Effects of Varied Practice Approach in Physical Education Teaching on Inhibitory Control and Reaction Time in Preadolescents
Abstract
:1. Introduction
2. Materials and Methods
2.1. Procedure
2.2. Testing Procedure
2.2.1. Inhibitory Control
2.2.2. Simple Reaction Time
2.2.3. Video Analysis of the PE Lessons
2.3. Training
2.3.1. Nonlinear Pedagogy
2.3.2. Varied Linear Pedagogy
2.3.3. Constant Linear Pedagogy (Control Group)
2.4. Statistical Analysis
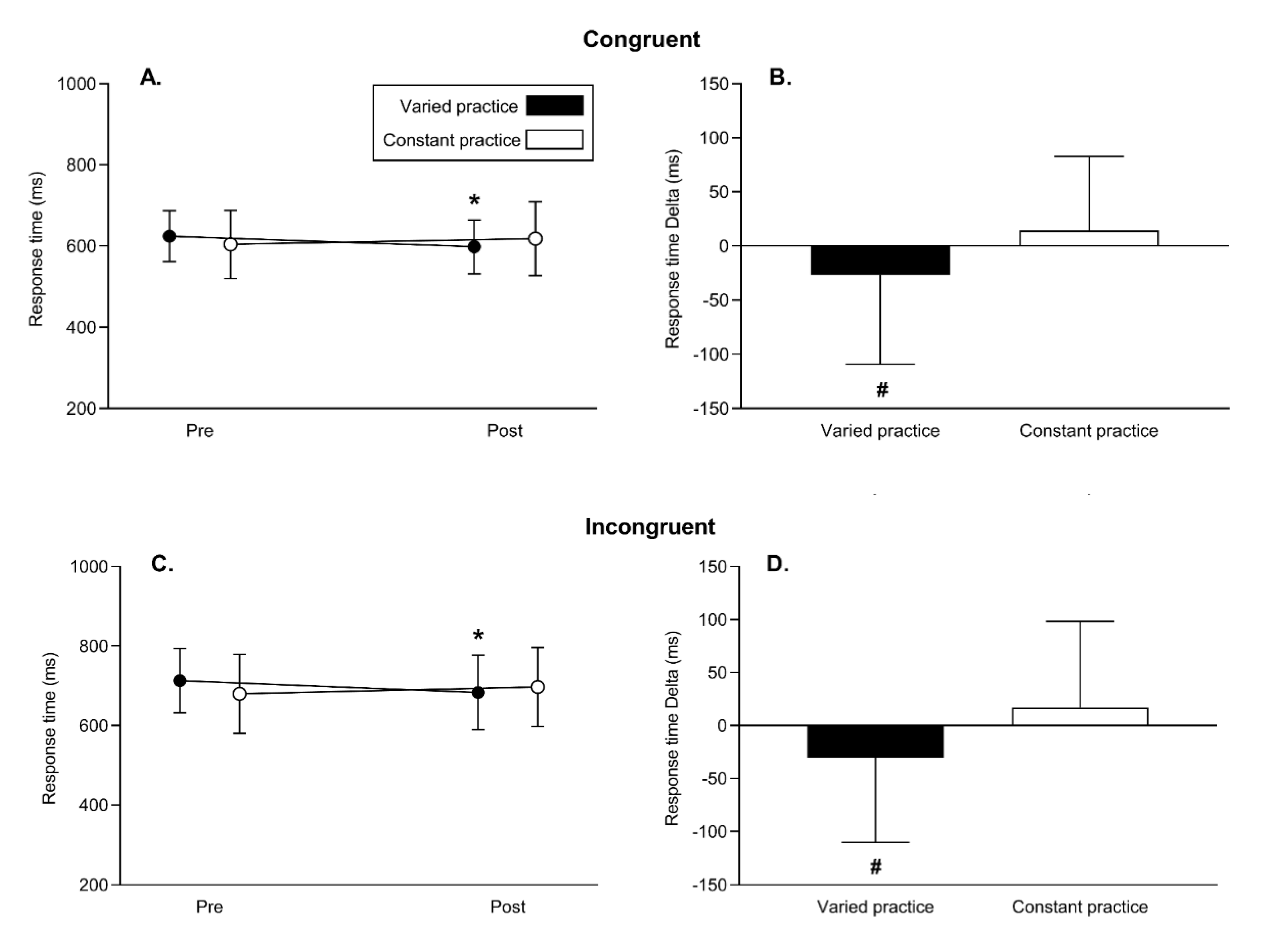
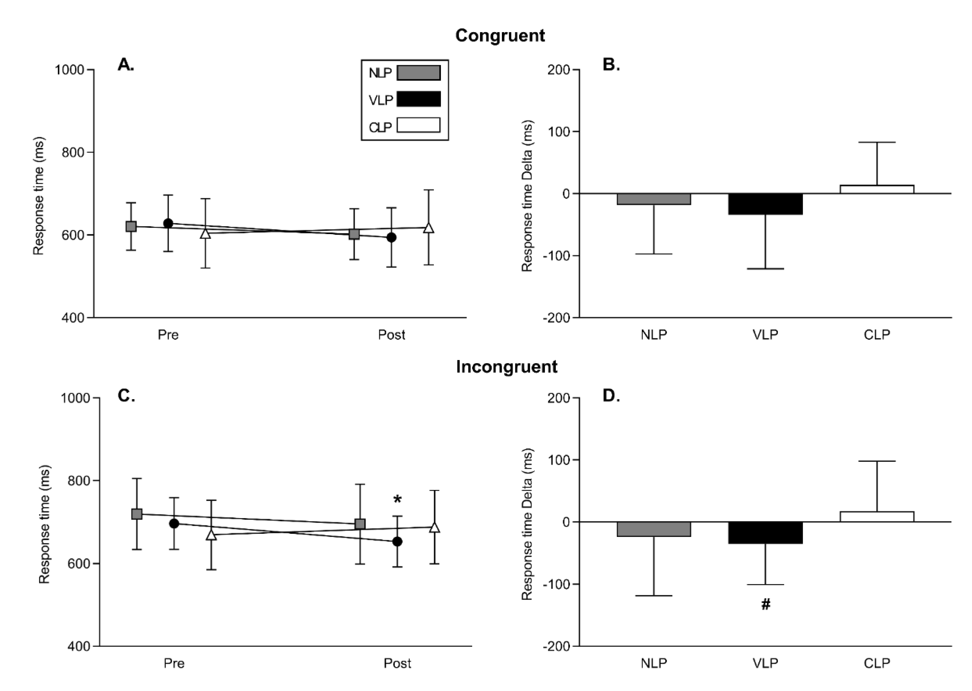
3. Results
4. Discussion
Practical Applications and Sustainability
5. Conclusions
Author Contributions
Funding
Institutional Review Board Statement
Informed Consent Statement
Data Availability Statement
Conflicts of Interest
Appendix A
| NLP | VLP | CLP |
|---|---|---|
| No specific training on movement structure. Stimulation of functional aspects over constraints redirecting to the skills and abilities to be acquired. | Specific training addressing the movement’s internal structure for learning sports basics. | Specific training addressing the movement’s external structure for learning sports basics. |
| The teacher acts as a designer, organizes the affordances, and promotes actions by adequately setting the environmental constraints. | The teacher provides specific solutions to achieve success gradually and progressively through executive approximations, contrasts, and comparisons. | The teacher promotes segmented exercises of increasing difficulty that learners have to perform to manage the targeted skills properly. |
| The pedagogic fundamentals are perceiving, processing, and acting by selecting what and how to do a task. | Watching, judging, suggesting, and perceiving are the pedagogic fundamentals to master the movement, based on the internal processes of the central nervous system. | The primary educational feature is repeating the examples from the teacher many times to memorize and automatize the executions. |
| The teacher arranges varied environmental settings to arouse and produce adequate constraints to stimulate the functions connected to the specific targets. For example, a practice set to learn different positions and ways to manage balance relies on mats and benches. Object arrangements provide locomotory schema (climbing, passing, rolling, doing slalom, jumping) and object control (hitting, leading, throwing, catching). Eye patches or masks partially or completely limiting the vision is another example of an organismic constraint the teacher uses to force the learners’ self-adaptations. Further constraints involving tasks are considered: assignments to the primary running skill are added (i.e., counting, summing, spelling a word, combining different movements, making associations as kicking with the right leg when an