: Brussels, Belgium, 2020. [Google Scholar]
- Ghemis, M.T.; Scurt, A.A.; Bob, C.; Bungau, C. An analysis of sustainability about rehabilitation and reconversion of an old building. In Proceedings of the 17th National Technical-Scientific Conference on Modern Technologies for the 3rd Millennium, Oradea, Romania, 22–23 March 2018; pp. 273–278. [Google Scholar]
- Vidal, F.; Vicente, R.; Mendes Silva, J. Review of environmental and air pollution impacts on built heritage: 10 questions on corrosion and soiling effects for urban intervention. J. Cult. Herit. 2019, 37, 273–295. [Google Scholar] [CrossRef]
- Livingston, R. Acid rain attack on outdoor sculpture in perspective. Atmos. Environ. 2016, 146, 332–345. [Google Scholar] [CrossRef]
- Nechifor, A.C.; Cotorcea, S.; Bungau, C.; Albu, P.C.; Pascu, D.; Oprea, O.; Grosu, A.R.; Pirtac, A.; Nechifor, G. Removing of the Sulfur Compounds by Impregnated Polypropylene Fibers with Silver Nanoparticles-Cellulose Derivatives for Air Odor Correction. Membranes 2021, 11, 256. [Google Scholar] [CrossRef]
- Adams, K.; Greenbaum, D.S.; Shaikh, R.; van Erp, A.M.; Russell, A.G. Particulate matter components, sources, and health: Systematic approaches to testing effects. J. Air Waste Manag. Assoc. 2015, 65, 544–558. [Google Scholar] [CrossRef] [PubMed]
- Vergès-Belmin, V.; Siedel, H. Desalination of Masonries and Monumental Sculptures by Poulticing: A Review/Entsalzen von Mauerwerk und Steinfiguren mit Hilfe von Kompressen: Ein Überblick. Restor. Build. Monum. 2005, 11, 391–408. [Google Scholar] [CrossRef]
- Cartwright, A.; Bourguignon, E.; Bromblet, P.; Cassar, J.; Charola, A.; Witte, E.; Rodrigues, J.; Fassina, V.; Fitzner, B.; Fortier, L.; et al. ICOMOS-ISCS: Illustrated Glossary on Stone Deterioration Patterns; ICOMOS International: Paris, France, 2008. [Google Scholar]
- Aucouturier, M.; Darque-Ceretti, E. The surface of cultural heritage artefacts: Physicochemical investigations for their knowledge and their conservation. Chem. Soc. Rev. 2007, 36, 1605–1621. [Google Scholar] [CrossRef] [PubMed]
- Graue, B.; Siegesmund, S.; Oyhantcabal, P.; Naumann, R.; Licha, T.; Simon, K. The effect of air pollution on stone decay: The decay of the Drachenfels trachyte in industrial, urban, and rural environments—A case study of the Cologne, Altenberg and Xanten cathedrals. Environ. Earth Sci. 2013, 69, 1095–1124. [Google Scholar] [CrossRef]
- Basu, S.; Orr, S.A.; Aktas, Y.D. A Geological Perspective on Climate Change and Building Stone Deterioration in London: Implications for Urban Stone-Built Heritage Research and Management. Atmosphere 2020, 11, 788. [Google Scholar] [CrossRef]
- Corvo, F.; Reyes-Trujeque, J.; Valdés, C.; Villaseñor, F.; Cuesta, O.; Aguilar, D.; Quintana, P. Influence of Air Pollution and Humidity on Limestone Materials Degradation in Historical Buildings Located in Cities Under Tropical Coastal Climates. Water Air Soil Pollut. 2010, 205, 359–375. [Google Scholar] [CrossRef]
- Gulotta, D.; Bertoldi, M.; Bortolotto, S.; Fermo, P.; Piazzalunga, A.; Toniolo, L. The Angera stone: A challenging conservation issue in the polluted environment of Milan (Italy). Environ. Earth Sci 2013, 69, 1085–1094. [Google Scholar] [CrossRef]
- Comite, V.; Ricca, M.; Ruffolo, S.A.; Graziano, S.F.; Rovella, N.; Rispoli, C.; Gallo, C.; Randazzo, L.; Barca, D.; Cappelletti, P.; et al. Multidisciplinary Approach for Evaluating the Geochemical Degradation of Building Stone Related to Pollution Sources in the Historical Center of Naples (Italy). Appl. Sci. 2020, 10, 4241. [Google Scholar] [CrossRef]
- Brimblecombe, P.; Grossi, C. Damage to Buildings from Future Climate and Pollution. Am. Preserv. Technol. Bull. 2007, 38, 13–18. [Google Scholar]
- Wahab, G.M.A.; Gouda, M.; Ibrahim, G. Study of physical and mechanical properties for some of Eastern Desert dimension marble and granite utilized in building decoration. Ain Shams Eng. J. 2019, 10, 907–915. [Google Scholar] [CrossRef]
- Šiler, P.; Kolářová, I.; Bednárek, J.; Janča, M.; Musil, P.; Opravil, T. The possibilities of analysis of limestone chemical composition. IOP Conf. Ser. Mater. Sci. Eng. 2018, 379, 012033. [Google Scholar] [CrossRef]
