Social Capital on Social Networking Sites: A Social Network Perspective
Abstract
1. Introduction
2. Theoretical Background
2.1. Social Dimension of Sustainability
2.2. Social Capital
“Social capital is the aggregate of the actual or potential resources which are linked to possession of a durable network of more or less institutionalized relationships of mutual acquaintance and recognition, which provides each of its members with the backing of the collectively-owned capital, a “credential” which entitles them to credit, in the various senses of the word”.
2.3. Categorizing Social Capital from Two Approaches
2.3.1. Ties Type Approach
- Bonding social capital is derived from the relationships between members of the same group. These closer and more frequent relationships result in higher levels of trust, support, and intimacy. They are called strong bonds, and they are the consequence of exclusive relationships associated with dense and cohesive network structures [18,34].
2.3.2. Resource Approach
- The Structural dimension refers to the patterns of connection between the members of a social network, described in terms of network configuration and position, the distance between resources, accessibility in terms of hierarchy, connections, and variety or heterogeneity of the structure, and therefore supported by social network analysis (SNA). Thus, the type of network structure influences the capacity of access and exchange of resources between members [45].
- The Cognitive dimension refers to the resources that facilitate communication, dissemination, and social cohesion. These are the values, interests, paradigms, and interpretations shared among the members of a network. This dimension has often been analyzed through shared narratives, codes, and language. These resources contribute to a better mutual understanding, facilitate the comprehension of collective objectives, and improve the capacity for exchange and sharing [7,57].
- The Relational dimension represents both the resources embedded in the network and those originating from interactions [14]. This dimension provides a solid basis for transfer and exchange, for preventing opportunistic actions, for motivating cooperation, and for maintaining close and frequent interaction [30,36].
2.4. SNS as a Social Capital infrastructure
2.5. Measuring Social Capital in SNS Platforms
3. Review Methodology
4. Outcome Analysis and Discussion
4.1. Analysis of Bibliographic Information
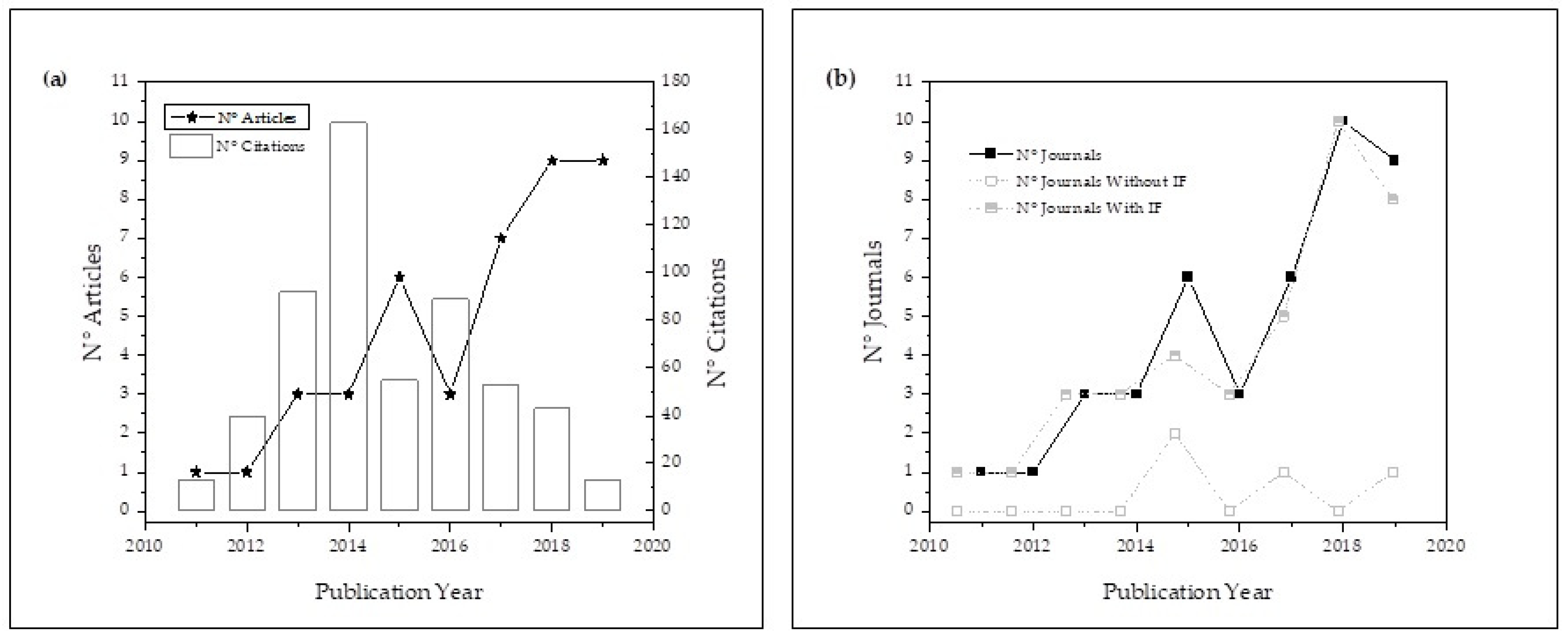
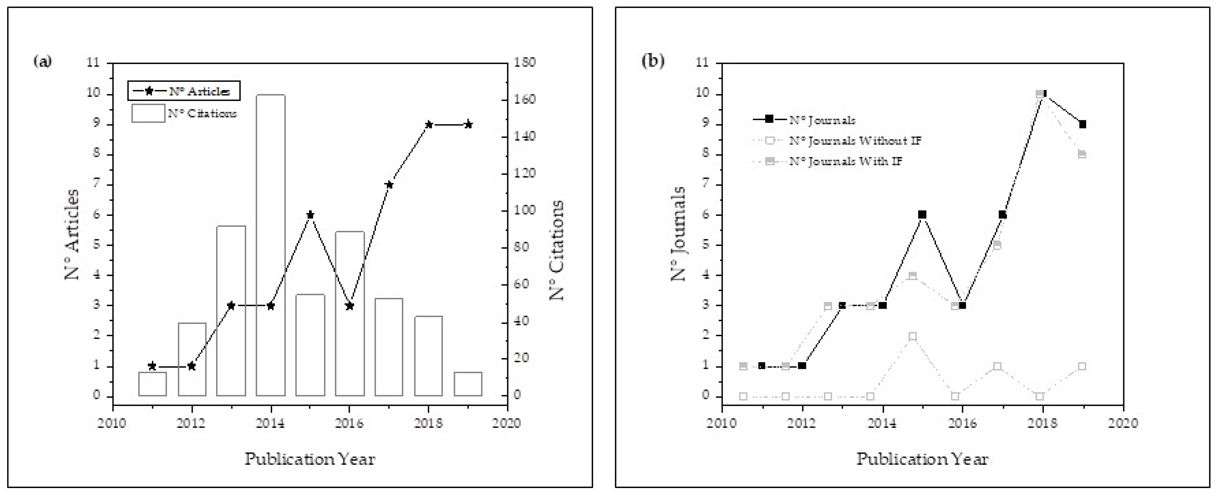
4.1.1. Evolution of Publications and Leading Journals
4.1.2. Citation Structure and Authors in Research
4.1.3. Methodological Characteristics Analysis
4.2. Descriptive–Qualitative Analysis
4.2.1. Social Capital Variables
- In the Resource Approach, the variables focus on the economic, cultural, or symbolic benefits from the resources integrated into a social network. These variables have been adjusted to the dimensions of Nahapiet and Ghoshal [32].
4.2.2. Network Indicators
- Fundamental properties represent the set of basic indicators that condition the rest of the structural properties.
- Centrality properties are the indicators that allow the analysis of the different positions that the members occupy within the network, identify those who have greater ties with others and know who stands out among the others, who exchange and transmit resources [76].
- Clustering properties are indicators that study the degree of intensity with which members are connected to each other as a group in a network [156].
- Position or role properties, also known as structural equivalence, are the indicators used to compare similarities in member behavior, suggesting the presence of a role or position in the network. Types of ties, relationships, groups, etc. can be compared [155].
4.2.3. Operationalization of Social Capital
Bonding Forms and Bridging
- For the variable bonding social capital, researchers have considered that a high bonding social capital in structural terms means the following:
- Among the articles reviewed, the authors have considered for the variable bridging social capital that a high bridging social capital means the follows:
Structural Dimension
- For the variable social connectivity, researchers have considered that high connectivity in structural terms means the following:
- For the variable structural configuration, researchers have considered that this variable can be related in terms of the following:
- For the variable structural diversity, researchers have considered relating it to betweenness and modularity. Zhang et al. [141] used the measure of betweenness to identify the central members of the network: those that when eliminated would separate some groups from others. These researchers considered that if a network contains groups that are only loosely connected by a few inter-group members, all the shorter paths between the different groups would pass through them. This enabled the detection of groups and sub-groups and thereby reveals the underlying community structure of the network. Brokerage follow-up and group detection was conducted with the modularity indicator.