animal is named, or left when a plant name is called). | The teacher provides the executive model, organizes the learners in pairs, gives them individual self-evaluation sheets to detect the key points of the required techniques, the errors, and the necessary correction process. Kinesthetic information and the body’s proprioception is favored by an experiential approach, based on executive contrasts and perceiving the experienced task’s effectiveness. After practice, the teacher promotes group analyses and comments on each pair’s work. | The teacher provides a simplified task of the target movement that the learners have to repeat until learning occurs. Then, the teacher offers frequent technical, general, and individualized feedback to guarantee the task’s error solution and correct execution. Once most of the learners have had success, the next step is proposed, possessing increased difficulty. This process recurs until the target skill is properly achieved. |
References
- World Health Organization. WHO Guidelines on Physical Activity and Sedentary Behaviour: Web Annex: Evidence Profiles; World Health Organization: Geneva, Switzerland, 2020; ISBN 9789240015111. [Google Scholar]
- Prakash, R.S.; Voss, M.W.; Erickson, K.I.; Kramer, A.F. Physical activity and cognitive vitality. Annu. Rev. Psychol. 2015, 66, 769–797. [Google Scholar] [CrossRef] [PubMed] [Green Version]
- Hayes, S.M.; Alosco, M.L.; Forman, D.E. The Effects of Aerobic Exercise on Cognitive and Neural Decline in Aging and Cardiovascular Disease. Curr. Geriatr. Rep. 2014, 3, 282–290. [Google Scholar] [CrossRef] [PubMed]
- Buck, S.M.; Hillman, C.H.; Castelli, D.M. The relation of aerobic fitness to stroop task performance in preadolescent children. Med. Sci. Sports Exerc. 2008, 40, 166–172. [Google Scholar] [CrossRef] [PubMed]
- Davis, C.L.; Tomporowski, P.D.; McDowell, J.E.; Austin, B.P.; Miller, P.H.; Yanasak, N.E.; Allison, J.D.; Naglieri, J.A. Exercise improves executive function and achievement and alters brain activation in overweight children: A randomized, controlled trial. Health Psychol. 2011, 30, 91–98. [Google Scholar] [CrossRef] [Green Version]
- Diamond, A. Executive functions. Annu. Rev. Psychol. 2013, 64, 135–168. [Google Scholar] [CrossRef] [Green Version]
- Theodoraki, T.E.; McGeown, S.P.; Rhodes, S.M.; MacPherson, S.E. Developmental changes in executive functions during adolescence: A study of inhibition, shifting, and working memory. Br. J. Dev. Psychol. 2020, 38, 74–89. [Google Scholar] [CrossRef]
- Donnelly, J.E.; Hillman, C.H.; Castelli, D.; Etnier, J.L.; Lee, S.; Tomporowski, P.; Lambourne, K.; Szabo-Reed, A.N. Physical Activity, Fitness, Cognitive Function, and Academic Achievement in Children: A Systematic Review. Med. Sci. Sports Exerc. 2016, 48, 1197–1222. [Google Scholar] [CrossRef] [Green Version]
