Abstract
The present study aimed at (i) investigating weekly variations in wellness ratings relative to Hooper indicators (HI): fatigue (wFatigue), stress levels (wStress), delayed onset muscle soreness (wDOMS), sleep quality/disorders (wSleep), and wHI across the full preparation season (PS) and (ii) comparing the aforementioned variables between three periods: early-PS, week (W) W1 to W11; mid-PS, W12 to W22; end-PS, W23 to W32. Ten elite young wrestlers were involved in this study (age, 16 ± 0.7 years; height, 163 ± 4.8 cm; body mass, 57.7 ± 9.0 kg; VO2max, 48.7 ± 1.4 mL/kg−1/min−1). Wellness status was monitored daily using the HI questionnaire. The main results were found in W26 (24.2 ± 3.9 arbitrary units (AU)) and W14 (17.9 ± 7 AU) with the highest and lowest wDOMS, respectively. Decreases in wDOMS were reported during the PS. For wFatigue, the highest and lowest values belong to W19 (24.3 ± 3.3 AU) and W32 (16.7 ± 3.9 AU), respectively. In the case of wFatigue, the level increased within the PS. The highest wHI was observed in W19 (88.5 ± 7.7 AU) and the lowest in W32 (72.3 ± 6.1 AU). There were no significant changes between early-PS compared to mid- and end-PS, while significant changes were found for mid-PS in comparison to the end-PS. Changes in wDOMS, wStress, and wFatigue were in line with the changes in Hooper’s scoring. All PS daily monitoring results can provide a great standpoint from which coaches can determine wellness status throughout the season in elite youth level athletes. This information can be used to avoid the risk of injury, overtraining, and non-functional overreaching.
1. Introduction
Adjusting the training load of athletes is essential for improving their performance. This is particularly true in terms of controlling and monitoring the intensity, volume, duration, and frequency of training. Training load monitoring provides a very beneficial perspective for controlling the training load in athletes, which results in adaptation and improves the level of performance, while to a large extent, preventing the risk of injury, overtraining, and non-functional overreaching syndrome (NFOR) [1,2]. Players may enter into NFOR if the balance between training load and recovery is disturbed [1]. In other words, overtraining risks stimulating the emergence of NFOR in athletes. Overtraining itself is a major cause of injury in athletes. Coaches and athletes need to be fully aware of this risk and know how to identify this condition via its symptoms [2]. Such symptoms include sleep disturbance, decreased appetite, weight loss, headache, allergic responses, increased resting heart rate, and fatigue [3]. Another way to recognize the risk of overtraining and NFOR is hormonal monitoring. In other words, endocrine hormone monitoring can be used as a biomarker of physiological stress that may influence recovery and performance throughout the season. In particular, changes in the levels of growth hormone (GH), cortisol, and the testosterone/cortisol ratio (T/C) have all been reported as being reliable biomarkers that may indicate NFOR in athletes [1,4].
Exercise-related increases in the levels of C are well documented, especially in response to more exhausting exercise. Therefore, salivary C and T measures have been shown to have a relationship with performance in overreached athletes [5,6,7]. However, using hormonal measurements to measure the fatigue of athletes and predict NFOR status is costly. On the other hand, T fluctuates greatly over the course of a single day and, therefore, may not provide a sufficiently stable and accurate measurement of the wellness of athletes [6]. Additionally, elite coaches try to enhance the performance of athletes with reasonable loads of training because of several characteristics and demands, and different periods of the season may require different protocols and different methods of monitoring athlete’s training load [8].
Indeed, monitoring the training load of athletes covers both internal and external loads imposed by the stimulus of training on athletes [9]. For monitoring internal training load, one of the most common affordable methods is by using rating perceived exertion scales (RPE) that provide valid information about the physiological influence of training [10,11,12,13]. Moreover, in contrast with heart rate and the rating of perceived exertion as internal physiological measures, other measures of physiological status are less well known. Indeed, the psychological condition and wellness status of athletes can largely be used to monitor the internal load in response to external stimuli [8]. A recently published paper has introduced the use of the Hooper questionnaire to measure the wellness status of athletes (i.e., well-being), such as perception of fatigue, stress, delayed onset muscle soreness (DOMS), or sleep quality, as another method for monitoring internal training [14]. The Hooper indicator (HI), as a self-analysis questionnaire, is a method that involves the use of well-being ratings that are relative to fatigue, stress level, DOMS, and sleep quality/disorders [15]. The wellness status of the athlete depends on their understanding of the load training that is imposed on them during the season. Understanding the load is determined by several factors such as the level of physical fitness, mood status, fatigue, intensity of the session, and the athlete’s experience [16,17]. Moreover, the analysis of the relationship between the athlete’s wellness and perceived load of training, as well as daily and weekly variations through the season, can create insights in regard to the effect of training and competition in athletes [18,19]. Furthermore, each individual analysis can be useful for controlling weekly training and competition loads to reduce the risk of injury [8,20].
Wrestling, a kind of sport that is accompanied by muscle strength and power, requires high levels of anaerobic energy metabolism of the upper and lower body [21]. Indeed, the quick and explosive maneuvers in wrestling prove that this field requires power and strength factors where anaerobic metabolism is the predominant energy system. The main sources of energy for wrestling as a quick and explosive sport are glycogen (anaerobic glycolysis) and phosphagens (ATP-PC) [22]. Numerous surveys have also reported that another basic requirement for wrestlers could be aerobic performance [21]. Both aerobic and anaerobic performance can be enhanced using new high-intensity intermittent training (HIIT) [23]. The nature of HIIT puts a lot of pressure on athletes, thus, monitoring this style of training should be very important. Upsetting the balance of HIIT training sessions and recovery may cause NFOR and injury [24]. Moreover, it was shown that athletes’ psychometric status will be affected by intense training, fatigue accumulation, insufficient recovery, and training modality [25].
