Rhyolite as a Naturally Sustainable Thermoluminescence Material for Dose Assessment Applications
Abstract
1. Introduction
2. Material and Methods
3. Results and Discussions
3.1. Structural Analysis (XRD and FTIR)
3.2. Glow Curves
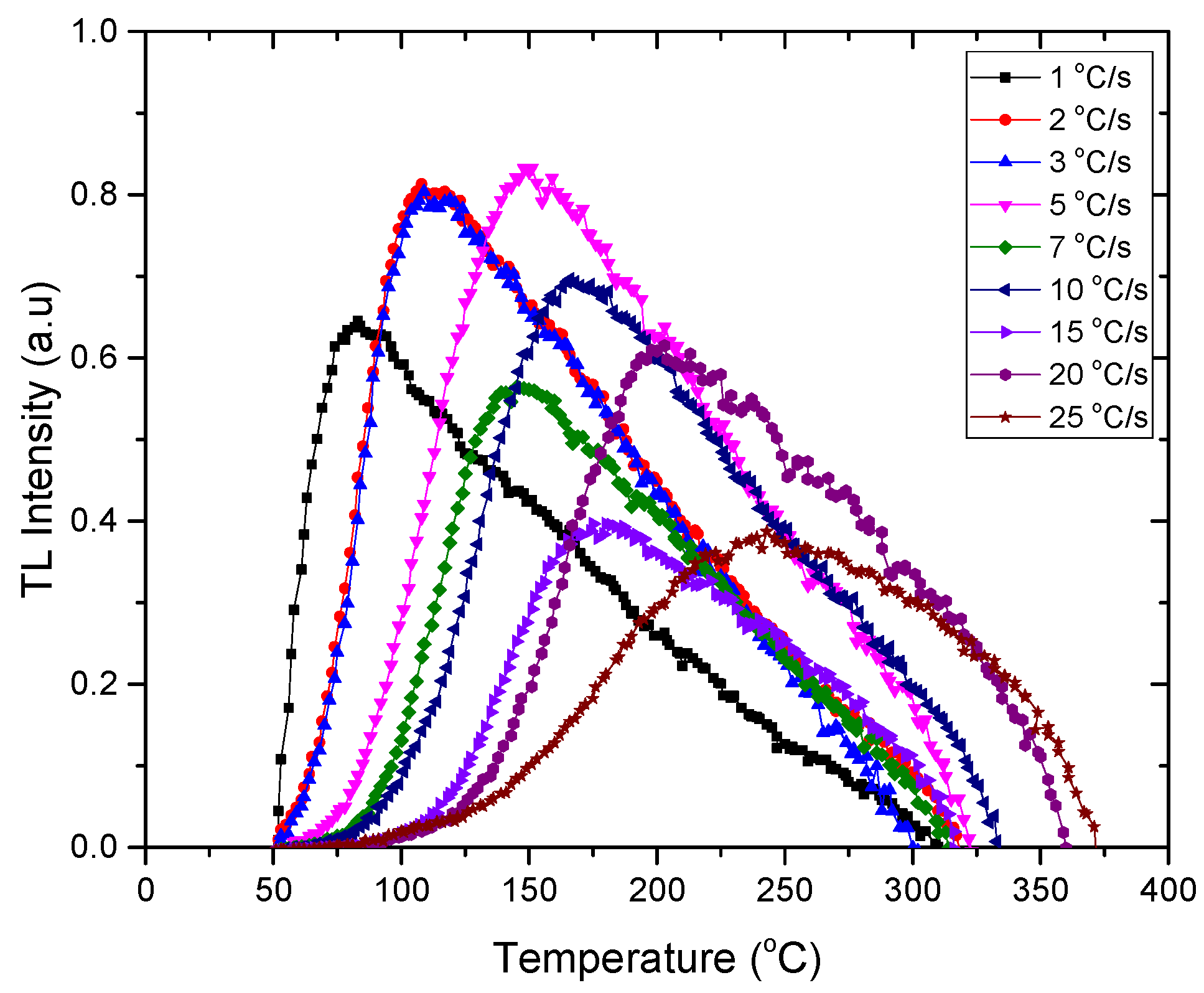
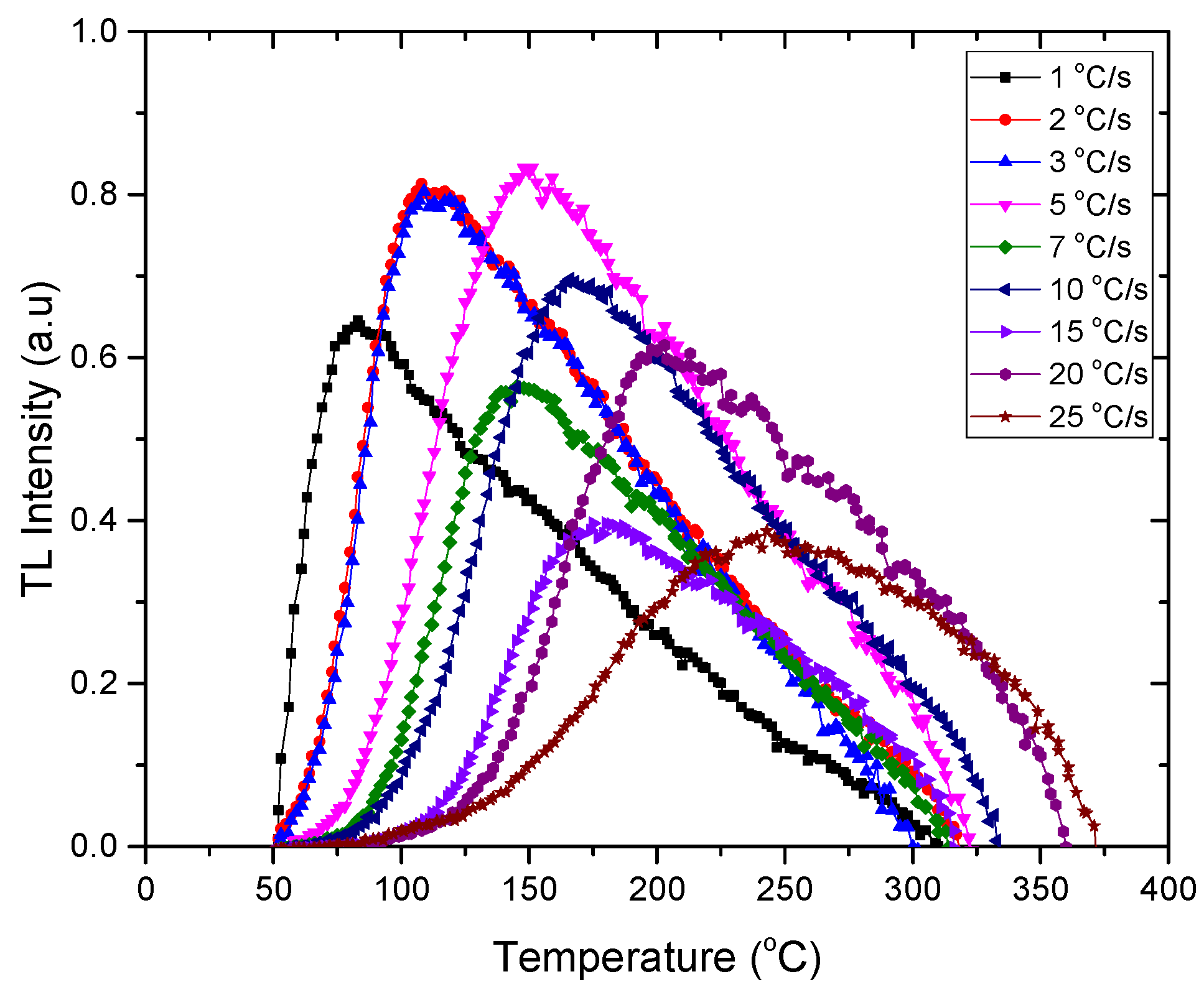
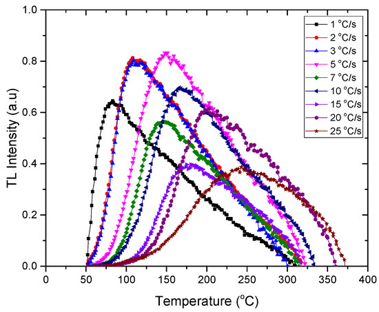
3.3. The Effect of Heating Rate
3.4. Dose Response
3.5. Thermal Fading
3.6. Reproducibility
3.7. Minimum Detectable Dose (MDD)
3.8. Kinetic Parameters Determination
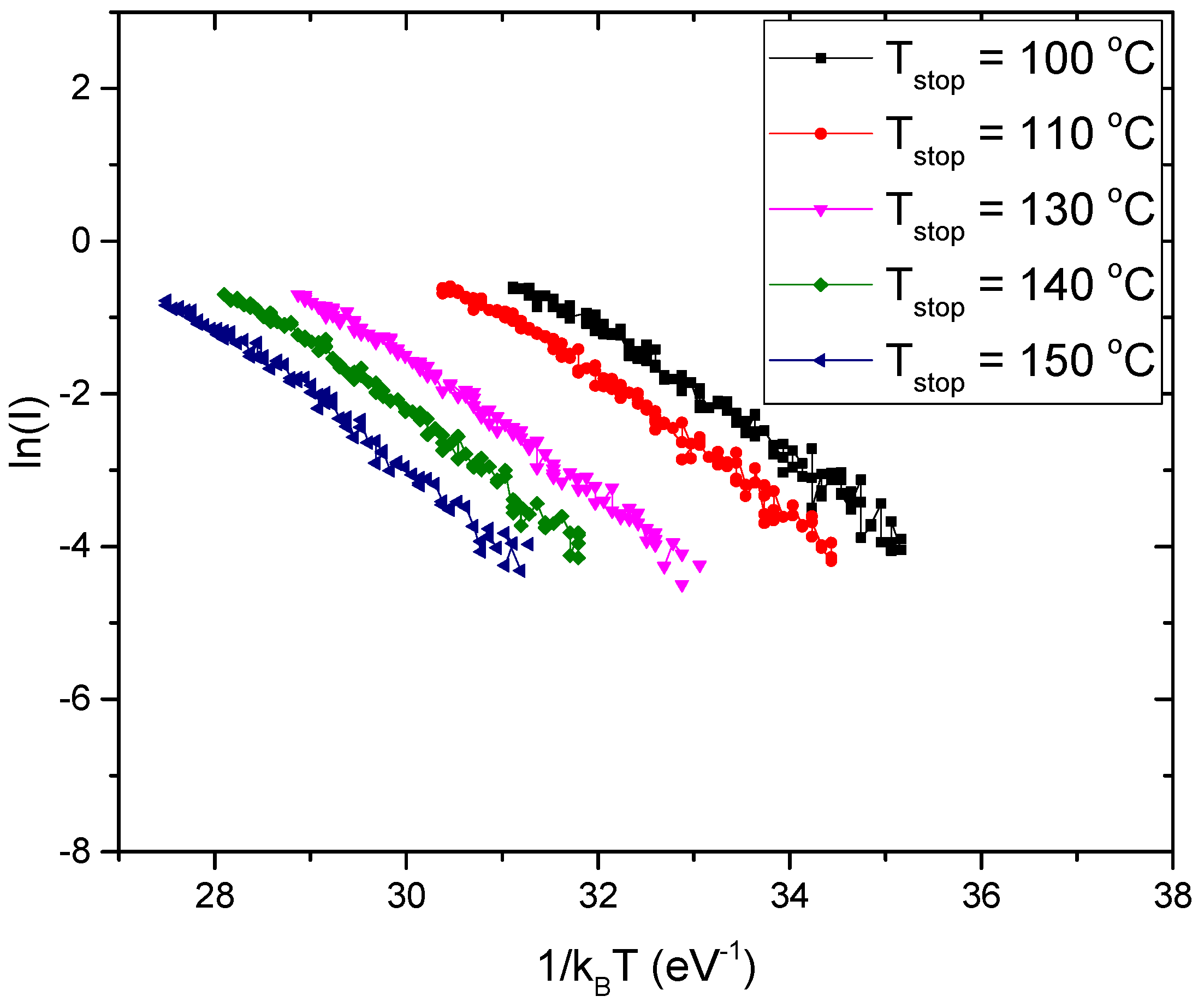
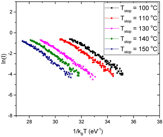
3.8.1. Repeated Initial Rise (RIR) Method
3.8.2. Computerized Glow Curve Deconvolution (CGCD) Method
4. Conclusions
Author Contributions
Funding
Institutional Review Board Statement
Informed Consent Statement
Data Availability Statement
Acknowledgments
Conflicts of Interest
References
- Kron, T. Thermoluminescence dosimetry and its applications in medicine-Part 1: Physics, materials and equipment. Australas. Phys. Eng. Sci. Med. 1994, 17, 175–199. [Google Scholar] [PubMed]
- Moscovitch, M.; John, T.J.; Cassata, J.R.; Blake, P.K.; Rotunda, J.E.; Ramlo, M.; Velbeck, K.J.; Luo, L.Z. The application of LiF:Mg,Cu,P to large scale personnel dosimetry: Current status and future directions. Radiat. Prot. Dosim. 2006, 119, 248–254. [Google Scholar] [CrossRef]
- Chand, S.; Mehra, R.; Chopra, V. Recent developments in phosphate materials for their thermoluminescence dosimeter (TLD) applications. Luminescence 2021, 36, 1808–1817. [Google Scholar] [CrossRef]
- Saleh, H.M.; Salman, A.A.; Faheim, A.A.; El-Sayed, A.M. Polymer and polymer waste composites in nuclear and industrial applications. J. Nucl. Energy Sci. Power Gener. Technol. 2020, 9, 1000199. [Google Scholar]
- Saleh, H.M.; Salman, A.A.; Faheim, A.A.; El-Sayed, A.M. Sustainable composite of improved lightweight concrete from cement kiln dust with grated poly (styrene). J. Clean. Prod. 2020, 277, 123491. [Google Scholar] [CrossRef]
