Abstract
The main aim of the study was to assess the environmental performance, through the application of the life cycle assessment, of a recycled paper production process focusing on the energy aspect. The production process occurred in a paper mill that produces packaging paper using paper and cardboard from source separation of municipal solid waste as raw materials. Two scenarios (S1 and S2) were defined by their energy supply sources. A cogeneration (CHP) system using natural gas for the combined production of thermal and electric energy was the source in S1. The Italian electricity grid (using the Italian country mix) and a natural gas boiler were the separate sources for electric and thermal energy, respectively, in S2. Finally, in order to evaluate the environmental effects on the results of the study about the variation in the natural gas supply source, four alternative Italian import mixes (M1, M2, M3, and M4) were defined by varying the contribution of the supplier countries. The environmental impacts were evaluated with ReCiPe 2016 (H) using both midpoint and endpoint approaches. The results showed that for both the scenarios, the energy consumption was the main cause of impacts mainly because of the natural gas contribution. The presence of the cogeneration (CHP) system generated significant environmental benefits compared with the use of energy provided by more conventional sources. The production and use of chemicals as well as the disposal of waste produced during the paper production were other environmental hotspots. The variation in the composition of the Italian import mix of natural gas, in terms of the supplier country’s contribution, had a significant influence on the results. The import of natural gas from Russia was the most impactful option. Since Russia is the country that contributes to the Italian import mix the most, in the next years, the use of natural gas in Italy could become increasingly impactful. Therefore, the replacement of natural gas with renewable sources is an urgent priority.
1. Introduction
Recycling processes present the opportunity to obtain secondary raw materials from municipal solid waste (MSW), converting waste into useful resources. Therefore, promoting these processes is essential, especially in countries like Italy where raw materials are scarce and it is often necessary to import them [1]. The maximization of the recycling allows resources to be used more efficiently and, at the same time, increases the economic value of waste [2], reducing virgin raw materials consumption and increasing the circularity in the supply chain [3].
Looking at the management of waste paper, several studies have highlighted that paper recycling is always much better than landfilling and incineration in environmental terms [4,5], also taking into account different geographic locations or different systems of paper recycling/disposal [6]. Furthermore, the recovered fibers, through paper recycling, can be a profitable raw material for the paper mills because of both the legislative promotion of recycling and the lower price compared with the virgin pulp material price [7]. Liu et al. (2020) [8] discussed the importance of increasing the recycling rate of paper and cardboard in China, quantifying the environmental advantages and the economic benefits obtainable by the paper industry using waste paper flows as raw material. In environmental terms, to produce a ton of paper from recycled fibers allows the consumption of less resources and the reduction of greenhouses gas (GHG) emissions and the amount of produced waste [9].
Several studies compared the environmental performance of paper production using virgin or recycled fibers through the application of the life cycle assessment (LCA) methodology, highlighting that the use of recycled fibers is the most environmentally sound choice for all the impact categories considered [10,11]. Nevertheless, the recycled fibers can cause some critical issues because of the different quality of waste paper, which can affect the quality of the recycled paper and its actual possibilities to substitute the virgin paper on the market [12]. To solve this issue, in the context of the open-loop recycling of paper products, Hohenthal at al. (2019) [13] considered two key factors: the number of recycled fiber uses and their age.
LCA is the most used methodology to assess, in environmental terms, alternative systems considering their whole life cycle [14]. LCA allows comparison of different systems, taking into account the resource consumption as well as the pollutant emission occurring during all phases of their life cycle [15,16].
Although the use of recycled fibers is better than the use of virgin fibers in environmental terms, the paper production process presents significant environmental loads. Masternak-Janus et al. (2015) [17] pointed out that the energy requirement of paper production is one of the main environmental hotspots of the process, especially because of the consumption of electricity.
Man et al. (2020) [18] stated that the paper industry in China contributed to more than 10% of the total GHG emissions of manufacturing industries and construction, and this was mainly due to the high consumption of energy. Considering the high contribution of the energy to the total impact of the paper production process, the energy supply source used in the paper mill plays a central role [19].
This study proposed an assessment of the environmental performances of a recycled paper production process through the application of the LCA focusing on the effects of the energy supply source. The recycling processes analyzed occurred in a paper mill, located in Southern Italy, which produces packaging paper using paper and cardboard from the source separation of MSW as raw materials.
The main aim of the study was to evaluate the influence, in environmental terms, of the presence of a cogeneration system (CHP) for the combined production of electric and thermal energy required by the paper production process. For this purpose, the current scenario (S1) was compared with an alternative scenario (S2) in which the thermal energy needed by the paper mill was provided by a common natural gas boiler, whereas the electricity was provided by the Italian electricity grid.
