Elucidating the Effects of a Cryptomeria fortunei Forest Environment on Overall Health Based on Open Field Testing of Mice
Abstract
:1. Introduction
2. Materials and Methods
2.1. Experimental Animals
2.2. Simulation Box
2.3. Study Area and Sites
2.4. Methods
2.5. Statistical Analysis
3. Results
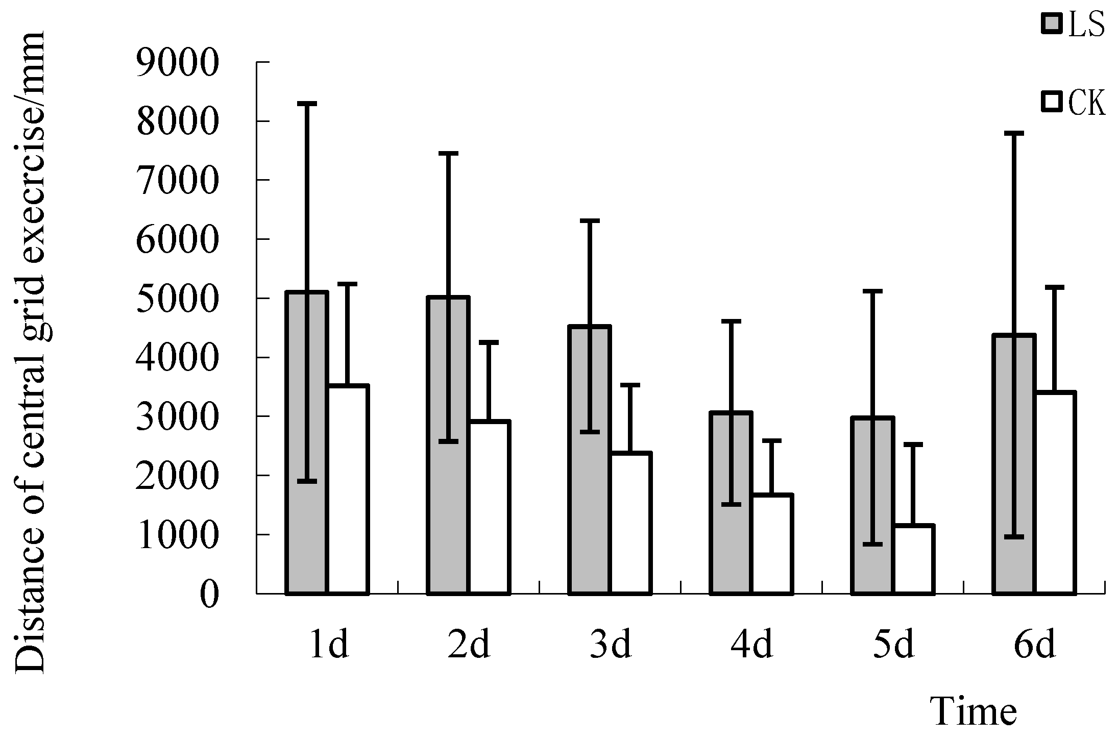
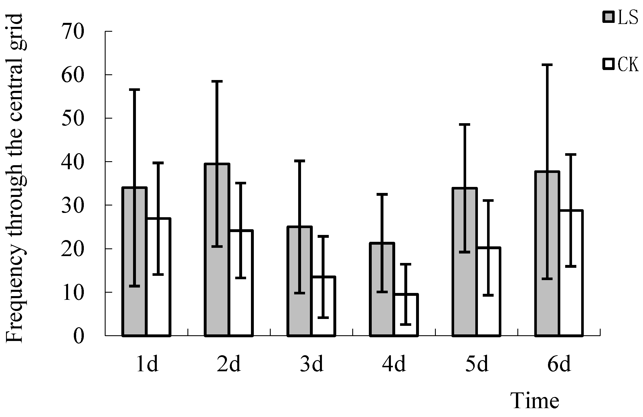
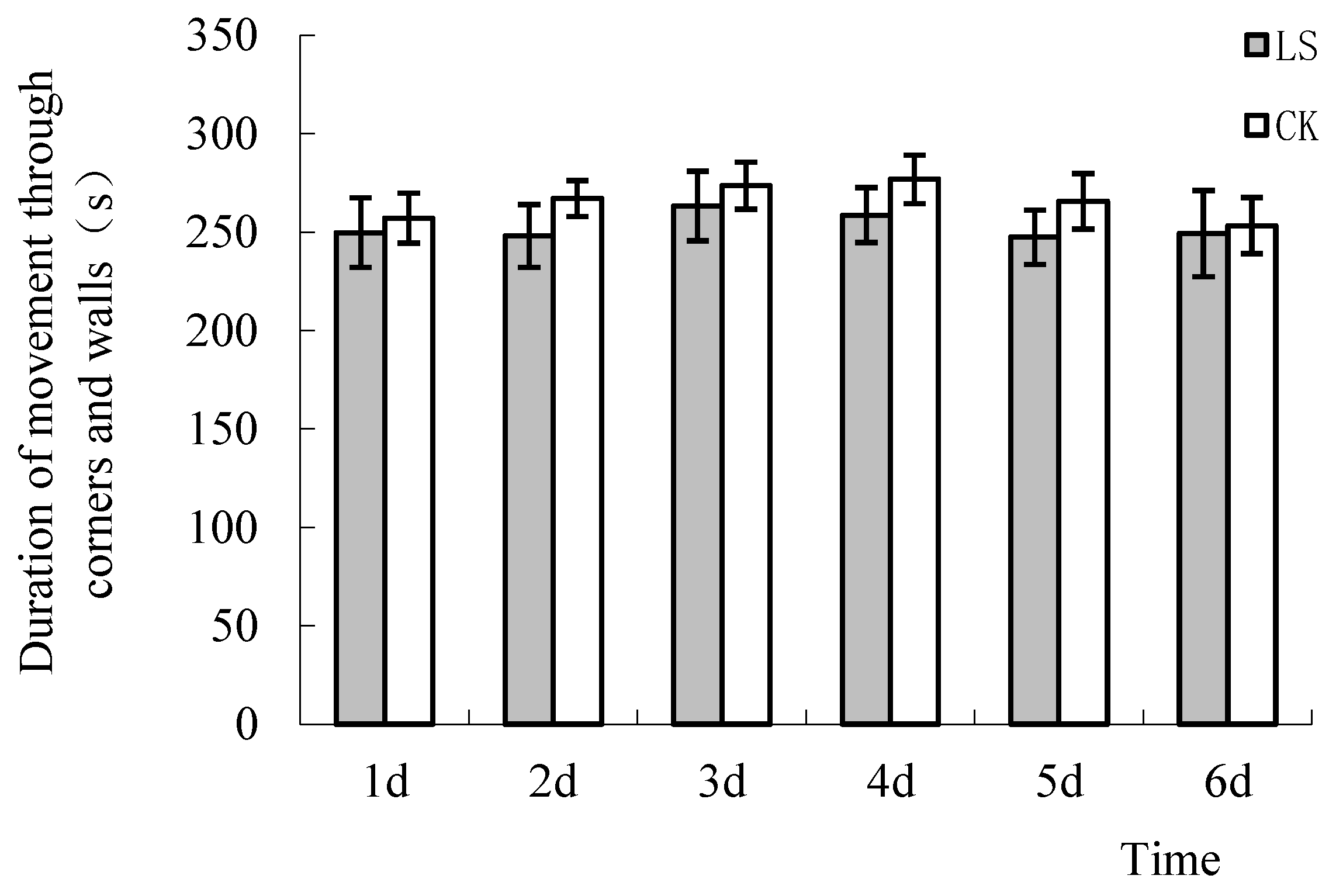
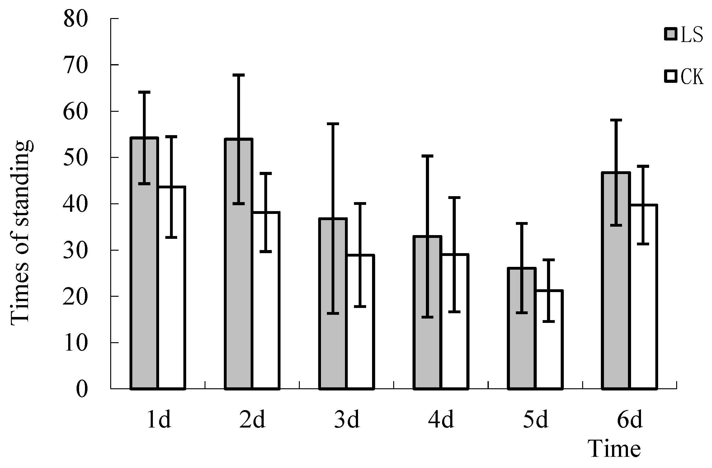
3.1. Analysis of Spontaneous Behavioral Indicators
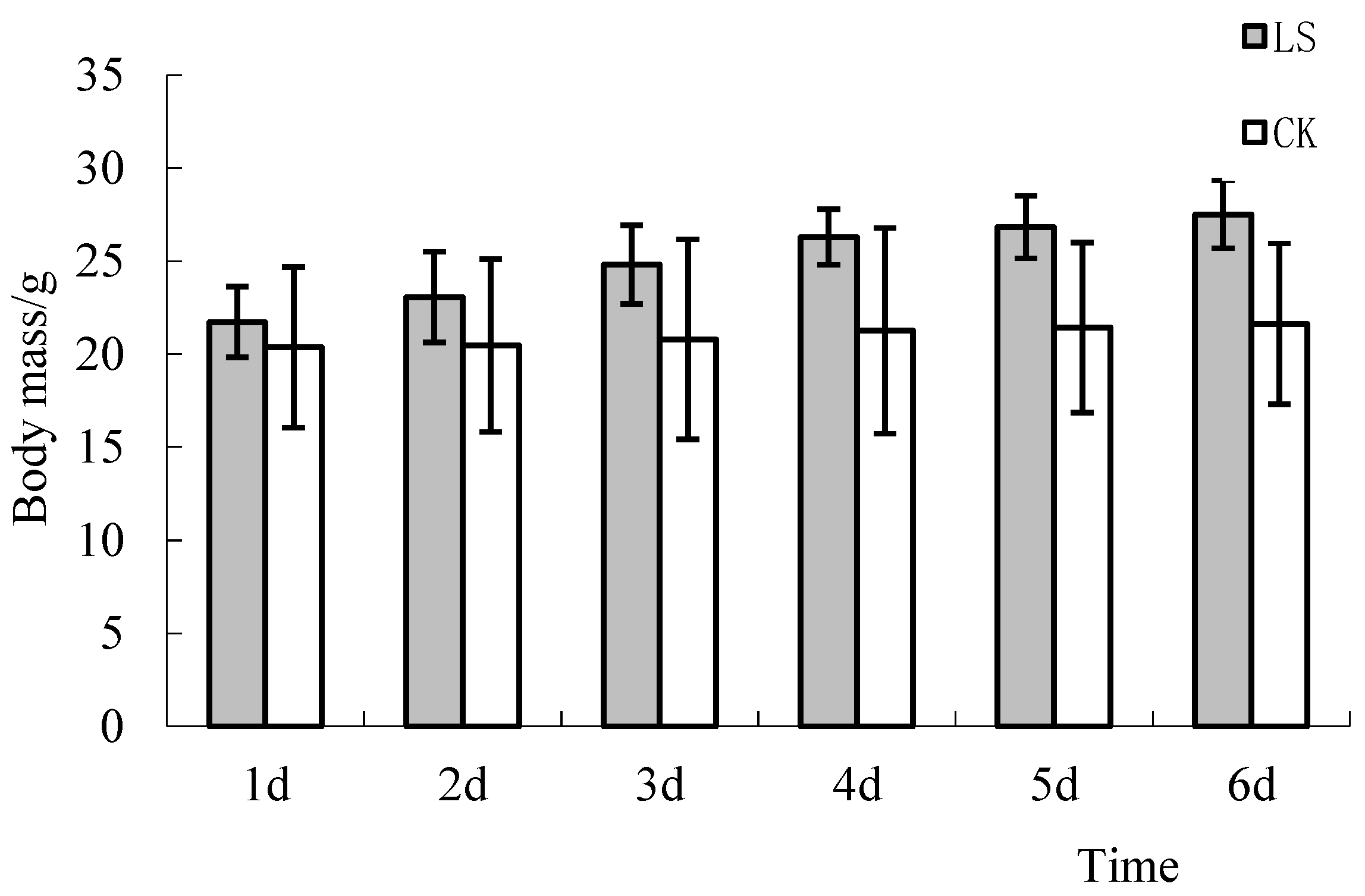
3.2. Analysis of Changes in Body Mass
3.3. Analysis of the Fecal Grains
3.4. Typical Trajectories
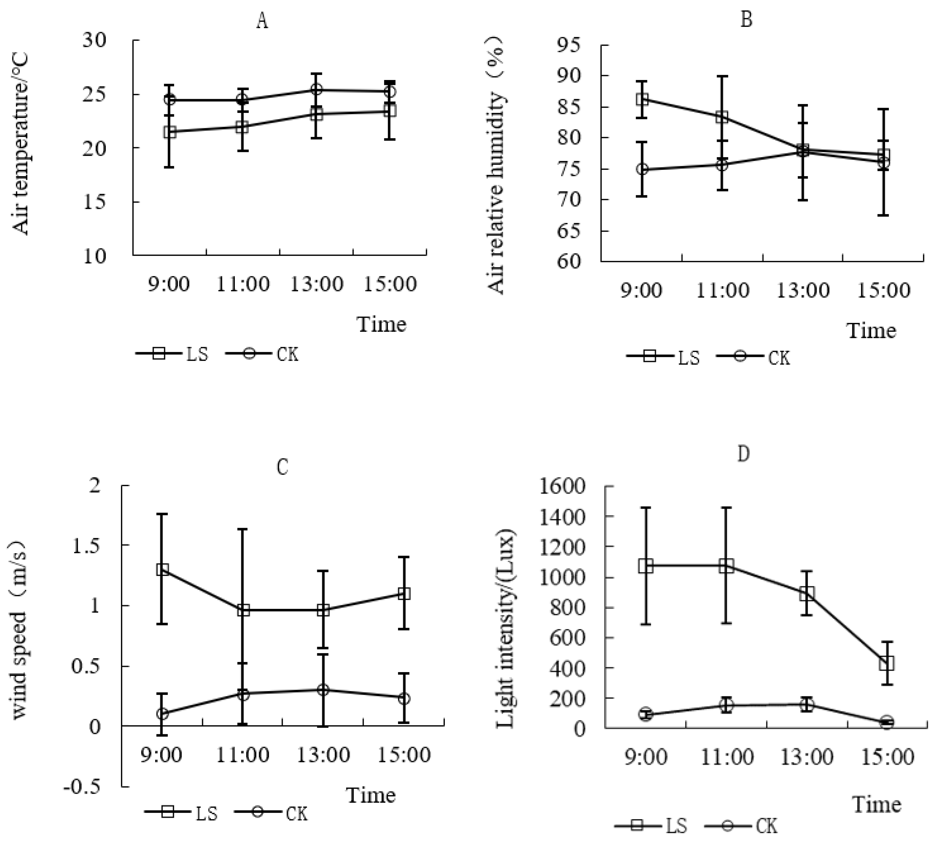
3.5. Difference Analysis of the Environment
4. Discussion
5. Conclusions
Author Contributions
Funding
Institutional Review Board Statement
Informed Consent Statement
Data Availability Statement
Acknowledgments
Conflicts of Interest
References
- Abel, J.L.; Rissman, E.F. Running-Induced Epigenetic and Gene Expression Changes in the Adolescent Brain. Int. J. Dev. Neurosci. 2013, 31, 382–390. [Google Scholar] [CrossRef] [PubMed] [Green Version]
- Ferrari, A.J.; Charlson, F.J.; Norman, R.E.; Flaxman, A.D.; Patten, S.B.; Vos, T.; Whiteford, H.A. The Epidemiological Modelling of Major Depressive Disorder: Application for the Global Burden of Disease Study 2010. PLoS ONE 2013, 8, e69637. [Google Scholar] [CrossRef] [Green Version]
- Ohira, H.; Takagi, S.; Masui, K.; Oishi, M. Effects on Shinrin-Yoku (Forest-Air Bathing and Walking) on Mental and Physical Health. Bull. Tokai Women Univ. 1999, 19, 217–232. [Google Scholar]
- Song, X.; Li, H.; Li, C.; Xu, J.; Hu, D. Effects of VOCs from Leaves of Acer Truncatum Bunge and Cedrus Deodara on Human Physiology and Psychology. Urban For. Urban Green. 2016, 19, 29–34. [Google Scholar] [CrossRef]
- Mao, G.X.; Lan, X.G.; Cao, Y.B.; Chen, Z.M.; He, Z.H.; Lv, Y.D.; Wang, Y.Z.; Hu, X.L.; Wang, G.F.; Yan, J. Effects of Short-Term Forest Bathing on Human Health in a Broad-Leaved Evergreen Forest in Zhejiang Province, China. Biomed. Environ. Sci. 2012, 25, 317–324. [Google Scholar] [PubMed]
- James, P.; Banay, R.F.; Hart, J.E.; Laden, F. A Review of the Health Benefits of Greenness. Curr. Epidemiol. Rep. 2015, 2, 131–142. [Google Scholar] [CrossRef] [PubMed] [Green Version]
