Influences of Spectral Power Distribution on Circadian Energy, Visual Comfort and Work Performance
Abstract
1. Introduction
2. Methods
2.1. Experimental Conditions and Light Sources
2.2. Experiment Area and Participants
2.3. Photometric Measurements
2.4. Subjective Evaluation of Visual Comfort, Work Performance and Mood
2.5. Quantifying Discomfort Glare
2.6. Estimating Circadian and Circadian Energy Elements
2.7. Experimental Protocol
2.8. Statistical Analysis
3. Results
3.1. Circadian and Circadian Energy Elements
3.1.1. Melatonin Suppression (MS) and Circadian Light (CL)
3.1.2. Effective and Nominal Circadian Energy
3.2. Visual Comfort
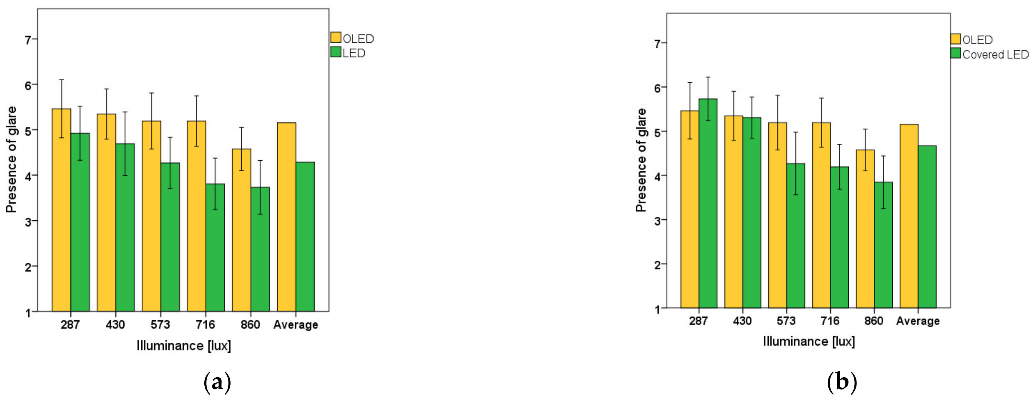
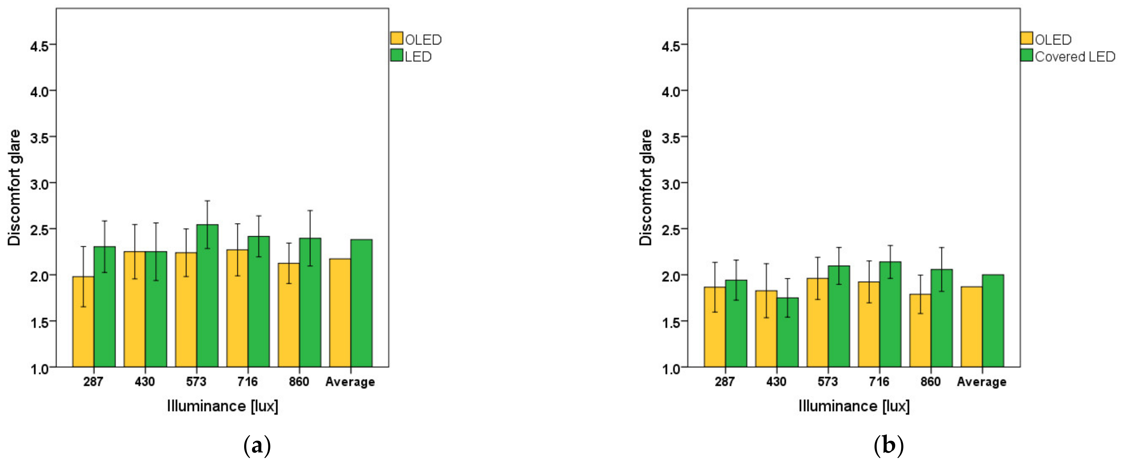
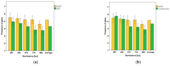
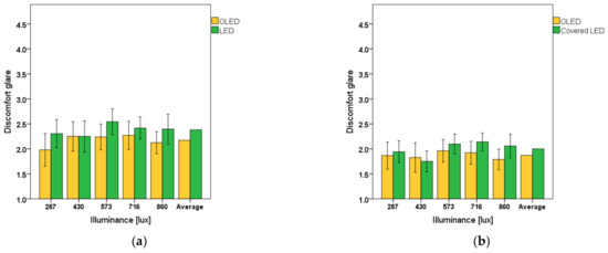
3.2.1. Discomfort Glare
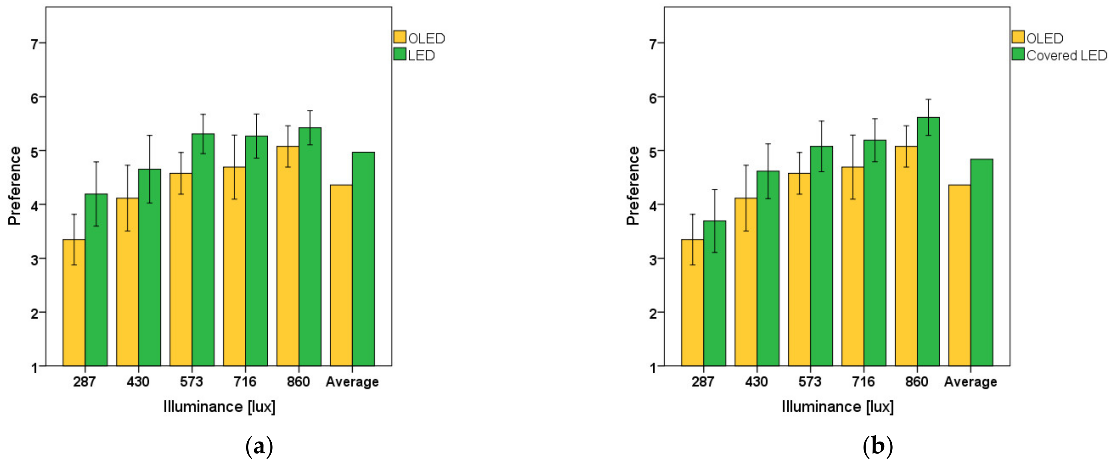
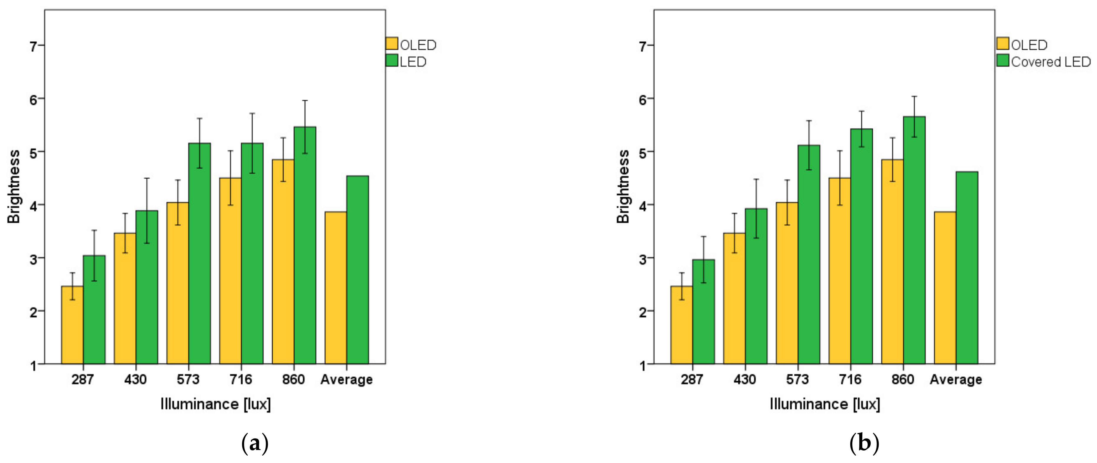
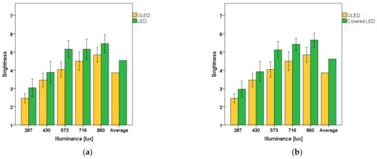
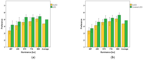
3.2.2. Preference and Brightness
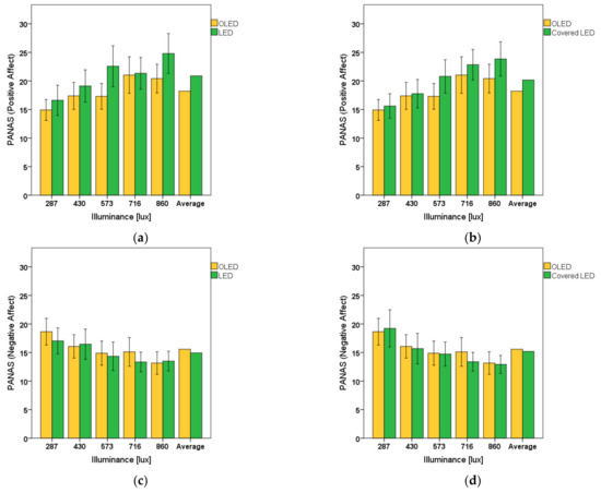
3.3. Work Performance and Mood
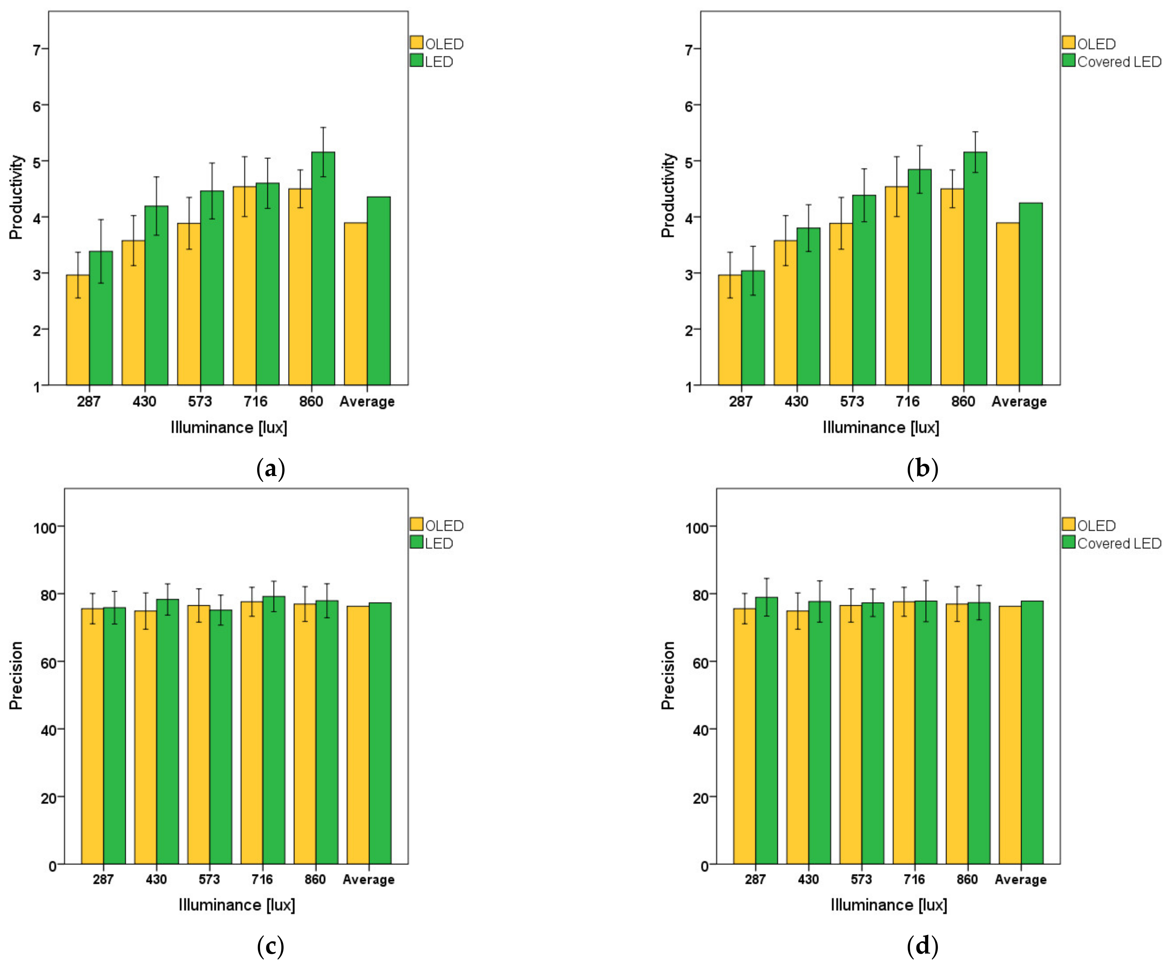
3.3.1. Self-Reported Productivity and Precision
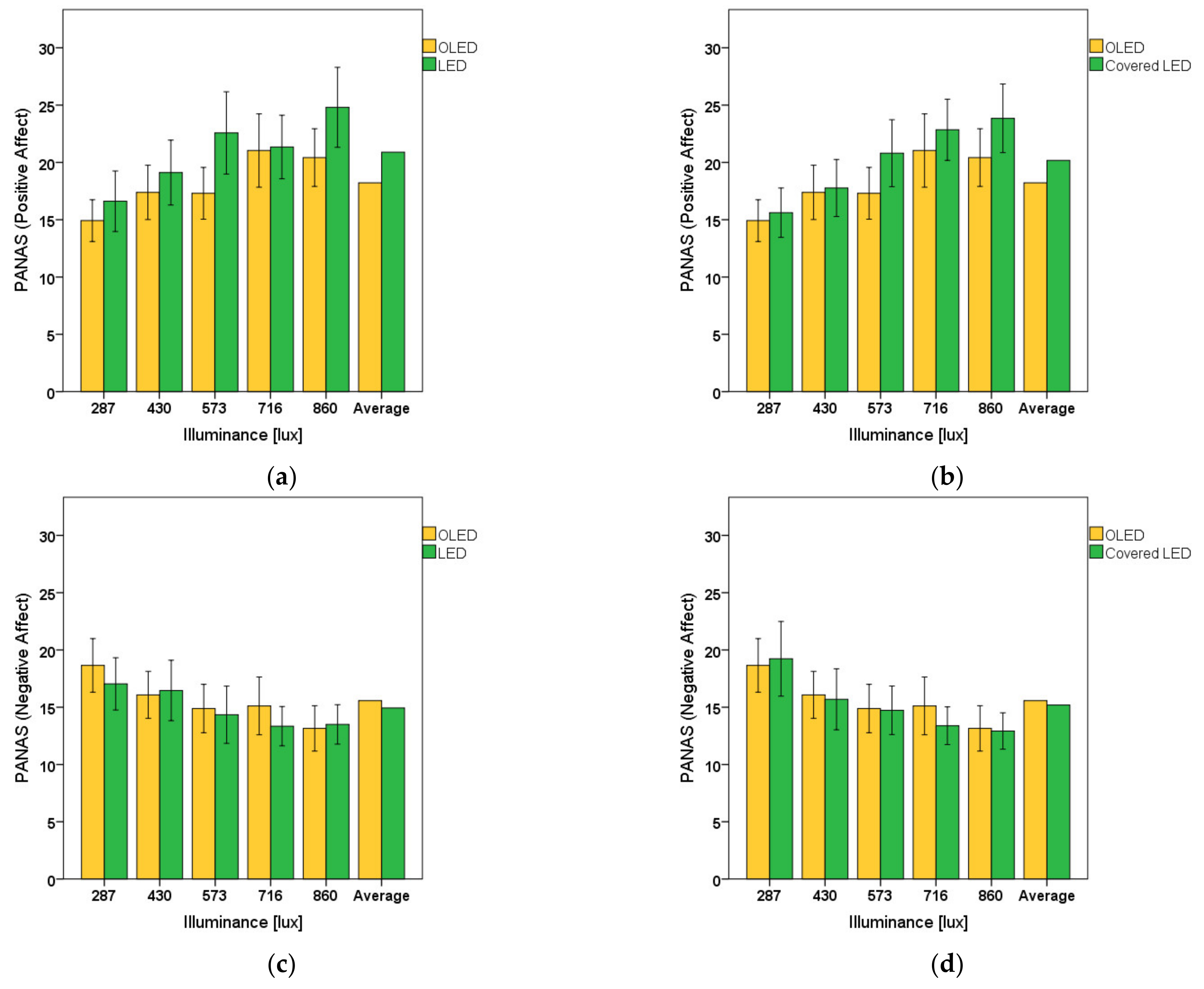
3.3.2. Mood
4. Discussion
4.1. Circadian Elements and Circadian Energy Implications
4.2. Visual Comfort
4.3. Work Performance and Mood
5. Limitations and Future Research