Cognitive Dimension
- For the variable exchange by affinity, researchers have considered that an adequate social exchange in structural terms means the following:
Relational Dimension
- For the variable social contagion, researchers have considered that a high contagion in structural terms means the following:
- For the variable social identity, researchers have considered that high identity in structural terms means the following:
- The variable prestige, as proposed by Vergeer [139], has been related to centrality indicators such as in-degree and betweenness. Specifically, the author has evaluated the large number of members of a network that connect with others, considering indirect relationships and distances. He has even identified the intermediaries that use the absence of relationships between neighbors for their own benefit, emphasizing participation between members who are not directly related [53].
- For the variable engagement, researchers have considered that high engagement in structural terms means the following:
- For the variable social interaction, researchers have considered that high interaction in structural terms means the following:
- For the variable social influence, researchers have considered that high influence in structural terms means the following:
- For the variable popularity, researchers have considered that a high popularity in structural terms means the following:
- For the variable reciprocity, researchers have considered that high reciprocity in structural terms means the following [134]:
- For the variable reputation, researchers have considered that a high reputation in structural terms means the following:
4.2.4. Metrics of SNS Platforms to Evaluate Social Capital
5. Conclusions
- (A)
- Regarding the analysis of bibliographical information: first of all, trends in the evolution of publications and indicators of popularity and influence, taken in moderation, give an indication of the possible recognition or growing legitimacy of the field of study as a viable research topic. Secondly, there is a high dispersion and a lack of maturity of the field of study due to a high disaggregation of articles in different journals and the wide range of contextual sub-themes. Thirdly, research in the field of study focuses on analyzing aspects of user behavior in SNS that promotes some characteristics of social capital.
- (B)
- Regarding the descriptive–qualitative analysis: first of all, there are different interests involved in investigating how the characteristics of the SNS affect the ability to access, generate, or maintain resources in a social network. The articles reviewed range from understanding the factors that improve behavior, participation, engagement, social connectivity in SNSs to demonstrating that resources embedded in a network structure provide information [89,90,104,108,116,121,124,128,132,138,139].
Limitations and Future Research
Author Contributions
Funding
Institutional Review Board Statement
Informed Consent Statement
Data Availability Statement
Acknowledgments
Conflicts of Interest
References
- Kolk, A. Trends in sustainability reporting by the Fortune Global 250. Bus. Strateg. Environ. 2003, 12, 279–291. [Google Scholar] [CrossRef]
- Chun, R. Corporate reputation: Meaning and measurement. Int. J. Manag. Rev. 2005, 7, 91–109. [Google Scholar] [CrossRef]
- Su, L.; Swanson, S.R.; Chinchanachokchai, S.; Hsu, M.K.; Chen, X. Reputation and intentions: The role of satisfaction, identification, and commitment. J. Bus. Res. 2016, 69, 3261–3269. [Google Scholar] [CrossRef]
- Keh, H.T.; Xie, Y. Corporate reputation and customer behavioral intentions: The roles of trust, identification and commitment. Ind. Mark. Manag. 2009, 38, 732–742. [Google Scholar] [CrossRef]
- Jeong, H.J.; Paek, H.-J.; Lee, M. Corporate social responsibility effects on social network sites. J. Bus. Res. 2013, 66, 1889–1895. [Google Scholar] [CrossRef]
- Kim, J. Social dimension of sustainability: From community to social capital. J. Glob. Sch. Mark. Sci. 2018, 28, 175–181. [Google Scholar] [CrossRef]
- Coleman, J.S. Foundations of Social Theory; Harvard Un.; Harvard College: Cambridge, MA, USA, 1990; ISBN 9780674312265. [Google Scholar]
- Pretty, J.; Ward, H. Social Capital and the Environment. World Dev. 2001, 29, 209–227. [Google Scholar] [CrossRef]
- Vallance, S.; Perkins, H.C.; Dixon, J.E. What is social sustainability? A clarification of concepts. Geoforum 2011, 42, 342–348. [Google Scholar] [CrossRef]
- Cuthill, M. Strengthening the ‘social’ in sustainable development: Developing a conceptual framework for social sustainability in a rapid urban growth region in Australia. Sustain. Dev. 2010, 18, 362–373. [Google Scholar] [CrossRef]
- Yoo, C.; Lee, S. Neighborhood Built Environments Affecting Social Capital and Social Sustainability in Seoul, Korea. Sustainability 2016, 8, 1346. [Google Scholar] [CrossRef]
- Borgatti, S.P.; Foster, P.C. The Network Paradigm in Organizational Research: A Review and Typology. J. Manag. 2003, 29, 991–1013. [Google Scholar] [CrossRef]
- Ellison, N.B.; Lampe, C.; Steinfield, C.; Vitak, J. With a little help from my Friends: How social network sites affect social capital processes. In The Networked Self: Identity, Community and Culture on Social Network Sites; Papacharissi, Z., Ed.; Routledge: London, UK, 2010; pp. 124–145. ISBN 0-203-87652-0. [Google Scholar]
- Lin, N. Building a Network Theory of Social Capital. In Social Capital; Lin, N., Cook, K., Burt, R.S., Eds.; Routledge: New York, NY, USA, 2001; pp. 3–28. [Google Scholar]
- Donckels, R.; Lambrecht, J. Networks and small business growth: An explanatory model. Small Bus. Econ. 1995, 7, 273–289. [Google Scholar] [CrossRef]
- Islam, M.K.; Merlo, J.; Kawachi, I.; Lindström, M.; Gerdtham, U.-G. Social capital and health: Does egalitarianism matter? A literature review. Int. J. Equity Health 2006, 5, 3. [Google Scholar] [CrossRef] [PubMed]
- Jack, S.L. Approaches to studying networks: Implications and outcomes. J. Bus. Ventur. 2010, 25, 120–137. [Google Scholar] [CrossRef]
- Adler, P.S.; Kwon, S.-W. Social Capital: Prospects for a New Concept. Acad. Manag. Rev. 2002, 27, 17–40. [Google Scholar] [CrossRef]
- Atkinson, G.; Dietz, S.; Neumayer, E.; Agarwala, M. Handbook of Sustainable Development, 2nd ed.; Atkinson, G., Dietz, S., Neumayer, E., Agarwala, M., Eds.; Edward Elgar Publishing: Cheltenham, UK; Northampton, MA, USA, 2014; ISBN 9781782544708. [Google Scholar]
- Giddings, B.; Hopwood, B.; O’Brien, G. Environment, economy and society: Fitting them together into sustainable development. Sustain. Dev. 2002, 10, 187–196. [Google Scholar] [CrossRef]
- McKenzie, S. Social Sustainability: Towards Some Definitions University of South Australia; Working Paper Series No 27; University of South Australia: Adelaide, Australia, 2004; pp. 1–31. Available online: https://unisa.edu.au/SysSiteAssets/episerver-6-files/documents/eass/hri/working-papers/wp27.pdf (accessed on 19 March 2021).