- Ellaway, A.; Macintyre, S.; Bonnefoy, X. Graffiti, Greenery, and Obesity in Adults: Secondary Analysis of European Cross Sectional Survey. BMJ 2005, 331, 611–612. [Google Scholar] [CrossRef] [PubMed] [Green Version]
- Lachowycz, K.; Jones, A.P. Greenspace and Obesity: A Systematic Review of the Evidence. Obes. Rev. 2011, 12, e183–e189. [Google Scholar] [CrossRef]
- Escobedo, F.J.; Kroeger, T.; Wagner, J.E. Urban Forests and Pollution Mitigation: Analyzing Ecosystem Services and Disservices. Environ. Pollut. 2011, 159, 2078–2087. [Google Scholar] [CrossRef]
- Tsunetsugu, Y.; Park, B.-J.; Ishii, H.; Hirano, H.; Kagawa, T.; Miyazaki, Y. Physiological Effects of Shinrin-Yoku (Taking in the Atmosphere of the Forest) in an Old-Growth Broadleaf Forest in Yamagata Prefecture, Japan. J. Physiol. Anthropol. 2007, 26, 135–142. [Google Scholar] [CrossRef] [Green Version]
- Park, B.J.; Tsunetsugu, Y.; Kasetani, T.; Kagawa, T.; Miyazaki, Y. The Physiological Effects of Shinrin-Yoku (Taking in the Forest Atmosphere or Forest Bathing): Evidence from Field Experiments in 24 Forests across Japan. Environ. Health Prev. Med. 2010, 15, 18–26. [Google Scholar] [CrossRef] [PubMed] [Green Version]
- Sung, J.; Woo, J.-M.; Kim, W.; Lim, S.-K.; Chung, E.-J. The Effect of Cognitive Behavior Therapy-Based “Forest Therapy” Program on Blood Pressure, Salivary Cortisol Level, and Quality of Life in Elderly Hypertensive Patients. Clin. Exp. Hypertens. 2012, 34, 1–7. [Google Scholar] [CrossRef]
- Lee, J.; Park, B.-J.; Tsunetsugu, Y.; Ohira, T.; Kagawa, T.; Miyazaki, Y. Effect of Forest Bathing on Physiological and Psychological Responses in Young Japanese Male Subjects. Public Health 2011, 125, 93–100. [Google Scholar] [CrossRef]
- Li, Q.; Morimoto, K.; Kobayashi, M.; Inagaki, H.; Katsumata, M.; Hirata, Y.; Hirata, K.; Shimizu, T.; Li, Y.J.; Wakayama, Y.; et al. A Forest Bathing Trip Increases Human Natural Killer Activity and Expression of Anti-Cancer Proteins in Female Subjects. J. Biol. Regul. Homeost. Agents 2008, 22, 45–55. [Google Scholar]
- Li, Q. Forest Medicine; Nova Science Publishers: New York, NY, USA, 2013. [Google Scholar]
- Rana, T.; Behl, T.; Mehta, V.; Uddin, M.S.; Bungau, S. Molecular Insights into the Therapeutic Promise of Targeting HMGB1 in Depression. Pharmacol. Rep. 2021, 73, 31–42. [Google Scholar] [CrossRef] [PubMed]