6. Conclusions
Author Contributions
Funding
Informed Consent Statement
Data Availability Statement
Conflicts of Interest
References
- Ucal, M.; Xydis, G. Multidirectional Relationship between Energy Resources, Climate Changes and Sustainable Development: Technoeconomic Analysis. Sustain. Cities Soc. 2020, 60, 102210. [Google Scholar] [CrossRef]
- Altomonte, S.; Allen, J.; Bluyssen, P.M.; Brager, G.; Heschong, L.; Loder, A.; Schiavon, S.; Veitch, J.A.; Wang, L.; Wargocki, P. Ten Questions Concerning Well-Being in the Built Environment. Build. Environ. 2020, 180, 106949. [Google Scholar] [CrossRef]
- Xiao, H.; Cai, H.; Li, X. Non-Visual Effects of Indoor Light Environment on Humans: A Review. Physiol. Behav. 2021, 228, 113195. [Google Scholar] [CrossRef] [PubMed]
- Berson, D.M.; Dunn, F.A.; Takao, M. Phototransduction by Retinal Ganglion Cells That Set the Circadian Clock. Science 2002, 295, 1070–1073. [Google Scholar] [CrossRef] [PubMed]
- Walker, W.H.; Walton, J.C.; DeVries, A.C.; Nelson, R.J. Circadian Rhythm Disruption and Mental Health. Transl. Psychiatry 2020, 10, 28. [Google Scholar] [CrossRef] [PubMed]
- Ahabrach, H.; El Mlili, N.; Errami, M.; Cauli, O. Circadian Rhythm and Concentration of Melatonin in Breast Cancer Patients. EMIDDT 2020, 20. [Google Scholar] [CrossRef]