- Vazou, S.; Pesce, C.; Lakes, K.; Smiley-Oyen, A. More than one road leads to Rome: A narrative review and meta-analysis of physical activity intervention effects on cognition in youth. Int. J. Sport Exerc. Psychol. 2019, 17, 153–178. [Google Scholar] [CrossRef]
- Pesce, C. Shifting the focus from quantitative to qualitative exercise characteristics in exercise and cognition research. J. Sport Exerc. Psychol. 2012, 34, 766–786. [Google Scholar] [CrossRef] [Green Version]
- Tomporowski, P.D.; McCullick, B.A.; Pesce, C. Enhancing Children’s Cognition with Physical Activity Games; Human Kinetics: Champaign, IL, USA, 2015. [Google Scholar]
- Spear, L.P. Neurobehavioral changes in adolescence. Curr. Dir. Psychol. Sci. 2000, 9, 111–114. [Google Scholar] [CrossRef]
- Lenroot, R.K.; Giedd, J.N. Brain development in children and adolescents: Insights from anatomical magnetic resonance imaging. Neurosci. Biobehav. Rev. 2006, 30, 718–729. [Google Scholar] [CrossRef] [PubMed]
- Arain, M.; Haque, M.; Johal, L.; Mathur, P.; Nel, W.; Rais, A.; Sandhu, R.; Sharma, S. Maturation of the adolescent brain. Neuropsychiatr. Dis. Treat. 2013, 9, 449–461. [Google Scholar] [CrossRef] [PubMed] [Green Version]
- Smith, R.; Lane, R.D.; Alkozei, A.; Bao, J.; Smith, C.; Sanova, A.; Nettles, M.; Killgore, W.D.S. The role of medial prefrontal cortex in the working memory maintenance of one’s own emotional responses. Sci. Rep. 2018, 8, 3460. [Google Scholar] [CrossRef] [PubMed] [Green Version]
- Somerville, L.H.; Hare, T.; Casey, B.J. Frontostriatal maturation predicts cognitive control failure to appetitive cues in adolescents. J. Cogn. Neurosci. 2011, 23, 2123–2134. [Google Scholar] [CrossRef] [Green Version]
- Mann, D.T.; Williams, A.M.; Ward, P.; Janelle, C.M. Perceptual-cognitive expertise in sport: A meta-analysis. J. Sport Exerc. Psychol. 2007, 29, 457–478. [Google Scholar] [CrossRef]
- Vickers, J.N. Mind over muscle: The role of gaze control, spatial cognition, and the quiet eye in motor expertise. Cogn. Process. 2011, 12, 219–222. [Google Scholar] [CrossRef] [Green Version]
- Ghodrati, S.; Askari Nejad, M.S.; Sharifian, M.; Nejati, V. Inhibitory control training in preschool children with typical development: An RCT study. Early Child Dev. Care 2019, 191, 2093–2102. [Google Scholar] [CrossRef]
- Logan, G.D.; Cowan, W.B.; Davis, K.A. On the ability to inhibit simple and choice reaction time responses: A model and a method. J. Exp. Psychol. Hum. Percept. Perform. 1984, 10, 276–291. [Google Scholar] [CrossRef]
- Posner, M.I. Chronometric Explorations of Mind; Lawrence Erlbaum: Oxford, UK, 1978; p. 271. ISBN 0-470-26491-8. [Google Scholar]
- HornÌková, H.; Dolezajová, L.; KratHanová, I.; Anton, L. Differences in reaction time and agility time in 11 to 14 years old schoolboys. J. Phys. Educ. Sport 2019, 19, 1355–1360. [Google Scholar]
