The Investigation of TiO2 NPs Effect as a Wastewater Treatment to Mitigate Cd Negative Impact on Bamboo Growth
Abstract
1. Introduction
2. Materials and Methods
2.1. Plant Materials
2.2. Characterization of Wastewater Treatment of TiO2 NPs
2.3. Heavy Metal Range Concentration
2.4. Experimental Design and Growth Conditions
2.5. Measured Indicators
2.6. The Method of Sampling
2.7. Determination of Antioxidant Activities
2.8. Determination of GSH and Proline Concentrations
2.9. Determination of Hydrogen Peroxide (H2O2), Superoxide Radicals (O2•−), and Malondialdehyde (MDA)
2.10. Determination of Total Chlorophyll, Chlorophyll-a, Chlorophyll-b, and Carotenoids
- W = fresh weight of sample (g); and
- A = absorbance at 470, 645, or 663 nm
2.11. Biomass Measurements
2.12. Statistical Analysis
3. Results
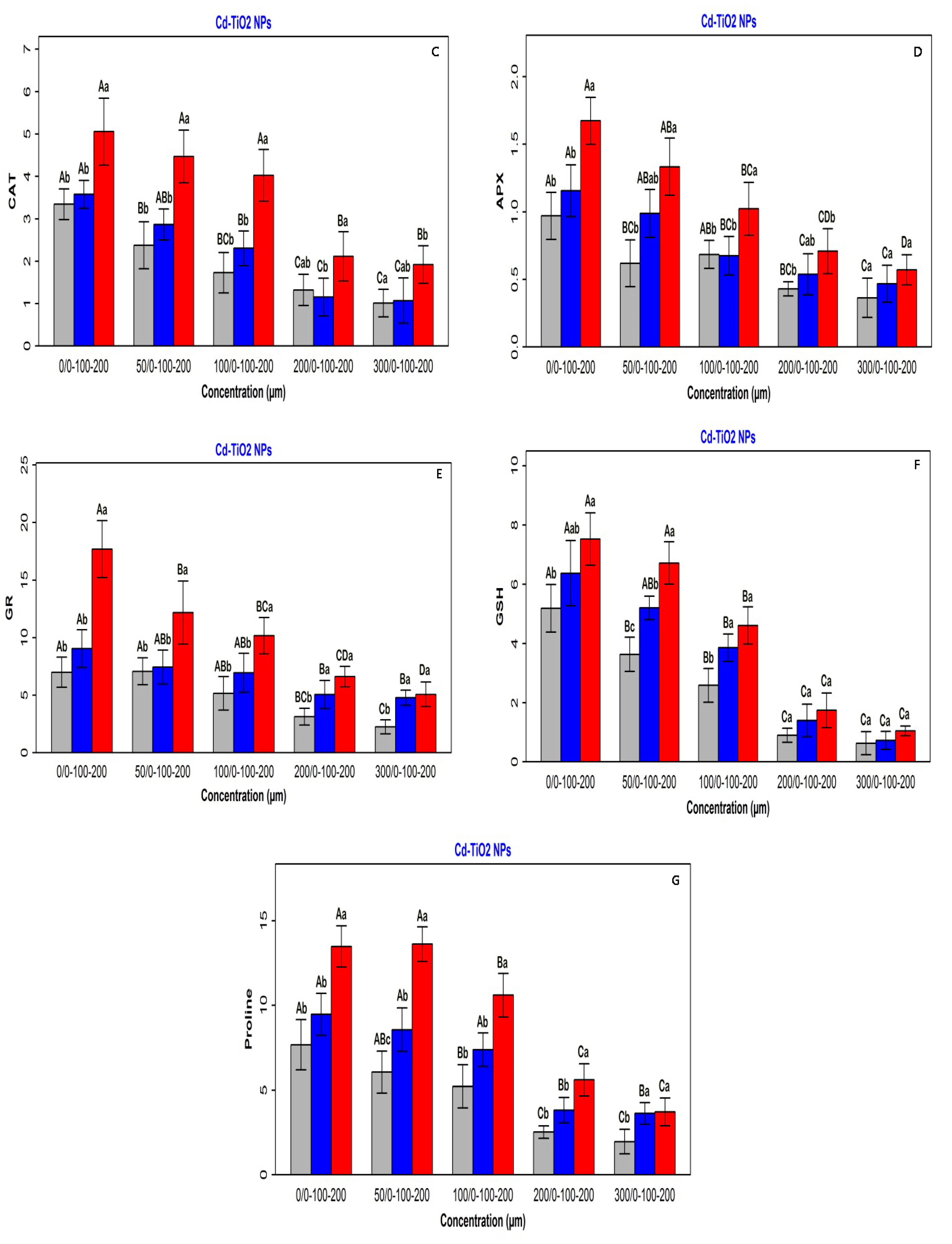
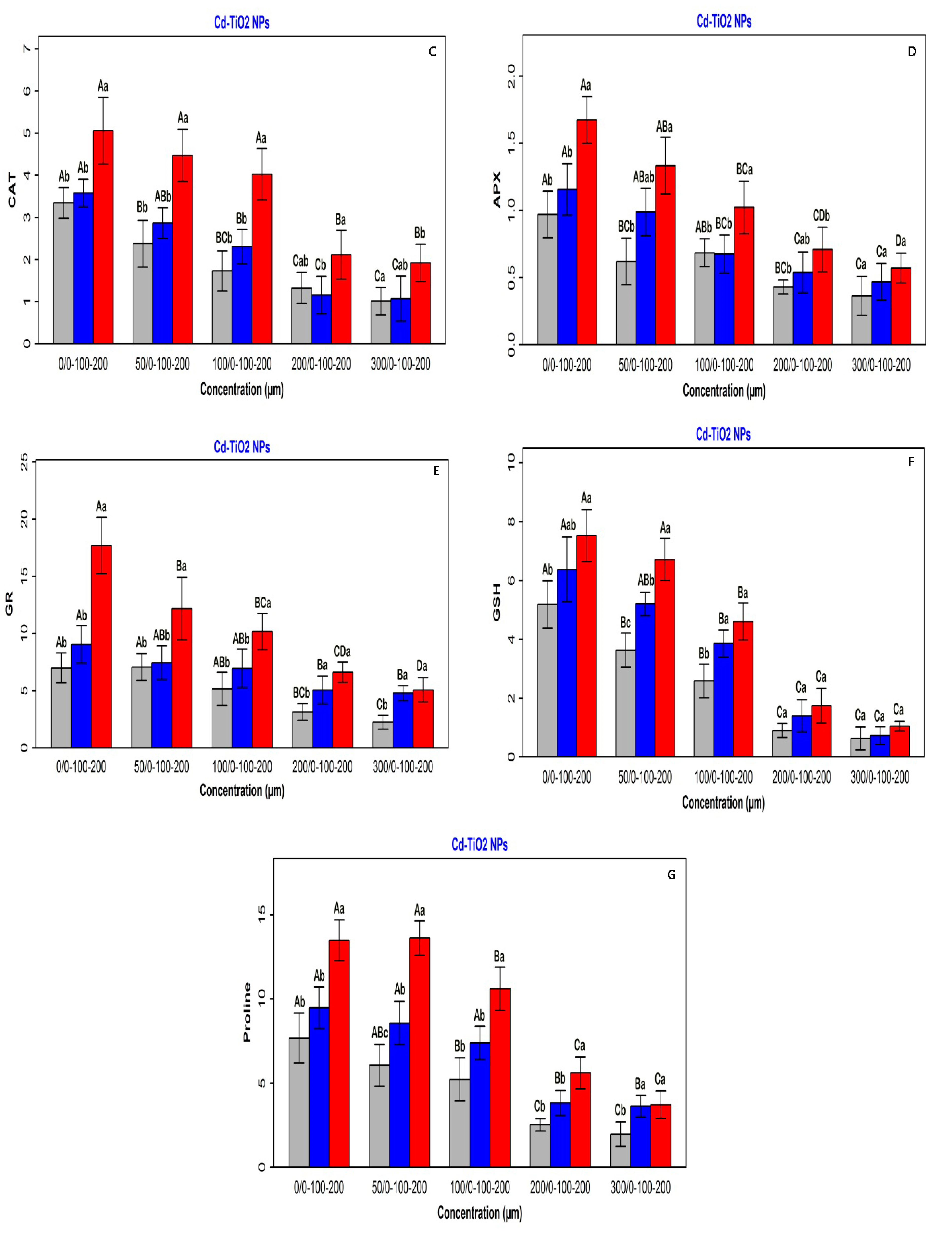
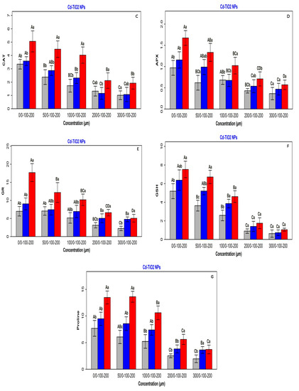
3.1. The Impact of Cd and TiO2 NPs on Various Antioxidant Enzyme Capacities
3.2. The Impact of Cd and TiO2 NPs on GSH and Proline Concentrations
3.3. The Impact of Cd and TiO2 NPs on Hydrogen Peroxide (H2O2), Superoxide Radicals (O2•−), and Lipid Peroxidation (MDA)
3.4. The Impact of Cd and TiO2 NPs on the Contents of Total Chlorophyll, Chlorophyll-a, Chlorophyll-b, and Carotenoids
3.5. The Impact of Cd and TiO2 NPs on the Productions of Biomass in Shoots and Roots
4. Discussion
5. Conclusions
Author Contributions
Funding
Institutional Review Board Statement
Informed Consent Statement
Data Availability Statement
Conflicts of Interest
References
- Qin, Q.; Li, X.; Wu, H.; Zhang, Y.; Feng, Q.; Tai, P. Characterization of cadmium (108Cd) distribution and accumulation in Tagetes erecta L. seedlings: Effect of split-root and of remove-xylem/phloem. Chemosphere 2013, 93, 2284–2288. [Google Scholar] [CrossRef] [PubMed]
- Yu, R.; He, L.; Cai, R.; Li, B.; Li, Z.; Yang, K. Heavy metal pollution and health risk in China. Glob. Health J. 2017, 1, 47–55. [Google Scholar] [CrossRef]
- Wang, L.; Cui, X.; Cheng, H.; Chen, F.; Wang, J.; Zhao, X.; Lin, C.; Pu, X. A review of soil cadmium contamination in China including a health risk assessment. Environ. Sci. Pollut. Res. 2015, 22, 16441–16452. [Google Scholar] [CrossRef] [PubMed]