- Dawoud, M.M.A.; Hegazi, M.M.; Saleh, H.M.; El Helew, W.K. Removal of stable and radio isotopes from wastewater by using modified microcrystalline cellulose based on Taguchi L16. Int. J. Environ. Sci. Technol. 2022, 1–12. [Google Scholar] [CrossRef]
- Dawoud, M.M.A.; Hegazy, M.M.; Helew, W.K.; Saleh, H.M. Overview of Environmental Pollution and Clean Management of Heavy Metals and Radionuclides by using Microcrystalline Cellulose. J. Nucl. Ene. Sci. Power Gener. Technol. 2021, 3, 2. [Google Scholar]
- Saleh, H.M.; Bondouk, I.I.; Salama, E.; Esawii, H.A. Consistency and shielding efficiency of cement-bitumen composite for use as gamma-radiation shielding material. Prog. Nucl. Energy 2021, 137, 103764. [Google Scholar] [CrossRef]
- Reda, S.M.; Saleh, H.M. Calculation of the gamma radiation shielding efficiency of cement-bitumen portable container using MCNPX code. Prog. Nucl. Energy 2021, 142, 104012. [Google Scholar] [CrossRef]
- Eid, M.S.; Bondouk, I.I.; Saleh, H.M.; Omar, K.M.; Sayyed, M.I.; El-Khatib, A.M.; Elsafi, M. Implementation of waste silicate glass into composition of ordinary cement for radiation shielding applications. Nucl. Eng. Technol. 2021, 54, 1456–1463. [Google Scholar] [CrossRef]
- Eskander, S.B.; Saleh, H.M.; Tawfik, M.E.; Bayoumi, T.A. Towards potential applications of cement-polymer composites based on recycled polystyrene foam wastes on construction fields: Impact of exposure to water ecologies. Case Stud. Constr. Mater. 2021, 15, e00664. [Google Scholar] [CrossRef]
- Saleh, H.M.; Eskander, S.B. Impact of water flooding on hard cement-recycled polystyrene composite immobilizing radioactive sulfate waste simulate. Constr. Build. Mater. 2019, 222, 522–530. [Google Scholar] [CrossRef]
- Saleh, H.M.; El-Saied, F.A.; Salaheldin, T.A.; Hezo, A.A. Influence of severe climatic variability on the structural, mechanical and chemical stability of cement kiln dust-slag-nanosilica composite used for radwaste solidification. Constr. Build. Mater. 2019, 218, 556–567. [Google Scholar] [CrossRef]