- Mason, I.C.; Qian, J.; Adler, G.K.; Scheer, F.A.J.L. Impact of Circadian Disruption on Glucose Metabolism: Implications for Type 2 Diabetes. Diabetologia 2020, 63, 462–472. [Google Scholar] [CrossRef] [PubMed]
- Figueiro, M.; Kalsher, M.; Steverson, B.; Heerwagen, J.; Kampschroer, K.; Rea, M. Circadian-Effective Light and Its Impact on Alertness in Office Workers. Lighting Res. Technol. 2019, 51, 171–183. [Google Scholar] [CrossRef]
- Hartstein, L.E.; Tuzikas, A.; Karlicek, R.F. The Impact of Dynamic Changes in Light Spectral Power Distribution on Cognitive Performance and Wellbeing. LEUKOS 2020, 16, 289–301. [Google Scholar] [CrossRef]
- Bellia, L.; Bisegna, F.; Spada, G. Lighting in Indoor Environments: Visual and Non-Visual Effects of Light Sources with Different Spectral Power Distributions. Build. Environ. 2011, 46, 1984–1992. [Google Scholar] [CrossRef]
- Pode, R. Organic Light Emitting Diode Devices: An Energy Efficient Solid State Lighting for Applications. Renew. Sustain. Energy Rev. 2020, 133, 110043. [Google Scholar] [CrossRef]
- Hopkinson, R.G. Glare from Daytighting in Buildings. Appl. Ergon. 1972, 3, 206–215. [Google Scholar] [CrossRef]
- Watson, D.; Clark, L.A. The PANAS-X: Manual for the Positive and Negative Affect Schedule Expanded Form; The University of Iowa: Iowa City, IA, USA, 1999. [Google Scholar]
- Cai, H.; Chung, T. Evaluating Discomfort Glare from Non-Uniform Electric Light Sources. Lighting Res. Technol. 2013, 45, 267–294. [Google Scholar] [CrossRef]