- Wang, J.; Liu, J.; Huang, Y. The Origin and Natural Distribution of Cryptomeria. J. Sichuan For. Sci. Technol. 2007, 28, 92–94. [Google Scholar]
- Jiang, X.; Huang, L.; Jiang, C.; Chen, B. The New Model of Density of Cryptomeria Fortunei Plantation. J. Fujian Coll. For. 2005, 25, 193–196. [Google Scholar] [CrossRef]
- Xia, A.; Da, L.; Zhu, H.; Zhao, M. Community Structure and Regeneration Pattern of Cryptomeria Fortunei in Mount Tianmu of Zhejiang, China. J. Zhejiang For. Coll. 2004, 44–50. [Google Scholar]
- Wang, S.-Y.; Lai, W.-C.; Chu, F.-H.; Lin, C.-T.; Shen, S.-Y.; Chang, S.-T. Essential Oil from the Leaves of Cryptomeria Japonica Acts as a Silverfish (Lepisma Saccharina) Repellent and Insecticide. J. Wood Sci. 2006, 52, 522–526. [Google Scholar] [CrossRef]
- Cheng, S.-S.; Chang, H.-T.; Wu, C.-L.; Chang, S.-T. Anti-Termitic Activities of Essential Oils from Coniferous Trees against Coptotermes Formosanus. Bioresour. Technol. 2007, 98, 456–459. [Google Scholar] [CrossRef]
- Cheng, S.-S.; Chang, H.-T.; Chang, S.-T.; Tsai, K.-H.; Chen, W.-J. Bioactivity of Selected Plant Essential Oils against the Yellow Fever Mosquito Aedes Aegypti Larvae. Bioresour. Technol. 2003, 89, 99–102. [Google Scholar] [CrossRef]
- Cheng, S.-S.; Lin, H.-Y.; Chang, S.-T. Chemical Composition and Antifungal Activity of Essential Oils from Different Tissues of Japanese Cedar (Cryptomeria Japonica). J. Agric. Food Chem. 2005, 53, 614–619. [Google Scholar] [CrossRef]
- Lister, R.G. Ethologically-Based Animal Models of Anxiety Disorders. Pharmacol. Ther. 1990, 46, 321–340. [Google Scholar] [CrossRef]
- Polissidis, A.; Zelelak, S.; Nikita, M.; Alexakos, P.; Stasinopoulou, M.; Kakazanis, Z.-I.; Kostomitsopoulos, N. Assessing the Exploratory and Anxiety-Related Behaviors of Mice. Do Different Caging Systems Affect the Outcome of Behavioral Tests? Physiol. Behav. 2017, 177, 68–73. [Google Scholar] [CrossRef]
- Thippeswamy, B.S.; Mishra, B.; Veerapur, V.P.; Gupta, G. Anxiolytic Activity of Nymphaea Alba Linn. in Mice as Experimental Models of Anxiety. Indian J. Pharmacol. 2011, 43, 50–55. [Google Scholar] [CrossRef] [Green Version]