- Saleh, H.M.; El-Sheikh, S.M.; Elshereafy, E.E.; Essa, A.K. Performance of cement-slag-titanate nanofibers composite immobilized radioactive waste solution through frost and flooding events. Constr. Build. Mater. 2019, 223, 221–232. [Google Scholar] [CrossRef]
- Saleh, H.M.; Salman, A.A.; Faheim, A.A.; El-Sayed, A.M. Influence of aggressive environmental impacts on clean, lightweight bricks made from cement kiln dust and grated polystyrene. Case Stud. Constr. Mater. 2021, 15, e00759. [Google Scholar] [CrossRef]
- Preusser, F.; Chithambo, M.L.; Götte, T.; Martini, M.; Ramseyer, K.; Sendezera, E.J.; Susino, G.J.; Wintle, A.G. Quartz as a natural luminescence dosimeter. Earth Sci. Rev. 2009, 97, 184–214. [Google Scholar] [CrossRef]
- Thamóné Bozsó, E.; Füri, J.; Kovács István, J.; Biró, T.; Király, E.; Nagy, A.; Törökné Sinka, M.; Kónya, P.; Mészárosné Turi, J.; Vígh, C. Characteristics of quartz separates of different formations in Hungary from the aspect of osl dating. Foldt. Kozlony 2020, 150, 61. [Google Scholar] [CrossRef][Green Version]
- Bailiff, I.K.; Stepanenko, V.F.; Göksu, H.Y.; Bøtter-Jensen, L.; Brodski, L.; Chumak, V.; Correcher, V.; Delgado, A.; Golikov, V.; Jungner, H.; et al. Comparison of retrospective luminescence dosimetry with computational modeling in two highly contaminated settlements downwind of the chernobyl NPP. Health Phys. 2004, 86, 25–41. [Google Scholar] [CrossRef]
- Beneitez, P.; Correcher, V.; Millán, A.; Calderón, T. Thermoluminescence analysis for testing the irradiation of spices. J. Radioanal. Nucl. Chem. Artic. 1994, 185, 401–410. [Google Scholar] [CrossRef]
- Soliman, C.; Salama, E. Investigation on the suitability of natural sandstone as a gamma dosimeter. Nucl. Instrum. Methods Phys. Res. Sect. B Beam Interact. Mater. At. 2009, 267, 3323–3327. [Google Scholar] [CrossRef]
