Recycling Model Selection for Electronic Products Considering Platform Power and Blockchain Empowerment
Abstract
:1. Introduction
- RQ1:
- Under what conditions does the recycler choose to implement blockchain technology to increase the amount of real recycling of waste products?
- RQ2:
- What are the impacts of the implementation of blockchain technology on pricing and marketing strategies as well as the recycling model selection?
- RQ3:
- How to take advantage of the combination of blockchain and recycling model to enhance the triple benefits of economy, environment, and society in the CLSC?
2. Literature Review
2.1. Electronic Products Supply Chain
2.2. Selection of Recycling Model for Waste Products
2.3. Application of Blockchain Technology in Supply Chain
3. Model Description and Assumptions
4. Model Analysis
4.1. Manufacturer Recycling Model without Blockchain Technology ()
4.2. Platform Recycling Model without Blockchain Technology ()
4.3. Manufacturer Recycling Model Empowered by Blockchain ()
4.4. Platform Recycling Model Empowered by Blockchain ()
5. Implementation Conditions and Value of Blockchain Technology
5.1. Implementation Conditions of Blockchain
5.2. Implementation Value of Blockchain
6. Numerical Analysis
- (1)
- The effect of the change in the share ratio on the growth rate of recycling rate, the growth rate of supply chain profit, and the growth rate of social welfare;
- (2)
- The impact of the ratio of real to theoretical recycling volume on profit of manufacturer, platform and supply chain, and social welfare under two recycling models;
- (3)
- The impact of platform power on profit of manufacturer, platform and supply chain, and social welfare under two recycling models;
- (4)
- Proposition 7 shows that, when , both the manufacturer and the platform prefer to use blockchain technology in both recycling models. Proposition 9 shows that, when the self-built cost of the blockchain is , the manufacturer chooses the manufacturer recycling model and the platform can also gain more revenue from it. Then, whether there is an intersection between the two, both the manufacturer and the platform will choose the manufacturer recycling model empowered by blockchain from their own interests. If so, what is the range of as well as , and are the economic, environmental, and social aspects of choosing the manufacturer recycling model enabled by blockchain better than other modes?
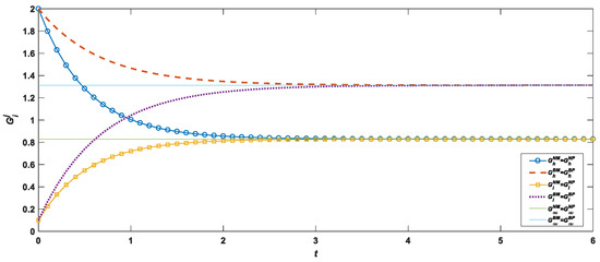
6.1. Brand Goodwill Time Trajectory Chart
6.2. Influence of the Ratio of Real to Theoretical Recycling (Real Recycling Rate) on Profits of Supply Chain Participants and Supply Chain, and Social Welfare
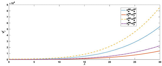
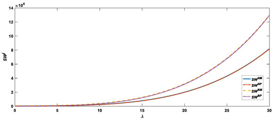
6.3. Impact of Platform Power on Profits of Supply Chain Participants and Supply Chain and Social Welfare
6.4. Impact of Residual Value Share Ratio and Blockchain Fixed Cost of Waste Electronics on Recycling Model Selection
6.5. Influence of the Change of Revenue Sharing Coefficient on Economy, Society, and Environment
7. Extension with Unit Cost of Blockchain
8. Discussion and Conclusions
8.1. Discussion
8.2. Conclusions
Author Contributions
Funding
Institutional Review Board Statement
Informed Consent Statement
Data Availability Statement
Conflicts of Interest
Appendix A
- Effect of the correlation parameter on the steady-state value of brand goodwill. (If the partial derivative is greater than 0, the two are positively correlated; the partial derivative is less than 0, indicating negative correlation).