- Tähkämö, L.; Partonen, T.; Pesonen, A.-K. Systematic Review of Light Exposure Impact on Human Circadian Rhythm. Chronobiol. Int. 2019, 36, 151–170. [Google Scholar] [CrossRef]
- Rivera, A.M.; Huberman, A.D. Neuroscience: A Chromatic Retinal Circuit Encodes Sunrise and Sunset for the Brain. Curr. Biol. 2020, 30, R316–R318. [Google Scholar] [CrossRef] [PubMed]
- Rea, M.S.; Figueiro, M.G.; Bullough, J.D.; Bierman, A. A Model of Phototransduction by the Human Circadian System. Brain Res. Rev. 2005, 50, 213–228. [Google Scholar] [CrossRef] [PubMed]
- Truong, W.; Zandi, B.; Trinh, V.Q.; Khanh, T.Q. Circadian Metric—Computation of Circadian Stimulus Using Illuminance, Correlated Colour Temperature and Colour Rendering Index. Build. Environ. 2020, 184, 107146. [Google Scholar] [CrossRef]
- Houser, K.W.; Esposito, T. Human-Centric Lighting: Foundational Considerations and a Five-Step Design Process. Front. Neurol. 2021, 12, 630553. [Google Scholar] [CrossRef] [PubMed]
- Van Creveld, K.; Mansfield, K. Lit Environments That Promote Health and Well-Being. Build. Serv. Eng. Res. Technol. 2020, 41, 193–209. [Google Scholar] [CrossRef]
- Oh, J.H.; Yang, S.J.; Do, Y.R. Healthy, Natural, Efficient and Tunable Lighting: Four-Package White LEDs for Optimizing the Circadian Effect, Color Quality and Vision Performance. Light Sci. Appl. 2014, 3, e141. [Google Scholar] [CrossRef]