In addition, much research has been done on the wellness statues of wrestling-style combat sports such as judo. For example, one survey in judo athletes shows that after 2 weeks of intensified training during a tapering period, the mood status ameliorated, DOMS decreased, and finally an increase in performance was achieved. This study demonstrated the emphasis of monitoring wellness conditions across combat sports athletes [26]. Due to the association of training loads with quality of life variables, we are convinced that the variables of training loads (perception of fatigue, stress, DOMS, and sleep) need to be monitored at different times during the week and made available to wrestling coaches and athletes. Considering the relationship between wellness variables and the level of performance of athletes and risk of their injury, we hypothesized lower wellness patterns in the early preparation season and higher wellness patterns in the end of preparation season. According to the findings of previous studies, these variables may be appropriate for identifying NFOR syndrome in wrestlers in the preparation season [2,3,15] Thus, the purpose of the current study was to conduct investigations into (1) the weekly patterns of wellness through measuring wDOMS, fatigue (wFatigue), stress (wStress), sleep (wSleep), and wHI across the preparation season (PS) and (2) to analyze the variations of wellness variables between early, mid-, and end-PS.
2. Materials and Methods
2.1. Participants
Participants in this study were ten elite young wrestlers (mean ± standard deviation (SD); age, 16 ± 0.7 years; height, 163 ± 4.8 cm; body mass, 57.7 ± 9.0 kg; VO2max, 48.7 ± 1.4 mL/kg−1/min−1). Athletes included wrestlers taking part in competitions organized by the National Turkish Wrestling Federation (NTWF). The inclusion criteria of this study were wrestlers who participated in at least 90% of the exercises during the study; they were only allowed to practice in the national team camp during the study. Because all of the participants were in the same sports camp center, their nutrition, rest time, and sleep were almost similar to each other. This study was conducted in accordance with the Helsinki Declaration; prior to the start of the study, players and their parents signed informed consent forms that were approved by the Ethics Committee of the Afyon Kocatepe University (ethical approval code number: NOM9; date decision: 12 November 2017).
2.2. Sample Size
We estimated power and sample size according to the statistical analysis method. There is an 84.2% (actual power) chance of correctly rejecting the null hypothesis of no difference in wellness monitoring results across time with a total of 10 wrestlers. We performed an a priori estimation of power and sample size through the G-Power software (version 3.1.9.6) program written by Kiel University, made in Germany. The analysis is based on the study analysis method as follows: F-test; repeated-measures analysis of variance (ANOVA), repeated measures, within factors; power α and 1-β error probability of 0.05, and 0.80, respectively.
2.3. Study Design
This longitudinal study was descriptive, collecting the daily observations of athletes for 32 weeks from the start of the PS. The PS has been followed by the NTWF for the under 17 years. All well-being variables were considered for analysis. We divided the pre-season into three periods due to the specificity of the sport and the high number of training weeks. The division of the PS was as follows: early-PS, W1 to W11; mid-PS, W12 to W22; and end-PS, W23 to W32 (Figure 1). This division was based on a previous study of the same project [27]. Throughout the PS, athletes trained at least 3 times a week. Over the cohort, the range of data points for each participant varied from 190 and 210. The wrestlers had been applying the scale of HI for three years prior to this study. Daily sleep, stress, fatigue, and DOMS status data were collected to report changes in weekly wellness status [15]. The description of the typical microcycle pattern, and its corresponding analyses, were carried out considering only the data from the PS weeks, as they have the most repetitive training format.
Figure 1.
Monitoring of the full preparation season.
2.4. Anthropometric Measurements
Anthropometric variables such as body mass (Seca model 654, with an accuracy of 0.1 per kg) as well as standing height (Seca model 654, Germany, with an accuracy of ±5 mm) were measured. These measurements were taken in the morning [28]. The techniques used for measurement were those under the supervision of the International Society for the Advancement of Kinanthropometry (ISAK) [29,30,31]. This person who performed the measurement was ISAK Level 2 certified. Anthropometric measurements were repeated twice and the average of the two measurements was recorded. Re-measurement was performed if the technical error of anthropometric measurements was more than 3%. Finally, the median of these three measurements was reported [31].
2.5. Aerobic Power Test
The intermittent fitness test 30–15 (30–15 IFT) was used to measure the maximum oxygen uptake (VO2max) [32]. In the intermittent fitness test 30–15 (30–15 IFT), each step involves running from side to side (shuttle runs) for 30 s in a 40 m area. After running for 30 s, the players take an active recovery for 15 s, then repeat the run. Subjects performed a standard dynamic warm-up of 15 min before all tests. After warming up, the subjects were placed in groups of 5 at the A line and after the loudspeaker sounded “Ready, Go!” they started running. The 30–15 IFT continued until the subjects could not continue the test or the two-meter lines were not reached three times in a row. The subjects were encouraged to perform at their maximum performance during the test. Ultimately, we calculated VO2max by the following formula: VO2max (mL/kg−1/min−1) = 28.3 − (2.15 × 1) − (0.741 × age (yrs.)) − (0.0357 × weight (kg)) + (0.0586 × age (yrs.) × VIFT) + (1.03 × VIFT). VIFT was considered as the final speed of the wrestlers at test exhaustion. The validity of this test has already been confirmed [32]. For a test–retest reliability of 0.81, intra-class correlation coefficients in this study were calculated.