Finally, a focus on the variation of natural gas supplier countries in terms of the Italian import mix composition was performed in order to point out the influence of supplier country contribution on the environmental impacts due to the natural gas consumption. For this purpose, the results of the study obtained using the natural gas supplied from different countries were compared to investigate how much this aspect can affect the results.
2. Materials and Methods
2.1. Paper Mill under Study
The considered paper mill is the largest one in Campania (a region of Southern Italy). The facility produces packaging paper using only recycled fibers as raw materials. The final products are obtained only through the recycling of paper and cardboard coming from the MSW separate collection. Testliner and fluting paper are the final products that together constitute the corrugated cardboard mainly used for secondary and tertiary packaging. Fluting, the middle liner of corrugated cardboard, is a layer of wavy paper contained between two layers of testliner (smooth paper) that are the top and the bottom layers of corrugated cardboard.
The production capacity of the plant is 20 t/d of recycled paper and cardboard. The production processes of recycled paper are composed of four main phases: mixing and pulping, paper production, paper reel preparation, and storage of the final product. During the mixing and pulping phase, paper and cardboard from the MSW separate collection and selection are mixed and introduced in a pulper where the waste paper is dipped in water and is pulped. Then, the mixture follows different steps of purification and refining in order to eliminate impurities and other substances. The paper sheet is obtained during the paper production phase. Subsequently, it is pressed (in the press areas) and dried with the drying rollers. Then, the dried sheet is rolled up in the paper reel preparation phase. The final product is stored before sale.
The production process of recycled paper requires a huge consumption of energy (in terms of thermal and electric energy). The paper mill under study has a CHP system, which uses natural gas for the combined production of the amount of thermal and electric energy required by the production process. The CHP system of the paper mill produces a surplus of electricity sold to the national electricity grid. Despite this, during short maintenance periods of the CHP system, the paper mill acquires part of its electricity needs from the national grid. For the paper production process, the paper mill also needs a huge amount of water, which is partially recirculated or drawn from a well. Wastewater produced during the paper production process is treated in a wastewater treatment plant and recirculated, while a small part of the effluent is discharged in the sewer system. The waste produced in the paper mill are mainly pulper waste and metals. The pulper waste are mainly composed of plastics and fibers waste.
2.2. LCA Approach
The study was performed in accordance with the requirements of the ISO standards (ISO 14040, 2006; ISO 14044, 2006), which define four main phases: (1) goal and scope definition, (2) life cycle inventory, (3) life cycle impact assessment, and (4) interpretation [20].
2.2.1. Goal and Scope Definition
There were two main aims of the study: (1) identifying the main environmental hotspots of the recycled paper production processes, which take place in the considered paper mill; (2) evaluating if the presence of the CHP system for energy supply, in addition to being an economic advantage for the paper mill, also entails environmental advantages in the production process compared with a conventional energy supply (separation of thermal and electrical energy).
In order to evaluate the last aspect, two scenarios were compared:
- The current scenario (S1) based on the presence of a CHP system, which uses natural gas for the combined production of electric and thermal energy (the actual situation of the paper mill);
- The alternative scenario (S2) based on the separate production of thermal energy with a common natural gas boiler and electricity provided by the national electricity grid.
The difference between the two scenarios (S1 and S2) was based on the thermal and electrical energy supply system to the paper mill. In the S1 scenario, the use of the CHP system resulted in a greater natural gas consumption than the S2 scenario, in which the natural gas was used in a boiler only for thermal energy generation (for more details and information see Section 2.2.2). However, the CHP system produced a surplus amount of electricity that was sold to the national electricity grid and, in scenario S2, the electricity required by the paper production process was taken by the Italian electricity grid whose production mix is based on fossil fuels to an extent greater than 50% [21].
Paper production is the main function of a paper mill. The paper mill under study produces only recycled paper using sorted paper and cardboard coming from the MSW separate collection. Therefore, the functional unit (FU) of the study was defined as 1 t of recycled paper produced in the considered paper mill.
A from-gate-to-gate approach was used to perform the analysis, therefore the system boundaries of the study were defined in order to take into account all the processes from the paper and cardboard recovery to the paper mill gate (Figure 1).
Figure 1.
System boundaries of the study for both of the considered scenarios: (a) S1 (the current scenario) (b) and S2 (the alternative scenario).
The resources required by all the phases of the paper production process were considered (such as production and use of chemicals, fuel, water, etc.); waste and wastewater produced during the paper production process were considered as well as their treatment and disposal processes.
Regarding the energy requirement, the production, transport, and the combustion of the natural gas used by the CHP system (scenario S1) and by the boiler (scenario S2) were considered as well as the production of the electricity share for both the scenarios (by the Italian country mix), which the paper mill obtained by the national electricity grid. Furthermore, air emissions due to the energy production were considered (for both the scenarios).
The electricity production of the CHP system was higher than the paper mill’s needs. Therefore, the electricity surplus amount, given by the electricity grid, was considered as avoided product.