- Sun, M.; Wang, T.; Xu, X.; Zhang, L.; Li, J.; Shi, Y. Ecological risk assessment of soil cadmium in China’s coastal economic development zone: A meta-analysis. Ecosyst. Health Sustain. 2020, 6, 1. [Google Scholar] [CrossRef]
- Serrano, R.M.; Puertas, R.M.C.; Zabalza, A.; Corpas, F.J.; Gomez, M.; Del Rio, L.A.; Sandalio, L.M. Cadmium effect on oxidative metabolism of pea (Pisum sativum L.) roots. Imaging of reactive oxygen species and nitric oxide accumulation in vivo. Plant Cell Environ. 2006, 29, 1532–1544. [Google Scholar] [CrossRef]
- Nowak, H.B.; Dresler, S.; Matraszek, R. Exogenous malic and acetic acids reduce cadmium phytotoxicity and enhance cadmium accumulation in roots of sunflower plants. Plant Physiol. Biochem. 2015, 94, 225–234. [Google Scholar] [CrossRef] [PubMed]
- Kefaloyianni, E.; Gourgou, E.; Ferle, V.; Kotsakis, E.; Gaitanaki, C.; Beis, I. Acute thermal stress and various heavy metals induce tissue-specific pro- or anti-apoptotic events via the p38-MAPK signal transduction pathway in Mytilus galloprovincialis (Lam.). J. Exp. Biol. 2005, 208, 4427–4436. [Google Scholar] [CrossRef]
- Gill, S.S.; Tuteja, N. Reactive oxygen species and antioxidant machinery in abiotic stress tolerance in crop plants. Plant Physiol. Biochem. 2010, 48, 909–930. [Google Scholar] [CrossRef]
- Li, Y.; Li, M.; Shi, J.; Yang, X.; Wang, Z. Hepatic antioxidative responses to PCDPSs and estimated short-term bio-toxicity in freshwater fish. Aquat. Toxicol. 2012, 120, 90–98. [Google Scholar] [CrossRef]
- Stegeman, J.J.; Brouwer, M.; Di Giulio, R.T.; Forlin, L.; Fowler, B.A. Enzyme and protein synthesis as indicator of contaminant exposure and effect. In Biomarkers: Biochemical, Physiological, and Histological Markers of Anthropogenic Stress; Huggett, R.J., Ed.; SETAC Special Publication Series; Lewis Publishers: Chelsea, MI, USA, 1992; pp. 235–335. [Google Scholar]
- Heyno, E.; Mary, V.; Schopfer, P.; Liszkay, K.A. Oxygen activation at the plasma membrane: Relation between superoxide and hydroxyl radical production by isolated membranes. Planta 2011, 234, 35–45. [Google Scholar] [CrossRef]
- Srivastava, S.; Dubey, R.S. Manganese-excess induces oxidative stress, lowers the pool of antioxidants and elevates activities of key antioxidative enzymes in rice seedlings. Plant Growth Regul. 2011, 64, 1–16. [Google Scholar] [CrossRef]