2.6. Wellness Status Monitoring
The HI is used to calculate wellness status, which is a self-report containing variables such as stress, fatigue, DOMS, and sleep quality [15,18,33]. The validity of this questionnaire has already been confirmed [15,34]. According to studies, the best method of using this questionnaire is to administer it individually to athletes 30 min before competitions or training sessions [35]. The HI is the sum of the four subjective ratings for the variables of stress, fatigue, DOMS, and sleep quality. The answers to this self-test include scores of 1 to 7, with a score of 1 defining a very good or low situation and a score of 7 defining a very bad or high situation [36,37]. Participants were asked to rate these variables on a Likert scale before performing any exercise to assess general wellness indicators. To measure DOMS, participants were asked to contract their thigh muscles (through the muscles’ range of motion) and the amount of muscle pain (DOMS) was reported [36]. Wrestlers were prompted for their HI scores individually using a custom-designed application on a portable computer tablet. The wrestler selected his HI rating for each item by touching the respective score on the tablet, which was then automatically saved under the wrestler’s profile. This method helped minimize factors that may influence a wrestler’s HI rating, such as peer pressure and replicating other wrestler’s ratings. Wrestlers were familiarized with using the scale over the three years previous to this study. The following accumulated data were captured for each variable by a sum for each week: wStress, wFatigue, wDOMS, wSleep, and wHI. The data were collected individually to avoid players hearing the scores from other teammates. The data were registered daily in the Excel program. The division of the PS was as follows; early-PS, W1 to W11; mid-PS, W12 to W22; and end-PS, W23 to W32. Throughout the PS, athletes trained at least 3 times a week.
2.7. Statistical Analysis
In this study, SPSS (version 22.0; IBM SPSS Inc, Chicago, IL, USA) and Prism GraphPad Model 8.0.1 software (GraphPad Software Inc., San Diego, CA, USA) were used to analyze the data and plot the figures. The mean ± SD were used. The Shapiro–Wilk test was performed to check the normality and Levene’s test was used to check the homogeneity of the mentioned information. Afterward, ANOVA was performed to analyze the differences between the divisions of the PS. The level of significance of all variables in the table using Mauchly’s test of sphericity was above 0.5. The assumption of sphericity was considered from the first column of tests of the within-subjects’ effects table. We also considered partial eta squared (ηp2) for effect size within the ANOVA calculation. Finally, when the difference between periods was observed for each variable, we performed a pairwise comparison for the Bonferroni post hoc test, and we used the Hedge’s g effect size to calculates the effect size between periods. The thresholds of the effect were as follows according to Hopkins’ classification: trivial, ≤0.2; small, >0.2; moderate, >0.6; large, >1.2; very large >2.0; nearly perfect >4.0 [38]. Significance level was set at p ≤ 0.05.
3. Results
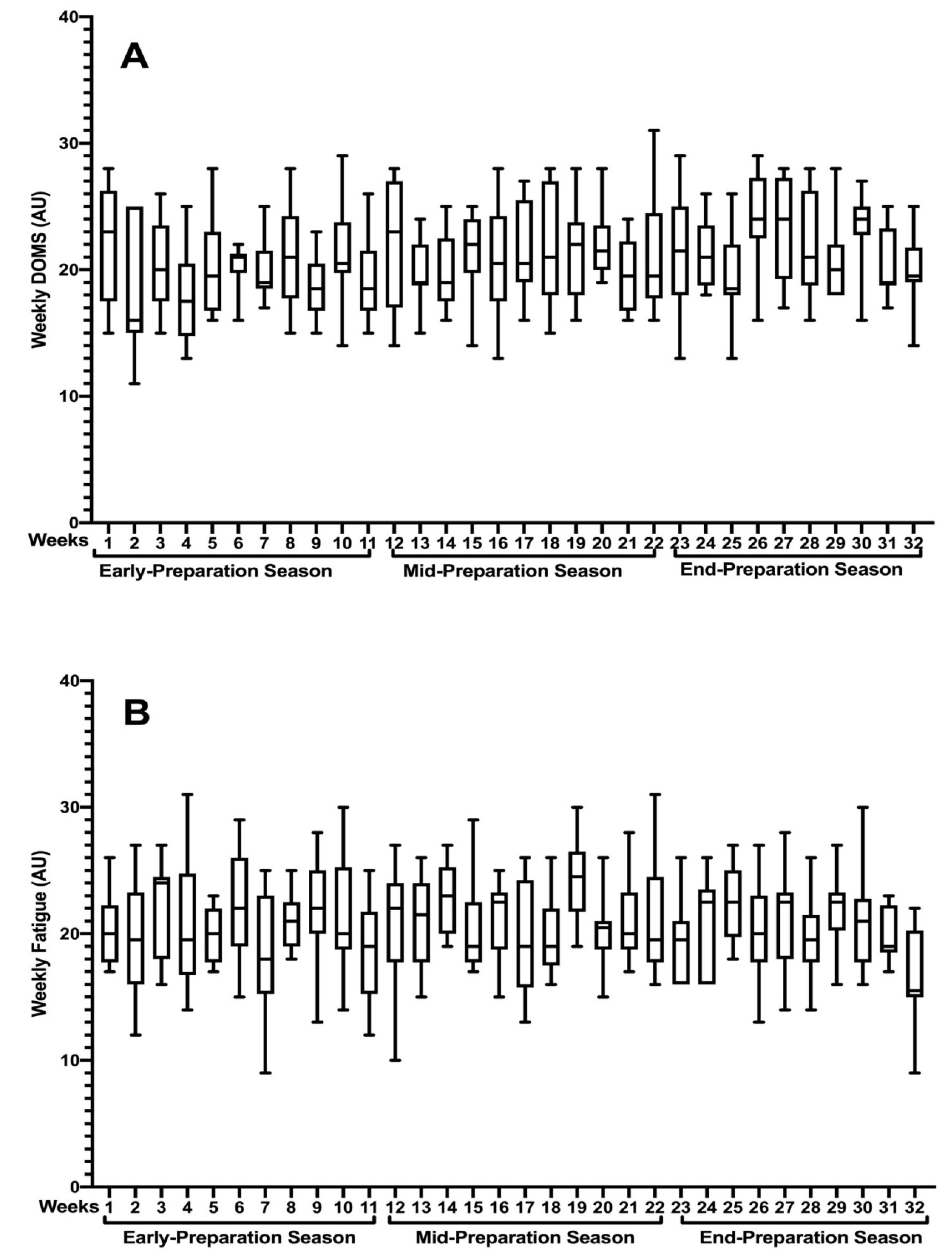
Figure 2 demonstrates the wDOMS and wFatigue variations across the full PS and their different periods. The highest and lowest workloads for wDOMS were in W26 = 24.2 ± 3.9 and W14 = 17.9 ± 7 AU and for wFatigue they were in W19 = 24.3 ± 3.3 and W32 = 16.7 ± 3.9 AU, respectively.