- Blakemore, S.J.; Choudhury, S. Development of the adolescent brain: Implications for executive function and social cognition. J. Child Psychol. Psychiatry 2006, 47, 296–312. [Google Scholar] [CrossRef]
- Pesce, C.; Crova, C.; Cereatti, L.; Casella, R.; Bellucci, M. Physical activity and mental performance in preadolescents: Effects of acute exercise on free-recall memory. Ment. Health Phys. Act. 2009, 2, 16–22. [Google Scholar] [CrossRef]
- Egger, F.; Benzing, V.; Conzelmann, A.; Schmidt, M. Boost your brain, while having a break! The effects of long-term cognitively engaging physical activity breaks on children’s executive functions and academic achievement. PLoS ONE 2019, 14, e0212482. [Google Scholar] [CrossRef] [PubMed]
- Engel, A.K.; Maye, A.; Kurthen, M.; Konig, P. Where’s the action? The pragmatic turn in cognitive science. Trends Cogn. Sci. 2013, 17, 202–209. [Google Scholar] [CrossRef] [PubMed]
- Rudd, J.R.; Crotti, M.; Fitton-Davies, K.; O’Callaghan, L.; Bardid, F.; Utesch, T.; Roberts, S.; Boddy, L.M.; Cronin, C.J.; Knowles, Z.; et al. Skill Acquisition Methods Fostering Physical Literacy in Early-Physical Education (SAMPLE-PE): Rationale and Study Protocol for a Cluster Randomized Controlled Trial in 5–6-Year-Old Children From Deprived Areas of North West England. Front. Psychol. 2020, 11, 1228. [Google Scholar] [CrossRef]
- Renshaw, I.; Chow, J.Y.; Davids, K.; Hammond, J. A constraints-led perspective to understanding skill acquisition and game play: A basis for integration of motor learning theory and physical education praxis? Phys. Educ. Sport Pedagog. 2010, 15, 117–137. [Google Scholar] [CrossRef] [Green Version]
- Liao, C.M.; Masters, R.S. Analogy learning: A means to implicit motor learning. J. Sports Sci. 2001, 19, 307–319. [Google Scholar] [CrossRef]
- Masters, R.S.W. Theoretical aspects of implicit learning in sport. Int. J. Sport Psychol. 2000, 31, 530–541. [Google Scholar]
- Pesce, C.; Faigenbaum, A.D.; Goudas, M.; Tomporowski, P. Coupling our plough of thoughtful moving to the star of children’s right to play. In Physical Activity and Educational Achievement; Meeusen, R., Schaefer, S., Tomporowski, P., Bailey, R., Eds.; Routledge: London, UK, 2017; pp. 247–274. [Google Scholar]
- Richard, V.; Lebeau, J.-C.; Becker, F.; Boiangin, N.; Tenenbaum, G. Developing Cognitive and Motor Creativity in Children Through an Exercise Program Using Nonlinear Pedagogy Principles. Creat. Res. J. 2018, 30, 391–401. [Google Scholar] [CrossRef]
- Santos, S.D.L.; Memmert, D.; Sampaio, J.; Leite, N. The Spawns of Creative Behavior in Team Sports: A Creativity Developmental Framework. Front. Psychol. 2016, 7, 1282. [Google Scholar] [CrossRef] [Green Version]