- Khalil, N.A. The possibility of using limestone rocks in sculpture as an alternative to marble: An empirical study. PalArch’s J. Archaeol. Egypt Egyptol. 2020, 17, 15061–15069. [Google Scholar]
- Badouna, I.; Koutsovitis, P.; Karkalis, C.; Laskaridis, K.; Koukouzas, N.; Tyrologou, P.; Patronis, M.; Papatrechas, C.; Petrounias, P. Petrological and Geochemical Properties of Greek Carbonate Stones, Associated with Their Physico-Mechanical and Aesthetic Characteristics. Minerals 2020, 10, 507. [Google Scholar] [CrossRef]
- Ivaskova, M.; Kotes, P.; Brodnan, M. Air pollution as an important factor in construction materials deterioration in Slovak Republic. Procedia Eng. 2015, 108, 131–138. [Google Scholar] [CrossRef]
- Searle, D.; Mitchell, D. The effect of coal and diesel particulates on the weathering loss of Portland Limestone in an urban environment. Sci. Total Environ. 2006, 370, 207–223. [Google Scholar] [CrossRef]
- La Russa, M.F.; Comite, V.; Aly, N.; Barca, D.; Fermo, P.; Rovella, N.; Antonelli, F.; Tesser, E.; Aquino, M.; Ruffolo, S.A. Black crusts on Venetian built heritage, investigation on the impact of pollution sources on their composition. Eur. Phys. J. Plus 2018, 133, 370. [Google Scholar] [CrossRef]
- McAlister, J.J.; Smith, B.J.; Török, A. Transition metals and water-soluble ions in deposits on a building and their potential catalysis of stone decay. Atmos. Environ. 2008, 42, 7657–7668. [Google Scholar] [CrossRef]
- Schleicher, N.; Recio, C. Source identification of sulphate forming salts on sandstones from monuments in Salamanca, Spain-a stable isotope approach. Environ. Sci. Pollut. Res. Int. 2009, 17, 770–778. [Google Scholar] [CrossRef]
- Kloppmann, W.; Bromblet, P.; Vallet, J.-M.; Vergès-Belmin, V.; Rolland, O.; Guerrot, C.; Gosselin, C. Building materials as intrinsic sources of sulphate: A hidden face of salt weathering of historical monuments investigated through multi-isotope tracing (B, O, S). Sci. Total Environ. 2011, 409, 1658–1669. [Google Scholar] [CrossRef]
- Schiavon, N. Biodeterioration of calcareous and granitic building stones in urban environments. Geol. Soc. Lond. Spec. Publ. 2002, 205, 195–205. [Google Scholar] [CrossRef]
- Schiavon, N.; Chiavari, G.; Fabbri, D. Soiling of limestone in an urban environment characterized by heavy vehicular exhaust emissions. Environ. Geol. 2004, 46, 448–455. [Google Scholar] [CrossRef]
- Bonazza, A.; Sabbioni, C.; Ghedini, N.; Gobbi, G. Blackening as major atmospheric pollution effect on monuments. Pollut. Atmos-Numèro Spèc. 2007, 49, 7–12. [Google Scholar]
- Sabbioni, C.; Zappia, G.; Gobbi, G. Carbonaceous particles and stone damage in a laboratory exposure system. J. Geophys. Res. Atmos. 1996, 101, 19621–19627. [Google Scholar] [CrossRef]
- Rodrigues, J. Defining, mapping and assessing deterioration patterns in stone conservation projects. J. Cult. Herit. 2015, 16, 267–275. [Google Scholar] [CrossRef]
- Reyes-Trujeque, J.; Perez, T.; Castañeda, A.; Corvo, F. Role of NOx in material corrosion and degradation. Rev. CENIC. Cienc. Quím. 2010, 41, 1–10. [Google Scholar]
- Fassina, V. Environmental pollution in relation to stone decay. Durab. Build. Mater. 1988, 5, 317–358. [Google Scholar]
- Ruffolo, S.A.; Comite, V.; La Russa, M.F.; Belfiore, C.M.; Barca, D.; Bonazza, A.; Crisci, G.M.; Pezzino, A.; Sabbioni, C. An analysis of the black crusts from the Seville Cathedral: A challenge to deepen the understanding of the relationships among microstructure, microchemical features and pollution sources. Sci. Total Environ. 2015, 502, 157–166. [Google Scholar] [CrossRef] [PubMed]
- Wu, F.; Hu, Z.; Liu, X.; Su, C.; Hao, L. Understanding in compositional phases of carbon steel rust layer with a long-term atmospheric exposure. Mater. Lett. 2022, 315, 131968. [Google Scholar] [CrossRef]
- Dyda, M.; Laudy, A.; Decewicz, P.; Romaniuk, K.; Ciezkowska, M.; Szajewska, A.; Solecka, D.; Dziewit, L.; Drewniak, L.; Sklodowska, A. Diversity of Biodeteriorative Bacterial and Fungal Consortia in Winter and Summer on Historical Sandstone of the Northern Pergola, Museum of King John III’s Palace at Wilanow, Poland. Appl. Sci. 2021, 11, 620. [Google Scholar] [CrossRef]