- Influence of related parameters on the steady-state value of electronic product retail price. (If the partial derivative is greater than 0, the two are positively correlated; the partial derivative is less than 0, indicating negative correlation.)
- Influence of related parameters on steady-state value of wholesale price of electronic products. (If the partial derivative is greater than 0, the two are positively correlated; the partial derivative is less than 0, indicating negative correlation).
- Influence of relevant parameters on steady-state value of marketing effort. (If the partial derivative is greater than 0, the two are positively correlated; the partial derivative is less than 0, indicating negative correlation.)
- Influence of related parameters on steady-state value of recycling effort. represents the recycling effort when the manufacturer recycling model and platform recycling model without blockchain technology and the recycling effort when the manufacturer recycling model and platform recycling model with blockchain technology, respectively. (If the partial derivative is greater than 0, the two are positively correlated; the partial derivative is less than 0, indicating negative correlation.)Manufacturer recycling model:Platform recycling model:
References
- Xu, X.; Choi, T.M. Supply chain operations with online platforms under the cap-and-trade regulation: Impacts of using blockchain technology. Transp. Res. Part E 2021, 155, 102491. [Google Scholar] [CrossRef]
- Ha, A.Y.; Tong, S.; Wang, Y. Channel structures of online retail platforms. Manuf. Serv. Oper. Manag. 2021. [CrossRef]
- Tian, L.; Vakharia, A.J.; Tan, Y.; Xu, Y. Marketplace, reseller, or hybrid: Strategic analysis of an emerging e-commerce model. Prod. Oper. Manag. 2018, 27, 1595–1610. [Google Scholar] [CrossRef]
- Hagiu, A.; Wright, J. Marketplace or reseller? Manag. Sci. 2015, 61, 184–203. [Google Scholar] [CrossRef] [Green Version]
- Jiang, B.; Jerath, K.; Srinivasan, K. Firm strategies in the “mid tail” of platform-based retailing. Mark Sci. 2011, 30, 757–775. [Google Scholar] [CrossRef] [Green Version]
- Marinello, S.; Gamberini, R. Multi-criteria decision making approaches applied to waste electrical and electronic equipment (WEEE): A comprehensive literature review. Toxics 2021, 9, 13. [Google Scholar] [CrossRef]
- Wang, Z.; Zheng, Z.; Jiang, W.; Tang, S. Blockchain-enabled data sharing in supply chains: Model, operationalization, and tutorial. Prod. Oper. Manag. 2021, 30, 1965–1985. [Google Scholar] [CrossRef]
- Hussien, H.M.; Yasin, S.M.; Udzir, N.I.; Ninggal, M.I.H.; Salman, S. Blockchain technology in the healthcare industry: Trends and opportunities. J. Ind. Inf. Integr. 2021, 22, 100217. [Google Scholar] [CrossRef]
- Centobelli, P.; Cerchione, R.; Del, V.P.; Oropallo, E.; Secundo, G. Blockchain technology for bridging trust, traceability and transparency in circular supply chain. Inform. Manage-Amster. 2021, 103508. [Google Scholar] [CrossRef]
- Bahers, J.B.; Kim, J. Regional approach of waste electrical and electronic equipment (WEEE) management in France. Resour. Conserv. Recycl. 2018, 129, 45–55. [Google Scholar] [CrossRef]
- Yang, P.C.; Wee, H.M.; Liu, B.S.; Fong, O.K. Mitigating hi-tech products risks due to rapid technological innovation. Omega 2011, 39, 456–463. [Google Scholar] [CrossRef]