- Tanaka, Y.M.; Sekiya, H.; Tanaka, Y. Effects of Explicit and Implicit Perceptual Training on Anticipation Skills of Novice Baseball Players. Asian J. Exerc. Sports Sci. 2011, 8, 1–15. [Google Scholar]
- Hein, V.; Ries, F.; Pires, F.; Caune, A.; Heszterane Ekler, J.; Emeljanovas, A.; Valantiniene, I. The relationship between teaching styles and motivation to teach among physical education teachers. J. Sports Sci. Med. 2012, 11, 123–130. [Google Scholar] [PubMed]
- Guadagnoli, M.A.; Lee, T.D. Challenge point: A framework for conceptualizing the effects of various practice conditions in motor learning. J. Mot. Behav. 2004, 36, 212–224. [Google Scholar] [CrossRef] [PubMed]
- Davids, K. The constraints-based approach to motor learning: Implications for a non-linear pedagogy in sport and physical education. In Motor Learning in Practice: A Constraints-Led Approach; Davids, K., Renshaw, I., Savelsbergh, G., Eds.; Routledge: Oxfordshire, UK, 2010; pp. 3–16. [Google Scholar]
- Calvo, P.; Gomila, A. Handbook of Cognitive Science: An Embodied Approach; Elsevier Science: Amsterdam, The Netherlands, 2008; ISBN 978-0-08-046616-3. [Google Scholar]
- Hall, K.G.; Magill, R.A. Variability of Practice and Contextual Interference in Motor Skill Learning. J. Mot. Behav. 1995, 27, 299–309. [Google Scholar] [CrossRef] [PubMed]
- Henz, D.; John, A.; Merz, C.; Schollhorn, W.I. Post-task Effects on EEG Brain Activity Differ for Various Differential Learning and Contextual Interference Protocols. Front. Hum. Neurosci. 2018, 12, 19. [Google Scholar] [CrossRef] [PubMed] [Green Version]
- Wulf, G.; Lee, T.D. Contextual interference in movements of the same class: Differential effects on program and parameter learning. J. Mot. Behav. 1993, 25, 254–263. [Google Scholar] [CrossRef]
- Mosston, M.; Ashworth, S. Teaching Physical Education, 1st ed.; Spectrum of Teaching Styles: Jupiter, FL, USA, 2008; Available online: https://spectrumofteachingstyles.org (accessed on 9 September 2021).
- Myer, G.D.; Kushner, A.M.; Faigenbaum, A.D.; Kiefer, A.; Kashikar-Zuck, S.; Clark, J.F. Training the developing brain, part I: Cognitive developmental considerations for training youth. Curr. Sports Med. Rep. 2013, 12, 304–310. [Google Scholar] [CrossRef]
- Thrun, S.; Pratt, L. Learning to Learn; Springer: New York, NY, USA, 1998; p. 354. ISBN 978-0-7923-8047-4. [Google Scholar]
- Formenti, D.; Duca, M.; Trecroci, A.; Ansaldi, L.; Bonfanti, L.; Alberti, G.; Iodice, P. Perceptual vision training in non-sport-specific context: Effect on performance skills and cognition in young females. Sci. Rep. 2019, 9, 18671. [Google Scholar] [CrossRef]
- Curtner-Smith, M.D. Instrument for Identifying Teaching Styles (IFITS). Available online: https://spectrumofteachingstyles.org/assets/files/articles/CurtnerSmith2001_IFITS.pdf (accessed on 15 November 2020).