Figure 2.
Description of weekly (A) DOMS and (B) fatigue across the full preparation season. DOMS, delayed onset muscle soreness; AU, arbitrary units.
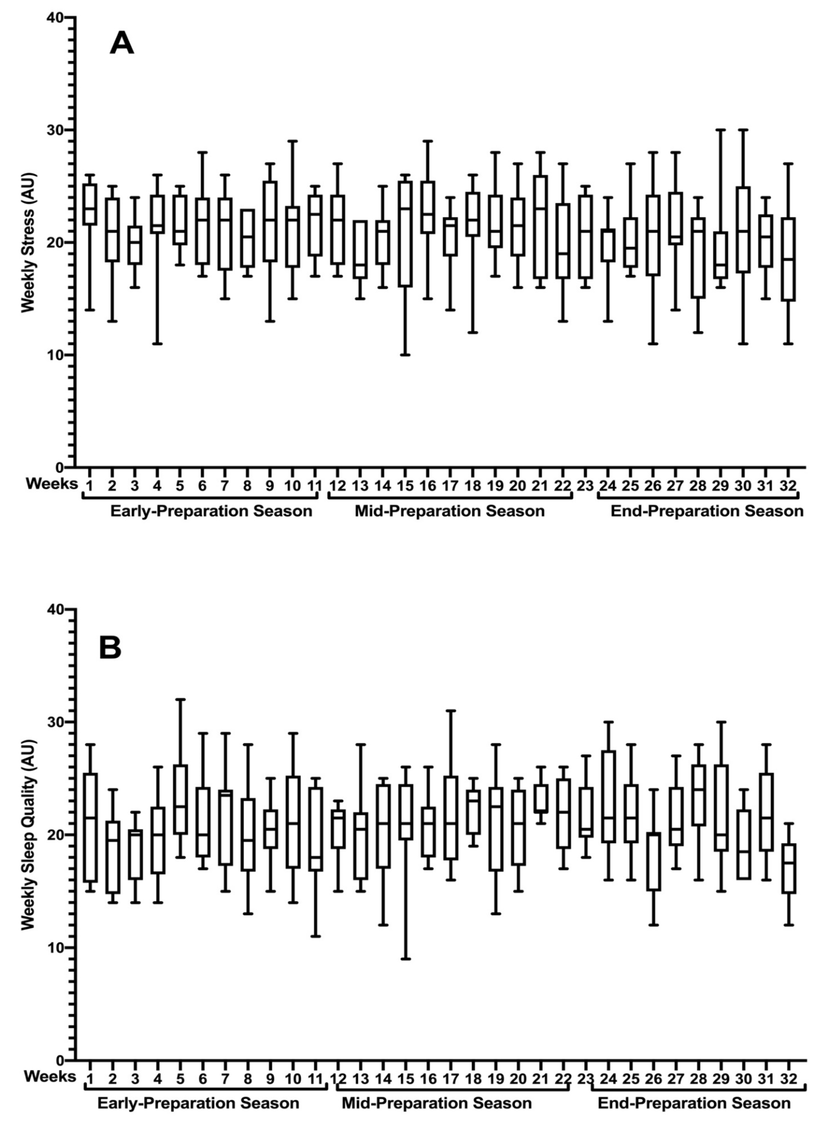
Figure 3 illustrates the wStress and wSleep variations across the full PS and their different periods. The highest and lowest workloads for wStress were in W16 = 22.6 ± 3.9 and W14 = 18.3 ± 6.9 AU and for wSleep they were in W5 and 28 = 23.3 ± 4.1 and W3 = 16.8 ± 6.4 AU, respectively.
Figure 3.
Description of weekly (A) stress and (B) sleep quality across the full preparation season. AU, arbitrary units.
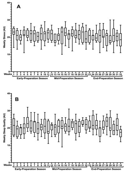
Finally, Figure 4 shows the fluctuations of the wHI by period, with the highest information recorded in W19 = 88.5 ± 7.7 AU and the lowest in W32 = 72.3 ± 6.1 AU.
Figure 4.