- Templeton, G.F. A Two-Step Approach for Transforming Continuous Variables to Normal: Implications and Recommendations for IS Research. CAIS 2011, 28, 41–58. [Google Scholar] [CrossRef]
- Sunde, E.; Pedersen, T.; Mrdalj, J.; Thun, E.; Grønli, J.; Harris, A.; Bjorvatn, B.; Waage, S.; Skene, D.J.; Pallesen, S. Alerting and Circadian Effects of Short-Wavelength vs. Long-Wavelength Narrow-Bandwidth Light during a Simulated Night Shift. Clocks Sleep 2020, 2, 37. [Google Scholar] [CrossRef] [PubMed]
- Figueiro, M.; Steverson, B.; Heerwagen, J.; Yucel, R.; Roohan, C.; Sahin, L.; Kampschroer, K.; Rea, M. Light, Entrainment and Alertness: A Case Study in Offices. Lighting Res. Technol. 2020, 52, 736–750. [Google Scholar] [CrossRef]
- Figueiro, M.G.; Leggett, S. Intermittent Light Exposures in Humans: A Case for Dual Entrainment in the Treatment of Alzheimer’s Disease. Front. Neurol. 2021, 12, 625698. [Google Scholar] [CrossRef]
- Cain, S.W.; McGlashan, E.M.; Vidafar, P.; Mustafovska, J.; Curran, S.P.N.; Wang, X.; Mohamed, A.; Kalavally, V.; Phillips, A.J.K. Evening Home Lighting Adversely Impacts the Circadian System and Sleep. Sci. Rep. 2020, 10, 19110. [Google Scholar] [CrossRef]
- Hamedani, Z.; Solgi, E.; Skates, H.; Hine, T.; Fernando, R.; Lyons, J.; Dupre, K. Visual Discomfort and Glare Assessment in Office Environments: A Review of Light-Induced Physiological and Perceptual Responses. Build. Environ. 2019, 153, 267–280. [Google Scholar] [CrossRef]