- Eriksen, B.A.; Eriksen, C.W. Effects of noise letters upon the identification of a target letter in a nonsearch task. Percept. Psychophys. 1974, 16, 143–149. [Google Scholar] [CrossRef] [Green Version]
- Stoet, G. PsyToolkit: A software package for programming psychological experiments using Linux. Behav. Res. Methods 2010, 42, 1096–1104. [Google Scholar] [CrossRef]
- Stoet, G. PsyToolkit: A novel web-based method for running online questionnaires and reaction-time experiments. Teach. Psychol. 2017, 44, 24–31. [Google Scholar] [CrossRef]
- Eckner, J.T.; Whitacre, R.D.; Kirsch, N.L.; Richardson, J.K. Evaluating a clinical measure of reaction time: An observational study. Percept. Mot. Ski. 2009, 108, 717–720. [Google Scholar] [CrossRef] [PubMed]
- Bryant, L.G.; Curtner-Smith, M. Effect of a physical education teacher’s disability on high school pupils’ learning and perceptions of teacher competence. Phys. Educ. Sport Pedagog. 2009, 14, 311–322. [Google Scholar] [CrossRef]
- Bryant, L.G.; Curtner-Smith, M.D. Impact of a physical education teacher’s disability on elementary pupils’ perceptions of effectiveness and learning. Adapt. Phys. Activ. Q. 2008, 25, 118–131. [Google Scholar] [CrossRef] [PubMed]
- Bryant, L.G.; Curtner-Smith, M.D. Influence of a physical education teacher’s disability on middle school pupils’ learning and perceptions of teacher competence. Eur. Phys. Educ. Rev. 2009, 15, 5–19. [Google Scholar] [CrossRef]
- Button, C.; Seifert, L.; Chow, J.Y.; Araujo, D.; Davids, K. Dynamics of Skill Acquisition: An Ecological Dynamics Approach; Human Kinetics: Champaign, IL, USA, 2021. [Google Scholar]
- Bortoli, L.; Robazza, C.; Durigon, V.; Carra, C. Effects of contextual interference on learning technical sports skills. Percept. Mot. Ski. 1992, 75, 555–562. [Google Scholar] [CrossRef] [PubMed]
- Diamond, A.; Lee, K. Interventions shown to aid executive function development in children 4 to 12 years old. Science 2011, 333, 959–964. [Google Scholar] [CrossRef] [Green Version]
- Bransford, J.D.; Brown, A.L.; Cocking, R.R. How People Learn: Brain, Mind, Experience, and School; National Academy Press: Washington, DC, USA, 2000. [Google Scholar]
- Dietrich, A. The cognitive neuroscience of creativity. Psychon. Bull. Rev. 2004, 11, 1011–1026. [Google Scholar] [CrossRef] [Green Version]
- Chow, J.Y.; Teo-Koh, S.M.; Tan, C.W.K.; Button, C.; Tan, B.S.-J.; Kapur, M.; Meerhoff, R.; Choo, C.Z.Y. Nonlinear Pedagogy and Its Relevance for the New PE Curriculum; Office of Education Research, National Institute of Education: Singapore, 2020. [Google Scholar]
- Koziol, L.F.; Budding, D.E.; Chidekel, D. From movement to thought: Executive function, embodied cognition, and the cerebellum. Cerebellum 2012, 11, 505–525. [Google Scholar] [CrossRef]
- Ávila, L.T.G.; Chiviacowsky, S.; Wulf, G.; Lewthwaite, R. Positive social-comparative feedback enhances motor learning in children. Psychol. Sport Exerc. 2012, 13, 849–853. [Google Scholar] [CrossRef]
- Wulf, G.; McConnel, N.; Gartner, M.; Schwarz, A. Enhancing the learning of sport skills through external-focus feedback. J. Mot. Behav. 2002, 34, 171–182. [Google Scholar] [CrossRef]
- Wormhoudt, R.; Savelsbergh, G.J.P.; Teunissen, J.W.; Davids, K. The Athletic Skills Model: Optimizing Talent Development Through Movement Education, 1st ed.; Routledge: London, UK, 2017. [Google Scholar]
- Sierra-Díaz, M.J.; González-Víllora, S.; Pastor-Vicedo, J.C.; López-Sánchez, G.F. Can We Motivate Students to Practice Physical Activities and Sports Through Models-Based Practice? A Systematic Review and Meta-Analysis of Psychosocial Factors Related to Physical Education. Front. Psychol. 2019, 10, 2115. [Google Scholar] [CrossRef] [PubMed]