Description of weekly Hooper indicator across the full preparation season. AU, arbitrary units.
The results of the comparative differences between the three periods for wDOMS, wFatigue, wStress, wSleep, and wHI are shown in Table 1. The analysis showed significant differences only in wDOMS (F = 7.63, p = 0.004, ηp2 = 0.46). The post hoc analysis demonstrated that end-PS had a significantly greater wDOMS (p = 0.01, g = 1.8, large effect) compared to that of early-PS. In other variables, there were no significant changes between PS periods: wFatigue (F = 0.48, p = 0.63, ηp2 = 0.05), wStress (F = 1.67, p = 0.21, ηp2 = 0.16), wSleep (F = 1.67, p = 0.22, ηp2 = 0.16), and wHI (F = 0.92, p = 0.42, ηp2 = 0.09).
Table 1.
Comparison of wellness variables between preparation season courses.
4. Discussion
This survey is a descriptive-longitudinal study to monitor the whole PS for the NTWF athletes who are under 17 years of age. The major goal of this study was to peruse the weekly pattern of well-being changes in wrestlers and to analyze the variations of wellness variables in three divisions of the PS: early, mid-, and end-PS. The main outcome was that in W26 and W14 the highest and lowest wDOMS were observed, respectively. For wFatigue the highest and lowest values were found in W19 and W32, respectively. The highest wSleep and wStress values were demonstrated in W5 and W16, while the lowest wSleep and wStress values were observed in W3 and W14, respectively. The highest and lowest wHI values occurred in W19 and W32, respectively. Changes were not noticeable when comparing the early-PS to the mid-PS and the end-PS. However, the changes in the mid-PS compared to the end-PS were significant.
The highest levels of wFatigue, wDOMS, and wStress came from the mid-PS. This can be attributed to the training load at the beginning of the PS, because in the early-PS, in the style of general preparation and anatomical adaptation, the training load is relatively low. However, gradually, due to the higher physical fitness and the increase in training intensity in the mid-PS, the level of the mentioned indicators of HI reached its highest level.
Within the high-intensity training period, DOMS scores were higher and they decreased with the reduction in training load. The results of DOMS in this study, similar to other studies, showed that the level of DOMS was reduced by decreased training load due to a reduction of plasma creatine kinase activity [26]. In the current study, compared to the HI, the changes in DOMS were clearer. In other words, in the end-PS compared to the early-PS, DOMS were significantly increased due to the increase in training load in the end-PS. Moreover, wrestling is a dynamic sport that is known to be accompanied by a high degree of muscle damage due to different movements, such as eccentric muscle contractions and high impact forces. In one study of judo specific training for all HIIT groups versus a control group, an increased inflammatory response was observed, caused by a high level of muscle damage, which is one of the most common symptoms of high intensity or prolonged exercise [21,22,23].
One of the benefits of adapting to intensified training is a reduction in fatigue during the training session [23]. Furthermore, in the present study, fatigue recorded during the end-PS was lower than that during the early-PS. The high intensity of training in the mid-PS and cumulative fatigue caused by training for 19 weeks may be the reasons for the increase in the level of wFatigue in athletes in the mid-PS. However, because the athletes adapted to training, wFatigue decreased in the end-PS. Moreover, the findings of the present study are in line with the results of another study that showed decreased fatigue and improved total mood scores during training sessions over the whole season in judo athletes. The reduction in fatigue score during tapering may be due to their adaptation to intense exercise resulting from a physical performance enhancement [16], which in our study could be associated with the end-PS.
In one survey in juvenile female elite basketball players, changes in load of training did not affect sleep behavior during a 14 day training camp. However, compared to the training load, training modality may have a greater impact on sleep behavior [39]. Similar results were obtained in the current study, where sleep quality was less affected by training load, and its fluctuations were more related to the early-PS when athletes entered a training period after rest.
The present observations showed that wHI levels in the end-PS were lower than those during the mid-PS. The variation of training load greatly affected wHI, so that with decreasing training load, its level decreased [23]. The decreasing pattern of wHI was similar to that of wFatigue, suggesting that the decrease in wFatigue, due to a reduction in volume and training frequency and an increase athlete’s physical fitness, may have driven the decline in wHI during the end-PS. It has been shown that one of the disadvantages of poor (high) HI is that it can affect the athlete’s performance and their psychological condition during training sessions [40]. Moreover, Hooper et al. reported that HI can be used to detect extreme training stress [15]. In the present study, wStress changes were directly tied with changes in the wHI. In addition, proper use of HI may also be used to prevent unusual physical and psychometric factors. Additionally, it is strongly connected with athletic performance and a positive wellness condition [25]. On the other hand, lower wFatigue and wDOMS in the end-PS could be a reason for lower wHI scores.
Another result of this research is that, in general, the scoring for wellness indicators in wrestling as an individual sport are higher than those of team sports such as soccer [35,41]. We saw this difference between elite youth soccer players in previous research and elite youth wrestling athletes in this survey. Therefore, this fact shows the importance of measuring wellness indices in individual sports, especially high-intensity combat sports [26]. In this way, it provides useful information for coaches and trainers to help avoid injury and NFOR in their athletes [8]. Indeed, the accumulative training load of elite athletes in a prolix season means that NFOR may be considerable in their training [42]. Additionally, there has been a lot of research on the relationship between wellness indicators and risk of injury. In a study of professional soccer players with fasting intervention in Ramadan, it was concluded that sleep disorders and changes in eating habits increased the risk of injury in fasting athletes [43]. There are other methods for measuring wellness and for indicating NFOR in athletes, including the ratio of T/C, which has been proven in many studies [4]. However, this method is not cost-effective since the daily measurement of T and C is costly. In addition, fluctuations in cortisol and testosterone in different conditions and situations of the athletes during the day do not provide accurate information about the wellness conditions of the athletes, so using the Hopper index to measure the wellness of athletes is a low-cost, easy, and accurate method and may be a better choice. The analysis of the weekly data illustrates the effect of training on the athletes. Therefore, coaches should use mainly weekly values (e.g., variation from week to week) as an approach to analyzing the impact of training on athletes; it must be considered that once the risk of overreaching is detected in the team, monitoring an athlete’s daily information will be necessary to prevent him/her from reaching NFOR [8].