- Li, Q.; Zhang, B.; Yang, X.; Ge, Q. Deterioration-Associated Microbiome of Stone Monuments: Structure, Variation, and Assembly. Appl. Environ. Microbiol. 2018, 84, e02680-17. [Google Scholar] [CrossRef] [PubMed]
- Maguregui, M.; Sarmiento, A.; Martínez-Arkarazo, I.; Angulo, M.; Castro, K.; Arana, G.; Etxebarria, N.; Madariaga, J. Analytical diagnosis methodology to evaluate nitrate impact on historical building materials. Anal. Bioanal. Chem. 2008, 391, 1361–1370. [Google Scholar] [CrossRef]
- Baumgärtner, M.; Remde, A.; Bock, E.; Conrad, R. Release of nitric oxide from building stones into the atmosphere. Atmos. Environ. Part B Urban Atmos. 1990, 24, 87–92. [Google Scholar] [CrossRef]
- Allen, G.C.; El-Turki, A.; Hallam, K.; McLaughlin, D.; Stacey, M. Role of NO2 and SO2 in degradation of limestone. Br. Corros. J. 2000, 35, 35–38. [Google Scholar] [CrossRef]
- Bugini, R.; Tabasso, M.; Realini, M. Rate of formation of black crusts on marble. A case study. J. Cult. Herit. 2000, 1, 111–116. [Google Scholar] [CrossRef]
- Lefevre, R.A.; Ionescu, A.; Desplat, J.; Kounkou-Arnaud, R.; Perrussel, O.; Languille, B. Quantification and mapping of the impact of the recent air pollution abatement on limestone and window glass in Paris. Environ. Earth Sci. 2016, 75. [Google Scholar] [CrossRef]
- Castillo-Miranda, J.O.; Torres-Jardon, R.; Garcia-Reynoso, J.A.; Mar-Morales, B.E.; Rodriguez-Gomez, F.J.; Ruiz-Suarez, L.G. Mapping recession risk for cultural heritage stone in Mexico City due to dry and wet deposition of urban air pollutants. Atmosfera 2017, 30, 189–207. [Google Scholar] [CrossRef]
- Ortega-Morales, O.; Montero-Munoz, J.L.; Neto, J.A.B.; Beech, I.B.; Sunner, J.; Gaylarde, C. Deterioration and microbial colonization of cultural heritage stone buildings in polluted and unpolluted tropical and subtropical climates: A meta-analysis. Int. Biodeterior. Biodegrad. 2019, 143, 104734. [Google Scholar] [CrossRef]
- Shehata, A.M. Current Trends in Urban Heritage Conservation: Medieval Historic Arab City Centers. Sustainability 2022, 14, 607. [Google Scholar] [CrossRef]
- Comite, V.; Pozo-Antonio, J.S.; Cardell, C.; Rivas, T.; Randazzo, L.; Russa, M.F.L.; Fermo, P. Environmental impact assessment on the Monza cathedral (Italy): A multi-analytical approach. Int. J. Conserv. Sci. 2020, 11, 291–304. [Google Scholar]
- La Russa, M.F.; Fermo, P.; Comite, V.; Belfiore, C.M.; Barca, D.; Cerioni, A.; De Santis, M.; Barbagallo, L.F.; Ricca, M.; Ruffolo, S.A. The Oceanus statue of the Fontana di Trevi (Rome): The analysis of black crust as a tool to investigate the urban air pollution and its impact on the stone degradation. Sci. Total Environ. 2017, 593–594, 297–309. [Google Scholar] [CrossRef]
- Urosevic, M.; Yebra-Rodriguez, A.; Sebastián, E.; Cardell, C. Black soiling of an architectural limestone during two-year term exposure to urban air in the city of Granada (S Spain). Sci. Total Environ. 2012, 414, 564–575. [Google Scholar] [CrossRef]
- Zoghlami, K.; López-Arce, P.; Zornoza-Indart, A. Case study differential stone decay of the spanish tower façade in Bizerte, Tunisia. J. Mater. Civ. Eng. 2017, 29, 05016005. [Google Scholar] [CrossRef]
- Zhao, C.; Zhang, Y.; Hou, M.; Li, A. Recent progress in instrumental techniques for architectural heritage materials. Herit. Sci. 2019, 7, 36. [Google Scholar] [CrossRef]
- Cardell, C.; Benavente, D.; Rodríguez-Gordillo, J. Weathering of limestone building material by mixed sulfate solutions. Characterization of stone microstructure, reaction products and decay forms. Mater. Charact. 2008, 59, 1371–1385. [Google Scholar] [CrossRef]
- Pozo-Antonio, J.S.; Cardell, C.; Comite, V.; Fermo, P. Characterization of black crusts developed on historic stones with diverse mineralogy under different air quality environments. Environ. Sci. Pollut. Res. 2022, 29, 29438–29454. [Google Scholar] [CrossRef] [PubMed]
- Barsoum, M.; Ganguly, A.; Hug, G. Microstructural Evidence of Reconstituted Limestone Blocks in the Great Pyramids of Egypt. J. Am. Ceram. Soc. 2006, 89, 3788–3796. [Google Scholar] [CrossRef]
- Available online: https://www.dreamstime.com (accessed on 24 May 2022).
