Effect of Tampering on On-Road and Off-Road Diesel Vehicle Emissions
Abstract
:1. Introduction
1.1. Achieving Low Emissions
1.1.1. Engine Calibration
1.1.2. NOx and PM Emissions Control Devices and Customer Concerns
1.2. Tampering Approaches
1.3. Environmental Consequences of Tampering
1.4. Tampering vs. Retrofitting
1.5. Aims of the Study
- what is the environmental impact of tampering of new generation vehicles (including light duty, heavy-duty and off-road machines) that there is no information of their engine out emissions?
- what are the tampering installation costs and savings?
2. Materials and Methods
2.1. Light Duty Vehicle Euro 6d-Temp
2.1.1. Vehicle
2.1.2. Tampering Approach
2.1.3. Testing
2.2. Light Duty Vehicle Euro 6b
2.2.1. Vehicle
2.2.2. Tampering Approach
2.2.3. Testing
2.3. Heavy-Duty Vehicle N2
2.3.1. Vehicle
2.3.2. Tampering Approach
- Engine CAN: Communication with ECU and ACM (after treatment control module). The emulator reduced the DEF dosing command on ACM, but at the same time, it fed back a higher DEF value to ECU to avoid faults on diagnostics as ACM controls the DEF consumption. In parallel, the device emulated the downstream NOx sensor by reducing its signal.
- Diagnostic CAN: The emulator carried out a DTC erase operation immediately after the dashboard key was switched on to ensure that the whole system worked correctly.
2.3.3. Testing
2.4. Heavy Duty Vehicle N3
2.4.1. Vehicle
2.4.2. Tampering Approach
2.4.3. Testing
2.5. Non-Road Mobile Machinery
2.5.1. Vehicle
2.5.2. Tampering Approach
2.5.3. Testing
3. Results
3.1. Light Duty Vehicle Euro 6d-Temp
3.2. Light Duty Vehicle Euro 6b
3.3. Heavy-Duty Vehicle N2
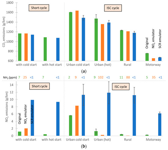
3.4. Heavy-Duty Vehicle N3
3.5. Non-Road Mobile Machinery (NRMM)
4. Discussion
4.1. Tampering and Increase of Emissions
4.2. Tampering Cost Motives
4.3. Tampering Availability
5. Conclusions
Author Contributions
Funding
Institutional Review Board Statement
Informed Consent Statement
Data Availability Statement
Acknowledgments
Conflicts of Interest
Disclaimer
References
- Valverde-Morales, V.; Clairotte, M.; Pavlovic, J.; Giechaskiel, B.; Bonnel, P. On-Road Emissions of Euro 6d-TEMP Vehicles: Consequences of the Entry into Force of the RDE Regulation in Europe; No. 2020-01–2219; SAE International: Warrendale, PA, USA, 2020. [Google Scholar]
- European Environment Agency. Air Quality in Europe: 2020 Report; Publications Office of the European: Luxembourg, 2021.
- Andersen, O.; Upham, P.; Aall, C. Technological Response Options after the VW Diesel Scandal: Implications for Engine CO2 Emissions. Sustainability 2018, 10, 2313. [Google Scholar] [CrossRef] [Green Version]
- Liu, B.; Zimmerman, N. Fleet-Based Vehicle Emission Factors Using Low-Cost Sensors: Case Study in Parking Garages. Transp. Res. Part D Transp. Environ. 2021, 91, 102635. [Google Scholar] [CrossRef]
- Mérel, P.; Smith, A.; Williams, J.; Wimberger, E. Cars on Crutches: How Much Abatement Do Smog Check Repairs Actually Provide? J. Environ. Econ. Manag. 2014, 67, 371–395. [Google Scholar] [CrossRef]
- Huang, Y.; Ng, E.C.Y.; Yam, Y.; Lee, C.K.C.; Surawski, N.C.; Mok, W.; Organ, B.; Zhou, J.L.; Chan, E.F.C. Impact of Potential Engine Malfunctions on Fuel Consumption and Gaseous Emissions of a Euro VI Diesel Truck. Energy Convers. Manag. 2019, 184, 521–529. [Google Scholar] [CrossRef]
- Jiang, Y.; Yang, J.; Tan, Y.; Yoon, S.; Chang, H.-L.; Collins, J.; Maldonado, H.; Carlock, M.; Clark, N.; McKain, D.; et al. Evaluation of Emissions Benefits of OBD-Based Repairs for Potential Application in a Heavy-Duty Vehicle Inspection and Maintenance Program. Atmos. Environ. 2021, 247, 118186. [Google Scholar] [CrossRef]