- Sharma, P.; Dubey, R.S. Drought Induces Oxidative Stress and Enhances the Activities of Antioxidant Enzymes in Growing Rice Seedlings. Plant Growth Regul. 2005, 46, 209–221. [Google Scholar] [CrossRef]
- Sytar, O.; Kumar, A.; Latowski, D.; Kuczynska, P.; Strzałka, K.; Prasad, M.N.V. Heavy metal-induced oxidative damage, defense reactions, and detoxification mechanisms in plants. Acta Physiol. Plant. 2013, 35, 985–999. [Google Scholar] [CrossRef]
- Roco, M.C.; Mirkin, C.A.; Hersam, M.C. Nanotechnology research directions for societal needs in 2020: Summary of international study. J. Nanoparticle Res. 2011, 13, 897–919. [Google Scholar] [CrossRef]
- Gui, X.; Zhang, Z.; Liu, S.; Ma, Y.; Zhang, P.; He, X.; Li, Y.; Zhang, J.; Li, H.; Rui, Y.; et al. Fate and Phytotoxicity of CeO2 Nanoparticles on Lettuce Cultured in the Potting Soil Environment. PLoS ONE 2015, 10, 4261. [Google Scholar] [CrossRef]
- Lu, H.; Wang, J.; Stoller, M.; Wang, T.; Bao, Y.; Hao, H. An Overview of Nanomaterials for Water and Wastewater Treatment. Adv. Mater. Sci. Eng. 2016, 2016, 1–10. [Google Scholar] [CrossRef]
- Siddiqui, M.H.; Whaibi, A.M.H. Role of nano-SiO2 in germination of tomato (Lycopersicum esculentum seeds Mill.). Saudi J. Biol. Sci. 2014, 21, 13–17. [Google Scholar] [CrossRef]
- Gao, J.; Xu, G.; Qian, H.; Liu, P.; Zhao, P.; Hu, Y. Effects of nano-TiO2 on photosynthetic characteristics of Ulmus elongata seedlings. Environ. Pollut. 2013, 176, 63–70. [Google Scholar] [CrossRef]
- Skocaj, M.; Filipic, M.; Petkovic, J.; Novak, S. Titanium dioxide in our everyday life; is it safe? Radiol. Oncol. 2011, 45, 227–247. [Google Scholar] [CrossRef]
- Guesh, K.; Mayoral, Á.; Álvarez, M.C.; Chebude, Y.; Díaz, I. Enhanced photocatalytic activity of TiO2 supported on zeolites tested in real wastewaters from the textile industry of Ethiopia. Microporous Mesoporous Mater. 2016, 225, 88–97. [Google Scholar] [CrossRef]
- Rawal, S.B.; Bera, S.; Lee, D.; Jang, D.J.; Lee, W.I. Design of visible-light photocatalysts by coupling of narrow bandgap semiconductors and TiO2: Effect of their relative energy band positions on the photocatalytic efficiency. Catal. Sci. Technol. 2013, 3, 1822–1830. [Google Scholar] [CrossRef]