- Masullo, M.; Castano, F.; Toma, R.A.; Maffei, L. Historical Cloisters and Courtyards as Quiet Areas. Sustainability 2020, 12, 2887. [Google Scholar] [CrossRef]
- Pinheiro, A.; Mesquita, N.; Trovão, J.; Soares, F.; Tiago, I.; Coelho, C.; Paiva de Carvalho, H.; Gil, F.; Catarino, L.; Pinar, G.; et al. Limestone biodeterioration: A review on the Portuguese cultural heritage scenario. J. Cult. Herit. 2018, 36, 275–285. [Google Scholar] [CrossRef]
- Frank-Kamenetskaya, O.; Vlasov, D.; Zelenskaya, M.; Knauf, I.; Timasheva, M. Decaying of the marble and limestone monuments in the urban environment. Case studies from Saint Petersburg, Russia. Studia Univ. Babes-Bolyai Geol. 2009, 54, 17–22. [Google Scholar] [CrossRef][Green Version]
- Grossi, C.; Brimblecombe, P. Aesthetics of Simulated Soiling Patterns on Architecture. Environ. Sci. Technol. 2004, 38, 3971–3976. [Google Scholar] [CrossRef] [PubMed]
- Pérez-Monserrat, E.; Alvarez de Buergo, M.; Gomez-Heras, M.; Varas-Muriel, M.; González, R. An urban geomonumental route focusing on the petrological and decay features of traditional building stones used in Madrid, Spain. Environ. Earth Sci. 2013, 69, 1071–1084. [Google Scholar] [CrossRef]
- Martins, L.; Vasconcelos, G.; Lourenco, P.; Palha, C. Influence of the Freeze-Thaw Cycles on the Physical and Mechanical Properties of Granites. J. Mater. Civil. Eng. 2015, 28, 04015201. [Google Scholar] [CrossRef]
- Chen, Y.; Xiao, P.; Du, X.; Wang, S.; Fernandez-Steeger, T.M.; Azzam, R. Study on Damage Constitutive Model of Rock under Freeze-Thaw-Confining Pressure-Acid Erosion. Appl. Sci. 2021, 11, 9431. [Google Scholar] [CrossRef]
- Sesana, E.; Gagnon, A.; Ciantelli, C.; Cassar, J.; Hughes, J. Climate change impacts on cultural heritage: A literature review. WIREs Clim. Chang. 2021, 12, e710. [Google Scholar] [CrossRef]
- Gomez-Heras, M.; McCabe, S.; Smith, B.; Fort, R. Impacts of Fire on Stone-Built Heritage an Overview. J. Archit. Conserv. 2009, 15, 47–58. [Google Scholar] [CrossRef]
- Zanardini, E.; Abbruscato, P.; Ghedini, N.; Realini, M.; Sorlini, C. Influence of atmospheric pollutants on the biodeterioration of stone. Int. Biodeterior. Biodegrad. 2000, 45, 35–42. [Google Scholar] [CrossRef]
- Fragata, A.; Candeias, C.; Ribeiro, J.; Braga, C.; Fontes, L.; Velosa, A.; Rocha, F. Archaeological and Chemical Investigation on Mortars and Bricks from a Necropolis in Braga, Northwest of Portugal. Materials 2021, 14, 6290. [Google Scholar] [CrossRef] [PubMed]
- Monteiro, J.; Silva, V.; Faria, P. Effect of Type of Curing and Metakaolin Replacement on Air Lime Mortars for the Durability of Masonries. Infrastructures 2021, 6, 143. [Google Scholar] [CrossRef]
- Vitti, P. Mortars and masonry—Structural lime and gypsum mortars in Antiquity and Middle Ages. Archaeol. Anthropol. Sci. 2021, 13, 164. [Google Scholar] [CrossRef]
- Palomo, Á.; Blanco-Varela, M.T.; Martínez-Ramírez, S.; Puertas, F.; Fortes, C. Historic Mortars: Characterization and Durability. New Tendencies for Research. In Fifth Framework Programme Workshop, Prague; CORDIS EU: Brussels, Belgium, 2002. [Google Scholar]
- Brosnan, D.A. Characterization and Degradation of Masonry Mortar in Historic Brick Structures. J. Struct. 2014, 2014, 859879. [Google Scholar] [CrossRef]
- Hees, R.P.J.; Binda, L.; Papayianni, I.; Toumbakari, E. Characterisation and damage analysis of old mortars. Mater. Struct. 2004, 37, 644–648. [Google Scholar] [CrossRef]
- Callebaut, K.; Elsen, J.; Van Balen, K.; Viaene, W. Nineteenth century hydraulic restoration mortars in the Saint Michael’s Church (Leuven, Belgium): Natural hydraulic lime or cement? Cem. Concr. Res. 2001, 31, 397–403. [Google Scholar] [CrossRef]
- Da Fonseca, B.S.; Ferreira Pinto, A.P.; Vaz Silva, D. Compositional and textural characterization of historical bedding mortars from rubble stone masonries: Contribution for the design of compatible repair mortars. Constr. Build. Mater. 2020, 247, 118627. [Google Scholar] [CrossRef]