- Tansel, B. From electronic consumer products to e-wastes: Global outlook, waste quantities, recycling challenges. Environ. Int. 2017, 98, 35–45. [Google Scholar] [CrossRef] [PubMed]
- Wang, M.; Luan, J.; Li, X.; Zhu, X. Sustainable decisions in a high-tech electronic product supply chain considering environmental effort and social responsibility: A hierarchical bi-level intelligent approach. IAENG Inter. J. Appl. Math. 2021, 51, 1–16. [Google Scholar]
- Kumar, A.; Holuszko, M.; Espinosa, D.C.R. E-waste: An overview on generation, collection, legislation and recycling practices. Resour. Conserv. Recycl. 2017, 122, 32–42. [Google Scholar] [CrossRef]
- Wang, W.; Tian, Y.; Zhu, Q.; Zhong, Y. Barriers for household e-waste collection in China: Perspectives from formal collecting enterprises in Liaoning Province. J. Clean. Prod. 2017, 153, 299–308. [Google Scholar] [CrossRef]
- Zlamparet, G.I.; Ijomah, W.; Miao, Y.; Awasthi, A.K.; Zeng, X.; Li, J. Remanufacturing strategies: A solution for WEEE problem. J. Clean. Prod. 2017, 149, 126–136. [Google Scholar] [CrossRef] [Green Version]
- Savaskan, R.C.; Bhattacharya, S.; Wassenhove, L. Closed-loop supply chain models with product remanufacturing. Manag. Sci. 2004, 50, 239–252. [Google Scholar] [CrossRef] [Green Version]
- Wu, X.; Zhou, Y. The optimal reverse channel choice under supply chain competition. Eur. J. Oper. Res. 2017, 259, 63–66. [Google Scholar] [CrossRef]
- Liu, L.; Wang, Z.; Xu, L.; Hong, X.; Govindan, K. Collection effort and reverse channel choices in a closed-loop supply chain. J. Clean. Prod. 2017, 144, 492–500. [Google Scholar] [CrossRef]
- Huang, M.; Song, M.; Lee, L.H.; Ching, W.K. Analysis for strategy of closed-loop supply chain with dual recycling channel. Inter. J. Prod. Econ. 2013, 144, 510–520. [Google Scholar] [CrossRef]
- Hong, X.; Xu, L.; Du, P.; Wang, W. Joint advertising, pricing and collection decisions in a closed-loop supply chain. Inter. J. Prod. Econ. 2015, 167, 12–22. [Google Scholar] [CrossRef]
- He, Q.; Wang, N.; Yang, Z.; He, Z.; Jiang, B. Competitive collection under channel inconvenience in closed-loop supply chain. Eur. J. Oper. Res. 2019, 275, 155–166. [Google Scholar] [CrossRef]
- Wang, B.; Ren, C.; Dong, X.; Zhang, B.; Wang, Z. Determinants shaping willingness towards on-line recycling behaviour: An empirical study of household e-waste recycling in China. Resour. Conserv. Recycl. 2019, 143, 218–225. [Google Scholar] [CrossRef]
- Liu, S.; Huang, Y. Decision Analysis of E-commerce Closed-loop Supply Chain with Different Recycling models. E3S Web of Conferences. EDP Sci. 2021, 257, 02019. [Google Scholar]
- Liu, C.Y.; Wang, H.; Tang, J.; Chang, C.T.; Liu, Z. Optimal recycling model in a used batteries closed-loop supply chain considering uncertain residual capacity. Transp. Res. Part E 2021, 156, 102516. [Google Scholar] [CrossRef]
- Chuang, C.H.; Wang, C.X.; Zhao, Y. Closed-loop supply chain models for a high-tech product under alternative reverse channel and collection cost structures. Inter. J. Prod. Econ. 2014, 156, 108–123. [Google Scholar] [CrossRef]
- Xue, R.; Zhang, F.; Tian, F.; Oloruntoba, R.; Miao, S. Dual chains competition under two recycling models based on system dynamics method. Sustainability 2018, 10, 2382. [Google Scholar] [CrossRef] [Green Version]