- Brenes, J.C.; Padilla, M.; Fornaguera, J. A Detailed Analysis of Open-Field Habituation and Behavioral and Neurochemical Antidepressant-like Effects in Postweaning Enriched Rats. Behav. Brain Res. 2009, 197, 125–137. [Google Scholar] [CrossRef] [PubMed]
- Arakawa, H.; Iguchi, Y. Ethological and Multi-Behavioral Analysis of Learning and Memory Performance in Laboratory Rodent Models. Neurosci. Res. 2018, 135, 1–12. [Google Scholar] [CrossRef] [PubMed]
- Blanchard, R.J. Animal Welfare Beyond the Cage … and Beyond the Evidence? J. Appl. Anim. Welf. Sci. 2010, 13, 89–95. [Google Scholar] [CrossRef] [PubMed]
- Mao, G.-X.; Cao, Y.-B.; Lan, X.-G.; He, Z.-H.; Chen, Z.-M.; Wang, Y.-Z.; Hu, X.-L.; Lv, Y.-D.; Wang, G.-F.; Yan, J. Therapeutic Effect of Forest Bathing on Human Hypertension in the Elderly. J. Cardiol. 2012, 60, 495–502. [Google Scholar] [CrossRef] [Green Version]
- Li, Q.; Morimoto, K.; Kobayashi, M.; Inagaki, H.; Katsumata, M.; Hirata, Y.; Hirata, K.; Suzuki, H.; Li, Y.J.; Wakayama, Y.; et al. Visiting a Forest, but Not a City, Increases Human Natural Killer Activity and Expression of Anti-Cancer Proteins. Int. J. Immunopathol. Pharmacol. 2008, 21, 117–127. [Google Scholar] [CrossRef] [PubMed]
- Li, Q.; Kawada, T. Effect of forest therapy on the human psycho-neuro-endocrino-immune network. Nihon Eiseigaku Zassh. Jpn. J. Hyg. 2011, 66, 645–650. [Google Scholar] [CrossRef] [Green Version]
- Li, H.; Li, K.; Liu, H.; Jing, T.; Song, X.; Xue, L.; Li, C.; Shen, W. The Effect of VOCs from the Branches and Leaves of Pistacia Chinensis Bunge and Juniperus Chinensis Cv. Kaizuka on Mouse Behavior. BioResources 2016, 11, 10226–10239. [Google Scholar] [CrossRef] [Green Version]
- Wang, Y.; Wang, C.; Qie, G.; Dung, J.; Jiang, J. Effect of VOCs from Branch and Leaf of Cinnamomum Camphora on Spontaneous of Mice. Ecol. Environ. Sci. 2012, 21, 1423–1428. [Google Scholar]
- Wang, Y.; Wang, C.; Qie, G.; Dung, J.; Jiang, J. Effect of VOCs from Branch and Leaf of Platycladus Orientalis on Locomotor Activity in Mice. Sci. Sil. Sin. 2011, 47, 97–100. [Google Scholar]
- Hart, P.C.; Bergner, C.L.; Smolinsky, A.N.; Dufour, B.D.; Egan, R.J.; LaPorte, J.L.; Kalueff, A.V. Experimental Models of Anxiety for Drug Discovery and Brain Research. In Mouse Models for Drug Discovery: Methods and Protocols; Proetzel, G., Wiles, M.V., Eds.; Methods in Molecular Biology; Humana Press: Totowa, NJ, USA, 2010. [Google Scholar]