The study did not consider the distribution of the produced paper to the paper mill customers, the life of sorted paper and cardboard before becoming waste, the construction and disposal of all the infrastructure (buildings, machinery, etc.), and the wastewater treatment after its discharging in the sewer system.
As shown in Figure 1, for scenario S2, the system boundaries were the same except for the energy requirement production. Regarding the thermal energy, a boiler that uses natural gas combustion was assumed; however, its construction, maintenance, and disposal were not considered.
2.2.2. Inventory
The second phase of the LCA procedure is the life cycle inventory where all data were collected and expressed in terms of the FU of the study. All the processes of the paper production were modelled with primary inventory data, provided by the considered paper mill, and the Ecoinvent v.3.6 database was the main source of the background data. The scenario modelling was performed using SimaPro 9 software tool.
Inventory data about the main resources required by the productive process are reported in Table 1, while Table 2 shows the types and the amounts of produced waste with reference to the type of treatment process to which they were sent. For each data the numerical value with the unit of measure (u.m.) was reported.
Table 1.
Inventory data of required resources input (data referring to the FU).
Table 2.
Inventory data of the waste produced during the recycled paper production (data referring to the FU).
Inventory data about the energy component were different for the two scenarios and are reported in Table 3. The electricity consumption for the paper production process was the same for the two scenarios, but, in scenario S1, the CHP system produced more electricity than necessary, and the surplus was sold to the national electricity grid (this amount was considered as an avoided burden). Nevertheless, the paper mill received a small amount of electricity from the national grid (Table 3). In scenario S2, the electricity required by the paper production process was taken completely from the national grid.
Table 3.
Inventory data regarding the energy requirement for the productive process (reporting the differences in inputs and outputs between scenarios S1 and S2).
Although the thermal energy required was the same for the two scenarios, the natural gas consumption was lower for scenario S2 because the value of the thermal efficiency assumed for the natural gas boiler in scenario S2 (equal to 90%) was higher than the corresponding value of the CHP system (equal to 55%). The values for the thermal efficiency were provided by technical catalogues of an industrial boiler company (for the boiler) [22] and by the paper mill (for the CHP system).
Regarding the natural gas, modelling of the import phase was carried out. The import phase covers all the steps of the natural gas production and transport from the producing countries to Italy. The Italian import mix considered in the study contained data referring to the year 2020, and they were provided by the Italian Ministry of Economic Development [23]. The contribution percentages of natural gas supplier countries for the considered Italian mix were as follows: 53.6% Russia (RU), 25.3% Algeria (DZ), and 21.1% northern European countries (18.4% the Netherlands (NL) and 2.7% Norway (NO)).
2.2.3. Life Cycle Impact Evaluation
The environmental impacts of the two scenarios were estimated with ReCiPe 2016 considering a hierarchist perspective (H) using both the endpoint and midpoint levels. ReCiPe 2016 combines a midpoint problem-oriented approach with an endpoint damage-oriented approach, comprising two sets of impact categories with associated sets of characterization factors. At the midpoint level, 18 impact categories were considered, whereas, at the endpoint level, the 17 categories were grouped into three macro-categories: human health, ecosystems, and resources [24].
Following the same approach of Ferrara and De Feo (2020) [25], in this study, the analysis made at the midpoint level was mainly focused on some impact categories, i.e., those that provided the greater contribution to the three macro-categories of the method:
- -
- Global warming potential (GWP) and fine particulate matter formation (FPMF) (the total contribution was greater than 90% to the human health macro-category);
- -
- Global warming potential (GWP) and land use (LU) (the total contribution was greater than 97% to the ecosystems macro-category);
- -
- Fossil resources scarcity (FRS) (the contribution was greater than 99% to the resources macro-categories).
The results of the analysis, in terms of the impact values for each midpoint and endpoint category of ReCiPe 2016, can be obtained as follows:
where:
- Ic is the impact value for category c
- Ej is the element j of the inventory analysis results that can generate a potential impact for ReCiPe category c
- CFj,c is the characterization factor of the element j for ReCiPe category c
- J is the total elements of the inventory analysis results that can generate a potential impact for ReCiPe category c.
2.2.4. Analysis of the Variation in the Italian Natural Gas Import Mix
In order to evaluate how much the natural gas supply source (in terms of type and origin of the natural gas amounts) can influence the results of the study, different compositions of the Italian import mix were considered. Therefore, alongside the Italian mix considered (M0), four alternative mixes (M1, M2, M3, and M4) were defined by varying the percentages of natural gas imports from the countries that supply it to Italy (Table 4).
Table 4.
Natural gas import mixes considered in the study, defined as a function of the different percentage contributions of the supplier countries.
Although the paper mill cannot choose the composition of the natural gas import mix, to assess this aspect highlights how much the impacts linked to the use of natural gas may vary as a function of the supplier country. This aspect adds an element of evaluation in the process of choosing energy sources in the future.