This study has limitations that need to be considered. First, we investigated only one wrestling team in the youth age category. It would be better to compare several teams with different age groups. Secondly, it would be better to collect this information for wrestling and other combat sports athletes over different periods of time in the training season, because that would provide more accurate information about the wellness of the players during the whole season and help coaches to monitor training and improve performance. However, this is the first study to look at weekly changes in the wellness of elite youth wrestling athletes during the preparation season. Therefore, more studies should be completed in different teams and different countries to generalize the results.
As a practical application, monitoring weekly wellness variations in the preparation season can provide suitable information about the health indicators. The level of all variables of this study could be used as the first report in the sport of wrestling and as a basic profile in this field. Therefore, coaches and athletes can consider these averages as a quality source for training information to prevent injury, overtraining syndrome, and NFOR.
5. Conclusions
In this study, we examined the wellness variables in youth elite wrestlers at different times during the preparation season. in the early-PS compared to the mid-PS and the end-PS, the changes were negligible, but the changes in the mid-PS compared to the end-PS were impressive. Additionally, changes in wDOMS, wStress, and wFatigue were in line with changes in Hooper’s scoring, and the most important observable result was a decrease in wHI in the end-PS compared to that in the early-PS. HI low scores in the end-PS indicate that the athletes were more prepared and more adaptable with the decrease in the load of training in the end-PS. Therefore, according to the results and changes in the wellness conditions at different periods during the season, our hypothesis was confirmed and the amount of load training during the season can be monitored according to the available information on wellness conditions. Basically, measuring wellness indicators in sports, especially in individual combat sports such as wrestling, is very important and it will help coaches to better adjust training load through the season.
Author Contributions
Conceptualization, Z.A., M.F., and H.N.; methodology, H.N., F.M.C. and J.P.-G.; software, H.N., R.O. and J.P.-G.; formal analysis, H.N., F.M.C., R.O. and J.P.-G.; investigation, Z.A, J.P.-G., H.N. and R.O.; writing—original draft preparation, H.N. and M.F.; writing—review and editing, H.N., F.M.C., R.O. and J.P.-G. All authors have read and agreed to the published version of the manuscript.
Funding
This research received no external funding.
Institutional Review Board Statement
The study was conducted according to the guidelines of the Declaration of Helsinki, and approved by the Ethics Committee of the Afyon Kocatepe University (ethical approval code number: NOM9; date decision: 12.11.2017).
Informed Consent Statement
Informed consent was obtained from all subjects and their parents involved in the study.
Data Availability Statement
The datasets used and/or analyzed during the current study are available from the corresponding author on reasonable request.
Conflicts of Interest
The authors declare no conflict of interest.
References
- Nobari, H.; Kargarfard, M.; Minasian, V.; Cholewa, J.M.; Pérez-Gómez, J. The effects of 14-week betaine supplementation on endocrine markers, body composition and anthropometrics in professional youth soccer players: A double blind, randomized, placebo-controlled trial. J. Int. Soc. Sports Nutr. 2021, 18, 20. [Google Scholar] [CrossRef]
- de Leeuw, A.-W.; van der Zwaard, S.; van Baar, R.; Knobbe, A. Personalized machine learning approach to injury monitoring in elite volleyball players. Eur. J. Sport Sci. 2021, 1–10. [Google Scholar] [CrossRef]
- Meeusen, R.; Duclos, M.; Foster, C.; Fry, A.; Gleeson, M.; Nieman, D.; Raglin, J.; Rietjens, G.; Steinacker, J.; Urhausen, A. Prevention, diagnosis and treatment of the overtraining syndrome: Joint consensus statement of the European College of Sport Science (ECSS) and the American College of Sports Medicine (ACSM). Eur. J. Sport Sci. 2013, 13, 1–24. [Google Scholar] [CrossRef]
- Schmikli, S.L.; de Vries, W.R.; Brink, M.S.; Backx, F.J. Monitoring performance, pituitary–adrenal hormones and mood profiles: How to diagnose non-functional over-reaching in male elite junior soccer players. Br. J. Sports Med. 2012, 46, 1019–1023. [Google Scholar] [CrossRef] [PubMed]
- Banfi, G.; Marinelli, M.; Roi, G.; Agape, V. Usefulness of free testosterone/cortisol ratio during a season of elite speed skating athletes. Int. J. Sports Med. 1993, 14, 373–379. [Google Scholar] [CrossRef] [PubMed]