- Salama, E. Egyptian limestone for gamma dosimetry: An electron paramagnetic resonance study. Radiat. Eff. Defects Solids 2014, 169, 325–333. [Google Scholar] [CrossRef]
- El-Faramawy, N.; Alazab, H.A.; Gad, A.; Sabry, M. Study of the thermoluminescence kinetic parameters of a β-irradiated natural calcite. Radiat. Phys. Chem. 2022, 190, 109793. [Google Scholar] [CrossRef]
- Almuqrin, A.; Soliman, C.; ELShokrof, K.; Aloraini, D. Tuff rock as a new thermoluminescent material for gamma dosimetry. Asian J. Sci. Res. 2018, 11, 126–133. [Google Scholar] [CrossRef]
- DeMouthe, J.F. Natural materials: Sources, properties, and uses. Rocks Miner. 2006, 81, 3972006. [Google Scholar]
- Aloraini, D.A. Sensitization of natural rhyolite rock using high gamma doses for thermoluminescence dosimetry. Luminescence 2020, 35, 1043–1047. [Google Scholar] [CrossRef]
- Azorín, J.; Furetta, C.; Scacco, A. Preparation and properties of thermoluminescent materials. Phys. Stat. Solidi 1993, 138, 9–46. [Google Scholar] [CrossRef]
- Lutterotti, L. Total pattern fitting for the combined size-strain-stress-texture determination in thin film diffraction. Nucl. Instrum. Methods Phys. Res. Sect. B Beam Interact. Mater. At. 2010, 268, 334–340. [Google Scholar] [CrossRef]
- Harlow, G.E. The anorthoclase structures: The effects of temperature and composition. Am. Mineral. 1982, 67, 975–996. [Google Scholar]
- Bailey, S.W. Refinement of an intermediate microcline structure. Am. Mineral. 1969, 54, 1540–1545. [Google Scholar]
- Levien, L.; Prewitt, C.T.; Weidner, D.J.; Prewir, C.T.; Weidner, D.J. Structure and Elastic Properties of Quartz at Pressure. Am. Mineral. 1980, 65, 920–930. [Google Scholar]
- El Makhloufy, S.; Tridane, M.; Majdi, E.M.; Marouani, H.; Zerraf, S.; Belhabra, M.; Cherqaoui, A.; Belaaouad, S. Chemical preparation, thermal behavior and infrared studies of the new cyclotriphosphate tetrahydrate of manganese and distrontium, MnSr2(P3O9)2.4H2O. Mediterr. J. Chem. 2019, 9, 280–289. [Google Scholar] [CrossRef]