- Zelazo, P.D. Executive function: Reflection, iterative reprocessing, complexity, and the developing brain. Dev. Rev. 2015, 38, 55–68. [Google Scholar] [CrossRef]
- Tomporowski, P.D.; Pesce, C. Exercise, sports, and performance arts benefit cognition via a common process. Psychol. Bull. 2019, 145, 929–951. [Google Scholar] [CrossRef] [PubMed]
- Gibson, J.J. The Ecological Approach to Visual Perception; Psychology Press: New York, NY, USA, 2014; ISBN 9781315740218. [Google Scholar]
- Kouneiher, F.; Charron, S.; Koechlin, E. Motivation and cognitive control in the human prefrontal cortex. Nat. Neurosci. 2009, 12, 939–945. [Google Scholar] [CrossRef] [PubMed]
- Dehaene, S. How We Learn: The New Science of Education and the Brain; Penguin Books Limited: New York, NY, USA, 2020; ISBN 9780241366479. [Google Scholar]
- Rescorla, R.A.; Wagner, A.R. A theory of Pavlovian conditioning: Variations on the effectiveness of reinforcement and non-reinforcement. In Classical Conditioning II: Current Research and Theory; Black, A.H., Prokasy, W.F., Eds.; Appleton-Century-Crofts: New York, NY, USA, 1972; pp. 64–99. [Google Scholar]
- Hillman, C.H.; Motl, R.W.; Pontifex, M.B.; Posthuma, D.; Stubbe, J.H.; Boomsma, D.I.; de Geus, E.J.C. Physical activity and cognitive function in a cross-section of younger and older community-dwelling individuals. Health Psychol. 2006, 25, 678–687. [Google Scholar] [CrossRef] [PubMed] [Green Version]
- Rink, J. Teaching Physical Education for Learning; McGraw-Hill: Boston, MA, USA, 2010; p. 428. [Google Scholar]
- Bentley, T. What Learning Needs, towards Educational Transformation: A Challenge of Nations, Communities and Learners; Routledge: London, UK, 1998. [Google Scholar]
- Wright, J.; Burrows, L.; MacDonald, D. Critical Inquiry and Problem-Solving in Physical Education; Routledge: London, UK, 2004; ISBN 0415291631. [Google Scholar]
- United Nations. Transforming Our World: The 2030 Agenda for Sustainable Development; United Nations: New York, NY, USA, 2015. [Google Scholar]
- Whitehead, M. Physical Literacy: Throughout the Lifecourse; Taylor & Francis: Oxfordshire, UK, 2010; ISBN 9780203881903. [Google Scholar]
- Lutze-Mann, L. Strategies for enhancing student understanding through active engagement (LB113). FASEB J. 2014, 28 (Suppl. S1), LB113. [Google Scholar] [CrossRef]





| NLP (N = 27; 9 f, 18 m) | VLP (N = 28; 10 f, 18 m) | CLP (N = 28; 11 f, 17 m) | |
|---|---|---|---|
| Age (yrs) | 13.0 ± 0.0 | 13.0 ± 0.2 | 13.0 ± 0.2 |
| Body mass (kg) | 50.5 ± 8.6 | 49.4 ± 9.2 | 45.4 ± 7.3 |
| Stature (cm) | 161.3 ± 7.6 | 160.3 ± 10.0 | 159.9 ± 7.1 |
| BMI (kg/m2) | 19.3 ± 2.4 | 19.1 ± 2.2 | 17.7 ± 1.8 |
| NLP | VLP | CLP | |
|---|---|---|---|
| Theory | Ecological | Cognitive | Cognitive |
| Procedure | Mainly focused on the movement’s content | Mainly focused on the movement’s content | Mainly focused on the movement’s form |
| Pedagogical approach | nonlinear | linear | linear |
| Teaching styles | Productive: guided discovery | Reproductive: self-check, reciprocal style | Reproductive: prescriptive |
| Task | multitask | monotask | monotask |
| Attention | Distributed to several elements | Focused on sensory perception and on a specific element at once | No specific requirements, limited to the necessary model’s observation |
| Teacher’s leading | Indirect (learner-centered) | Direct/Indirect (teacher/learner-centered) | Direct (teacher-centered) |
| Activities | random | blocks | blocks |
| Practice | Non-constant | Non-constant | constant |
| NLP min (%) | VLP min (%) | CLP min (%) | Intra-Rater Reliability (ICC) | Inter-Rater Reliability (ICC) | |
|---|---|---|---|---|---|
| Teaching Styles | |||||