- Carey, R.; Damianopoulos, E.; De Palma, G. 8-OH DPAT Can Restore the Locomotor Stimulant Effects of Cocaine Blocked by Haloperidol. Pharmacol. Biochem. Behav. 2000, 66, 863–872. [Google Scholar] [CrossRef]
- Sun, Q.; Wang, J.; Lu, Y.; Su, M.; Shi, X.; Wang, H. Effects of Righting Cream on Locomotor Activity of Mice. Lishizhen Med. Mater. Med. Res. 2012, 23, 2340–2342. [Google Scholar]
- Uzbay, I.T.; Coskun, I.; Kayir, H.; Ozturk, N.; Ozturk, Y. Extract of Hypericum Perforatum Blocks Caffeine-Induced Locomotor Activity in Mice: A Possible Role of Nitric Oxide. Phytother. Res. 2007, 21, 415–419. [Google Scholar] [CrossRef]
- Walz, K.; Spencer, C.; Kaasik, K.; Lee, C.C.; Lupski, J.R.; Paylor, R. Behavioral Characterization of Mouse Models for Smith–Magenis Syndrome and Dup(17)(P11.2p11.2). Hum. Mol. Genet. 2004, 13, 367–378. [Google Scholar] [CrossRef] [PubMed] [Green Version]
- Treit, D.; Fundytus, M. Thigmotaxis as a Test for Anxiolytic Activity in Rats. Pharmacol. Biochem. Behav. 1988, 31, 959–962. [Google Scholar] [CrossRef]
- Crawley, J.N. Behavioral Phenotyping of Transgenic and Knockout Mice: Experimental Design and Evaluation of General Health, Sensory Functions, Motor Abilities, and Specific Behavioral Tests1Published on the World Wide Web on 2 December 1998.1. Brain Res. 1999, 835, 18–26. [Google Scholar] [CrossRef]
- Choleris, E.; Thomas, A.W.; Kavaliers, M.; Prato, F.S. A Detailed Ethological Analysis of the Mouse Open Field Test: Effects of Diazepam, Chlordiazepoxide and an Extremely Low Frequency Pulsed Magnetic Field. Neurosci. Biobehav. Rev. 2001, 25, 235–260. [Google Scholar] [CrossRef]
- Xiaoli, Q.; Wenjuan, L. Methods and Strategies of Anxiety and Depression Animal Models Study. Adv. Psychol. Sci. 2005, 13, 327. [Google Scholar]
- Chen, G.-H.; Wang, C.; Yangcheng, H.-Y.; Liu, R.-Y.; Zhou, J.-N. Age-Related Changes in Anxiety Are Task-Specific in the Senescence-Accelerated Prone Mouse 8. Physiol. Behav. 2007, 91, 644–651. [Google Scholar] [CrossRef] [PubMed]
- Wang, Y.; Chao, Y.; Wei, E. A New Model for Evaluating Locomotor Activity and Central Depressive Drugs in Different Strain Mice. Bull. Sci. Technol. 2003, 19, 292–296. [Google Scholar]