Mix M0 is the Italian import mix that represented the real situation in the year 2020 [23]. Mixes M1, M2, and M3 represented virtual situations in which it was assumed that natural gas was supplied from a single country (M1 from Russia, M2 from Algeria, and M3 from northern European countries, respecting the percentage contribution of the Netherlands and Norway). Instead, mix M4 was defined considering an equal percentage contribution from each country.
3. Results and Discussion
This section consists of three parts. The first part presents the comparison between the environmental performances of the two scenarios (S1 and S2) evaluated with the midpoint and endpoint levels of the ReCiPe 2016 (H) method. In the second part, the key aspects that contributed the most to the total impacts for the two scenarios were identified and discussed. Finally, the third part reports the results about the effects of the natural gas supply source variations.
3.1. Environmental Performance Comparison of Scenario S1 and Scenario S2
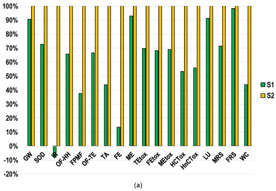
Figure 2 points out the comparison between the environmental impacts of the two considered scenarios (S1 and S2) calculated with both the midpoint and the endpoint categories of the ReCiPe 2016 method. For each impact category, the values were reported in percentage terms as a function of the scenario with the highest impact value.

Figure 2.
Environmental comparison of the two considered scenarios (S1 and S2) for the (a) midpoint categories and (b) endpoint categories of the ReCiPe 2016 (H) method. Impact category acronyms: GWP = global warming potential; SOD = stratospheric ozone depletion; IR = ionizing radiation; OF-HH = ozone formation, human health; PMF = fine particulate matter formation; OF-TE = ozone formation, terrestrial ecosystems; TA = terrestrial acidification; FE = freshwater eutrophication; ME = marine eutrophication; TEcotox = terrestrial ecotoxicity; FEcotox = freshwater ecotoxicity; MEcotox = marine ecotoxicity; HCTox = human carcinogenic toxicity; HnCTox = human non-carcinogenic toxicity; LU = land use; MRS = mineral resource scarcity; FRS = fossil resource scarcity; WC = water consumption.
At the midpoint level, scenario S1 was the best environmental alternative for all the impact categories, highlighting that the presence of the CHP system leads to an environmental benefit in the recycled paper production process compared with the use of energy provided by more conventional sources [26].
The same results were obtained at the endpoint level, considering the human health and the ecosystems macro-categories, whereas the opposite findings occurred with the resources macro-category. In this case, scenario S2 was responsible for lower impacts than scenario S1. These results showed an apparent anomaly: scenario S2 had a better environmental performance than S1 in terms of resources (endpoint category), whereas the opposite occurred with the fossil resources scarcity (FRS) midpoint category, although the latter provided a contribution greater than 99% to the resources endpoint category (see Section 2.2.3). This anomaly occurred because of the specific procedure for calculating the impacts due to the amounts of brown coal and hard coal needed for the paper production in the two scenarios.
Table 5 and Table 6 show the key aspects of the impact estimation related to the FRS midpoint category and the resources endpoint category: all the elements of the inventory analysis considered for both categories; the characterization factors for each element and the impact values were calculated for the two scenarios.
Table 5.
Elements of inventory analysis results considered for the impact calculations in terms of the fossil resource scarcity midpoint category; characterization factors and impact values for the S1 and the S2 scenarios.
Table 6.
Elements of inventory analysis results considered for the impact calculations in terms of the resources endpoint category; characterization factors and impact values for the S1 and the S2 scenarios.
As shown in Table 5 and Table 6, the amount of brown coal consumed in the two scenarios was considered in the impact calculation only in terms of fossil resource scarcity (midpoint category). Furthermore, looking at the characterization factors of hard coal for the two categories, the relative importance of this item in the impact calculation was much higher for the midpoint category (Table 5) than for the endpoint category (Table 6).
The main differences between S1 and S2 related to the consumption of brown coal and hard coal. In the inventory analysis, results occurred mainly for the aspect related to the electricity from the national grid. For scenario S2, the electricity supply from the grid was responsible for about 55% and 79% of the total consumption of brown coal and hard coal, respectively, and this was mainly because of the share of coal (about 7%) used in the Italian mix of electricity production [21]. The discussed aspects about the impact estimations with the two categories determined the apparent anomaly found in the obtained results.
3.2. Environmental Hotspots of the Recycled Paper Production
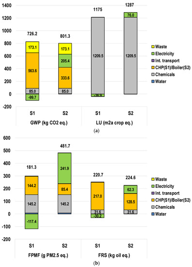
Figure 3 proposes a comparison between the impacts of the two considered scenarios (S1 and S2) showing the different contributions of each key factor with the most relevant midpoint categories (identified through the procedure reported in Section 2.2.3). The greater relevance of these categories for the paper production process was also pointed out in other studies. Ingwersen at el. (2016) [27] found that the most critical environmental indicators were fossil fuel depletion, climate change, land occupation, and particulate matter formation.