- Liang, Y.; Ouyang, J.; Wang, H.; Wang, W.; Chui, P.; Sun, K. Synthesis and characterization of core-shell structured SiO2@YVO4 :Yb3+,Er3+ microspheres. Appl. Surf. Sci. 2012, 58, 3689–3694. [Google Scholar] [CrossRef]
- Mozgawa, W.; Król, M.; Dyczek, J.; Deja, J. Investigation of the coal fly ashes using IR spectroscopy. Spectrochim. Acta Part A Mol. Biomol. Spectrosc. 2014, 132, 889–894. [Google Scholar] [CrossRef]
- Moenke, H.H.W. Silica, the Three-dimensional Silicates, Borosilicates and Beryllium Silicates. In The Infrared Spectra of Minerals; Mineralogical Society of Great Britain and Ireland: Oxford, UK, 2015. [Google Scholar]
- Treto-Suárez, M.A.; Prieto-García, J.O.; Mollineda-Trujillo, Á.; Lamazares, E.; Hidalgo-Rosa, Y.; Mena-Ulecia, K. Kinetic study of removal heavy metal from aqueous solution using the synthetic aluminum silicate. Sci. Rep. 2020, 10, 10836. [Google Scholar] [CrossRef]
- Mandal, A.K.; Agrawal, D.; Sen, R. Preparation of homogeneous barium borosilicate glass using microwave energy. J. Non. Cryst. Solids 2013, 371, 41–46. [Google Scholar] [CrossRef]
- Study, S.; Consumption, L.E.; Part, D.U.; Utilization, D.; Yoshizawa, N.; Harimoto, K.; Ichihara, M.; Miki, Y.; Takase, K.; Inoue, T. Synthesis, Characterization and Bioactive Study of Borosilicate Sol-Gel Glass Khairy. Nat. Sci. 2015, 13, 475–476. [Google Scholar]
- Rada, S.; Dehelean, A.; Culea, E. FTIR and UV-VIS spectroscopy investigations on the structure of the europium-lead-tellurate glasses. J. Non. Cryst. Solids 2011, 357, 3070–3073. [Google Scholar] [CrossRef]
- Bos, A.J.J.; Vijverberg, R.N.M.; Piters, T.M.; McKeever, S.W.S. Effects of Cooling and Heating Rate on Trapping Parameters in LiF: Mg, Ti Crystals. J. Phys. D Appl. Phys. 1992, 25, 1249–1257. [Google Scholar] [CrossRef]
- Amer, H.A.; Elashmawy, M.M.; Alazab, H.A.; Ezz El-Din, M.R. Suitability of pure nano crystalline LiF as a TLD dosimeter for high dose gamma radiation. Nucl. Technol. Radiat. Prot. 2018, 33, 93–99. [Google Scholar] [CrossRef]