- van den Meiracker, J.A.; Vermeulen, R. DIAS: The Market of Cheating Devices and Testing Matrix with a Prioritization for Testing of Vehicle Tampering Technique Combinations; TNO DIAS Deliverable D3.2; TNO: Delft, The Netherlands, 2020. [Google Scholar]
- Acevedo, F.; Yarbrough, C. Tampering & Aftermarket Defeat Devices. In Proceedings of the Midwest Clean Diesel Initiative Steering Committee Meeting, Chicago, IL, USA, 25 April 2019. [Google Scholar]
- Godwin, S. Web Investigation of Emulation & Device Removal Services (Prepared for ACEA). In Proceedings of the GRPE WP29-172–25e, Geneva, Switzerland, 18 April 2017. [Google Scholar]
- Pöhler, D.; Adler, T.; Krufczik, C.; Horbanski, M.; Lampel, J.; Platt, U. Real Driving NOx Emissions of European Trucks and Detection of Manipulated Emission Systems. In Proceedings of the EGU General Assembly Conference Abstracts, Vienna, Austria, 23–28 April 2017; p. 13991. [Google Scholar]
- Belser, E. Tampered Diesel Pickup Trucks: A Review of Aggregated Evidence from EPA Civil Enforcement Investigations. Available online: https://www.Epa.Gov/Enforcement/Tampered-Diesel-Pickup-Trucks-Review-Aggregated-Evidence-Epa-Civil-Enforcement (accessed on 10 April 2022).
- AECC. AECC Newsletter Jan 2018: International Regulatory Developments; AECC: Bournemouth, UK, 2018. [Google Scholar]
- Vojtisek-Lom, M.; Arul Raj, A.F.; Jindra, P.; Macoun, D.; Pechout, M. On-Road Detection of Trucks with High NOx Emissions from a Patrol Vehicle with on-Board FTIR Analyzer. Sci. Total Environ. 2020, 738, 139753. [Google Scholar] [CrossRef] [PubMed]
- Tenge, E.; Ypma, P.; McNally, P. MODALES D2.3: Legal Situation of Tampering; Spark Legal Network: London, UK, 2020; Available online: https://modales-project.eu/wp-content/uploads/2020/09/MODALES_D2.3-Legal-situation-of-tampering_WEB.pdf (accessed on 10 April 2022).
- Majewski, W.A.; Khair, M.K. Diesel Emissions and Their Control; SAE International: Warrendale, PA, USA, 2006; ISBN 978-0-7680-0674-2. [Google Scholar]
- Selleri, T.; Melas, A.D.; Joshi, A.; Manara, D.; Perujo, A.; Suarez-Bertoa, R. An Overview of Lean Exhaust DeNOx Aftertreatment Technologies and NOx Emission Regulations in the European Union. Catalysts 2021, 11, 404. [Google Scholar] [CrossRef]
- Kadijk, G.; van Mensch, P.; Spreen, J. Detailed Investigations and Real-World Emission Performance of Euro 6 Diesel Passenger Cars; TNO Report R10702; TNO: Delft, The Netherlands, 2015. [Google Scholar]
- Williams, R.; Pettinen, R.; Ziman, P.; Kar, K.; Dauphin, R. Fuel Effects on Regulated and Unregulated Emissions from Two Commercial Euro V and Euro VI Road Transport Vehicles. Sustainability 2021, 13, 7985. [Google Scholar] [CrossRef]
- Rößler, M.; Velji, A.; Janzer, C.; Koch, T.; Olzmann, M. Formation of Engine Internal NO 2: Measures to Control the NO 2 /NO X Ratio for Enhanced Exhaust After Treatment. SAE Int. J. Engines 2017, 10, 1880–1893. [Google Scholar] [CrossRef]
- Li, J.; Ge, Y.; Wang, H.; Yu, C.; Yan, X.; Hao, L.; Tan, J. Effects of Different Diesel Particulate Filter on Emission Characteristics of In-Use Diesel Vehicles. Energy Sources Part A Recovery Util. Environ. Eff. 2019, 41, 2989–3000. [Google Scholar] [CrossRef]
- Chiavola, O.; Chiatti, G.; Sirhan, N. Impact of Particulate Size during Deep Loading on DPF Management. Appl. Sci. 2019, 9, 3075. [Google Scholar] [CrossRef] [Green Version]
- Zhan, R.; Huang, Y.; Khair, M. Methodologies to Control DPF Uncontrolled Regenerations; No. 2006-01–1090; SAE International: Warrendale, PA, USA, 2006. [Google Scholar]
- Kontses, D.; Geivanidis, S.; Fragkiadoulakis, P.; Samaras, Z. Uncertainties in Model-Based Diesel Particulate Filter Diagnostics Using a Soot Sensor. Sensors 2019, 19, 3141. [Google Scholar] [CrossRef] [PubMed] [Green Version]
- Majewski, W.A. Emissions Tampering. Available online: https://dieselnet.com/tech/emissions_tampering.php (accessed on 10 April 2022).