- Nogueira, R.; Ferreira Pinto, A.P.; Gomes, A. Design and behavior of traditional lime-based plasters and renders. Review and critical appraisal of strengths and weaknesses. Cem. Concr. Compos. 2018, 89, 192–204. [Google Scholar] [CrossRef]
- Izaguirre, A.; Lanas, J.; Álvarez, J.I. Ageing of lime mortars with admixtures: Durability and strength assessment. Cem. Concr. Res. 2010, 40, 1081–1095. [Google Scholar] [CrossRef]
- Alberghina, M.F.; Germinario, C.; Bartolozzi, G.; Bracci, S.; Grifa, C.; Izzo, F.; La Russa, M.; Magrini, D.; Massa, E.; Mercurio, M.; et al. The Tomb of the Diver and the frescoed tombs in Paestum (southern Italy): New insights from a comparative archaeometric study. PLoS ONE 2020, 15, e0232375. [Google Scholar] [CrossRef] [PubMed]
- Di Benedetto, C.; Graziano, S.; Guarino, V.; Rispoli, C.; Munzi, P.; Morra, V.; Cappelletti, P. Romans’ established skills: Mortars from D46b mausoleum, porta mediana necropolis, Cuma (Naples). Mediterr. Archaeol. Archaeom. 2018, 18, 131–146. [Google Scholar] [CrossRef]
- Martínez-Ramírez, S. Influence of SO2 deposition on cement mortar hydration. Cem. Concr. Res. 1999, 29, 107–111. [Google Scholar] [CrossRef]
- Salustio, J.; Torres, S.M.; Melo, A.C.; Silva, Â.J.C.E.; Azevedo, A.C.; Tavares, J.C.; Leal, M.S.; Delgado, J.M.P.Q. Mortar Bond Strength: A Brief Literature Review, Tests for Analysis, New Research Needs and Initial Experiments. Materials 2022, 15, 2332. [Google Scholar] [CrossRef] [PubMed]
- Dow, C.; Glasser, F. Calcium carbonate efflorescence on Portland cement and building materials. Cem. Concr. Res. 2003, 33, 147–154. [Google Scholar] [CrossRef]
- La Russa, M.F.; Ruffolo, S.A. Mortars and plasters—How to characterize mortar and plaster degradation. Archaeol. Anthropol. Sci. 2021, 13, 165. [Google Scholar] [CrossRef]
- Karatasios, I.; Kilikoglou, V.; Theoulakis, P.; Colston, B.; Watt, D. Sulphate resistance of lime-based barium mortars. Cem. Concr. Compos. 2008, 30, 815–821. [Google Scholar] [CrossRef]
- Sabbioni, C.; Zappia, G.; Riontino, C.; Blanco-Varela, M.T.; Aguilera, J.; Puertas, F.; Balen, K.V.; Toumbakari, E.E. Atmospheric deterioration of ancient and modern hydraulic mortars. Atmos. Environ. 2001, 35, 539–548. [Google Scholar] [CrossRef]
- Cultrone, G.; Arizzi, A.; Sebastián, E.; Rodriguez-Navarro, C. Sulfation of calcitic and dolomitic lime mortars in the presence of diesel particulate matter. Environ. Geol. 2008, 56, 741–752. [Google Scholar] [CrossRef]
- Ramakrishnan, G.; Wu, Q.; Moon, J.; Orlov, A. Reactions of SO2 on hydrated cement particle system for atmospheric pollution reduction: A DRIFTS and XANES study. Chem. Eng. J. 2017, 319, 57–64. [Google Scholar] [CrossRef]
- Zappia, G.; Sabbioni, C.; Pauri, M.; Gobbi, G. Mortar damage due to airborne sulfur compounds in a simulation chamber. Mater. Struct. 1994, 27, 469–473. [Google Scholar] [CrossRef]
- Sabbioni, C.; Piccolo, D.; Bonazza, A.; Favoni, O.; Zappia, G. Soluble and non water soluble sulphates in damage layers on hydraulic mortars. WIT Trans. Built Environ. 2001, 55, 561–569. [Google Scholar]
- Gobbi, G.; Zappia, G.; Sabbioni, C. Sulphite quantification on damaged stones and mortars. Atmos. Environ. 1998, 32, 783–789. [Google Scholar] [CrossRef]
- Sabbioni, C.; Zappia, G.; Ghedini, N.; Gobbi, G.; Favoni, O. Black crusts on ancient mortars. Atmos. Environ. 1998, 32, 215–223. [Google Scholar] [CrossRef]
- Sabbioni, C.; Bonazza, A.; Zappia, G. Damage of hydraulic mortars: The Venice Arsenal. J. Cult. Herit. 2002, 3, 83–88. [Google Scholar] [CrossRef]
- Bochen, J.; Ślusarek, J. Analysis of resistance to accelerated aging of the top layer of small-sized concrete elements. A case study. Constr. Build. Mater. 2020, 264, 120211. [Google Scholar] [CrossRef]
- Martínez-Ramírez, S.; Puertas, F.; Blanco-Varela, M.T.; Thompson, G.E. Studies on degradation of lime mortars in atmospheric simulation chambers. Cem. Concr. Res. 1997, 27, 777–784. [Google Scholar] [CrossRef]
- Rahman, M.M.; Bassuoni, M.T. Thaumasite sulfate attack on concrete: Mechanisms, influential factors and mitigation. Constr. Build. Mater. 2014, 73, 652–662. [Google Scholar] [CrossRef]