- Chen, R.; McKeever, S.W.S. Characterization of nonlinearities in the dose dependence of thermoluminescence. Radiat. Meas. 1994, 23, 667–673. [Google Scholar] [CrossRef]
- Horowitz, Y.S.; Oster, L.; Datz, H. The thermoluminescence dose-response and other characteristics of the high-temperature TL in LiF:Mg,Ti (TLD-100). Radiat. Prot. Dosim. 2007, 124, 191–205. [Google Scholar] [CrossRef]
- Attix, F.H. Further consideration of the track-interaction model for thermoluminescence in LiF(TLD-100). J. Appl. Phys. 1975, 46, 81–88. [Google Scholar] [CrossRef]
- Chen, R.; Pagonis, V.; Lawless, J.L. Evaluated thermoluminescence trapping parameters-What do they really mean? Radiat. Meas. 2016, 91, 21–27. [Google Scholar] [CrossRef]
- Furetta, C.; Prokic, M.; Salamon, R.; Prokic, V.; Kitis, G. Dosimetric characteristics of tissue equivalent thermoluminescent solid TL detectors based on lithium borate. Nucl. Instrum. Methods Phys. Res. Sect. A Accel. Spectrometers Detect. Assoc. Equip. 2001, 456, 411–417. [Google Scholar] [CrossRef]
- Jose, M.T.; Anishia, S.R.; Annalakshmi, O.; Ramasamy, V. Determination of thermoluminescence kinetic parameters of thulium doped lithium calcium borate. Radiat. Meas. 2011, 46, 1026–1032. [Google Scholar] [CrossRef]
- Garlick, G.F.J.; Gibson, A.F. The electron trap mechanism of luminescence in sulphide and silicate phosphors. Proc. Phys. Soc. 1948, 60, 574–590. [Google Scholar] [CrossRef]
- Kitis, G.; Gomez-Ros, J.M.; Tuyn, J.W.N. Thermoluminescence glow-curve deconvolution functions for first, second and general orders of kinetics. J. Phys. D. Appl. Phys. 1998, 31, 2636–2641. [Google Scholar] [CrossRef]
- Chung, K.S.; Choe, H.S.; Lee, J.I.; Kim, J.L.; Chang, S.Y. A computer program for the deconvolution of thermoluminescence glow curves. Radiat. Prot. Dosim. 2005, 115, 345–349. [Google Scholar] [CrossRef]