- UN. Secretary-General & WCED Report of the World Commission on Environment and Development: Our Common Future; UN: New York, NY, USA, 1987. [Google Scholar]
- Eizenberg, E.; Jabareen, Y. Social Sustainability: A New Conceptual Framework. Sustainability 2017, 9, 68. [Google Scholar] [CrossRef]
- Rasouli, A.H.; Kumarasuriyar, A. The Social Dimention of Sustainability: Towards Some Definitions and Analysis. J. Soc. Sci. Policy Implic. 2016, 4, 4. [Google Scholar] [CrossRef]
- Weingaertner, C.; Moberg, Å. Exploring Social Sustainability: Learning from Perspectives on Urban Development and Companies and Products. Sustain. Dev. 2011, 22, 122–133. [Google Scholar] [CrossRef]
- Forrest, R.; Kearns, A. Social Cohesion, Social Capital and the Neighbourhood. Urban Stud. 2001, 38, 2125–2143. [Google Scholar] [CrossRef]
- Murphy, K. The social pillar of sustainable development: A literature review and framework for policy analysis. Sustain. Sci. Pr. Policy 2012, 8, 15–29. [Google Scholar] [CrossRef]
- Van Oorschot, W.; Finsveen, E. Does the welfare state reduce inequalities in people’s social capital? Int. J. Sociol. Soc. Policy 2010, 30, 182–193. [Google Scholar] [CrossRef][Green Version]
- Hanifan, L. The Rural School Community Center. Ann. Am. Acad. Politi. Soc. Sci. 1916, 67, 130–138. [Google Scholar] [CrossRef]
- Coleman, J.S. Social Capital in the Creation of Human Capital. Am. J. Sociol. 1988, 94, S95–S120. [Google Scholar] [CrossRef]
- Fukuyama, F. Social Capital–The Tanner Lectures on Human Values; Brasenose College: Oxford, UK, 1998. [Google Scholar]
- Nahapiet, J.; Ghoshal, S. Social Capital, Intellectual Capital, and the Organizational Advantage. Acad. Manag. Rev. 1998, 23, 242. [Google Scholar] [CrossRef]
- Putnam, R.D. Tuning In, Tuning Out: The Strange Disappearance of Social Capital in America. PS Politi. Sci. Politi. 1995, 28, 664. [Google Scholar] [CrossRef]
- Putnam, R.D. Bowling alone. In Proceedings of the 2000 ACM Conference on Computer Supported Cooperative Work—CSCW’00, Philadelphia, PA, USA, 2–6 December 2000; p. 357. [Google Scholar]
- Robison, L.J.; Schmid, A.A.; Siles, M.E. Is Social Capital Really Capital? Rev. Soc. Econ. 2002, 60, 1–21. [Google Scholar] [CrossRef]
- Tsai, W.; Ghoshal, S. Social Capital and Value Creation: The Role of Intrafirm Networks. Acad. Manag. J. 1998, 41, 464–476. [Google Scholar] [CrossRef]
- Bourdieu, P. The Forms of Capital. In Readings in Economic Sociology; Blackwell Publishers Ltd: Oxford, UK, 1986; pp. 280–291. [Google Scholar]
- Adam, F.; Rončević, B. Social capital: Recent debates and research trends. Soc. Sci. Inf. 2003, 42, 155–183. [Google Scholar] [CrossRef]
- Bourdieu, P. Pensamiento y Acción; del Zorzal, L., Ed.; Grupal Logistica Y Distribucion: Buenos Aires, Argentina, 2001; ISBN 9871081081. [Google Scholar]
- Woolcock, M.; Narayan, D. Social Capital: Implications for Development Theory, Research, and Policy. World Bank Res. Obs. 2000, 15, 225–249. [Google Scholar] [CrossRef]
- Gould, B. Social capital: Trading and mixing knowledge. Antidote 1998, 3, 10. [Google Scholar] [CrossRef]
- Lin, N. A Network Theory of Social Capital. In Social Capital, Theory and Research2; Lin, N., Cook, K., Burt, R., Eds.; Oxford University Press: New York, NY, USA, 2001; pp. 16–43. ISBN 9781351490542. [Google Scholar]
- Granovetter, M.S. The Strength of Weak Ties. Am. J. Sociol. 1973, 78, 1360–1380. [Google Scholar] [CrossRef]
- Krackhardt, D. The strength of strong ties: The importance of Philos in organizations. Netw. Organ. 1992, 216, 216–239. [Google Scholar] [CrossRef]
- Burt, R.S. Structural Holes. The Social Structure of Competition; Harvard University Press: Cambridge, MA, USA; London, UK, 1995; ISBN 067484372X. [Google Scholar]
- Viluckiene, J.; Ruskus, J. Configurations of Using Social Networking Sites and Perceived Online Social Capital among Adults with and Without Disabilities. Polish Sociol. Rev. 2017, 199, 387–403. [Google Scholar]
- Fedderke, J.; de Kadt, R.; Luiz, J. Economic Growth and Social Capital: A Critical Reflection. Theory Soc. 1999, 28, 709–745. [Google Scholar] [CrossRef]
- Burt, R.S. The Contingent Value of Social Capital. Adm. Sci. Q. 1997, 42, 339. [Google Scholar] [CrossRef]
- Ellison, N.B.; Vitak, J.; Gray, R.; Lampe, C. Cultivating social resources on social network sites: Facebook relationship maintenance behaviors and their role in social capital processes. J. Comput. Commun. 2014, 19, 855–870. [Google Scholar] [CrossRef]
- Piwek, L.; Joinson, A. “What do they snapchat about?” Patterns of use in time-limited instant messaging service. Comput. Human Behav. 2016, 54, 358–367. [Google Scholar] [CrossRef]
- Jordan, K. Separating and Merging Professional and Personal Selves Online: The Structure and Processes That Shape Academics’ Ego-Networks on Academic Social Networking Sites and Twitter. J. Assoc. Inf. Sci. Technol. 2019, 70, 830–842. [Google Scholar] [CrossRef]
- Hansen, M.T. The Search-Transfer Problem: The Role of Weak Ties in Sharing Knowledge across Organization Subunits. Adm. Sci. Q. 1999, 44, 82. [Google Scholar] [CrossRef]
- Burt, R.S. Structural Holes versus Network Closure as Social Capital. In Social Capital: Theory and Research; Lin, N., Cook, K.S., Burt, R.S., Eds.; Routledge: London, UK, 2001; pp. 31–56. ISBN 9781315129457. [Google Scholar]
- Burt, R.S. The Network Structure of Social Capital; Elsevier: Amsterdam, The Netherlands, 2000; Volume 22, ISBN 0762306416. [Google Scholar]
- Burt, R.S. Structural holes and good ideas. Am. J. Sociol. 2004, 110, 349–399. [Google Scholar] [CrossRef]
- Podolny, J.M.; Baron, J.N. Resources and relationships: Social networks and mobility in the workplace. Am. Sociol. Rev. 1997, 62, 673–693. [Google Scholar] [CrossRef]
- Zheng, W. A social capital perspective of innovation from individuals to nations: Where is empirical literature directing us? Int. J. Manag. Rev. 2010, 12, 151–183. [Google Scholar] [CrossRef]
- Dierickx, I.; Cool, K. Asset Stock Accumulation and Sustainability of Competitive Advantage. Manage. Sci. 1989, 35, 1504–1511. [Google Scholar] [CrossRef]
- Putnam, R.D.; Leonardi, R.; Nonetti, R.Y. Making Democracy Work; Putnam, R.D., Leonardi, R., Nonetti, R.Y., Eds.; Princeton University Press: Princeton, NJ, USA, 1994; ISBN 9781400820740. [Google Scholar]
- Lin, N.; Ensel, W.M.; Vaughn, J.C. Social Resources and Strength of Ties: Structural Factors in Occupational Status. Am. Sociol. Assoc. 1981, 46, 393–405. [Google Scholar] [CrossRef]
- Castro-Abancéns, I.; Galán González, J.L. El capital social como fuente de ventaja competitiva y su estudio con ARS. In Conectados por Redes Sociales: Introducción al Análisis de Redes Sociales y Casos Prácticos; UOC (Open University of Catalonia): Barcelona, Spain, 2014; pp. 57–83. ISBN 978-84-9064-234-4. [Google Scholar]
- Steinfield, C.; Ellison, N.; Lampe, C.; Vitak, J. Online Social Network Sites and the Concept of Social Capital. In Frontiers in New Media Research; Lee, F.L., Leung, L., Qui, J.S., Chu, D., Eds.; Routledge: New York, NY, USA, 2012; pp. 115–131. [Google Scholar]
- Boyd, D.M.; Ellison, N.B. Social network sites: Definition, history, and scholarship. J. Comput. Commun. 2007, 13, 210–230. [Google Scholar] [CrossRef]
- Liang, T.P.; Ho, Y.T.; Li, Y.W.; Turban, E. What drives social commerce: The role of social support and relationship quality. Int. J. Electron. Commer. 2011, 16, 69–90. [Google Scholar] [CrossRef]
- Blau, P.M. Exchange and power in social life. Exch. Power Soc. Life 2017, 1–352. [Google Scholar] [CrossRef]
- Williams, J.R. The use of online social networking sites to nurture and cultivate bonding social capital: A systematic review of the literature from 1997 to 2018. New Media Soc. 2019, 21, 2710–2729. [Google Scholar] [CrossRef]
- Resnick, P.; Bikson, T.; Mynatt, E.; Puttnam, R.; Sproull, L.; Wellman, B. Beyond bowling together. In Proceedings of the 2000 ACM Conference on Computer Supported Cooperative Work—CSCW ’00, Philadelphia, PA, USA, 2–6 December 2012; Carroll, J.M., Wesley, A., Eds.; ACM Press: New York, New York, USA, 2000; p. 363. [Google Scholar]
- Valenzuela, S.; Park, N.; Kee, K.F. Is There social capital in a social network site?: Facebook use and college student’s life satisfaction, trust, and participation1. J. Comput. Commun. 2009, 14, 875–901. [Google Scholar] [CrossRef]