Figure 3.
Contributions of the key aspects to the total impact of the two scenarios (S1 and S2), assessed with the following midpoint categories of ReCiPe 2016: (a) global warming potential and land use and (b) fine particulate matter formation and fossil resources scarcity.
In agreement with the results of other studies [17,28], in both the scenarios, the huge amount of energy required for the paper production process was the main cause of impacts for all the considered midpoint categories (except for land use).
In scenario S1, where the electric and thermal energy required were produced by a CHP system using natural gas, this key aspect contributed to the total impact for about 70% in terms of global warming (Figure 3a), whereas for scenario S2, where the separation of thermal and electrical energy source occurred, the percentage contribution to the impact of the energy requirements (about 68%) was divided between the boiler (about 42%) and electricity from national grid (about 26%). Such results agree with Man et al. (2020) [18] in which the authors highlighted that the greenhouse gas emissions due to the energy consumption were about 75% of the total emissions of the paper production process.
The negative contributions of the electricity to the impacts of scenario S1, which occurred with all the midpoint categories considered, represent the environmental benefits due to the electricity surplus produced by the CHP and given to the national electricity grid. Looking at the results obtained with the FRS category, the contribution of the energy aspect to the total impacts was even higher, reaching about 80% for both the scenarios.
Although the natural gas amount required in scenario S2 was 40% lower than scenario S1, the impacts, in terms of FRS, were higher for scenario S2, and this was also due to the incidence of the electricity consumption provided by the Italian country mix, which was based more than 50% on the use of fossil fuels [21]. Therefore, using a country mix with a greater contribution from renewable sources and a lower presence of fossil fuel, could produce different results. This aspect was also discussed in Kiss et al. (2020) [29] where the authors stated that the impacts due to the electricity consumption from the grid can vary significantly both in the short and in the long term because of variation in the supply mix.
Other environmental hotspots identified were: (1) the production and use of chemicals, which most affected the impacts in terms of land use, and (2) the waste produced during the paper production, which provided a significant contribution to the total impacts for both scenarios in terms of global warming.
The same key aspects for the S1 and the S2 scenarios were also identified with the use of the endpoint categories of ReCiPe 2016 (Figure 4), and this was due to the fact that the four midpoint categories considered were the most relevant at the endpoint level.
Figure 4.
Contribution analysis in percentage terms of each key aspect to the total impact of the S1 and the S2 scenarios, evaluated with the endpoint categories of ReCiPe 2016.
The significant impacts of waste calculated with GWP at the midpoint level and with human health at the endpoint level were mainly due to the disposal processes of incineration and landfilling [28]. Plastic waste, the fraction with the largest amount, was responsible for the highest environmental burdens.
Regarding the impacts of chemicals, they provided the highest contribution to the total impacts for both the scenarios in terms of land use at the midpoint level and in terms of ecosystems at the endpoint level, but they significantly affected the total impacts of the two scenarios for all the impact categories. The importance of this key aspect was also found by other authors. Hong and Li (2012) [30] and Manda et al. (2012) [31] pointed out that the chemicals’ production and use are environmental hotspots in the paper production process.
Figure 5 shows the percentage contributions of the substances to the total impacts of chemicals estimated with the four midpoint categories considered.
Figure 5.
Contribution analysis in percentage terms of each substance to the total impact of chemicals used in the recycled paper production.
Corn and potato starches were the most impactful chemicals for all the impact categories because of the environmental burdens of their production. Another important contribution to the chemical impacts was provided by the production of the retentive polymers. On the other hand, starches and retentives were the chemicals with the largest amounts used in the recycled paper production; the amounts of the other chemicals used were of an order of magnitude smaller (Table 1).
3.3. Environmental Effects of the Variation in the Italian Natural Gas Import Mix Composition
Considering the high impacts due to the energy consumption (mainly due to the natural gas), different compositions of the Italian import mix were considered in order to evaluate how much the natural gas supply source (in terms of country of origin) influenced the findings of the study.
Table 7 shows the effects on the results obtained by adopting the different import mixes: M1–M4 (defined as reported in Section 2.2.4). For each considered mix, the table reports the environmental impacts of the two scenarios in terms of the GWP and FRS midpoint categories and the percentage variations of the results with respect to the base case of the study for S1 and S2 (with the M0 mix).
Table 7.
Environmental impacts, in terms of the GWP and the FRS midpoint categories, of the S1 and the S2 scenarios as a function of the different compositions of natural gas import mixes in Italy and percentage variations of impacts with respect to the reference mix of the study (M0).