- Braun, C.; Badshah, H.; Hosseini, V.; Jin, L.; Miller, J.; Rodriguez, F. Heavy-Duty Emissions Control Tampering in Canada; International Council Clean Transportation (ICCT) Report; ICCT: Washington, DC, USA, 2022. [Google Scholar]
- Barlow, T.; Müller, G.; Mäurer, H.-J.; Buekenhoudt, P.; Schulz, W.; Geis, I.; Multari, A.; Petelet, G. SET—Sustainable Emissions Test; CITA: Brussels, Belgium, 2015. [Google Scholar]
- Clairotte, M.; Suarez-Bertoa, R.; Zardini, A.A.; Giechaskiel, B.; Pavlovic, J.; Valverde, V.; Ciuffo, B.; Astorga, C. Exhaust Emission Factors of Greenhouse Gases (GHGs) from European Road Vehicles. Environ. Sci. Eur. 2020, 32, 125. [Google Scholar] [CrossRef]
- Zardini, A.A.; Suarez-Bertoa, R.; Dardiotis, C.; Astorga, C. Unregulated Pollutants from Tampered Two-Wheelers. Transp. Res. Procedia 2016, 14, 3109–3118. [Google Scholar] [CrossRef]
- Wang, J.M.; Jeong, C.-H.; Zimmerman, N.; Healy, R.M.; Wang, D.K.; Ke, F.; Evans, G.J. Plume-Based Analysis of Vehicle Fleet Air Pollutant Emissions and the Contribution from High Emitters. Atmos. Meas. Tech. 2015, 8, 3263–3275. [Google Scholar] [CrossRef] [Green Version]
- Zhou, L.; Hallquist, Å.M.; Hallquist, M.; Salvador, C.M.; Gaita, S.M.; Sjödin, Å.; Jerksjö, M.; Salberg, H.; Wängberg, I.; Mellqvist, J.; et al. A Transition of Atmospheric Emissions of Particles and Gases from On-Road Heavy-Duty Trucks. Atmos. Chem. Phys. 2020, 20, 1701–1722. [Google Scholar] [CrossRef] [Green Version]
- DIAS Diagnostic Anti-Tampering Systems. Available online: Https://Dias-Project.Com/ (accessed on 10 April 2022).