- Ellison, N.B.; Steinfield, C.; Lampe, C. The benefits of facebook “friends:” Social capital and college students’ use of online social network sites. J. Comput. Commun. 2007, 12, 1143–1168. [Google Scholar] [CrossRef]
- Bakshy, E.; Rosenn, I.; Marlow, C.; Adamic, L. The role of social networks in information diffusion. In Proceedings of the 21st International Conference on World Wide Web, Lyon, France, 16–24 April 2012; pp. 519–528. [Google Scholar] [CrossRef]
- Burke, M.; Kraut, R.; Marlow, C. Social capital on Facebook: Differentiating uses and users. In Proceedings of the SIGCHI Conference on Human Factors in Computing Systems, Vancouver, BC, Canada, 7–12 May 2011; pp. 571–580. [Google Scholar] [CrossRef]
- Lampe, C.; Ellison, N.; Steinfield, C. A face(book) in the crowd: Social Searching vs. social browsing. In Proceedings of the 2006 20th Anniversary Conference on Computer Supported Cooperative Work, Banff, AB, Canada, 12 June 2006; pp. 167–170. [Google Scholar] [CrossRef]
- Lechner, N. El capital social como problema cultural (Social Capital as a Cultural Problem). Rev. Mex. Sociol. 2002, 64, 91. [Google Scholar] [CrossRef]
- Abbasi, A.; Hossain, L.; Wigand, R. Social Capital and Individual Performance: A Study of Academic Collaboration. arXiv 2011, arXiv:1112.2460. [Google Scholar]
- Williams, D. On and Off the ’Net: Scales for Social Capital in an Online Era. J. Comput. Commun. 2006, 11, 593–628. [Google Scholar] [CrossRef]
- Freeman, L.C. Centrality in social networks conceptual clarification. Soc. Netw. 1978, 1, 215–239. [Google Scholar] [CrossRef]
- Portes, A. Social Capital: Its Origins and Applications in Modern Sociology. Annu. Rev. Sociol. 1998, 24, 1–24. [Google Scholar] [CrossRef]
- Pinho, J.C. The e-SOCAPIT scale: A multi-item instrument for measuring online social capital. J. Res. Interact. Mark. 2013, 7, 216–235. [Google Scholar] [CrossRef]
- Shih, C.C. The Facebook Era: Trapping Online Social Networks to Build Better Products, Reach New Audiences and Sell More Stuff, 2nd ed.; Addison-Wesley Professional: Boston, MA, USA; Prentice Hall—Pearson Education Inc.: Hoboken, NJ, USA, 2010; ISBN 978-0-13-715222-3. [Google Scholar]
- Jarvenpaa, S.L.; Knoll, K.; Leidner, D.E. Is anybody out there? Antecedents of trust in global virtual teams. J. Manag. Inf. Syst. 1997, 14, 29–64. [Google Scholar] [CrossRef]
- Thelwall, M.; Sud, P.; Wilkinson, D. Link and co-inlink network diagrams with URL citations or title mentions. J. Am. Soc. Inf. Sci. Technol. 2012, 63, 805–816. [Google Scholar] [CrossRef]
- Dholakia, U.M.; Bagozzi, R.P.; Pearo, L.K. A social influence model of consumer participation in network- and small-group-based virtual communities. Int. J. Res. Mark. 2004, 21, 241–263. [Google Scholar] [CrossRef]
- Grootaert, C.; Bastelaer, T. van Instruments of the Social Capital Assessment Tool. In Understanding and Measuring Social Capital; Social Capital Working Paper Series; Grootaert, C., van Bastelaer, T., Eds.; The International Bank for Reconstruction and Development: Washington, DC, USA, 2002; pp. 152–236. ISBN 0-8213-5068-4. [Google Scholar]
- Chen, X.; Wang, P.; Wegner, R.; Gong, J.; Fang, X.; Kaljee, L. Measuring Social Capital Investment: Scale Development and Examination of Links to Social Capital and Perceived Stress. Soc. Indic. Res. 2015, 120, 669–687. [Google Scholar] [CrossRef]
- Zamudio, C.; Anokhin, S.; Kellermanns, F.W. Network analysis: A concise review and suggestions for family business research. J. Fam. Bus. Strateg. 2014, 5, 63–71. [Google Scholar] [CrossRef]
- Jones, J.J.; Settle, J.E.; Bond, R.M.; Fariss, C.J.; Marlow, C.; Fowler, J.H. Inferring Tie Strength from Online Directed Behavior. PLoS ONE 2013, 8, 8–13. [Google Scholar] [CrossRef]
- Saffer, A.J. A message-focused measurement of the communication dimension of social capital: Revealing shared meaning in a network of relationships. J. Public Relations Res. 2016, 28, 170–192. [Google Scholar] [CrossRef]
- Bodin, Ö.; Ramirez-Sanchez, S.; Ernstson, H.; Prell, C. A social relational approach to natural resource governance. In Social Networks and Natural Resource Management; Bodin, O., Prell, C., Eds.; Cambridge University Press: Cambridge, UK, 2011; pp. 3–28. [Google Scholar]
- Lőrincz, L.; Koltai, J.; Győr, A.F.; Takács, K. Collapse of an online social network: Burning social capital to create it? Soc. Netw. 2019, 57, 43–53. [Google Scholar] [CrossRef]
- Norbutas, L.; Corten, R. Network structure and economic prosperity in municipalities: A large-scale test of social capital theory using social media data. Soc. Netw. 2018, 52, 120–134. [Google Scholar] [CrossRef]
- Levy, Y.; Ellis, T.J. A systems approach to conduct an effective literature review in support of information systems research. Inf. Sci. 2006, 9, 181–211. [Google Scholar] [CrossRef]
- Zhao, X.; Zuo, J.; Wu, G.; Huang, C. A bibliometric review of green building research 2000–2016. Archit. Sci. Rev. 2019, 62, 74–88. [Google Scholar] [CrossRef]
- Nijs, S.; Gallardo-Gallardo, E.; Dries, N.; Sels, L. A multidisciplinary review into the definition, operationalization, and measurement of talent. J. World Bus. 2014, 49, 180–191. [Google Scholar] [CrossRef]
- Gallardo-Gallardo, E.; Thunnissen, M. Standing on the shoulders of giants? A critical review of empirical talent management research. Empl. Relations 2016, 38, 31–56. [Google Scholar] [CrossRef]
- Rockenbauch, T.; Sakdapolrak, P. Social networks and the resilience of rural communities in the Global South: A critical review and conceptual reflections. Ecol. Soc. 2017, 22, 10. [Google Scholar] [CrossRef]
- Hsieh, H.-F.; Shannon, S.E. Three approaches to qualitative content analysis. Qual. Health Res. 2005, 15, 1277–1288. [Google Scholar] [CrossRef]
- Lee, C.J.; Sohn, D. Mapping the Social Capital Research in Communication. J. Mass Commun. Q. 2016, 93, 728–749. [Google Scholar] [CrossRef]
- Webster, J.; Watson, R.T. Analyzing the Past to Prepare for the Future: Writing a Literature Review. MIS Q. 2002, 26, xiii–xxiii. [Google Scholar] [CrossRef]
- Briner, R.B.; Denyer, D.; Rousseau, D.M. Evidence-Based Management: Concept Cleanup Time? Acad. Manag. Perspect. 2009, 23, 19–32. [Google Scholar] [CrossRef]
- Gallardo-Gallardo, E.; Nijs, S.; Dries, N.; Gallo, P. Towards an understanding of talent management as a phenomenon-driven field using bibliometric and content analysis. Hum. Resour. Manag. Rev. 2015, 25, 264–279. [Google Scholar] [CrossRef]
- Garrigos-Simon, F.; Botella-Carrubi, M.; Gonzalez-Cruz, T. Social Capital, Human Capital, and Sustainability: A Bibliometric and Visualization Analysis. Sustainability 2018, 10, 4751. [Google Scholar] [CrossRef]
- Aral, S.; Walker, D. Tie strength, embeddedness, and social influence: A large-scale networked experiment. Manag. Sci. 2014, 60, 1352–1370. [Google Scholar] [CrossRef]
- von Krogh, G.; Rossi-Lamastra, C.; Haefliger, S. Phenomenon-based research in management and organisation science: When is it rigorous and does it matter? Long Range Plann. 2012, 45, 277–298. [Google Scholar] [CrossRef]
- Best, D.; Bliuc, A.M.; Iqbal, M.; Upton, K.; Hodgkins, S. Mapping social identity change in online networks of addiction recovery. Addict. Res. Theory 2018, 26, 163–173. [Google Scholar] [CrossRef]
- Bliuc, A.M.; Best, D.; Iqbal, M.; Upton, K. Building addiction recovery capital through online participation in a recovery community. Soc. Sci. Med. 2017, 193, 110–117. [Google Scholar] [CrossRef] [PubMed]
- Brooks, B.; Welser, H.T.; Hogan, B.; Titsworth, S. Socioeconomic status updates: Family SES and emergent social capital in college student facebook networks. Inf. Commun. Soc. 2011, 14, 529–549. [Google Scholar] [CrossRef]
- Brooks, B.; Hogan, B.; Ellison, N.; Lampe, C.; Vitak, J. Assessing structural correlates to social capital in Facebook ego networks. Soc. Netw. 2014, 38, 1–15. [Google Scholar] [CrossRef]
- Carlisle, J.E.; Patton, R.C. Is Social Media Changing How We Understand Political Engagement? An Analysis of Facebook and the 2008 Presidential Election. Polit. Res. Q. 2013, 66, 883–895. [Google Scholar] [CrossRef]
- Ch’ng, E. The bottom-up formation and maintenance of a Twitter community. Ind. Manag. Data Syst. 2015, 115, 612–624. [Google Scholar] [CrossRef]
- Cuomo, S.; Maiorano, F. Social network data analysis and mining applications for the Internet of Data. Concurr. Comput. Pract. Exp. 2018, 30, e4527. [Google Scholar] [CrossRef]