- Oakley, L.; Zaleski, S.; Males, B.; Cossairt, O.; Walton, M. Improved spectral imaging microscopy for cultural heritage through oblique illumination. Herit. Sci. 2020, 8, 27. [Google Scholar] [CrossRef]
- Maravelaki-Kalaitzaki, P.; Bakolas, A.; Moropoulou, A. Physico-chemical study of Cretan ancient mortars. Cem. Concr. Res. 2003, 33, 651–661. [Google Scholar] [CrossRef]
- Bruni, S.; Cariati, F.; Fermo, P.; Pozzi, A.; Toniolo, L. Characterization of ancient magnesian mortars coming from northern Italy. Thermochim. Acta 1998, 321, 161–165. [Google Scholar] [CrossRef]
- Columbu, S.; Usai, M.; Rispoli, C.; Fancello, D. Lime and Cement Plasters from 20th Century Buildings: Raw Materials and Relations between Mineralogical–Petrographic Characteristics and Chemical–Physical Compatibility with the Limestone Substrate. Minerals 2022, 12, 226. [Google Scholar] [CrossRef]
- Kanaan, D.; Soliman, A.M.; Suleiman, A.R. Zero-Cement Concrete Resistance to External Sulfate Attack: A Critical Review and Future Needs. Sustainability 2022, 14, 2078. [Google Scholar] [CrossRef]
- Sekhaneh, W.A.; Shiyyab, A.; Arinat, M.; Gharaibeh, N. USE of the FTIR and thermogravimetric analysis of ancient mortar from the Church of the Cross in Gerasa (Jordan) for conservation purposes. Mediterr. Archaeol. Archaeom. 2020, 20, 159. [Google Scholar]
- Carvalho, F.; Sousa, P.; Leal, N.; Simão, J.; Kavoulaki, E.; Lima, M.M.; da Silva, T.P.; Águas, H.; Padeletti, G.; Veiga, J.P. Mortars from the Palace of Knossos in Crete, Greece: A Multi-Analytical Approach. Minerals 2022, 12, 30. [Google Scholar] [CrossRef]
- Miguel, J.M.; Jordá, J.; Pardo Fabregat, F. Mineralogical analysis of historical mortars by FTIR. Materials 2019, 12, 55. [Google Scholar] [CrossRef]
- Scatigno, C.; Preite Martinez, M.; Prieto-Taboada, N.; Madariaga, J.M.; Conte, A.M. Petrographic-Mineralogical Characterization of Archaeological Materials from “Casa di Diana” Mithraeum Sited in the Open Museum of Ostia Antica. Crystals 2021, 11, 839. [Google Scholar] [CrossRef]
- Qian, K.; Song, Y.; Lai, J.; Qian, X.; Zhang, Z.; Liang, Y.; Ruan, S. Characterization of historical mortar from ancient city walls of Xindeng in Fuyang, China. Constr. Build. Mater. 2022, 315, 125780. [Google Scholar] [CrossRef]
- Dettmering, T.; Dai, S. Types of lime binders in mortars used for the construction of the Ming Great Wall of China and their importance for the development of a conservation strategy. Built Herit. 2022, 6, 1. [Google Scholar] [CrossRef]
- Bertolini Cestari, C.; Marzi, T. Conservation of historic timber roof structures of Italian architectural heritage: Diagnosis, assessment, and intervention. Int. J. Archit. Herit. 2018, 12, 632–665. [Google Scholar] [CrossRef]
- Glevitzky, M.; Aleya, L.; Vica, M.L.; Dumitrel, G.A.; Avram, M.; Tit, D.M.; Popa, M.; Popa, V.C.; Behl, T.; Bungau, S. Assessing the microbiological contamination along with environmental factors of old books in the 1490-founded Bistrita Monastery, Romania. Environ. Sci. Pollut. Res. 2021, 28, 8743–8757. [Google Scholar] [CrossRef] [PubMed]




| Technique | Application | References |
|---|---|---|
| Optical microscopy (OM) Polarized light optical microscopy (PLOM) Fluorescence optical microscopy (FLOM) | Petrographic and topographic analysis to determine the textural characteristics of carbonate stone and to evaluate the morphology, and the growth rate of black crusts | [25,30,49,62,64] |
| Scanning electron microscopy (SEM) coupled with energy dispersive X-ray spectrometry (EDX) | Obtaining information about the micromorphology and chemical composition (in terms of significant elements) of black crusts, and specifically used to acquire images of carbonate stone at high magnification | [25,30,49,65] |
| X-ray powder diffraction (XRPD) X-ray fluorescence (XRF) | To investigate the carbonate stone and black crusts’ mineralogical composition | [26,30,32,62,65,66] |
| Laser ablation–inductively coupled plasma–mass spectrometry (LA-ICP-MS) | Allows determination of geochemical composition (considering here the trace elements) of the black crusts | [25,30,49,67] |