The variation in the contributions of the natural gas supplier countries had non-negligible influence on the results. In terms of the GWP, between the worst and the best import mix, the environmental impacts of the recycled paper production varied by more than 20% (considering the S1 scenario); whereas, in terms of the FRS category, this variation was lower (about 15%).
These results referred only to the production of 1 t of recycled paper in a medium-sized paper mill. Therefore, the environmental effects of changes in the natural gas import mix composition can be of enormous importance considering the total Italian import of natural gas (about 71 billion m3 in 2019) [32].
The highest impacts were obtained with the import mix M1, in which it was supposed that all the natural gas was supplied by Russia. On the opposite, the best mix in environmental terms was M3, with the European countries as the only natural gas supplier country. Therefore, importing natural gas from Algeria caused greater impacts than importing it from European countries, and the worst option, in environmental terms, was importing natural gas from Russia.
Compared to the base case of the study (mix M0), only the M1 mix caused higher impacts, and this occurred because the Russian contribution in the Italian import mix (M0) was more than 50% (see Table 4). This means that, in the next years, the use of natural gas in Italy could become increasingly impactful. The data concerning the availability of natural gas fields highlights that, among all countries that contribute to the Italian import mix, the most substantial reserves of natural gas are in Russia and in the countries of the Middle East (Qatar and Iran) [32]. In the future, the import contribution of natural gas from these countries will be destined to grow, with a consequent increase in environmental impacts. Therefore, it is increasingly urgent to push towards an increase in the use of renewable sources in order to replace natural gas as soon as possible for energy production [33]. In this regard, future research could be focused on the definition of other scenarios of energy supply for the paper mill. Renewable energy sources could be taken into account as, for example, the wind energy obtainable through the installation of a wind turbine in the paper mill, as evaluated in Yamaki et al. (2020) [19]. In the considered paper mill, the natural gas consumption could be significantly reduced by covering part of the paper mill’s energy needs with wind energy.
Another possibility to evaluate for the paper mill could be the energy production with the CHP system using a fuel more eco-friendly than natural gas, which was also considered in Gaudreault et al. (2009) [34]. Wood waste or biomethane could be taken into account.
The choice of using renewable energy sources by completely or partially replacing natural gas represents for the company the real possibility of acting to reduce the environmental loads of the paper production process. By resorting to natural gas, the company obviously does not have the possibility to choose the composition of the gas import mix.
4. Conclusions
This study presented an evaluation of the environmental performance of a recycled paper production process through the application of life cycle assessment focusing on the effects of the energy supply source. Two scenarios (S1 and S2) were defined as a function of the production source of the thermal and electrical energy required for the paper production.
The results obtained with the ReCiPe 2016 (H) method at the midpoint level, showed that scenario S1 was the best environmental alternative for all the impact categories, suggesting that the presence of a cogeneration system leads environmental benefits in the recycled paper production process. For both the scenarios, the huge amount of energy required for the paper production process was the main cause of impacts, especially because of the natural gas consumption (except for land use). The production and the use of chemicals were others environmental hotspots for both the scenarios for all the impact categories, providing the highest contribution for the land use category. Finally, the disposal of waste produced during the paper production provided a non-negligible contribution to the impacts in terms of global warming.
Similar results were obtained in terms of the endpoint categories except for the resources macro-category, highlighting an apparent anomaly: although FRS was the midpoint category that contributed the most to the resources endpoint category (about 99%), the results obtained with these two categories about the comparison between the S1 and the S2 scenarios were opposite. This apparent anomaly occurred because of the specific procedure for the calculation of the impacts due to the amounts of brown coal and hard coal needed for the paper production in the two scenarios.
Focusing on the environmental effects of the natural gas supply source, the results pointed out that the variation in the contributions of the supplier countries had a non-negligible influence on the results. Between the worst and the best import mix, the environmental impacts of the recycled paper production, in terms of the GWP, varied by more than 20%.
Because of the greatest distance, Russia was the most impactful source of natural gas among those considered as alternatives in the gas country mix. Therefore, in the next years, the use of natural gas in Italy could become increasingly impactful because the data concerning the availability of natural gas fields highlights that the most substantial reserves are in Russia. Considering that natural gas is the main source of energy in Italy, these results highlighted the need to significantly increase the share of renewable sources in the energy production in Italy in the shortest possible time.
Author Contributions
Conceptualization, G.D.F.; methodology, G.D.F. and C.F.; software, G.D.F. and C.F.; validation, G.D.F. and C.F.; formal analysis, G.D.F. and C.F.; investigation, G.D.F. and C.F.; resources, G.D.F. and C.F.; data curation, G.D.F. and C.F.; writing—original draft preparation, G.D.F. and C.F.; writing—review and editing, G.D.F. and C.F.; visualization, G.D.F. and C.F.; supervision, G.D.F. All authors have read and agreed to the published version of the manuscript.