- Deng, X.; Dou, Y.; Lv, T.; Nguyen, Q.V.H. A novel centrality cascading based edge parameter evaluation method for robust influence maximization. IEEE Access 2017, 5, 22119–22131. [Google Scholar] [CrossRef]
- Etxabe, I. Measuring Social Capital with Twitter within the Electronics and ICT Cluster of the Basque Country. City Community 2018, 17, 350–373. [Google Scholar] [CrossRef]
- Farrell, L.C.; Fudge, J. An exploration of a quasi-stable online network: A longitudinal perspective. Comput. Human Behav. 2013, 29, 681–686. [Google Scholar] [CrossRef]
- Forrester, B. Authentic chatter. Comput. Math. Organ. Theory 2020, 26, 382–411. [Google Scholar] [CrossRef]
- Garcia, D.; Mavrodiev, P.; Casati, D.; Schweitzer, F. Understanding Popularity, Reputation, and Social Influence in the Twitter Society. Policy Internet 2017, 9, 343–364. [Google Scholar] [CrossRef]
- Hayat, T.; Lesser, O.; Samuel-Azran, T. Gendered discourse patterns on online social networks: A social network analysis perspective. Comput. Human Behav. 2017, 77, 132–139. [Google Scholar] [CrossRef]
- Hong, Y.; Hu, Y.; Burtch, G. Embeddedness, prosociality, and social influence: Evidence from online crowdfunding. MIS Q. Manag. Inf. Syst. 2018, 42, 1211–1224. [Google Scholar] [CrossRef]
- Joksimović, S.; Dowell, N.; Poquet, O.; Kovanović, V.; Gašević, D.; Dawson, S.; Graesser, A.C. Exploring development of social capital in a CMOOC through language and discourse. Internet High. Educ. 2018, 36, 54–64. [Google Scholar] [CrossRef]
- Kitamura, S.; Kawai, D.; Sasaki, Y. How Social Network Site Users’ Motives Predict Their Online Network Sizes: A Quantile Regression Approach to Japanese Twitter Usage. Int. J. Hum. Comput. Interact. 2019, 35, 548–558. [Google Scholar] [CrossRef]
- Kornbluh, M.E. Building Bridges: Exploring the Communication Trends and Perceived Sociopolitical Benefits of Adolescents Engaging in Online Social Justice Efforts. Youth Soc. 2019, 51, 1104–1126. [Google Scholar] [CrossRef]
- Lesser, O.; Hayat, T.; Elovici, Y. The role of network setting and gender in online content popularity. Inf. Commun. Soc. 2016, 20, 1607–1624. [Google Scholar] [CrossRef]
- Liang, Y.; Zheng, X.; Zeng, D.D.; Zhou, X.; Leischow, S.J.; Chung, W. Characterizing Social Interaction in Tobacco-Oriented Social Networks: An Empirical Analysis. Sci. Rep. 2015, 5, 10060. [Google Scholar] [CrossRef] [PubMed]
- Liu, L.; Tang, J.; Han, J.; Yang, S. Learning influence from heterogeneous social networks. Data Min. Knowl. Discov. 2012, 25, 511–544. [Google Scholar] [CrossRef]
- Liu, Y.; Venkatanathan, J.; Goncalves, J.; Karapanos, E.; Kostakos, V. Modeling what friendship patterns on facebook reveal about personality and social capital. ACM Trans. Comput. Interact. 2014, 21, 1–20. [Google Scholar] [CrossRef]
- Lutz, C.; Hoffmann, C.P. Making Academic Social Capital Visible: Relating SNS-Based, Alternative and Traditional Metrics of Scientific Impact. Soc. Sci. Comput. Rev. 2018, 36, 632–643. [Google Scholar] [CrossRef]
- Madrazo-Lemarroy, P.; Barajas-Portas, K.; Labastida Tovar, M.E. Analyzing campaign’s outcome in reward-based crowdfunding: Social capital as a determinant factor. Internet Res. 2019, 29, 1171–1189. [Google Scholar] [CrossRef]
- Niles, M.T.; Emery, B.F.; Reagan, A.J.; Dodds, P.S.; Danforth, C.M. Social media usage patterns during natural hazards. PLoS ONE 2019, 14, e0210484. [Google Scholar] [CrossRef] [PubMed]
- O’Donnell, M.B.; Bayer, J.B.; Cascio, C.N.; Falk, E.B. Neural bases of recommendations differ according to social network structure. Soc. Cogn. Affect. Neurosci. 2017, 12, 61–69. [Google Scholar] [CrossRef]
- Recuero, R.; Zago, G.; Soares, F. Using Social Network Analysis and Social Capital to Identify User Roles on Polarized Political Conversations on Twitter. Soc. Media + Soc. 2019, 5, 205630511984874. [Google Scholar] [CrossRef]
- Rehm, M.; Notten, A. Twitter as an informal learning space for teachers!? The role of social capital in Twitter conversations among teachers. Teach. Teach. Educ. 2016, 60, 215–223. [Google Scholar] [CrossRef]
- Rehm, M.; Littlejohn, A.; Rienties, B. Does a formal wiki event contribute to the formation of a network of practice? A social capital perspective on the potential for informal learning. Interact. Learn. Environ. 2017, 26, 308–319. [Google Scholar] [CrossRef]
- Riedl, C.; Köbler, F.; Goswami, S.; Krcmar, H. Tweeting to Feel Connected: A Model for Social Connectedness in Online Social Networks. Int. J. Hum. Comput. Interact. 2013, 29, 670–687. [Google Scholar] [CrossRef]
- Riquelme, F.; González-Cantergiani, P. Measuring user influence on Twitter: A survey. Inf. Process. Manag. 2016, 52, 949–975. [Google Scholar] [CrossRef]
- Roshanaei, M.; Mishra, S. Studying the attributes of users in Twitter considering their emotional states. Soc. Netw. Anal. Min. 2015, 5, 1–13. [Google Scholar] [CrossRef]
- Rykov, Y.G.; Meylakhs, P.A.; Sinyavskaya, Y.E. Network Structure of an AIDS-Denialist Online Community: Identifying Core Members and the Risk Group. Am. Behav. Sci. 2017, 61, 688–706. [Google Scholar] [CrossRef]
- Smailovic, V.; Podobnik, V. Mining social networks for calculation of smartsocial influence. J. Univers. Comput. Sci. 2016, 22, 394–415. [Google Scholar] [CrossRef]
- Tamburrini, N.; Cinnirella, M.; Jansen, V.A.; Bryden, J. Twitter users change word usage according to conversation-partner social identity. Soc. Netw. 2015, 40, 84–89. [Google Scholar] [CrossRef]
- Tanase, D.; Garcia, D.; Garas, A.; Schweitzer, F. Emotions and Activity Profiles of Influential Users in Product Reviews Communities. Front. Phys. 2015, 3, 1–12. [Google Scholar] [CrossRef]
- Vergeer, M. Peers and Sources as Social Capital in the Production of News: Online Social Networks as Communities of Journalists. Soc. Sci. Comput. Rev. 2015, 33, 277–297. [Google Scholar] [CrossRef]
- Xu, W.; Saxton, G.D. Does Stakeholder Engagement Pay Off on Social Media? A Social Capital Perspective. Nonprofit Volunt. Sect. Q. 2018, 48, 28–49. [Google Scholar] [CrossRef]
- Zhang, A.; Zheng, M.; Pang, B. Structural diversity effect on hashtag adoption in Twitter. Phys. A Stat. Mech. Appl. 2018, 493, 267–275. [Google Scholar] [CrossRef]
- Bolger, N.; Laurenceau, J.-P. Intensive Longitudinal Methods: An Introduction to Diary and Experience Sampling Research; The Guilford Press: New York, NY, USA, 2013; ISBN 9781462530700. [Google Scholar]
- Moore, S. Social Networks, Social Capital and Obesity. In Obesity Prevention; Elsevier Inc.: Amsterdam, The Netherlands, 2010; pp. 673–685. [Google Scholar]
- Latorre, A.; Arnal Agustín, J.; Del Rincón Igea, D. Bases Metodológicas de la Investigación Educativa; Experiencia, S.L., Ed.; Jordi Hurtado Mompeó: Barcelona, Spain, 2003; ISBN 84-932883-8-1. [Google Scholar]
- Brage, L.B. Bases Metodológicas de la Investigación Educativa; Islas Bale; Universitat de les Illes Balears: Palma, Spain, 2004; ISBN 84-7632-888-5. [Google Scholar]
- Ugander, J.; Backstrom, L.; Marlow, C.; Kleinberg, J. Structural diversity in social contagion. Proc. Natl. Acad. Sci. USA 2012, 109, 5962–5966. [Google Scholar] [CrossRef]
- Chiu, C.-M.; Hsu, M.-H.; Wang, E.T. Understanding knowledge sharing in virtual communities: An integration of social capital and social cognitive theories. Decis. Support Syst. 2006, 42, 1872–1888. [Google Scholar] [CrossRef]
- Moody, J.; White, D.R. Structural Cohesion and Embeddedness: A Hierarchical Concept of Social Groups. Am. Sociol. Rev. 2003, 68, 103. [Google Scholar] [CrossRef]
- Tajfel, H.; Turner, J.C. The Social Identity Theory of Intergroup Behavior. In Political Psychology; Psychology Press: London, UK, 2004; pp. 276–293. [Google Scholar]
- Turner, J.C. Social influence. In Mapping Social Psychology Series; Brooks-Cole Publishing Company: Pacific Grove, CA, USA, 1991; p. 206. ISBN 9780534169503. [Google Scholar]
- Ritzer, G. Teoría Sociológica Contemporánea; McGraw-Hill Interamericana de España S.A.: Madrid, Spain, 1994; ISBN 007-052972-8. [Google Scholar]
- Zheng, G.; Zhu, L.; Liu, C.; Chen, Y. TMT social capital, network position and innovation: The nature of micro-macro links. Front. Bus. Res. China 2019, 13. [Google Scholar] [CrossRef]
- Garton, L.; Haythornthwaite, C.; Wellman, B. Studying Online Social Networks. J. Comput. Commun. 2006, 3, JCMC313. [Google Scholar] [CrossRef]