| Atomic force microscopy (AFM) | It shows sample surface properties by providing real 3-dimensional topographies | [65] |
| Fourier transform infrared spectroscopy—attenuated total reflectance (FT-IR ATR) spectroscopy | Carried out to identify the mineralogical phases and possible organic compounds, and also to examine black crusts constitution | [26,29,39,49,62] |
| Ion chromatography (IC) | Employed for the quantification of the main ions | [29,62] |
| Heritage Structures [69] | Observation Regarding the Impact of Pollutants on Stones | Ref. | |
|---|---|---|---|
| St. Rumbold’s Cathedral in Mechelen, Belgium | ![]() | Gypsum formation was correlated to limestone surfaces erosion | [58] |
| The Church of Santa Maria Mater Domini in Venice, Italy | ![]() | Results indicated that the crusts contain mainly gypsum and less calcite and oxalates, and the degradation of the stone is due to pollution in the Marghera industrial area and maritime traffic | [38] |
| The interior of the colonnades in Piazza San Marco, Venice, Italy | ![]() | ||
| San Domenico Maggiore complex, Naples, Italy | ![]() | The analysis of the collected black crusts was employed in order to detect the variability in the degradation forms, mainly due to atmospheric pollutants | [30,70] |
| Sculptures of the cloister of San Marcellino e Festo, Naples, Italy | ![]() | ||
| Fontana di Trevi, Rome, Italy | ![]() | The black crust analysis provided information on urban air pollution and on the impact of air pollutants on stone degradation | [62] |
| Seville Cathedral, Spain | ![]() | The analysis showed that the black crusts are composed mainly of gypsum, but some traces of calcite from the substrate were also identified, as well as several oxides from both the substrate and external sources | [49] |
| Technique | Application | Ref. |
|---|---|---|
| Optical microscopy (OM), Polarizing and fluorescence microscopy | Understanding of the named compounds, determination of the composition of the mortar | [85,108] |
| Fourier infrared spectroscopy (FT-IR and Diffuse reflectance FTIR), Raman spectroscopy | Carbonate and sulphate salts identification, black crusts characterization, molecular information, and the identity of organic constituents | [92,95,109] |
| X-ray diffractometry (XRD) | Identification the mineral crystalline phases of the mortars | [85,92,109] |
| Scanning electron microscopy (SEM) coupled with energy dispersive X-ray spectrometry (EDX) | Examination of SO2 interactions with the mortars and concretes surface, and formation of expansive compounds like thaumasite | [99,107] |
| Inductively coupled plasma–mass spectrometry (ICP-MS) | Element analysis at high resolution | [87] |
| Thermogravimetric analysis (TG), Differential thermal analysis (DTA), and Differential scanning calorimetry (DSC) | Characterization of mortar and cement compositions, and quantitative evaluation of carbonate salts formed on their surface | [84,85,87,89,95,110] |
| Heritage Structures [69] | Observation Regarding the Impact of Pollutants on Stones | Ref. | |
|---|---|---|---|
| Church of the Cross in Gerasa, Jordan | ![]() | The obtained results by FTIR and TGA/DTA analysis showed the existence in the mortar samples that were taken from the walls and under the column structure of a higher amount of amorphous calcium carbonate than that of crystalline calcite. In contrast, the mortar samples taken from the mosaic floor showed higher proportions of silicate. Protein materials (e.g., egg whites) have also been identified because they have been used as additives in the preparation of mortars. The presence of calcium sulphate was observed in all samples taken from the surface of the artifacts as an effect of pollution. | [113] |
| Palace of Knossos in Crete, Greece | ![]() | The results obtained by (OM), (XRD), (FTIR) and (TG/DTA) investigative techniques showed that most of the analyzed samples were both aerial and hydraulic lime mortars. The presence of gypsum was also observed in some samples as an effect of atmospheric SO3 action. | [114] |