- Goodman, T.M.; Bergen, T.; Blattner, P.; Ohno, Y.; Schanda, J.; Uchida, T. The Use of Terms and Units in Photometry–Implementation of the CIE System for Mesopic Photometry (CIE TN 004: 2016); Commission Internationale de l‘Eclairage (CIE): Vienna, Austria, 2016. [Google Scholar]
- Nie, J.; Zhou, T.; Chen, Z.; Dang, W.; Jiao, F.; Zhan, J.; Chen, Y.; Chen, Y.; Pan, Z.; Kang, X.; et al. Investigation on Entraining and Enhancing Human Circadian Rhythm in Closed Environments Using Daylight-like LED Mixed Lighting. Sci. Total Environ. 2020, 732, 139334. [Google Scholar] [CrossRef] [PubMed]














| Variables | Equipment | Range | Accuracies | Manufacturer |
|---|---|---|---|---|
| Illuminance | Testo 540 | 0–99,999 [lux] | ±3 [lux] | Testo AG, Germany |
| Spectral power distribution | Avaspec-3648 UV/VIS | 220–1100 [nm] | ±0.5 [nm] | Avantes, Netherlands |
| Light Source | CL |
|---|---|
| OLED | 0.1836 |
| LED | 0.1488 |
| D65 | 0.3491 |
| Incandescent lamp | 0.1376 |
| Fluorescent lamp | 0.0914 |
| Light Source | CE (CL/W) | LE (Lumen/W) | CAF |
|---|---|---|---|
| OLED | 70.64 | 52.94 | 1.33 |
| LED | 131.69 | 121.8 | 1.08 |
| D65 | 304.45 | 120.0 | 2.54 |
| Incandescent lamp | 7.51 | 7.51 | 1.00 |
| Fluorescent lamp | 59.78 | 77.40 | 0.77 |
| Light Source | CE (CL/W) | LE (Lumen/W) | CAF |
|---|---|---|---|