- Qi, M.; Liu, Y.; Li, T. Nano-TiO2 Improve the Photosynthesis of Tomato Leaves under Mild Heat Stress. Biol. Trace Element Res. 2013, 156, 323–328. [Google Scholar] [CrossRef] [PubMed]
- Faraz, A.; Faizan, M.; Fariduddin, Q.; Hayat, S. Response of Titanium Nanoparticles to Plant Growth: Agricultural Perspectives. Sustain. Agric. Rev. 2020, 41, 101–110. [Google Scholar] [CrossRef]
- Yang, F.; Liu, C.; Gao, F.; Su, M.; Wu, X.; Zheng, L.; Hong, F.; Yang, P. The Improvement of Spinach Growth by Nano-anatase TiO2 Treatment Is Related to Nitrogen Photoreduction. Biol. Trace Elem. Res. 2007, 119, 77–88. [Google Scholar] [CrossRef]
- Su, M.; Liu, H.; Liu, C.; Qu, C.; Zheng, L.; Hong, F. Promotion of nano-anatase TiO2 on the spectral responses and photochemical activities of D1/D2/Cyt b559 complex of spinach. Spectrochim. Acta Part A Mol. Biomol. Spectrosc. 2009, 72, 1112–1116. [Google Scholar] [CrossRef]
- Zheng, L.; Hong, F.; Lu, S.; Liu, C. Effect of Nano-TiO2 on Strength of Naturally Aged Seeds and Growth of Spinach. Biol. Trace Elem. Res. 2005, 104, 083–092. [Google Scholar] [CrossRef]
- Castiglione, M.R.; Giorgetti, L.; Geri, C.; Cremonini, R. The effects of nano-TiO2 on seed germination, development and mitosis of root tip cells of Vicia narbonensis L. and Zea mays L. J. Nanoparticle Res. 2011, 13, 2443–2449. [Google Scholar] [CrossRef]
- Singh, J.; Lee, B.-K. Influence of nano-TiO2 particles on the bioaccumulation of Cd in soybean plants (Glycine max): A possible mechanism for the removal of Cd from the contaminated soil. J. Environ. Manag. 2016, 170, 88–96. [Google Scholar] [CrossRef]
- Hogarth, N.; Belcher, B. The contribution of bamboo to household income and rural livelihoods in a poor and mountainous county in Guangxi, China. Int. For. Rev. 2013, 15, 71–81. [Google Scholar] [CrossRef]
- Huang, C.; Lin, W.; Lai, C.; Li, X.; Jin, Y.; Yong, Q. Coupling the post-extraction process to remove residual lignin and alter the recalcitrant structures for improving the enzymatic digestibility of acid-pretreated bamboo residues. Bioresour. Technol. 2019, 285, 1355. [Google Scholar] [CrossRef] [PubMed]
- State Forestry Administration of China, Statistical Yearbook of Forestry; State Forestry Administration of China: Beijing, China, 2012.