- Belzung, C. Measuring Rodent Exploratory Behavior. In Handbook of Molecular-Genetic Techniques for Brain and Behavior Research (Techniques in the Behavioral and Neural Sciences); Crusio, W.E., Gerlai, R.T., Eds.; Elsevier: Amsterdam, The Netherlands, 1999. [Google Scholar]
- Russell, P.A. Relationships between Exploratory Behaviour and Fear: A Review. Br. J. Med. Psychol. 1973, 64, 417–433. [Google Scholar] [CrossRef]
- Hassan, A.; Tao, J.; Li, G.; Jiang, M.; Aii, L.; Zhihui, J.; Zongfang, L.; Qibing, C. Effects of Walking in Bamboo Forest and City Environments on Brainwave Activity in Young Adults. Evid.-Based Complement. Altern. Med. 2018, 2018, e9653857. [Google Scholar] [CrossRef]
- Bratman, G.N.; Daily, G.C.; Levy, B.J.; Gross, J.J. The Benefits of Nature Experience: Improved Affect and Cognition. Landsc. Urban Plan. 2015, 138, 41–50. [Google Scholar] [CrossRef]
- Wolf, K.L.; Lam, S.T.; McKeen, J.K.; Richardson, G.R.A.; van den Bosch, M.; Bardekjian, A.C. Urban Trees and Human Health: A Scoping Review. Int. J. Environ. Res. Public Health 2020, 17, 4371. [Google Scholar] [CrossRef] [PubMed]
- Djernis, D.; Lerstrup, I.; Poulsen, D.; Stigsdotter, U.; Dahlgaard, J.; O’Toole, M. A Systematic Review and Meta-Analysis of Nature-Based Mindfulness: Effects of Moving Mindfulness Training into an Outdoor Natural Setting. Int. J. Environ. Res. Public Health 2019, 16, 3202. [Google Scholar] [CrossRef] [Green Version]
- Kotera, Y.; Richardson, M.; Sheffield, D. Effects of Shinrin-Yoku (Forest Bathing) and Nature Therapy on Mental Health: A Systematic Review and Meta-Analysis. Int. J. Ment. Health Addict. 2020, 1–25. [Google Scholar] [CrossRef]
- Kaplan, S. The Restorative Benefits of Nature: Toward an Integrative Framework. J. Environ. Psychol. 1995, 15, 169–182. [Google Scholar] [CrossRef]
- Lee, I.; Choi, H.; Bang, K.-S.; Kim, S.; Song, M.; Lee, B. Effects of Forest Therapy on Depressive Symptoms among Adults: A Systematic Review. Int. J. Environ. Res. Public Health 2017, 14, 321. [Google Scholar] [CrossRef]
- Rajoo, K.S.; Karam, D.S.; Abdullah, M.Z. The Physiological and Psychosocial Effects of Forest Therapy: A Systematic Review. Urban For. Urban Green. 2020, 54, 126744. [Google Scholar] [CrossRef]
- Yu, C.-P.; Hsieh, H. Beyond Restorative Benefits: Evaluating the Effect of Forest Therapy on Creativity. Urban For. Urban Green. 2020, 51, 126670. [Google Scholar] [CrossRef]