- Dutta, P.; Choi, T.M.; Somani, S.; Butala, R. Blockchain technology in supply chain operations: Applications, challenges and research opportunities. Transp. Res. Part E 2020, 142, 102067. [Google Scholar] [CrossRef]
- Babich, V.; Hilary, G. OM Forum—Distributed ledgers and operations: What operations management researchers should know about blockchain technology. Manuf. Serv. Oper. Manag. 2020, 22, 223–240. [Google Scholar] [CrossRef] [Green Version]
- Lim, M.K.; Li, Y.; Wang, C.; Tseng, M.L. A literature review of blockchain technology applications in supply chains: A comprehensive analysis of themes, methodologies and industries. Comput. Ind. Eng. 2021, 154, 107133. [Google Scholar] [CrossRef]
- Yu, Y.; Huang, G.; Guo, X. Financing strategy analysis for a multi-sided platform with blockchain technology. Eur. J. Oper Res. 2021, 59, 4513–4532. [Google Scholar] [CrossRef]
- Shen, B.; Dong, C.; Minner, S. Combating copycats in the supply chain with permissioned blockchain technology. Prod. Oper. Manag. 2022, 31, 138–154. [Google Scholar] [CrossRef]
- Cai, Y.J.; Choi, T.M.; Zhang, J. Platform supported supply chain operations in the blockchain era: Supply contracting and moral hazards. Decis. Sci. 2021, 52, 866–892. [Google Scholar] [CrossRef]
- Chod, J.; Trichakis, N.; Tsoukalas, G.; Aspegren, H.; Weber, M. On the financing benefits of supply chain transparency and blockchain adoption. Manag. Sci. 2020, 66, 4378–4396. [Google Scholar] [CrossRef]
- Hastig, G.M.; Sodhi, M. Blockchain for supply chain traceability: Business requirements and critical success factors. Prod. Oper. Manag. 2020, 29, 935–954. [Google Scholar] [CrossRef]
- Wu, X.Y.; Fan, Z.P.; Cao, B.B. An analysis of strategies for adopting blockchain technology in the fresh product supply chain. Inter. J. Prod. Ees. 2021, 1–18. [Google Scholar] [CrossRef]
- Liu, X.; Barenji, A.V.; Li, Z.; Montreuil, B.; Huang, G.Q. Blockchain-based smart tracking and tracing platform for drug supply chain. Comput. Ind. Eng. 2021, 161, 107669. [Google Scholar] [CrossRef]
- Nerlove, M.; Arrow, K.J. Optimal advertising policy under dynamic conditions. Economica 1962, 29, 129–142. [Google Scholar] [CrossRef]
- Giovanni, D.P. Smart Supply Chains with vendor managed inventory, coordination, and environmental performance. Eur. J. Oper. Res. 2021, 292, 515–531. [Google Scholar] [CrossRef]
- Liu, G.; Zhang, J.; Tang, W. Strategic transfer pricing in a marketing–operations interface with quality level and advertising dependent goodwill. Omega 2015, 56, 1–15. [Google Scholar] [CrossRef]
- Giovanni, D.P. A joint maximization incentive in closed-loop supply chains with competing retailers: The case of spent-battery recycling. Eur. J. Oper. Res. 2018, 268, 128–147. [Google Scholar] [CrossRef]














| Author | Platform Reselling | Platform Recycling | Blockchain Empowerment | Triple Benefit Analysis in CLSC | ||
|---|---|---|---|---|---|---|
| Economic | Environment | Society | ||||
| Liu and Huang. [24] | √ | √ | ||||
| Chuang et al. [26] | √ | √ | ||||
| Shen et al. [32] | √ (Transparency, Trustworthy) | √ | √ | |||
| Cai and Choi. [33] | √ (Transparency, Trustworthy) | √ | √ | √ | ||
| Wu et al. [36] | √ | √ (Traceability) | √ | |||
| This paper | √ | √ | √ (Transparency, Traceability) | √ | √ | √ |
| Without Blockchain | With Blockchain | |
|---|---|---|