- Passelergue, P.; Lac, G. Saliva cortisol, testosterone and T/C ratio variations during a wrestling competition and during the post-competitive recovery period. Int. J. Sports Med. 1999, 20, 109–113. [Google Scholar] [CrossRef]
- Vervoorn, C.; Quist, A.; Vermulst, L.; Erich, W.; De Vries, W.; Thijssen, J. The behaviour of the plasma free testosterone/cortisol ratio during a season of elite rowing training. Int. J. Sports Med. 1991, 12, 257–263. [Google Scholar] [CrossRef]
- Clemente, F.M.; Mendes, B.; Palao, J.M.; Silvério, A.; Carriço, S.; Calvete, F.; Nakamura, F.Y. Seasonal player wellness and its longitudinal association with internal training load: Study in elite volleyball. J. Sports Med. Phys. Fit. 2019, 59, 345. [Google Scholar] [CrossRef]
- Thorpe, R.T.; Atkinson, G.; Drust, B.; Gregson, W. Monitoring fatigue status in elite team-sport athletes: Implications for practice. Int. J. Sports Physiol. Perform. 2017, 12, S2–S27. [Google Scholar] [CrossRef]
- Wrigley, R.; Drust, B.; Stratton, G.; Scott, M.; Gregson, W. Quantification of the typical weekly in-season training load in elite junior soccer players. J. Sports Sci. 2012, 30, 1573–1580. [Google Scholar] [CrossRef]
- Rebelo, A.; Brito, J.; Seabra, A.; Oliveira, J.; Drust, B.; Krustrup, P. A new tool to measure training load in soccer training and match play. Int. J. Sports Med. 2012, 33, 297–304. [Google Scholar] [CrossRef]
- Haddad, M.; Stylianides, G.; Djaoui, L.; Dellal, A.; Chamari, K. Session-RPE method for training load monitoring: Validity, ecological usefulness, and influencing factors. Front. Neurosci. 2017, 11, 612. [Google Scholar] [CrossRef]
- Nobari, H.; Barjaste, A.; Haghighi, H.; Clemente, F.M.; Carlos-Vivas, J.; Perez-Gomez, J. Quantification of training and match load in elite youth soccer players: A full-season study. J. Sports Med. Phys. Fit. 2021. [Google Scholar] [CrossRef]
- Jones, C.M.; Griffiths, P.C.; Mellalieu, S.D. Training load and fatigue marker associations with injury and illness: A systematic review of longitudinal studies. Sports Med. 2017, 47, 943–974. [Google Scholar] [CrossRef]
- Hooper, S.L.; Mackinnon, L.T. Monitoring overtraining in athletes. Sports Med. 1995, 20, 321–327. [Google Scholar] [CrossRef]
- Moalla, W.; Fessi, M.S.; Farhat, F.; Nouira, S.; Wong, D.P.; Dupont, G. Relationship between daily training load and psychometric status of professional soccer players. Res. Sports Med. 2016, 24, 387–394. [Google Scholar] [CrossRef] [PubMed]
- de Andrade Nogueira, F.C.; Nogueira, R.A.; Coimbra, D.R.; Miloski, B.; de Freitas, V.H.; Bara Filho, M. Internal training load: Perception of volleyball coaches and athletes. Rev. Bras. Cineantropometria Desempenho Hum. 2014, 16, 638–647. [Google Scholar]
- Clemente, F.M.; Mendes, B.; Nikolaidis, P.T.; Calvete, F.; Carriço, S.; Owen, A.L. Internal training load and its longitudinal relationship with seasonal player wellness in elite professional soccer. Physiol. Behav. 2017, 179, 262–267. [Google Scholar] [CrossRef] [PubMed]
- Flatt, A.A.; Esco, M.R.; Nakamura, F.Y. Individual heart rate variability responses to preseason training in high level female soccer players. J. Strength Cond. Res. 2017, 31, 531–538. [Google Scholar] [CrossRef]
- Nobari, H.; Aquino, R.; Clemente, F.M.; Khalafi, M.; Adsuar, J.C.; Pérez-Gómez, J. Description of acute and chronic load, training monotony and strain over a season and its relationships with well-being status: A study in elite under-16 soccer players. Physiol. Behav. 2020, 225, 113117. [Google Scholar] [CrossRef]
- García-Pallarés, J.; López-Gullón, J.M.; Muriel, X.; Díaz, A.; Izquierdo, M. Physical fitness factors to predict male Olympic wrestling performance. Eur. J. Appl. Physiol. 2011, 111, 1747–1758. [Google Scholar] [CrossRef] [PubMed]
- Horswill, C.A. Applied physiology of amateur wrestling. Sports Med. 1992, 14, 114–143. [Google Scholar] [CrossRef] [PubMed]
- Ouergui, I.; Ardigò, L.P.; Selmi, O.; Levitt, D.E.; Chtourou, H.; Bouassida, A.; Bouhlel, E.; Franchini, E. Changes in perceived exertion, well-being, and recovery during specific judo training: Impact of training period and exercise modality. Front. Physiol. 2020, 11, 931. [Google Scholar] [CrossRef] [PubMed]
- Branco, B.H.M.; Lopes-Silva, J.; da Silva Santos, J.; Julio, U.; Gonçalves Panissa, V.; Franchini, E. Monitoring training during four weeks of three different modes of high-intensity interval training in judo athletes. Arch. Budo 2017, 13, 51–62. [Google Scholar]
- Selmi, O.; Marzouki, H.; Ouergui, I.; BenKhalifa, W.; Bouassida, A. Influence of intense training cycle and psychometric status on technical and physiological aspects performed during the small-sided games in soccer players. Res. Sports Med. 2018, 26, 401–412. [Google Scholar] [CrossRef] [PubMed]