- Watts, R.; Ghosh, A.; Hinshelwood, J. Exploring the Potential for Electric Retrofit Regulations and an Accreditation Scheme for the UK. Electronics 2021, 10, 3110. [Google Scholar] [CrossRef]
- Giechaskiel, B.; Suarez-Bertoa, R.; Lähde, T.; Clairotte, M.; Carriero, M.; Bonnel, P.; Maggiore, M. Evaluation of NOx Emissions of a Retrofitted Euro 5 Passenger Car for the Horizon Prize “Engine Retrofit”. Environ. Res. 2018, 166, 298–309. [Google Scholar] [CrossRef]
- Giechaskiel, B.; Suarez-Bertoa, R.; Lahde, T.; Clairotte, M.; Carriero, M.; Bonnel, P.; Maggiore, M. Emissions of a Euro 6b Diesel Passenger Car Retrofitted with a Solid Ammonia Reduction System. Atmosphere 2019, 10, 180. [Google Scholar] [CrossRef] [Green Version]
- Giechaskiel, B.; Valverde, V.; Kontses, A.; Melas, A.; Martini, G.; Balazs, A.; Andersson, J.; Samaras, Z.; Dilara, P. Particle Number Emissions of a Euro 6d-Temp Gasoline Vehicle under Extreme Temperatures and Driving Conditions. Catalysts 2021, 11, 607. [Google Scholar] [CrossRef]
- Giechaskiel, B.; Casadei, S.; Mazzini, M.; Sammarco, M.; Montabone, G.; Tonelli, R.; Deana, M.; Costi, G.; Di Tanno, F.; Prati, M.; et al. Inter-Laboratory Correlation Exercise with Portable Emissions Measurement Systems (PEMS) on Chassis Dynamometers. Appl. Sci. 2018, 8, 2275. [Google Scholar] [CrossRef] [Green Version]
- Giechaskiel, B.; Casadei, S.; Rossi, T.; Forloni, F.; Di Domenico, A. Measurements of the Emissions of a “Golden” Vehicle at Seven Laboratories with Portable Emission Measurement Systems (PEMS). Sustainability 2021, 13, 8762. [Google Scholar] [CrossRef]
- Giechaskiel, B.; Bonnel, P.; Perujo, A.; Dilara, P. Solid Particle Number (SPN) Portable Emissions Measurement Systems (PEMS) in the European Legislation: A Review. Int. J. Environ. Res. Public Health 2019, 16, 4819. [Google Scholar] [CrossRef] [PubMed] [Green Version]
- Heepen, F.; Yu, W. SEMS for Individual Trip Reports and Long-Time Measurement; No. 2019-01–0752; SAE International: Warrendale, PA, USA, 2019. [Google Scholar]
- Yu, Y.S.; Jeong, J.W.; Chon, M.S.; Cha, J. NOx Emission of a Correlation between the PEMS and SEMS over Different Test Modes and Real Driving Emission. Energies 2021, 14, 7250. [Google Scholar] [CrossRef]
- Giechaskiel, B. Solid Particle Number Emission Factors of Euro VI Heavy-Duty Vehicles on the Road and in the Laboratory. Int. J. Environ. Res. Public Health 2018, 15, 304. [Google Scholar] [CrossRef] [Green Version]
- Giechaskiel, B.; Clairotte, M.; Valverde-Morales, V.; Bonnel, P.; Kregar, Z.; Franco, V.; Dilara, P. Framework for the Assessment of PEMS (Portable Emissions Measurement Systems) Uncertainty. Environ. Res. 2018, 166, 251–260. [Google Scholar] [CrossRef]
- Giechaskiel, B.; Gioria, R.; Carriero, M.; Lähde, T.; Forloni, F.; Perujo, A.; Martini, G.; Bissi, L.M.; Terenghi, R. Emission Factors of a Euro VI Heavy-Duty Diesel Refuse Collection Vehicle. Sustainability 2019, 11, 1067. [Google Scholar] [CrossRef] [Green Version]
- O’Driscoll, R.; Stettler, M.E.J.; Molden, N.; Oxley, T.; ApSimon, H.M. Real World CO2 and NOx Emissions from 149 Euro 5 and 6 Diesel, Gasoline and Hybrid Passenger Cars. Sci. Total Environ. 2018, 621, 282–290. [Google Scholar] [CrossRef]
- Su, S.; Ge, Y.; Zhang, Y. NOx Emission from Diesel Vehicle with SCR System Failure Characterized Using Portable Emissions Measurement Systems. Energies 2021, 14, 3989. [Google Scholar] [CrossRef]