- Wasserman, S.; Faust, K. Social Network Analysis; Cambridge University Press: Cambridge, UK, 1994; ISBN 9780511815478. [Google Scholar]
- Hanneman, R.; Riddle, M. Concepts and Measures for Basic Network Analysis. In The SAGE Handbook of Social Network Analysis; Scott, J., Carrington, P., Eds.; SAGE Publications: Thousand Oaks, CA, USA, 2011; pp. 340–369. ISBN 9781847873958. [Google Scholar]
- Watts, D.J.; Strogatz, S.H. Collective dynamics of ‘small-world’ networks. Nature 1998, 393, 440–442. [Google Scholar] [CrossRef]
- Borgatti, S.P.; Everett, M.G. Models of core/periphery structures. Soc. Netw. 2000, 21, 375–395. [Google Scholar] [CrossRef]
- Wilkin, J.; Biggs, E.; Tatem, A.J. Measurement of Social Networks for Innovation within Community Disaster Resilience. Sustainability 2019, 11, 1943. [Google Scholar] [CrossRef]
- Li, Z.; Xu, X. Analysis of Network Structure and Doctor Behaviors in E - Health Communities from a Social-Capital Perspective. Int. J. Environ. Res. Public Health 2020, 17, 1136. [Google Scholar] [CrossRef]
- O’Connor, L.G.; Dillingham, L.L. Library & Information Science Research Personal experience as social capital in online investor forums. Libr. Inf. Sci. Res. 2014, 36, 27–35. [Google Scholar] [CrossRef]
- Flap, H. Creation and Returns of Social Capital; Routledge: London, UK, 2004; ISBN 9780203643648. [Google Scholar]
- Blondel, V.D.; Guillaume, J.-L.; Lambiotte, R.; Lefebvre, E. Fast unfolding of communities in large networks. J. Stat. Mech. Theory Exp. 2008, 2008, P10008. [Google Scholar] [CrossRef]
- Corten, R. Composition and Structure of a Large Online Social Network in the Netherlands. PLoS ONE 2012, 7, e34760. [Google Scholar] [CrossRef]
- Zheng, H.; Li, D.; Wu, J.; Xu, Y. The role of multidimensional social capital in crowdfunding: A comparative study in China and US. Inf. Manag. 2014, 51, 488–496. [Google Scholar] [CrossRef]
- Borgatti, S.P. Identifying sets of key players in a social network. Comput. Math. Organ. Theory 2006, 12, 21–34. [Google Scholar] [CrossRef]
- Golbeck, J. Network Structure and Measures. In Analyzing the Social Web; Elsevier Inc.: Amsterdam, The Netherlands, 2013; pp. 25–44. ISBN 9780124055315. [Google Scholar]
- De Nooy, W.; Mrvar, A.; Batagelj, V. Exploratory Social Network Analysis with Pajek; Cambridge University Press: Cambridge, UK, 2018; ISBN 9781108565691. [Google Scholar]
- Clauset, A.; Newman, M.E.J.; Moore, C. Finding community structure in very large networks. Phys. Rev. E 2004, 70, 066111. [Google Scholar] [CrossRef] [PubMed]
- Newman, M.E.J. Modularity and community structure in networks. Proc. Natl. Acad. Sci. USA 2006, 103, 8577–8582. [Google Scholar] [CrossRef] [PubMed]
- Rusinowska, A.; Berghammer, R.; De Swart, H.; Grabisch, M. Social Networks: Prestige, Centrality, and Influence (Invited Paper). In Proceedings of the 12th International Conference on Relational and Algebraic Methods in Computer Science, Rotterdam, The Netherlands, 30 May–3 June 2011; Springer: Berlin/Heidelberg, Germany, 2011; pp. 22–39. [Google Scholar]
- Hansen, D.L.; Shneiderman, B.; Smith, M.A.; Himelboim, I. Social network analysis: Measuring, mapping, and modeling collections of connections. In Analyzing Social Media Networks with NodeXL; Elsevier Inc.: Amsterdam, The Netherlands, 2020; pp. 31–51. [Google Scholar]
- Bonacich, P. Factoring and weighting approaches to status scores and clique identification. J. Math. Sociol. 1972, 2, 113–120. [Google Scholar] [CrossRef]
- Borgatti, S.P.; Jones, C.; Everett, M.G. Network Measures of Social Capital. Connections 1998, 21, 27–36. [Google Scholar]
- Powell, K.; Wilcox, J.; Clonan, A.; Bissell, P.; Preston, L.; Peacock, M.; Holdsworth, M. The role of social networks in the development of overweight and obesity among adults: A scoping review. BMC Public Health 2015, 15, 996. [Google Scholar] [CrossRef]
- Hauser, C.; Pfaffermayr, M.; Tappeiner, G.; Walde, J. Social capital formation and intra familial correlation: A social panel perspective. Singapore Econ. Rev. 2009, 54, 473–488. [Google Scholar] [CrossRef]
- Munzel, A.; Meyer-Waarden, L.; Galan, J.-P. The social side of sustainability: Well-being as a driver and an outcome of social relationships and interactions on social networking sites. Technol. Forecast. Soc. Change 2018, 130, 14–27. [Google Scholar] [CrossRef]



| Topic | Approach | Categories | Description Categories |
|---|---|---|---|
| Social Capital: “The sum of resources, actual or potential, that correspond to an individual through the possession of a lasting social network based on good relationships” [37] | Type of ties | Bonding Form | Strong ties Redundant range Dependent interactions Exclusive relationships—favors trust and social support Dense and cohesive network structures No lack of ties |
| Bridging Form | Weak ties Non-redundant Mobilizing new information Suitable for dissemination Facilitate greater exchange Large social structures Absence of ties | ||
| Resources | Structural Dimension | Network configuration and position | |
| Cognitive Dimension | Shared values and interests | ||
| Relational Dimension | Social relationship behaviors |
| Extended Search Terms | |
| Issue of Interest | Social capital, cognitive social capital, relational social capital, structural social capital |
| Medium/Infrastructure | Social networking sites, online social network, social networking service, SNS, OSN, social media site, Facebook, Twitter, Instagram |
| Perspective | Social network theory, social network analysis, SNA, centrality, density, degree, network size, betweenness, closeness, ego network |
| Search Equation in WoS | |
| TS = (“social capital” OR “social engagement*” OR “social cooperation*” OR “social reciprocity*” OR “social trust*” OR “social contagion*” OR “social identity*” OR “social prestige” OR “social cohesion” OR “cohesiveness” OR “social influence*”) | |
| AND (“social networking sites*” OR “online social network*” OR “Social networking service” OR “social media site” OR “SNS” OR “OSN” OR “twitter” OR “Facebook” OR “Instagram” OR “YouTube” OR “LinkedIn”) | |
| AND (“social network analysis*” OR “social network theory” OR “SNA” OR “network size*” OR “network density” OR “degree centrality” OR “embeddedness” OR “betweenness” OR “closeness centrality” OR “ego network*” OR “structural hole*”) | |
| Author | Nº Articles | Citation 1 | Citation/Article | h-Index 2 |
|---|---|---|---|---|
| Aral, Sinan | 1 | 116 (16.57) | 116.0 | 4 (19) |
| Walker, Dylan | 1 | 116 (16.57) | 116.0 | 4 (5) |
| Riquelme, Fabian | 1 | 66 (13.2) | 66.0 | 1 (4) |
| Gonzalez-Cantergiani, Pablo | 1 | 66 (13.2) | 66.0 | 1 (2) |
| Carlisle, Juliet E. | 1 | 63 (7.88) | 63.0 | 1 (10) |
| Patton, Robert C. | 1 | 63 (7.88) | 63.0 | 1 (13) |
| Brooks, Brandon | 2 | 49 (6.44) | 24.5 | 2 (12) |
| Hogan, Bernie | 2 | 49 (6.44) | 24.5 | 2 (11) |
| Rehm, Martin | 2 | 22 (4.80) | 11.0 | 2 (4) |
| Garcia, David | 2 | 17 (4.08) | 8.5 | 3 (15) |
| Author(s) | Journal | Design and Method 1 | Collection 2 | ||||
|---|---|---|---|---|---|---|---|
| T | L | Ex | CS | D | M | ||
| [102] | Management Science | X | X | X | |||
| [104] | Addiction Research & Theory | X | X | X | |||
| [105] | Social Science & Medicine | X | X | X | |||
| [106] | Information, Communication &Society | X | X | X | |||
| [107] | Social Networks | X | X | X | |||
| [108] | Political Research Quarterly | X | X | X | |||
| [109] | Industrial Management & Data Systems | X | X | X | |||
| [110] | Concurrency and computation-practice & experience | X | X | X | |||
| [111] | IEEE ACCESS | X | X | X | |||
| [112] | City & Community | X | X | X | |||
| [113] | Computers in Human Behavior | X | X | X | |||
| [114] | Computational and Mathematical Organization Theory | X | X | X | |||
| [115] | Policy & Internet | X | X | X | |||
| [116] | Computers in Human Behavior | X | X | X | |||
| [117] | MIS Quarterly | X | X | X | |||
| [118] | The Internet and Higher Education | X | X | X | |||
| [51] | Journal of the Association for Information Science and Technology | X | X | X | |||
| [119] | International Journal of Human–Computer Interaction | X | X | X | |||
| [120] | Youth & Society | X | X | X | |||
| [121] | Information, Communication & Society | X | X | X | |||
| [122] | Scientific Reports | X | X | X | |||