- Ouergui, I.; Franchini, E.; Selmi, O.; Levitt, D.E.; Chtourou, H.; Bouhlel, E.; Ardigò, L.P. Relationship between Perceived Training Load, Well-Being Indices, Recovery State and Physical Enjoyment during Judo-Specific Training. Int. J. Environ. Res. Public Health 2020, 17, 7400. [Google Scholar] [CrossRef]
- Nobari, H.; Silva, R.; Clemente, F.M.; Akyildiz, Z.; Ardigò, L.P.; Pérez-Gómez, J. Weekly Variations in the Workload of Turkish National Youth Wrestlers: A Season of Complete Preparation. Int. J. Environ. Res. Public Health 2021, 18, 3832. [Google Scholar] [CrossRef]
- Arazi, H.; Mirzaei, B.; Nobari, H. Anthropometric profile, body composition and somatotyping of national Iranian cross-country runners. Turk. J. Sport Exerc. 2015, 17, 35–41. [Google Scholar] [CrossRef]
- Norton, K.; Olds, T. Anthropometrica: A Textbook of Body Measurement for Sports and Health Courses; UNSW Press: Sydney, Australia, 1996. [Google Scholar]
- Nobari, H.; Silva, A.F.; Clemente, F.M.; Siahkouhian, M.; García-Gordillo, M.Á.; Adsuar, J.C.; Pérez-Gómez, J. Analysis of Fitness Status Variations of Under-16 Soccer Players Over a Season and Their Relationships With Maturational Status and Training Load. Front. Physiol. 2021, 11. [Google Scholar] [CrossRef]
- Rahmat, A.J.; Arsalan, D.; Bahman, M.; Hadi, N.; University of Guilan; Jafari, R.A.; Damirchi, A.; Mirzaei, B.; Nobari, H. Anthropometric and Bio-motor abilities Profile of Young Elite Wrestlers. Phys. Educ. Stud. 2016, 20, 63–69. [Google Scholar] [CrossRef]
- Buchheit, M. The 30-15 intermittent fitness test: 10 year review. Myorobie J. 2010, 1, 278. [Google Scholar]
- Oliver, J.L.; Lloyd, R.S.; Whitney, A. Monitoring of in-season neuromuscular and perceptual fatigue in youth rugby players. Eur. J. Sport Sci. 2015, 15, 514–522. [Google Scholar] [CrossRef]
- Hooper, S.L.; Mackinnon, L.T.; Howard, A.; Gordon, R.D.; Bachmann, A.W. Markers for monitoring overtraining and recovery. Med. Sci. Sports Exerc. 1995, 27, 106–112. [Google Scholar] [CrossRef] [PubMed]
- Nobari, H.; Tubagi Polito, L.F.; Clemente, F.M.; Pérez-Gómez, J.; Ahmadi, M.; Garcia-Gordillo, M.Á.; Silva, A.F.; Adsuar, J.C. Relationships between training workload parameters with variations in anaerobic power and change of direction status in elite youth soccer players. Int. J. Environ. Res. Public Health 2020, 17, 7934. [Google Scholar] [CrossRef]
- Nobari, H.; Ahmadi, M.; Pérez-Gómez, J.; Clemente, M.; Adsuar, J.; Minasian, V.; Afonso, J. The effect of two types of combined training on bio-motor ability adaptations in sedentary females. J. Sports Med. Phys. Fit. 2020. [Google Scholar] [CrossRef]
- Nobari, H.; Fani, M.; Clemente, F.M.; Carlos-Vivas, J.; Pérez-Gómez, J.; Ardigò, L.P. Intra-and inter-week variations of well-being across a season: A cohort study in elite youth soccer players. Front. Psychol. 2021, 12, 1030. [Google Scholar] [CrossRef]
- Hopkins, W.G.; Marshall, S.W.; Batterham, A.M.; Hanin, J. Progressive Statistics for Studies in Sports Medicine and Exercise Science. Med. Sci. Sports Exerc. 2009, 41, 3–13. [Google Scholar] [CrossRef]
- Kölling, S.; Wiewelhove, T.; Raeder, C.; Endler, S.; Ferrauti, A.; Meyer, T.; Kellmann, M. Sleep monitoring of a six-day microcycle in strength and high-intensity training. Eur. J. Sport Sci. 2016, 16, 507–515. [Google Scholar] [CrossRef]
- Nedelec, M.; McCall, A.; Carling, C.; Legall, F.; Berthoin, S.; Dupont, G. The influence of soccer playing actions on the recovery kinetics after a soccer match. J. Strength Cond. Res. 2014, 28, 1517–1523. [Google Scholar] [CrossRef]
- Oliveira, R.; Brito, J.P.; Loureiro, N.; Padinha, V.; Ferreira, B.; Mendes, B. Does the distribution of the weekly training load account for the match results of elite professional soccer players? Physiol. Behav. 2020, 225, 113118. [Google Scholar] [CrossRef]
- Clemente, F.M.; Martinho, R.; Calvete, F.; Mendes, B. Training load and well-being status variations of elite futsal players across a full season: Comparisons between normal and congested weeks. Physiol. Behav. 2019, 201, 123–129. [Google Scholar] [CrossRef] [PubMed]
- Chamari, K.; Haddad, M.; Wong, D.P.; Dellal, A.; Chaouachi, A. Injury rates in professional soccer players during Ramadan. J. Sports Sci. 2012, 30 (Suppl. 1), S93–S102. [Google Scholar] [CrossRef] [PubMed]
Publisher’s Note: MDPI stays neutral with regard to jurisdictional claims in published maps and institutional affiliations. |
© 2021 by the authors. Licensee MDPI, Basel, Switzerland. This article is an open access article distributed under the terms and conditions of the Creative Commons Attribution (CC BY) license (https://creativecommons.org/licenses/by/4.0/).