- Wen, Y.; Yan, Q.; Pan, Y.; Gu, X.; Liu, Y. Medical Empirical Research on Forest Bathing (Shinrin-Yoku): A Systematic Review. Environ. Health Prev. Med. 2019, 24, 70. [Google Scholar] [CrossRef] [PubMed] [Green Version]
- Mao, G.X.; Cao, Y.B.; Yang, Y.; Chen, Z.M.; Dong, J.H.; Chen, S.S.; Wu, Q.; Lyu, X.L.; Jia, B.B.; Yan, J.; et al. Additive Benefits of Twice Forest Bathing Trips in Elderly Patients with Chronic Heart Failure. Biomed. Environ. Sci. 2018, 31, 159–162. [Google Scholar]
- Wang, Y.; Wang, C.; Qie, G.; Dong, J.; Jiang, J. Comparative Analysis on Effects of VOCs from Branches and Leaves of Four Conifer Species on Locomotor Activity of Mice. Sci. Silvae Sin. 2013, 49, 188–193. [Google Scholar]
- Cipriani, A.; Furukawa, T.A.; Salanti, G.; Chaimani, A.; Atkinson, L.Z.; Ogawa, Y.; Leucht, S.; Ruhe, H.G.; Turner, E.H.; Higgins, J.P.T.; et al. Comparative Efficacy and Acceptability of 21 Antidepressant Drugs for the Acute Treatment of Adults With Major Depressive Disorder: A Systematic Review and Network Meta-Analysis. FOC 2018, 16, 420–429. [Google Scholar] [CrossRef]
- Fried, E.I. The 52 Symptoms of Major Depression: Lack of Content Overlap among Seven Common Depression Scales. J. Affect. Disord. 2017, 208, 191–197. [Google Scholar] [CrossRef]
- van de Leemput, I.A.; Wichers, M.; Cramer, A.O.J.; Borsboom, D.; Tuerlinckx, F.; Kuppens, P.; van Nes, E.H.; Viechtbauer, W.; Giltay, E.J.; Aggen, S.H.; et al. Critical Slowing down as Early Warning for the Onset and Termination of Depression. Proc. Natl. Acad. Sci. USA 2014, 111, 87–92. [Google Scholar] [CrossRef] [PubMed] [Green Version]
- Rana, T.; Behl, T.; Sehgal, A.; Mehta, V.; Singh, S.; Sharma, N.; Bungau, S. Elucidating the Possible Role of FoxO in Depression. Neurochem. Res. 2021, 46, 2761–2775. [Google Scholar] [CrossRef] [PubMed]
- Rana, T.; Behl, T.; Sehgal, A.; Mehta, V.; Singh, S.; Kumar, R.; Bungau, S. Integrating Endocannabinoid Signalling In Depression. J. Mol. Neurosci. 2021, 71, 2022–2034. [Google Scholar] [CrossRef] [PubMed]
- Rana, T.; Behl, T.; Sehgal, A.; Srivastava, P.; Bungau, S. Unfolding the Role of BDNF as a Biomarker for Treatment of Depression. J. Mol. Neurosci. 2021, 71, 2008–2021. [Google Scholar] [CrossRef] [PubMed]