| [123] | Data Min Knowl Disc | X | X | X | |||
| [124] | ACM Transactions on Computer-Human Interaction | X | X | X | |||
| [89] | Social Networks | X | X | X | |||
| [125] | Social Science Computer Review | X | X | X | |||
| [126] | Internet Research | X | X | X | |||
| [127] | PLOS One | X | X | X | |||
| [90] | Social Networks | X | X | X | |||
| [128] | Social Cognitive and Affective Neuroscience | X | X | X | |||
| [129] | Social Media + Society | X | X | X | |||
| [130] | Teaching and Teacher Education | X | X | X | |||
| [131] | Interactive Learning Environments | X | X | X | |||
| [132] | International Journal of Human-Computer Interaction | X | X | X | |||
| [133] | Information Processing and Management | X | X | X | |||
| [134] | Social Network Analysis and Mining | X | X | X | |||
| [135] | American Behavioral Scientist | X | X | X | |||
| [136] | Journal of Universal Computer Science | X | X | X | |||
| [137] | Social Networks | X | X | X | |||
| [138] | Frontiers in Physics | X | X | X | |||
| [139] | Social Science Computer Review | X | X | X | |||
| [140] | Nonprofit and Voluntary Sector Quarterly | X | X | X | |||
| [141] | Physic A: Statistical Mechanics and Its Applications | X | X | X | |||
| Approaches/Categories | Variables | Description of Social Capital Variables | Reference 1 | |
|---|---|---|---|---|
| Ties-Type | Bonding Form | Bonding social capital | Ability to gather and maintain a group based on support, commitment, and social solidarity | [34,42,104,119] |
| Bridging Form | Bridging social capital | Ability to reach new networks and social groups to create new benefits | ||
| Resources | Structural Dimension | Social connectivity | Ability to be socially close, to bond, to a member in the network | [34,132] |
| Structural configuration | Structural characteristics of a social network | [43,76] | ||
| Structural diversity | Diverse social contexts, reflected in groups of neighbors, to which an individual is exposed as a member of a social network. It is considered a key factor for predicting decision making [43,45] | [141,146] | ||
| Cognitive Dimension | Exchange by affinity | Affinities identified and shared through the exchange of language and narratives among members of a social network | [36,131,147] | |
| Social cohesion | Ability to keep members of a social network together by sharing common standards, values, ideas, and beliefs | [148] | ||
| Relational Dimension | Social contagion | Spread of behavior patterns among members of a social network | [135] | |
| Social identity | Result of the interaction between members when identifying and comparing themselves with the group to which they belong | [137,149] | ||
| Social influence | The extent to which a member directly or indirectly affects the thoughts, feelings, and actions of others | [123,138,150] | ||
| Social interaction | A process by which members are connected, create ties, and allow access to and exchange of resources | [36,43,151] | ||
| Prestige | A measure of the relationship between members | [152] | ||
| Engagement | Actively contributing interventions that facilitate greater communication and resource sharing | [108,120] | ||
| Popularity | A measure to evaluate the behavior of a member in relation to others in a network | [115,116] | ||
| Reciprocity | A measure of a member’s interaction with other network members that promotes the implicit sharing of resources | [7,126] | ||
| Reputation | A measure of the recognition of the success of a member | [115] | ||
| Network Properties | Network Indicators | Network Indicators Description 1 |
|---|---|---|
| Fundamental | Network size | Number of units forming the network |
| Density | Proportion of existing ties over the maximum number of possible ties | |
| Diameter | Longest distance of all pairs of units in the network | |
| Distance | Length of the geodesic or shorter path between units | |
| Scope | Distance at which all units in a network are located | |
| Centrality | Degree centrality | Total number of ties a unit has with other network members. It is evaluated as the relationship between the degree of a unit and the average degree of the network |
| Closeness centrality | Sum of the distances linking the units in a network, whether directly or indirectly connected | |
| Betweenness centrality | Sum of the probabilities that a unit is present in all the geodesics of the other units in the network (Index of the shortest path) | |
| Flow centrality | An alternative to betweenness centrality calculated under the assumption that resource flows in each link will determine the most likely paths | |
| Eigenvector | Measurement of the influence of a unit on the network. Privileged position in the network by being connected to many units that are well connected | |
| Clustering | Clustering coefficient | Measure of the degree to which units in a network tend to cluster. Quotient between the number of existing ties of all direct contact units and the maximum number of ties that could exist between them all |
| Clique | A group of units in which all members have direct ties with all others, based on closeness, reciprocity, and frequency of ties | |
| Modularity | Measurement of the strength of division of a network into groups. It is used to detect the structure of a group in the network | |
| Homophily | Extent to which group members have their closest ties to members who are similar to themselves | |
| Transitivity | Measurement of connections within a set of network members | |
| Equivalences | Similarity, role or position | Compare the characteristics of the units in a network, namely: ties, relationships, etc. |
| Social Capital Category | Social Capital Variable | Network Indicators | Method Used to Calculate the Network Indicators 1 | Reference | ||
|---|---|---|---|---|---|---|
| D | SE | Description | ||||
| Bonding Form | Social capital bonding | Tie strength | X | Software R (Pack SNA) | [105] | |
| Network size | X | Software iGraph 0.6 and Python | [107] | |||
| X | Computer program using Twitter developer API version 1.1 | [119] | ||||
| Density | X | Number of existing ties within a community network divided by the maximum possible number of ties | [90] | |||
| Degree centrality | X | Software R (Pack SNA) | [104] | |||
| X | Package iGraph para python | [106] | ||||
| X | Package iGraph para python | [107] | ||||
| Modularity | X | Louvain method: automated “community detection” algorithm | [90] | |||
| Transitivity | X | Software iGraph 0.6 and Python | [107] | |||
| Bridging Form | Social capital bridging | Tie strength | X | Software R (Pack SNA) | [105] | |
| X | Ec. used by Eagle et al. (2010) | [90] | ||||
| Distance | X | Ec. proposed by Scellato et al. (2010) | [90] | |||
| Betweenness | X | Software R (Pack SNA) | [104] | |||
| Clusters | X | Package iGraph para python | [106] | |||
| X | Louvain method | [107] | ||||
| Modularity | X | Louvain method | [107] | |||
| Social Capital Category | Social Capital Variable | Network Indicators | Method Used to Calculate the Network Indicators 1 | Reference | ||
|---|---|---|---|---|---|---|
| D | SE | Description | ||||
| Structural Dimension | Social Connectivity | Network size | X | “Shared Count” tool | [126] | |
| X | Twiteer API | [132] | ||||
| Degree centrality | X | Software UCINET 6 and NetDraw | [112] | |||
| X | Software UCINET 6 | [113] | ||||
| X | Ec. Proposed by Newman (2006) | [122] | ||||
| X | Data acquired from a supplier | [89] | ||||
| X | Software Pajek (pack SNA) | [131] | ||||
| Betweenness | X | Software UCINET 6 and NetDraw | [112] | |||
| X | Software UCINET 6 | [113] | ||||
| Eigenvector | X | Software UCINET 6 and NetDraw | [112] | |||
| Cliques | X | Software UCINET 6 | [113] | |||
| Structural configuration | Degree centrality | X | Software NodeXL | [51] | ||
| In-degree centrality | X | Software NodeXL | [51] | |||
| X | Software Python and NodeXL | [140] | ||||
| Out-degree centrality | X | Software NodeXL | [51] | |||
| Betweenness | X | Ec. proposed by Freeman (1977) | [124] | |||
| X | Software Pajek and UCINET 6 | [139] | ||||
| X | Software Python and NodeXL | [140] | ||||
| Modularity | X | Software NodeXL and Gephi | [51] | |||
| Clustering coef | X | Ec. propuesta por Opsahl (2013) | [89] | |||
| Transitivity | X | Propuesto por Brooks et al. (2014) | ||||