- Chen, X.; Zhang, X.; Zhang, Y.; Booth, T.; He, X. Changes of carbon stocks in bamboo stands in China during 100 years. For. Ecol. Manag. 2009, 258, 1489–1496. [Google Scholar] [CrossRef]
- Zhang, X.; Zhong, T.; Liu, L.; Ouyang, X. Impact of Soil Heavy Metal Pollution on Food Safety in China. PLoS ONE 2015, 10, 5182. [Google Scholar] [CrossRef] [PubMed]
- Murashige, T.; Skoog, F. A Revised Medium for Rapid Growth and Bio Assays with Tobacco Tissue Cultures. Physiol. Plant. 1962, 15, 473–497. [Google Scholar] [CrossRef]
- Zhang, X. The Measurement and Mechanism of Lipid Peroxidation and SOD, POD and CAT Activities in Biological System. In Research Methodology of Crop Physiology; Agriculture Press: Beijing, China, 1992. [Google Scholar]
- Aebi, H. Catalase in vitro. Methods Enzymol. 1984, 105, 121–126. [Google Scholar] [CrossRef]
- Nakano, Y.; Asada, K. Hydrogen Peroxide is Scavenged by Ascorbate-specific Peroxidase in Spinach Chloroplasts. Plant Cell Physiol. 1981, 22, 867–880. [Google Scholar] [CrossRef]
- Ellman, G.L. Tissue sulfhydryl groups. Arch. Biochem. Biophys. 1959, 82, 70–77. [Google Scholar] [CrossRef]
- Bates, L.S.; Waldren, R.P.; Teare, I.D. Rapid determination of free proline for water-stress studies. Plant Soil 1973, 39, 205–207. [Google Scholar] [CrossRef]
- Li, C.; Bai, T.; Ma, F.; Han, M. Hypoxia tolerance and adaptation of anaerobic respiration to hypoxia stress in two Malus species. Sci. Hortic. 2010, 124, 274–279. [Google Scholar] [CrossRef]
- Li, K.R.; Feng, C.H. Effects of brassinolide on drought resistance of Xanthoceras sorbifolia seedlings under water stress. Acta Physiol. Plant. 2010, 33, 1293–1300. [Google Scholar] [CrossRef]
- Arnon, D.I. Copper Enzymes in Isolated Chloroplasts. Polyphenoloxidase in Beta Vulgaris. Plant Physiol. 1949, 24, 1–15. [Google Scholar] [CrossRef]
- Das, K.; Roychoudhury, A. Reactive oxygen species (ROS) and response of antioxidants as ROS-scavengers during environmental stress in plants. Front. Environ. Sci. 2014, 2, 53. [Google Scholar] [CrossRef]
- Lee, S.; Kim, S.; Kim, S.; Lee, I. Assessment of phytotoxicity of ZnO NPs on a medicinal plant, Fagopyrum esculentum. Environ. Sci. Pollut. Res. 2012, 20, 848–854. [Google Scholar] [CrossRef]
- You, J.; Chan, Z. ROS Regulation During Abiotic Stress Responses in Crop Plants. Front. Plant Sci. 2015, 6, 1092. [Google Scholar] [CrossRef]
- Noctor, G.; Foyer, C.H. ASCORBATE AND GLUTATHIONE: Keeping Active Oxygen Under Control. Annu. Rev. Plant Biol. 1998, 49, 249–279. [Google Scholar] [CrossRef] [PubMed]
- Shao, H.B.; Chu, L.Y.; Shao, M.A.; Jaleel, C.A.; Mi, H.M. Higher plant antioxidants and redox signaling under environmental stresses. C. R. Biol. 2008, 331, 433–441. [Google Scholar] [CrossRef] [PubMed]
- Trivedi, D.K.; Gill, S.S.; Yadav, S.; Tuteja, N. Genome-wide analysis of glutathione reductase (GR) genes from rice and Arabidopsis. Plant Signal. Behav. 2013, 8, 3021. [Google Scholar] [CrossRef]
- Li, J.; Jin, H. Regulation of brassinosteroid signaling. Trends Plant Sci. 2007, 12, 37–41. [Google Scholar] [CrossRef] [PubMed]
- Zitka, O.; Skalickova, S.; Gumulec, J.; Masarik, M.; Adam, V.; Hubalek, J.; Trnkova, L.; Kruseova, J.; Eckschlager, T.; Kizek, R. Redox status expressed as GSH:GSSG ratio as a marker for oxidative stress in paediatric tumour patients. Oncol. Lett. 2012, 4, 1247–1253. [Google Scholar] [CrossRef]
- Movafeghi, A.; Khataee, A.; Abedi, M.; Tarrahi, R.; Dadpour, M.; Vafaei, F.; Abedi, M. Effects of TiO2 nanoparticles on the aquatic plant Spirodela polyrrhiza: Evaluation of growth parameters, pigment contents and antioxidant enzyme activities. J. Environ. Sci. 2018, 64, 130–138. [Google Scholar] [CrossRef]