| Manufacturer recycling | ||
| Platform recycling |
| Recycling Models | |||||
|---|---|---|---|---|---|
| Residual value | By manufacturer | 0 | 0 | ||
| By platform | |||||
| Notation | Definitions |
|---|---|
| State variable | |
| Brand goodwill | |
| Decision variable | |
| Wholesale prices of manufacturer’s products | |
| Retail price of platform products | |
| Platform marketing efforts | |
| Recycling efforts | |
| Parameters | |
| Residual value share ratio of waste electronics (revenue sharing coefficient) | |
| The influence coefficient of marketing effort on brand goodwill | |
| The influence coefficient of brand goodwill on the basic scale of market demand | |
| The magnitude of the platform force | |
| Normal decay rate of brand goodwill due to consumer forgetting effect | |
| Consumers’ sensitivity to price | |
| Coefficient of influence of recycling effort input on theoretical recycling amount | |
| The ratio of actual and theoretical recycling (real recycling rate) | |
| The marginal residual value of waste electronic products | |
| Discount rate | |
| Cost coefficient of platform marketing efforts | |
| Cost coefficient of recycling effort | |
| Fixed costs of self-built blockchains | |
| Unit cost of using blockchain technology |
| - | - | - | - | |||||||||
| - | - | - | - | |||||||||
| - | - | - | - | |||||||||
| - | - | - | - | |||||||||
| - | - | - | - | - | - | - | - | |||||
| - | - | - | - | - | - | - | ||||||
| - | - | - | - | - | ||||||||
| - | - | - | - | - | ||||||||
| - | - | - | - | - | ||||||||
| - | - | - | - | - | ||||||||
| - | - | - | - | - | - | - | - | - | ||||
| - | - | - | - | - | - | - | - |
| Recycling rate | 0.2536 | 0.2851 | 0.1589 | 0.1597 |
| 0 | 0.1 | 0.2 | 0.3 | 0.4 | 0.5 | 0.6 | 0.7 | 0.8 | 0.9 | |
|---|---|---|---|---|---|---|---|---|---|---|
| −1.1669 | −0.9742 | −0.6002 | −0.1790 | 0.2028 | 0.5154 | 0.7603 | 0.9491 | 1.0948 | 1.2079 | |
| −0.2053 | −0.1304 | −0.0741 | −0.0302 | 0.0050 | 0.0339 | 0.0580 | 0.0783 | 0.0958 | 0.1110 | |
| −0.9089 | −0.7575 | −0.4552 | −0.1005 | 0.2350 | 0.5201 | 0.7503 | 0.9321 | 1.0750 | 1.1877 |
Publisher’s Note: MDPI stays neutral with regard to jurisdictional claims in published maps and institutional affiliations. |
© 2022 by the authors. Licensee MDPI, Basel, Switzerland. This article is an open access article distributed under the terms and conditions of the Creative Commons Attribution (CC BY) license (https://creativecommons.org/licenses/by/4.0/).
Share and Cite
Wang, X.; Ma, D.; Hu, J. Recycling Model Selection for Electronic Products Considering Platform Power and Blockchain Empowerment. Sustainability 2022, 14, 6136. https://doi.org/10.3390/su14106136
Wang X, Ma D, Hu J. Recycling Model Selection for Electronic Products Considering Platform Power and Blockchain Empowerment. Sustainability. 2022; 14(10):6136. https://doi.org/10.3390/su14106136
Chicago/Turabian StyleWang, Xue, Deqing Ma, and Jinsong Hu. 2022. "Recycling Model Selection for Electronic Products Considering Platform Power and Blockchain Empowerment" Sustainability 14, no. 10: 6136. https://doi.org/10.3390/su14106136
APA StyleWang, X., Ma, D., & Hu, J. (2022). Recycling Model Selection for Electronic Products Considering Platform Power and Blockchain Empowerment. Sustainability, 14(10), 6136. https://doi.org/10.3390/su14106136