- Pujadas, M.; Domínguez-Sáez, A.; De la Fuente, J. Real-Driving Emissions of Circulating Spanish Car Fleet in 2015 Using RSD Technology. Sci. Total Environ. 2017, 576, 193–209. [Google Scholar] [CrossRef]
- Huang, Y.; Organ, B.; Zhou, J.L.; Surawski, N.C.; Yam, Y.; Chan, E.F.C. Characterisation of Diesel Vehicle Emissions and Determination of Remote Sensing Cutpoints for Diesel High-Emitters. Environ. Pollut. 2019, 252, 31–38. [Google Scholar] [CrossRef] [PubMed]
- Hassani, A.; Safavi, S.R.; Hosseini, V. A Comparison of Light-Duty Vehicles’ High Emitters Fractions Obtained from an Emission Remote Sensing Campaign and Emission Inspection Program for Policy Recommendation. Environ. Pollut. 2021, 286, 117396. [Google Scholar] [CrossRef] [PubMed]
- Huertas, J.I.; Mogro, A.E.; Mendoza, A.; Huertas, M.E.; Ibarra, R. Assessment of the Reduction in Vehicles Emissions by Implementing Inspection and Maintenance Programs. Int. J. Environ. Res. Public Health 2020, 17, 4730. [Google Scholar] [CrossRef]
- Buekenhoudt, P.; Müller, G.; Mäurer, H.-J.; González, A.S.; Stephenson, J.; Multari, A.; Petelet, G.; Schulz, W. CITA SET II Project: Sustainable Emission Test for Diesel Vehicles Involving NOx Measurements; CITA: Brussels, Belgium, 2019. [Google Scholar]
- Jarosiński, W.; Wiśniowski, P. Verifying the Efficiency of a Diesel Particulate Filter Using Particle Counters with Two Different Measurements in Periodic Technical Inspection of Vehicles. Energies 2021, 14, 5128. [Google Scholar] [CrossRef]
- Melas, A.; Selleri, T.; Suarez-Bertoa, R.; Giechaskiel, B. Evaluation of Solid Particle Number Sensors for Periodic Technical Inspection of Passenger Cars. Sensors 2021, 21, 8325. [Google Scholar] [CrossRef]
- Manipulation on EURO IV, EURO V and EURO VI Trucks by Suppression of AdBlue Injection. In Proceedings of the 76th GRPE, Geneva, Switzerland, 9–12 January 2018. GRPE-76-08.
- Geivanidis, S.; Samaras, Z.; Willimowski, M.; Faye, I.; Urrehman, O.; Schernus, C.; Vermeulen, R. Next Generation of Vehicle Diagnostics Based on Advanced On-Board Monitoring and Cloud-Based Diagnostics. In Proceedings of the 8th Transport Research Arena TRA 2020, Helsinki, Finland, 27–30 April 2020. [Google Scholar]
- Ran, Q.; Song, Y.; Du, W.; Du, W.; Peng, X. Fault Detection of Diesel Engine Air and After-Treatment Systems with High-Dimensional Data: A Novel Fault-Relevant Feature Selection Method. Processes 2021, 9, 259. [Google Scholar] [CrossRef]
- Roman, A.-S.; Genge, B.; Duka, A.-V.; Haller, P. Privacy-Preserving Tampering Detection in Automotive Systems. Electronics 2021, 10, 3161. [Google Scholar] [CrossRef]
- Chen, T.; Li, X. (Semi-)Automatically Parsing Private Protocols for In-Vehicle ECU Communications. Entropy 2021, 23, 1495. [Google Scholar] [CrossRef]
- Haller, P.; Genge, B.; Forloni, F.; Baldini, G.; Carriero, M.; Fontaras, G. VetaDetect: Vehicle Tampering Detection with Closed-Loop Model Ensemble. Int. J. Crit. Infrastruct. Prot. 2022, 37, 100525. [Google Scholar] [CrossRef]
- Ki, J.; Schildt, S.; Hastall, A.; Jeroschewski, S.E.; Hoettger, R. Eclipse KUKSA. Val for SCR Anti-Tampering Monitoring in Heavy Vehicles. In Proceedings of the 2nd Eclipse Research International Conference on Security, Artificial Intelligence, Architecture and Modelling for Next Generation Mobility, Virtual, 15–16 June 2021. [Google Scholar]