- Balian, H.G.; Eddy, N.W. Figure-of-merit (FOM), an improved criterion over the normalized chi-squared test for assessing goodness-of-fit of gamma-ray spectral peaks. Nucl. Instrum. Methods 1977, 145, 389–395. [Google Scholar] [CrossRef]













| Peak Number | Peak Temperature | RIR Method | CGCD Method | ||
|---|---|---|---|---|---|
| (°C) | E (eV) | E (eV) | s (s−1) | b | |
| 1 | 142 | 0.77 ± 0.01 | 0.78 ± 0.02 | 4.60 × 108 | 1.07 |
| 2 | 176 | 0.86 ± 0.01 | 0.87 ± 0.02 | 8.29 × 108 | 1.41 |
| 3 | 221 | 1.01 ± 0.01 | 1.02 ± 0.05 | 3.02 × 109 | 2.04 |
| 4 | 298 | 0.99 ± 0.00 | 0.98 ± 0.01 | 4.46 × 107 | 1.66 |
| 5 | 355 | 1.78 ± 0.01 | 1.76 ± 0.02 | 2.00 × 1013 | 2.02 |
Publisher’s Note: MDPI stays neutral with regard to jurisdictional claims in published maps and institutional affiliations. |
© 2022 by the authors. Licensee MDPI, Basel, Switzerland. This article is an open access article distributed under the terms and conditions of the Creative Commons Attribution (CC BY) license (https://creativecommons.org/licenses/by/4.0/).
Share and Cite
Salama, E.; Aloraini, D.A.; El-Khateeb, S.A.; Moustafa, M. Rhyolite as a Naturally Sustainable Thermoluminescence Material for Dose Assessment Applications. Sustainability 2022, 14, 6918. https://doi.org/10.3390/su14116918
Salama E, Aloraini DA, El-Khateeb SA, Moustafa M. Rhyolite as a Naturally Sustainable Thermoluminescence Material for Dose Assessment Applications. Sustainability. 2022; 14(11):6918. https://doi.org/10.3390/su14116918
Chicago/Turabian StyleSalama, Elsayed, Dalal A. Aloraini, Sara A. El-Khateeb, and Mohamed Moustafa. 2022. "Rhyolite as a Naturally Sustainable Thermoluminescence Material for Dose Assessment Applications" Sustainability 14, no. 11: 6918. https://doi.org/10.3390/su14116918
APA StyleSalama, E., Aloraini, D. A., El-Khateeb, S. A., & Moustafa, M. (2022). Rhyolite as a Naturally Sustainable Thermoluminescence Material for Dose Assessment Applications. Sustainability, 14(11), 6918. https://doi.org/10.3390/su14116918