- Song, G.; Gao, Y.; Wu, H.; Hou, W.; Zhang, C.; Ma, H. Physiological effect of anatase TiO2 nanoparticles on Lemna minor. Environ. Toxicol. Chem. 2012, 31, 2147–2152. [Google Scholar] [CrossRef] [PubMed]
- Spengler, A.; Wanninger, L.; Pflugmacher, S. Oxidative stress mediated toxicity of TiO2 nanoparticles after a concentration and time dependent exposure of the aquatic macrophyte Hydrilla verticillata. Aquat. Toxicol. 2017, 190, 32–39. [Google Scholar] [CrossRef]
- Hasan, K.; Liu, C.; Wang, F.; Ahammed, G.J.; Zhou, J.; Xu, M.X.; Yu, J.Q.; Xia, X.J. Glutathione-mediated regulation of nitric oxide, S -nitrosothiol and redox homeostasis confers cadmium tolerance by inducing transcription factors and stress response genes in tomato. Chemosphere 2016, 161, 536–545. [Google Scholar] [CrossRef] [PubMed]
- Anjum, N.A.; Ahmad, I.; Mohmood, I.; Pacheco, M.; Duarte, A.C.; Pereira, E.; Umar, S.; Ahmad, A.; Khan, N.A.; Iqbal, M.; et al. Modulation of glutathione and its related enzymes in plants’ responses to toxic metals and metalloids—A review. Environ. Exp. Bot. 2011, 75, 307–324. [Google Scholar] [CrossRef]
- Anjum, N.A.; Gill, S.S.; Gill, R.; Hasanuzzaman, M.; Duarte, A.C.; Pereira, E.; Ahmad, I.; Tuteja, R.; Tuteja, N. Metal/metalloid stress tolerance in plants: Role of ascorbate, its redox couple, and associated enzymes. Protoplasma 2014, 251, 1265–1283. [Google Scholar] [CrossRef]
- Silva, S.; De Oliveira, J.M.P.F.; Dias, M.C.; Silva, A.M.; Santos, C. Antioxidant mechanisms to counteract TiO2-nanoparticles toxicity in wheat leaves and roots are organ dependent. J. Hazard. Mater. 2019, 380, 889. [Google Scholar] [CrossRef] [PubMed]
- LaRue, C.; Michel, C.H.; Sobanska, S.; Trcera, N.; Sorieul, S.; Cécillon, L.; Ouerdane, L.; Legros, S.; Sarret, G. Fate of pristine TiO2 nanoparticles and aged paint-containing TiO2 nanoparticles in lettuce crop after foliar exposure. J. Hazard. Mater. 2014, 273, 17–26. [Google Scholar] [CrossRef]
- Noctor, G.; Mhamdi, A.; Chaouch, S.; Han, Y.; Neukermans, J.; Garcia, M.B.; Queval, G.; Foyer, C.H. Glutathione in plants: An integrated overview. Plant Cell Environ. 2011, 35, 454–484. [Google Scholar] [CrossRef] [PubMed]
- Kishor, P.B.K.; Sreenivasulu, N. Is proline accumulationper secorrelated with stress tolerance or is proline homeostasis a more critical issue? Plant Cell Environ. 2013, 37, 300–311. [Google Scholar] [CrossRef]
- Ashraf, M.; Foolad, M. Roles of glycine betaine and proline in improving plant abiotic stress resistance. Environ. Exp. Bot. 2007, 59, 206–216. [Google Scholar] [CrossRef]
- Chandrakar, V.; Yadu, B.; Meena, R.K.; Dubey, A.; Keshavkant, S. Arsenic-induced genotoxic responses and their amelioration by diphenylene iodonium, 24-epibrassinolide and proline in Glycine max L. Plant Physiol. Biochem. 2017, 112, 74–86. [Google Scholar] [CrossRef]
- Hayat, S.; Hayat, Q.; Alyemeni, M.N.; Wani, A.S.; Pichtel, J.; Ahmad, A. Role of proline under changing environments. Plant Signal. Behav. 2012, 7, 1456–1466. [Google Scholar] [CrossRef]
- Latef, A.A.A.H.; Srivastava, A.K.; Sadek, E.M.S.A.; Kordrostami, M.; Tran, L.S.P. Titanium Dioxide Nanoparticles Improve Growth and Enhance Tolerance of Broad Bean Plants under Saline Soil Conditions. Land Degrad. Dev. 2018, 29, 1065–1073. [Google Scholar] [CrossRef]
- Sharma, P.; Jha, A.B.; Dubey, R.S.; Pessarakli, M. Reactive Oxygen Species, Oxidative Damage, and Antioxidative Defense Mechanism in Plants under Stressful Conditions. J. Bot. 2012, 2012, 1–26. [Google Scholar] [CrossRef]