- Dindelegan, C.M.; Faur, D.; Purza, L.; Bumbu, A.; Sabau, M. Distress in Neurocognitive Disorders Due to Alzheimer’s Disease and Stroke. Exp. Ther. Med. 2020, 20, 2501–2509. [Google Scholar] [CrossRef]
- Miller, A.H.; Raison, C.L. The Role of Inflammation in Depression: From Evolutionary Imperative to Modern Treatment Target. Nat. Rev. Immunol. 2016, 16, 22–34. [Google Scholar] [CrossRef] [Green Version]
- Dantzer, R. Depression and Inflammation: An Intricate Relationship. Biol. Psychiatry 2012, 71, 4–5. [Google Scholar] [CrossRef]
- Cuijpers, P. The Challenges of Improving Treatments for Depression. JAMA 2018, 320, 2529–2530. [Google Scholar] [CrossRef]
- Carvalho, A.F.; Sharma, M.S.; Brunoni, A.R.; Vieta, E.; Fava, G.A. The Safety, Tolerability and Risks Associated with the Use of Newer Generation Antidepressant Drugs: A Critical Review of the Literature. Psychother. Psychosom. 2016, 85, 270–288. [Google Scholar] [CrossRef]













Publisher’s Note: MDPI stays neutral with regard to jurisdictional claims in published maps and institutional affiliations. |
© 2021 by the authors. Licensee MDPI, Basel, Switzerland. This article is an open access article distributed under the terms and conditions of the Creative Commons Attribution (CC BY) license (https://creativecommons.org/licenses/by/4.0/).
Share and Cite
Wang, Y.; Li, Y.; Ji, Z.; Han, F.; Yang, D.; Lv, C. Elucidating the Effects of a Cryptomeria fortunei Forest Environment on Overall Health Based on Open Field Testing of Mice. Sustainability 2022, 14, 59. https://doi.org/10.3390/su14010059
Wang Y, Li Y, Ji Z, Han F, Yang D, Lv C. Elucidating the Effects of a Cryptomeria fortunei Forest Environment on Overall Health Based on Open Field Testing of Mice. Sustainability. 2022; 14(1):59. https://doi.org/10.3390/su14010059
Chicago/Turabian StyleWang, Yanying, Yuying Li, Zonghua Ji, Feng Han, Dong Yang, and Cui Lv. 2022. "Elucidating the Effects of a Cryptomeria fortunei Forest Environment on Overall Health Based on Open Field Testing of Mice" Sustainability 14, no. 1: 59. https://doi.org/10.3390/su14010059
APA StyleWang, Y., Li, Y., Ji, Z., Han, F., Yang, D., & Lv, C. (2022). Elucidating the Effects of a Cryptomeria fortunei Forest Environment on Overall Health Based on Open Field Testing of Mice. Sustainability, 14(1), 59. https://doi.org/10.3390/su14010059