| Structural holes | X | Software Pajek and UCINET 6 | [139] | |||
| Structural diversity | Betweenness | X | Girvan–Newman community detection algorithm | [141] | ||
| Modularity | X | |||||
| Social Capital Category | Social Capital Variable | Network Indicators | Method Used to Calculate the Network Indicators 1 | Reference | ||
|---|---|---|---|---|---|---|
| D | SE | Description | ||||
| Cognitive Dimension | Exchange by affinity | TimeStamp | X | Package de SNA—software Pajek | [131] | |
| Degree centrality | X | Package de SNA—software Pajek | ||||
| Clusters | X | Software UCINET 6 and NetDraw | [112] | |||
| X | Computational Coh-Metrix Tool | [118] | ||||
| X | Text Analyzer | [126] | ||||
| X | Number of retweets under the #ConvictTRF4, #SupportLulainPOA | [129] | ||||
| X | Louvain method | [135] | ||||
| X | SentiStrength tool | [138] | ||||
| Modularity | X | Software Gephi and R | [135] | |||
| Social Cohesion | Degree centrality | X | Software Gephi-ForceAtlas algorithms | [109] | ||
| Betweenness | X | |||||
| Closeness | X | |||||
| Eigenvector | X | |||||
| Path Length | X | |||||
| Clustering coef | X | |||||
| Social Capital Category | Social Capital Variable | Network Indicators | Method Used to Calculate the Network Indicators 1 | Reference | ||
|---|---|---|---|---|---|---|
| D | SE | Description | ||||
| Relational Dimension | Social contagion | Distance | X | Software Gephi and R | [135] | |
| Diameter | X | Software Gephi and R | ||||
| Density | X | Software Gephi and R | ||||
| Network Size | X | Twitter’s streamming API | [127] | |||
| Degree centrality | X | Calculated by equation | [110] | |||
| X | Software Gephi and R | [135] | ||||
| Closeness | X | Calculated by equation | [110] | |||
| X | Software Gephi and R | [135] | ||||
| Betweenness | X | Calculated by equation | [110] | |||
| X | Software Gephi and R | [135] | ||||
| Cluster | X | Content analysis | [127] | |||
| X | Louvain method | [135] | ||||
| Social Identity | Clusters | X | Software Linguistic Inquiry Word Count | [104] | ||
| X | Software Linguistic Inquiry Word Count | [105] | ||||
| X | Eq. Euclidean &Jaccard-Distance | [137] | ||||
| Modularity | X | Maximization algorithm | [137] | |||
| Prestige | In-Degree | X | Software Pajek64 3.12 and UCINET 6 | [139] | ||
| Betweenness | X | Software Pajek64 3.12 and UCINET 6 | ||||
| Engagement | Tie Strength | X | Information taken from user profiles | [108] | ||
| X | Software Python and NodeXL | [140] | ||||
| Network Size | X | Information taken from user profiles | [108] | |||
| X | Software Python and NodeXL | [140] | ||||
| Degree | X | Software UCINET | [120] | |||
| X | Software NodeXL and Pajek | [130] | ||||
| Out-Degree | X | Software Gephi | [129] | |||
| X | Software NodeXL and Pajek | [130] | ||||
| In-Degree | X | Software NodeXL and Pajek | [130] | |||
| Betweenness | X | Software NodeXL and Pajek | ||||
| Closeness | X | Software NodeXL and Pajek | ||||
| Homophily | X | Software UCINET—E-I Índex and QAP | [120] | |||
| Clusters | X | Louvain method | [130] | |||
| Social interaction | Density | X | Software NodeXL | [51] | ||
| Degree | X | Software R (pack SNA) | [105] | |||
| X | Software UCINET 6 and NetDraw | [112] | ||||
| X | Software iGraph | [118] | ||||
| X | Dataset published by Illinois University Rui et al. (2012) | [134] | ||||
| Out-Degree | X | [134] | ||||
| In-Degree | X | |||||
| Betweenness | X | Software R (pack SNA) | [105] | |||
| X | Software UCINET 6 and NetDraw | [112] | ||||
| X | Software iGraph | [118] | ||||
| X | Software NodeXL | [51] | ||||
| Eigenvector | X | Software iGraph | [118] | |||
| X | Software UCINET 6 and NetDraw | [112] | ||||
| Closeness | X | Software iGraph | [118] | |||
| Clusters | X | Software VOSmapping and Pajek | [139] | |||
| Transitivity | X | Ec. by Newman (2006) | [122] | |||
| Modularity | X | Ec. by Newman (2006) | [122] | |||
| X | Software Gephi | [129] | ||||
| Homophily | X | E-I Index with UCINET 6 | [139] | |||
| Brokerages Roles | X | Software NodeXL and Gephi algorithm | [51] | |||
| Relational Dimension | Social Influence | Tie Strength | X | (a) Social context of the relationship; (b) Recent relationship; (c) Common interests; (d) Frequency of interaction | [102] | |
| Density | X | Package of Python | [111] | |||
| Diameter | X | k-shell (or k-core) decomposition method | [138] | |||
| Path Length | X | SmartSocial model and other algorithms | [136] | |||
| X | k-shell (or k-core) decomposition method | [138] | ||||
| Network Size | X | R Core Team (2014) | [128] | |||
| Degree Centrality | X | Package of Python (Sanp.py by Stanford) | [111] | |||
| X | Calculated by equation and algorithms | [123] | ||||
| X | SmartSocial model | [136] | ||||
| X | k-shell (or k-core) decomposition method | [138] | ||||
| In-Degree Centrality | X | Software NexaIntelligence by Nexalogy | [114] | |||
| X | Software Gephi | [129] | ||||
| Betweenness | X | Eq by Brandes (2001) & using R | [128] | |||
| X | Eq. by Latora and Marchiori (2007) | [133] | ||||
| Closeness | X | Package of Python | [111] | |||
| Embeddedness | X | Commercial application hosted Facebook | [102] | |||
| X | Python and NodeXL | [140] | ||||
| Eccentric | X | Package of Python | [111] | |||
| Network Overl. | X | Eq. by Peng et al. (2018) | [117] | |||
| PageRank | X | Package of Python | [111] | |||
| X | Models influence propagations | [123] | ||||
| X | Eq. by Langville and Meyer (2003) | [133] | ||||
| Coreness | X | k-shell (or k-core) decomposition method | [138] | |||
| Alphacentrality | X | Models influence propagations | [123] | |||
| TrueTop | X | Eq. by Zhang et al., 2015 | [133] | |||
| Cluster | X | Software Linguistic Inquiry Word Count | [114] | |||
| X | SentiStrength tool | [138] | ||||
| X | Twitter biographical descriptions | [140] | ||||
| Modularity | X | SmartSocial model | [136] | |||
| Transitivity | X | Calculated by equation | [117] | |||
| Clustering coefficient | X | Package of Python | [111] | |||
| X | SmartSocial model and other algorithms | [136] | ||||
| Homophily | X | Software NexaIntelligence & LIWC | [114] | |||
| Popularity | Network Size | X | Ec. by Burt (2009) | [121] | ||
| In-Degree | X | Information taken from the SNS | [115] | |||
| X | Software Pajek64 3.12 and UCINET 6 | [139] | ||||
| Degree | X | Number of posts, views, comments, stars | [116] | |||
| X | Ec. by Burt (2009) | [121] | ||||
| X | Ec. by Freeman (1979) | [124] | ||||
| Eigenvector | X | Calculated by equation | [121] | |||
| Reciprocity | Out-Degree | X | Dataset published by Illinois University Rui et al. (2012) | [134] | ||
| Clustering coefficient | X | |||||
| Clusters | X | Software Linguistic Inquiry Word Count | ||||
| Reputation | In-Degree | X | Software UCINET/Netdraw | [125] | ||
| Betweenness | X | Software UCINET/Netdraw | ||||
| Closeness | X | Software UCINET/Netdraw | ||||
| Eigenvector | X | Software UCINET/Netdraw | ||||
| In-Coreness | X | D-core decomposition analysis | [115] | |||
| Homophily | X | E-I Index—software UCINET/Netdraw | [125] | |||
Publisher’s Note: MDPI stays neutral with regard to jurisdictional claims in published maps and institutional affiliations. |
© 2021 by the authors. Licensee MDPI, Basel, Switzerland. This article is an open access article distributed under the terms and conditions of the Creative Commons Attribution (CC BY) license (https://creativecommons.org/licenses/by/4.0/).
Share and Cite
Sánchez-Arrieta, N.; González, R.A.; Cañabate, A.; Sabate, F. Social Capital on Social Networking Sites: A Social Network Perspective. Sustainability 2021, 13, 5147. https://doi.org/10.3390/su13095147
Sánchez-Arrieta N, González RA, Cañabate A, Sabate F. Social Capital on Social Networking Sites: A Social Network Perspective. Sustainability. 2021; 13(9):5147. https://doi.org/10.3390/su13095147
Chicago/Turabian StyleSánchez-Arrieta, Natalia, Rafael A. González, Antonio Cañabate, and Ferran Sabate. 2021. "Social Capital on Social Networking Sites: A Social Network Perspective" Sustainability 13, no. 9: 5147. https://doi.org/10.3390/su13095147
APA StyleSánchez-Arrieta, N., González, R. A., Cañabate, A., & Sabate, F. (2021). Social Capital on Social Networking Sites: A Social Network Perspective. Sustainability, 13(9), 5147. https://doi.org/10.3390/su13095147