- Sharma, P.; Jha, A.B.; Dubey, R.S. Handbook of Plant and Crop Stress; CRC Press: Boca Raton, FL, USA, 2016; pp. 109–158. [Google Scholar]
- Mohammadi, R.; Amiri, M.R.; Abbasi, A. Effect of TiO2 Nanoparticles on Chickpea Response to Cold Stress. Biol. Trace Elem. Res. 2013, 152, 403–410. [Google Scholar] [CrossRef]
- Karami, A.; Sepehri, A. Nano titanium dioxide and nitric oxide alleviate salt induced changes in seedling growth, physiological and photosynthesis attributes of barley. Zemdirb. Agric. 2018, 105, 123–132. [Google Scholar] [CrossRef]
- Silva, S.; Craveiro, S.C.; Oliveira, H.; Calado, A.J.; Pinto, R.J.; Silva, A.M.; Santos, C. Wheat chronic exposure to TiO2-nanoparticles: Cyto- and genotoxic approach. Plant Physiol. Biochem. 2017, 121, 89–98. [Google Scholar] [CrossRef]
- Moore, M.N. Environmental risk management—The state of the art. Environ. Int. 2006, 32, 967–976. [Google Scholar] [CrossRef]
- Gao, F.; Liu, C.; Qu, C.; Zheng, L.; Yang, F.; Su, M.; Hong, F. Was improvement of spinach growth by nano-TiO2 treatment related to the changes of Rubisco activase? BioMetals 2007, 21, 211–217. [Google Scholar] [CrossRef] [PubMed]
- Hong, F.; Yang, F.; Liu, C.; Gao, Q.; Wan, Z.; Gu, F.; Wu, C.; Ma, Z.; Zhou, J.; Yang, P. Influences of Nano-TiO2 on the Chloroplast Aging of Spinach Under Light. Biol. Trace Elem. Res. 2005, 104, 249–260. [Google Scholar] [CrossRef]
- Shabbir, A.; Khan, M.; Ahmad, B.; Sadiq, Y.; Jaleel, H.; Uddin, M. Efficacy of TiO2 nanoparticles in enhancing the photosynthesis, essential oil and khusimol biosynthesis in Vetiveria zizanioides L. Nash. Photosynthetica 2019, 57, 599–606. [Google Scholar] [CrossRef]
- Gururani, M.A.; Venkatesh, J.; Tran, L.S.P. Regulation of Photosynthesis during Abiotic Stress-Induced Photoinhibition. Mol. Plant 2015, 8, 1304–1320. [Google Scholar] [CrossRef]
- Morteza, E.; Moaveni, P.; Farahani, H.A.; Kiyani, M. Study of photosynthetic pigments changes of maize (Zea mays L.) under nano TiO2 spraying at various growth stages. SpringerPlus 2013, 2, 247. [Google Scholar] [CrossRef]
- Jiang, F.; Shen, Y.; Ma, C.; Zhang, X.; Cao, W.; Rui, Y. Effects of TiO2 nanoparticles on wheat (Triticum aestivum L.) seedlings cultivated under super-elevated and normal CO2 conditions. PLoS ONE 2017, 12, 8088. [Google Scholar] [CrossRef] [PubMed]
- Yang, F.; Hong, F.; You, W.; Liu, C.; Gao, F.; Wu, C.; Yang, P. Influences of Nano-anatase TiO2 on the Nitrogen Metabolism of Growing Spinach. Biol. Trace Elem. Res. 2006, 110, 179–190. [Google Scholar] [CrossRef]
- Mishra, V.; Mishra, R.K.; Dikshit, A.; Pandey, A.C. Interactions of nanoparticles with plants: An emerging prospective in the agriculture industry. In Emerging Technologies and Management of Crop Stress Tolerance: Biological Techniques, 1st ed.; Ahmad, P., Rasool, S., Eds.; Academic Press: Cambridge, MA, USA, 2014; pp. 159–180. [Google Scholar]





| Concentration of Cd-(TiO2NPs) Combination | SOD | POD | CAT | APX | GR | GSH | Proline | H2O2 | O2•− | MDA |
|---|---|---|---|---|---|---|---|---|---|---|
| 0 × 100 µM | 2% | 17% | 1.10% | 6.50% | 28% | 18% | 26% | 46% ↓ | 23% ↓ | 16% ↓ |
| 0 × 200 µM | 51% | 51% | 47% | 74% | 132% | 40% | 79% | 72% ↓ | 50% ↓ | 54% ↓ |
| 50 × 100 µM | 40% | 63% | 23% | 50% | 13% | 51% | 46% | 29% ↓ | 29% ↓ | 24% ↓ |
| 50 × 200 µM | 79.10% | 85% | 97% | 100% | 71% | 102% | 126% | 73% ↓ | 54.% ↓ | 64% ↓ |
| 100 × 100 µM | 6% | 4% ↓ | 1.40% | 11% | 27% | 49% | 44% | 20% ↓ | 18% ↓ | 32% ↓ |
| 100 × 200 µM | 74% | 38% | 80% | 48.50% | 81% | 73% | 107% | 63% ↓ | 50.5% ↓ | 42% ↓ |
| 200 × 100 µM | 8% ↓ | 3% | 2%↓ | 16% | 55% | 57% | 38% | 28% ↓ | 4% ↓ | 20% ↓ |