| Convergent guided discovery | 16.3 ± 0.9 (30.5 ± 0.1) | 0.99 | 0.84 | ||
| Divergent guided discovery | 33.3 ± 0.7 (62.4 ± 0.1) | 0.99 | 0.80 | ||
| Reciprocal | 38.8 ± 2.5 (70.3 ± 0.2) | 1.00 | 1.00 | ||
| Individual-based choice | 3.8 ± 0.1 (7.1 ± 0.2) | 5.0 ± 0.3 (9.1 ± 0.1) | 15.3 ± 0.7 (27.8 ± 0.3) | 1.00 | 0.99 |
| Self-check | 11.3 ± 0.6 (20.6 ± 0.3) | 0.99 | 0.87 | ||
| Command | 39.8 ± 2.4 (72.2 ± 0.3) | 0.99 | 0.72 | ||
| Activity | |||||
| Total time of activity | 53.4 ± 2.8 (100) | 55.2 ± 3.4 (100) | 55.1 ± 3.2 (100) | 0.99 | 0.81 |
| Rest time | 3.9 ± 0.3 (7.3 ± 0.1) | 4.1 ± 0.3 (7.5 ± 0.1) | 4.0 ± 0.2 (7.3 ± 0.1) | 0.99 | 0.69 |
| Time in action | 36.5 ± 2.0 (68.3 ± 0.2) * | 38.9 ± 2.6 (70.3 ± 0.4) * | 46.5 ± 2.8 (84.4 ± 0.3) | 0.99 | 0.99 |
| Reflection time | 13.0 ± 0.6 (24.4 ± 0.1) * | 12.3 ± 0.9 (22.2 ± 0.3) * | 4.6 ± 0.4 (8.3 ± 0.2) | 0.99 | 1.00 |
| Time × Practice Interaction | Practice | Pre | Post | p-Value | Cohen’s d ES | Delta (Post-Pre) | |
|---|---|---|---|---|---|---|---|
| Congruent | p = 0.012; F = 6.44 | Varied practice | 87.7 ± 9.4 | 91.6 ± 9.1 | 0.146 | 0.41 (small) | 3.8 ± 12.7 # |
| Constant practice | 91.4 ± 13.7 | 85.9 ± 15.0 | 0.138 | 0.40 (small) | −5.4 ± 20.5 | ||
| Incongruent | p < 0.001; F = 14.93 | Varied practice | 85.9 ± 10.8 | 92.4 ± 7.8 | 0.035 * | 0.60 (medium) | 6.4 ± 13.6 ### |
| Constant practice | 90.5 ± 15.4 | 81.6 ± 16.8 | 0.039 * | 0.57 (medium) | −8.9 ± 24.8 |
| Time × Practice Interaction | Group | Pre | Post | p-Value | Cohen’s d ES | Delta (Post-Pre) | |
|---|---|---|---|---|---|---|---|
| Congruent | p = 0.048; F = 3.09 | NLP | 86.7 ± 8.8 | 90.4 ± 7.3 | 0.686 | 0.42 (small) | 3.6 ± 11.5 # |
| VLP | 88.7 ± 10.1 | 92.8 ± 10.5 | 0.669 | 0.36 (small) | 4.1 ± 14.0 # | ||
| CLP | 91.4 ± 13.7 | 85.9 ± 15.0 | 0.208 | 0.40 (small) | −5.4 ± 20.5 | ||
| Incongruent | p < 0.001; F = 7.74 | NLP | 84.8 ± 9.3 | 89.7 ± 7.2 | 0.384 | 0.53 (medium) | 4.9 ± 11.2 # |
| VLP | 87.1 ± 12.2 | 95.0 ± 7.6 | 0.049 * | 0.66 (medium) | 7.9 ± 15.7 ## | ||
| CLP | 90.5 ± 15.4 | 81.6 ± 16.8 | 0.018 * | 0.58 (medium) | −8.9 ± 24.8 |
Publisher’s Note: MDPI stays neutral with regard to jurisdictional claims in published maps and institutional affiliations. |
© 2022 by the authors. Licensee MDPI, Basel, Switzerland. This article is an open access article distributed under the terms and conditions of the Creative Commons Attribution (CC BY) license (https://creativecommons.org/licenses/by/4.0/).
Share and Cite
Invernizzi, P.L.; Rigon, M.; Signorini, G.; Colella, D.; Trecroci, A.; Formenti, D.; Scurati, R. Effects of Varied Practice Approach in Physical Education Teaching on Inhibitory Control and Reaction Time in Preadolescents. Sustainability 2022, 14, 6455. https://doi.org/10.3390/su14116455
Invernizzi PL, Rigon M, Signorini G, Colella D, Trecroci A, Formenti D, Scurati R. Effects of Varied Practice Approach in Physical Education Teaching on Inhibitory Control and Reaction Time in Preadolescents. Sustainability. 2022; 14(11):6455. https://doi.org/10.3390/su14116455
Chicago/Turabian StyleInvernizzi, Pietro Luigi, Marta Rigon, Gabriele Signorini, Dario Colella, Athos Trecroci, Damiano Formenti, and Raffaele Scurati. 2022. "Effects of Varied Practice Approach in Physical Education Teaching on Inhibitory Control and Reaction Time in Preadolescents" Sustainability 14, no. 11: 6455. https://doi.org/10.3390/su14116455
APA StyleInvernizzi, P. L., Rigon, M., Signorini, G., Colella, D., Trecroci, A., Formenti, D., & Scurati, R. (2022). Effects of Varied Practice Approach in Physical Education Teaching on Inhibitory Control and Reaction Time in Preadolescents. Sustainability, 14(11), 6455. https://doi.org/10.3390/su14116455