- Hooftman, N. Tampering; TNO: The Hague, The Netherlands, 2019. [Google Scholar]








| Trip Characteristics | Original | Tampered |
|---|---|---|
| Ambient temperature (°C) | 25 | 22 |
| Coolant temperature (°C) | 92 | 84 |
| Mean speeds U/R/M (km/h) | 26.1/80.0/99.1 | 30.3/76.0/106.6 |
| Distances U/R/M (km) | 22.6/26.0/25.3 | 23.1/26.0/25.0 |
| Parameter | Short Cycle | ISC Cold Start | ISC Urban | ISC Rural | ISC Motorway |
|---|---|---|---|---|---|
| Distance | 18.1 ± 0.1 | 5.0 ± 0.6 | 13.1 ± 0.6 | 18.3 ± 0.6 | 52.7 ± 0.2 |
| Mean speed | 34.4 ± 1.4 | 20.1 ± 2.6 | 20.0 ± 3.2 | 38.0 ± 7.6 | 72.3 ± 7.0 |
| kWh/km | 1.83 or 1.67 1 | 2.46 ± 0.16 | 2.12 ± 0.05 | 2.04 ± 0.20 | 1.09 ± 0.10 |
| Emissions | Original | Tampered | Difference |
|---|---|---|---|
| Urban CO2 (g/km) | 128.5 | 122.6 | −4.6% |
| Rural CO2 (g/km) | 113.5 | 114.7 | 1.1% |
| Motorway CO2 (g/km) | 154.4 | 148.2 | −4.0% |
| Urban NOx (mg/km) | 127.4 | 234.1 | 84% |
| Rural NOx (mg/km) | 133.1 | 291.0 | 119% |
| Motorway NOx (mg/km) | 771.4 | 912.4 | 18% |
| Category | Description | Target | Approach | CO2 | NOx |
|---|---|---|---|---|---|
| LD (Euro 6d-Temp) | Passenger car | EGR | ECU flashing 1 | 3–9% | 1.1–1.5 g/km |
| SCR (DEF) | ECU flashing | 3–9% | 0.9–1.2 g/km | ||
| SCR + DPF | ECU flashing | 8–15% 2 | 1.1–1.5 g/km | ||
| LD (Euro 6b) | Passenger car | EGR + SCR | ECU flashing 3 | <5% | 0.2–0.9 g/km |
| HD (Euro VI D) | N2 truck | SCR (DEF) | DEF emulator | no impact | 1.0–1.7 g/kWh |
| HD (Euro VI C) | N3 truck | NOx sensor | NOx emulator | 2–11% | No impact 4 |
| SCR + DPF | SCR emulator | 2–11% | 5–6 g/kWh | ||
| NRMM (Stage IV) | Agrigultural tractor | SCR | DEF emulator | no impact | 4.8 g/kWh |
| Power | ECU flashing | +15% power | n/a |
Publisher’s Note: MDPI stays neutral with regard to jurisdictional claims in published maps and institutional affiliations. |
© 2022 by the authors. Licensee MDPI, Basel, Switzerland. This article is an open access article distributed under the terms and conditions of the Creative Commons Attribution (CC BY) license (https://creativecommons.org/licenses/by/4.0/).
Share and Cite
Giechaskiel, B.; Forloni, F.; Carriero, M.; Baldini, G.; Castellano, P.; Vermeulen, R.; Kontses, D.; Fragkiadoulakis, P.; Samaras, Z.; Fontaras, G. Effect of Tampering on On-Road and Off-Road Diesel Vehicle Emissions. Sustainability 2022, 14, 6065. https://doi.org/10.3390/su14106065
Giechaskiel B, Forloni F, Carriero M, Baldini G, Castellano P, Vermeulen R, Kontses D, Fragkiadoulakis P, Samaras Z, Fontaras G. Effect of Tampering on On-Road and Off-Road Diesel Vehicle Emissions. Sustainability. 2022; 14(10):6065. https://doi.org/10.3390/su14106065
Chicago/Turabian StyleGiechaskiel, Barouch, Fabrizio Forloni, Massimo Carriero, Gianmarco Baldini, Paolo Castellano, Robin Vermeulen, Dimitrios Kontses, Pavlos Fragkiadoulakis, Zissis Samaras, and Georgios Fontaras. 2022. "Effect of Tampering on On-Road and Off-Road Diesel Vehicle Emissions" Sustainability 14, no. 10: 6065. https://doi.org/10.3390/su14106065
APA StyleGiechaskiel, B., Forloni, F., Carriero, M., Baldini, G., Castellano, P., Vermeulen, R., Kontses, D., Fragkiadoulakis, P., Samaras, Z., & Fontaras, G. (2022). Effect of Tampering on On-Road and Off-Road Diesel Vehicle Emissions. Sustainability, 14(10), 6065. https://doi.org/10.3390/su14106065