| 200 × 200 µM | 63% | 42% | 84% | 80% | 102% | 92% | 105% | 50% ↓ | 24% ↓ | 40% ↓ |
| 300 × 100 µM | 18% | 62% | 10% | 4% | 106% | 56% | 94% | 16% ↓ | 14% ↓ | 14% ↓ |
| 300 × 200 µM | 75% | 63% | 85% | 27% | 129% | 73% | 97% | 41% ↓ | 19% ↓ | 39% ↓ |
| Cd | (TiO2 NPs) | Chla | Chlb | T. Chl | Carotenoids |
|---|---|---|---|---|---|
| µM | µM | (µg g−1 F.w.) | (µg g−1 F.w.) | (µgg−1 F.w.) | (µg g−1 F.w.) |
| 0 | 0 | 6.188 ± 0.200 Ab | 3.640 ± 0.204 Ab | 9.828 ± 1.930 Aa | 34.10 ± 1.259 Ab |
| +TiO2 100 | 6.469 ± 0.371 Ab | 3.966 ± 0.298 Ab | 10.93 ± 1.040 Aa | 35.88 ± 1.303 Ab | |
| +TiO2 200 | 7.124 ± 0.268 Aa | 4.808 ± 0.286 Aa | 11.93 ± 2.100 Aa | 48.48 ± 1.674 Aa | |
| 50 | 0 | 5.527 ± 0.392 ABb | 2.949 ± 0.333 Bc | 8.72 ± 1.075 ABb | 31.36 ± 1.885 Ac |
| +TiO2 100 | 5.926 ± 0.573 Cb | 3.873 ± 0.159 Ab | 9.54 ± 1.079 ABab | 35.12 ± 1.510 Ab | |
| +TiO2 200 | 6.949 ± 0.183 Aa | 4.531 ± 0.199 Aa | 11.48 ± 1.678 ABa | 45.60 ± 1.660 Aa | |
| 100 | 0 | 5.188 ± 0.401 BCb | 2.670 ± 0.249 Bb | 8.10 ± 0.994 ABb | 29.46 ± 2.721 ABb |
| +TiO2 100 | 5.918 ± 0.200 ABa | 3.596 ± 0.352 Aa | 9.51 ± 1.355 ABab | 32.75 ± 1.938 Aab | |
| +TiO2 200 | 6.396 ± 0.326 Aa | 3.998 ± 0.161 Ba | 10.89 ± 1.147 ABa | 36.33 ± 1.302 Ba | |
| 200 | 0 | 4.574 ± 0.354 CDa | 1.923 ± 0.200 Cb | 6.74 ± 0.998 BCa | 24.90 ± 2.507 BCb |
| +TiO2 100 | 5.131 ± 0.697 BCa | 2.163 ± 0.150 Bb | 7.54 ± 1.004 Ba | 27.02 ± 2.593 Bab | |
| +TiO2 200 | 5.573 ± 0.524 Ba | 2.774 ± 0.142 Ca | 8.34 ± 2.135 ABa | 30.59 ± 1.609 Ca | |
| 300 | 0 | 4.205 ± 0.321 Db | 1.624 ± 0.190 Cb | 5.33 ± 1.104 Cb | 23.63 ± 2.846 Ca |
| +TiO2 100 | 4.845 ± 0.381 Cab | 2.084 ± 0.204 Ba | 7.18 ± 1.055 Bab | 25.59 ± 3.447 Ba | |
| +TiO2 200 | 5.283 ± 0.361 Ba | 2.416 ± 0.175 Ca | 7.95 ± 0.992 Ba | 28.006 ± 2.699 Ca |
| Concentration of (TiO2 NPs) Combination | 0 µM | 50 µM | 100 µM | 200 µM | 300 µM | |||||
|---|---|---|---|---|---|---|---|---|---|---|
| 100 µM | 200 µM | 100 µM | 200 µM | 100 µM | 200 µM | 100 µM | 200 µM | 100 µM | 200 µM | |
| Shoot (fold) | 1.36 | 1.67 | 1.23 | 1.77 | 1.33 | 1.64 | 1.08 | 1.55 | 1.13 | 1.56 |
| Root (fold) | 1.11 | 1.54 | 1.14 | 1.57 | 1.06 | 1.48 | 1.11 | 1.52 | 1.23 | 1.5 |
Publisher’s Note: MDPI stays neutral with regard to jurisdictional claims in published maps and institutional affiliations. |
© 2021 by the authors. Licensee MDPI, Basel, Switzerland. This article is an open access article distributed under the terms and conditions of the Creative Commons Attribution (CC BY) license (http://creativecommons.org/licenses/by/4.0/).
Share and Cite
Emamverdian, A.; Ding, Y.; Mokhberdoran, F.; Ahmad, Z.; Xie, Y. The Investigation of TiO2 NPs Effect as a Wastewater Treatment to Mitigate Cd Negative Impact on Bamboo Growth. Sustainability 2021, 13, 3200. https://doi.org/10.3390/su13063200
Emamverdian A, Ding Y, Mokhberdoran F, Ahmad Z, Xie Y. The Investigation of TiO2 NPs Effect as a Wastewater Treatment to Mitigate Cd Negative Impact on Bamboo Growth. Sustainability. 2021; 13(6):3200. https://doi.org/10.3390/su13063200
Chicago/Turabian StyleEmamverdian, Abolghassem, Yulong Ding, Farzad Mokhberdoran, Zishan Ahmad, and Yinfeng Xie. 2021. "The Investigation of TiO2 NPs Effect as a Wastewater Treatment to Mitigate Cd Negative Impact on Bamboo Growth" Sustainability 13, no. 6: 3200. https://doi.org/10.3390/su13063200
APA StyleEmamverdian, A., Ding, Y., Mokhberdoran, F., Ahmad, Z., & Xie, Y. (2021). The Investigation of TiO2 NPs Effect as a Wastewater Treatment to Mitigate Cd Negative Impact on Bamboo Growth. Sustainability, 13(6), 3200. https://doi.org/10.3390/su13063200