| Ancient farmhouses and mills, Penyagolosa massif, province of Castellón, Spain | ![]() | The characterization of vernacular mortars by FTIR, XRF and XRD analysis allowed the identification and quantitative characterization of the predominant minerals in the samples (quartz, calcite, halloysite, apatite, sodium carbonate, hematite feldspar, hanksite and hornblende). The results obtained provide valuable information for establishing an optimized procedure for the restoration and conservation of these heritage monuments that consider their chemical composition and the degree of degradation due to atmospheric components | [115] |
| Casa di Diana Mithraeum from Ostia Antica, Italy | ![]() | SEM-EDS and X-ray analysis showed the existence of a pozzolanic mortar that contained both fragments of crushed pozzolana and mineral phases (i.e., analcime and clinopyroxene). The binder used was obtained by mixing carbonates (lime) with a series of aluminosilicate-based components. In addition, some reaction products between the silicate minerals (analcim and quartz) were observed. | [116] |
| Ancient city walls of Xindeng in Fuyang, China | ![]() | The results showed that the mortar from the historic wall was prepared mainly from calcite (hydrated lime) and quartz with small amounts of clay. The great strength and high apparent density of the samples are due to the used aggregates and to the presence of blue brick fragments. | [117] |
| Ming Great Wall, China | ![]() | The chemical and microscopic analysis showed that the dolomitic lime binder was dominantly used on mortar composition around Hebei and Beijing; at the same time, in some western provinces of China, the use of calcium-enriched lime has been observed, as well as aerial lime with low natural hydraulic reactive phases. The mineralogical investigation demonstrates that the lime mortars can be considered as being almost aggregate-free. The recent preservation principles emphasize the role of mortar in conservation strategy of the ruin of Ming Great Wall, recent studies showing that (chemical) reactions between air pollutants and dolomitic lime mortars have led to important damages of its structure. Consequently, in order to restore the parts originally built of dolomitic lime, the optimal restoration strategy will have to take into account the use of binders (natural hydraulic lime-based and calcium-rich lime with pozzolan-based). | [118] |
Publisher’s Note: MDPI stays neutral with regard to jurisdictional claims in published maps and institutional affiliations. |
© 2022 by the authors. Licensee MDPI, Basel, Switzerland. This article is an open access article distributed under the terms and conditions of the Creative Commons Attribution (CC BY) license (https://creativecommons.org/licenses/by/4.0/).
Share and Cite
Bogdan, A.; Chambre, D.; Copolovici, D.M.; Bungau, T.; Bungau, C.C.; Copolovici, L. Heritage Building Preservation in the Process of Sustainable Urban Development: The Case of Brasov Medieval City, Romania. Sustainability 2022, 14, 6959. https://doi.org/10.3390/su14126959
Bogdan A, Chambre D, Copolovici DM, Bungau T, Bungau CC, Copolovici L. Heritage Building Preservation in the Process of Sustainable Urban Development: The Case of Brasov Medieval City, Romania. Sustainability. 2022; 14(12):6959. https://doi.org/10.3390/su14126959
Chicago/Turabian StyleBogdan, Alexandru, Dorina Chambre, Dana Maria Copolovici, Tudor Bungau, Constantin C. Bungau, and Lucian Copolovici. 2022. "Heritage Building Preservation in the Process of Sustainable Urban Development: The Case of Brasov Medieval City, Romania" Sustainability 14, no. 12: 6959. https://doi.org/10.3390/su14126959
APA StyleBogdan, A., Chambre, D., Copolovici, D. M., Bungau, T., Bungau, C. C., & Copolovici, L. (2022). Heritage Building Preservation in the Process of Sustainable Urban Development: The Case of Brasov Medieval City, Romania. Sustainability, 14(12), 6959. https://doi.org/10.3390/su14126959