| OLED | 78.81 | 45 | 1.75 |
| LED | 141.93 | 100 | 1.42 |
| D65 | 399.59 | 120.0 | 3.33 |
| Incandescent lamp | 10.50 | 7.51 | 1.00 |
| Fluorescent lamp | 78.46 | 97.00 | 0.81 |
Publisher’s Note: MDPI stays neutral with regard to jurisdictional claims in published maps and institutional affiliations. |
© 2021 by the authors. Licensee MDPI, Basel, Switzerland. This article is an open access article distributed under the terms and conditions of the Creative Commons Attribution (CC BY) license (https://creativecommons.org/licenses/by/4.0/).
Share and Cite
Ngarambe, J.; Kim, I.; Yun, G.Y. Influences of Spectral Power Distribution on Circadian Energy, Visual Comfort and Work Performance. Sustainability 2021, 13, 4852. https://doi.org/10.3390/su13094852
Ngarambe J, Kim I, Yun GY. Influences of Spectral Power Distribution on Circadian Energy, Visual Comfort and Work Performance. Sustainability. 2021; 13(9):4852. https://doi.org/10.3390/su13094852
Chicago/Turabian StyleNgarambe, Jack, Inhan Kim, and Geun Young Yun. 2021. "Influences of Spectral Power Distribution on Circadian Energy, Visual Comfort and Work Performance" Sustainability 13, no. 9: 4852. https://doi.org/10.3390/su13094852
APA StyleNgarambe, J., Kim, I., & Yun, G. Y. (2021). Influences of Spectral Power Distribution on Circadian Energy, Visual Comfort and Work Performance. Sustainability, 13(9), 4852. https://doi.org/10.3390/su13094852