Funding
This research received no external funding.
Institutional Review Board Statement
Not applicable.
Informed Consent Statement
Not applicable.
Data Availability Statement
The data presented in this study are available on request from the corresponding author.
Acknowledgments
Many thanks to Luigi Rapido for his technical support in the data collection phase.
Conflicts of Interest
The authors declare no conflict of interest.
References
- De Feo, G.; Polito, A.R. Using economic benefits for recycling in a separate collection centre managed as a “reverse supermarket”: A sociological survey. Waste Manag. 2015, 38, 12–21. [Google Scholar] [CrossRef]
- Kazançoglu, Y.; Ada, E.; Ozturkoglu, Y.; Ozbiltekin, M. Analysis of the barriers to urban mining for resource melioration in emerging economies. Resour. Policy 2020, 68, 101768. [Google Scholar] [CrossRef]
- Xavier, L.H.; Giese, E.C.; Ribeiro-Duthie, A.C.; Lins, F.A.F. Sustainability and the circular economy: A theoretical approach focused on e-waste urban mining. Resour. Policy 2019, 101467. [Google Scholar] [CrossRef]
- Schmidt, J.H.; Holm, P.; Merrild, A.; Christensen, P. Life cycle assessment of the waste hierarchy—A Danish case study on waste paper. Waste Manag. 2007, 27, 1519–1530. [Google Scholar] [CrossRef]
- Merrild, H.; Damgaard, A.; Christensen, T.H. Life cycle assessment of waste paper management: The importance of technology data and system boundaries in assessing recycling and incineration. Resour. Conserv. Recycl. 2008, 52, 1391–1398. [Google Scholar] [CrossRef]
- Villanueva, A.; Wenzel, H. Paper waste—Recycling, incineration or landfilling? A review of existing life cycle assessments. Waste Manag. 2007, 27, S29–S46. [Google Scholar] [CrossRef] [PubMed]
- Merrild, H.; Damgaard, A.; Christensen, T.H. Recycling of paper: Accounting of greenhouse gases and global warming contributions. Waste Manag. Res. 2009, 27, 746–753. [Google Scholar] [CrossRef]
- Liu, M.; Tan, S.; Zhang, M.; He, G.; Chen, Z.; Fu, Z.; Luan, C. Waste paper recycling decision system based on material flow analysis and life cycle assessment: A case study of waste paper recycling from China. J. Environ. Manag. 2020, 255, 109859. [Google Scholar] [CrossRef]
- Iosip, A.; Dobon, A.; Hortal, M.; Bobu, E. The influence of contaminants in the environmental impact of recovered paper: A life cycle assessment perspective. Int. J. Life Cycle Assess. 2012, 17, 1050–1058. [Google Scholar] [CrossRef]
- Laurijssen, J.; Marsidi, M.; Westenbroek, A.; Worrell, E.; Faaij, A. Paper and biomass for energy? Resour. Conserv. Recycl. 2010, 54, 1208–1218. [Google Scholar] [CrossRef]
- Ghinea, C.; Petraru, M.; Simion, I.M.; Sobariu, D.; Bressers, H.T.A.; Gavrilescu, M. Life Cycle Assessment of Waste Management and Recycled Paper Systems. Environ. Eng. Manag. J. 2014, 13, 2073–2085. [Google Scholar] [CrossRef]
- Chang, J.C.; Beach, R.H.; Olivetti, E.A. Consequential effects of increased use of recycled fiber in the United States pulp and paper industry. J. Clean. Prod. 2019, 241, 118133. [Google Scholar] [CrossRef]
- Hohenthal, C.; Leon, J.; Dobon, A.; Kujanpää, M.; Meinl, G.; Ringman, J.; Hortal, M.; Forsström, U. The ISO 14067 approach to open-loop recycling of paper products: Making it operational. J. Clean. Prod. 2019, 224, 264–274. [Google Scholar] [CrossRef]
- De Feo, G.; Ferrara, C. A procedure for evaluating the most environmentally sound alternative between two on-site small-scale wastewater treatment systems. J. Clean. Prod. 2017, 164, 124–136. [Google Scholar] [CrossRef]
- International Organization for Standardization (ISO 14040). Environmental Management—Life Cycle Assessment—Principles and Framework; International Organization for Standardization: Geneva, Switzerland, 2006. [Google Scholar]
- International Organization for Standardization (ISO 14044). Environmental Management—Life Cycle Assessment—Requirements and Guidelines; International Organization for Standardization: Geneva, Switzerland, 2006. [Google Scholar]
- Masternak-Janus, A.; Rybaczewska-Błażejowska, M. Life Cycle Analysis of Tissue Paper Manufacturing from Virgin Pulp or Recycled Waste Paper. Manag. Prod. Eng. Rev. 2015, 6, 47–54. [Google Scholar] [CrossRef][Green Version]
- Man, Y.; Li, J.; Hong, M.; Han, Y. Energy transition for the low-carbon pulp and paper industry in China. Renew. Sustain. Energy Rev. 2020, 131, 109998. [Google Scholar] [CrossRef]
- Yamaki, A.; Kanematsu, Y.; Kikuchi, Y. Lifecycle greenhouse gas emissions of thermal energy storage implemented in a paper mill for wind energy utilization. Energy 2020, 205, 118056. [Google Scholar] [CrossRef]
- De Feo, G.; Ferrara, C. Investigation of the environmental impacts of municipal wastewater treatment plants through a Life Cycle Assessment software tool. Environ. Technol. 2017, 38, 1943–1948. [Google Scholar] [CrossRef]
- International Energy Agency (IEA) Data & Statistics. 2019. Available online: https://www.iea.org/data-and-statistics (accessed on 23 March 2021).
- Ferraioli. Technical Catalogue. 2013. Available online: http://www.ferroli.co.uk/wp-content/uploads/downloads/2013/12/Industrial-Range-Brochure.pdf (accessed on 23 March 2021).
- MISE. Italian Ministry of Economic Development, the National Energy Situation in 2019. Available online: https://dgsaie.mise.gov.it/pub/sen/relazioni/relazione_annuale_situazione_energetica_nazionale_dati_2019.pdf (accessed on 26 March 2021).
- Huijbregts, M.A.J.; Steinmann, Z.J.N.; Elshout, P.M.F.; Stam, G.; Verones, F.; Vieira, M.; Zijp, M.; Hollander, A.; van Zelm, R. ReCiPe2016: A harmonised life cycle impact assessment method at midpoint and endpoint level. Int. J. Life Cycle Assess. 2017, 22, 138–147. [Google Scholar] [CrossRef]
- Ferrara, C.; De Feo, G. Comparative life cycle assessment of alternative systems for wine packaging in Italy. J. Clean. Prod. 2020, 259, 120888. [Google Scholar] [CrossRef]
- Gaudreault, C.; Samson, R.; Stuart, P.R. Energy decision making in a pulp and paper mill: Selection of LCA system boundary. Int. J. Life Cycle Assess. 2010, 15, 198–211. [Google Scholar] [CrossRef]
- Ingwersen, W.; Gausman, M.; Weisbrod, A.; Sengupta, D.; Lee, S.-J.; Bare, J.; Zanoli, E.; Bhander, G.S.; Ceja, M. Detailed life cycle assessment of Bounty® paper towel operations in the United States. J. Clean. Prod. 2016, 131, 509–522. [Google Scholar] [CrossRef]
- Wang, L.; Templer, R.; Murphy, R.J. A Life Cycle Assessment (LCA) comparison of three management options for waste papers: Bioethanol production, recycling and incineration with energy recovery. Bioresour. Technol. 2012, 120, 89–98. [Google Scholar] [CrossRef]
- Kiss, B.; Kácsor, E.; Szalay, Z. Environmental assessment of future electricity mix—Linking an hourly economic model with LCA. J. Clean. Prod. 2020, 264, 121536. [Google Scholar] [CrossRef]
- Hong, J.; Li, X. Environmental assessment of recycled printing and writing paper: A case study in China. Waste Manag. 2012, 32, 264–270. [Google Scholar] [CrossRef] [PubMed]
- Manda, B.M.K.; Blok, K.; Patel, M.K. Innovations in papermaking: An LCA of printing and writing paper from conventional and high yield pulp. Sci. Total Environ. 2012, 439, 307–320. [Google Scholar] [CrossRef] [PubMed]
- ENI. World Gas and Renewables Review. 2020. Available online: https://www.eni.com/assets/documents/eng/scenari-energetici/WORLD-GAS-AND-RENEWABLES-REVIEW-2020-vol2.pdf (accessed on 23 March 2021).
- Spazzafumo, G. Cogeneration of power and substitute of natural gas using electrolytic hydrogen, biomass and high temperature fuel cells. Int. J. Hydrog. Energy 2018, 43, 11811–11819. [Google Scholar] [CrossRef]
- Gaudreault, C.; Samson, R.; Stuart, P. Implications of choices and interpretation in LCA for multi-criteria process design: De-inked pulp capacity and cogeneration at a paper mill case study. J. Clean. Prod. 2009, 17, 1535–1546. [Google Scholar] [CrossRef]
Publisher’s Note: MDPI stays neutral with regard to jurisdictional claims in published maps and institutional affiliations. |
© 2021 by the authors. Licensee MDPI, Basel, Switzerland. This article is an open access article distributed under the terms and conditions of the Creative Commons Attribution (CC BY) license (https://creativecommons.org/licenses/by/4.0/).





