Terrain Analytics for Precision Agriculture with Automated Vehicle Sensors and Data Fusion
Abstract
1. Introduction
2. Related Work
2.1. Remote Monitoring
2.2. Motion Sensing
2.3. Robot Vehicles with Autonomoust Driving Techniques in Agriculture
2.4. Sensor Data Fusion in Agriculture
3. Methodology
3.1. IMU Sensor-Based Data Collection Approach
Slope-Aware Alignment
3.2. Motion Pattern Recognition
3.3. Data Fusion Approach
| Algorithm 1. Pseudo-code of the algorithm for generating principal components |
| DTW (A, G) contains: |
| # A = (, …, ) is the accelerometer data. G = (, …, ) is the gyroscope data collected with continuous time series |
| -> Here, we claim M [0, … , n, 0, …, m] is a 2D data matrix which stands |
| for the similarity measures between the 2 timeseries. |
| # Data matrix initialization |
| -> M [0, 0]: = 0 |
| -> For i = 0 to m Step 1 Do: |
| -> M [0, i]: = Infinity |
| -> End |
| -> For i: = 1 to n Step 1 Do: |
| -> M [i, 0]: = Infinity |
| -> End |
| # Calculate the similarity measures between the 2 different time-series into M [n, m] |
| -> For i : = 1 to n Step 1 Do: |
| -> For j : = 1 to m Step 1 Do: |
| #Evaluate the similarity of the two points |
| -> diff : = |
| -> M [i, j] : = diff + Min (M [i-1, j], M [i, j-1], M [i-1, j-1]) |
| -> End |
| -> End |
| -> Return M [n, m] |
- Data Normalizationwhere is the mean and is the standard deviation of all the data.
- Covariance Matrix Calculationwhere represents the accelerometer readings and represents the gyroscope readings. Note that and .
- 3.
- Eigenvalue and Eigenvector Calculation
- 4.
- Principal Component Selection
- 5.
- Principle Component Formation
4. Experiment Design and System Implementation
4.1. System Design
4.2. System Implementation
4.3. Simulation Experiment Scenarios
4.4. Real-World Validation Experiment Scenarios
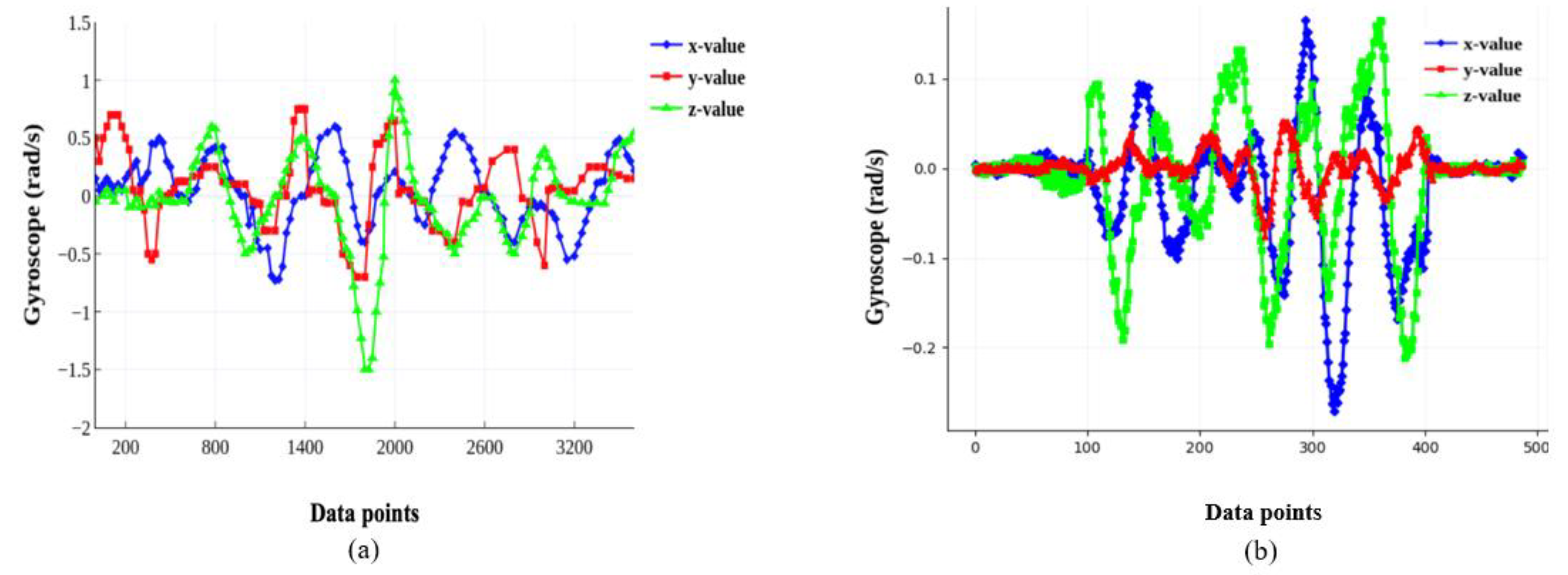
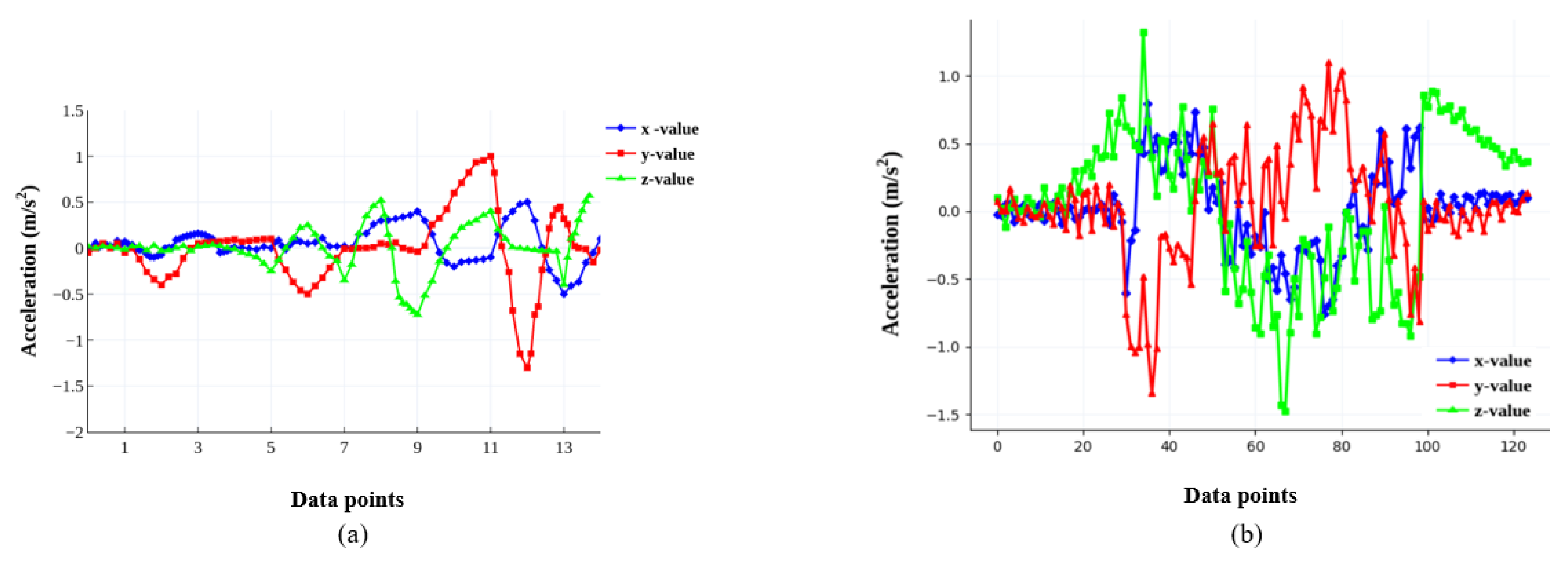
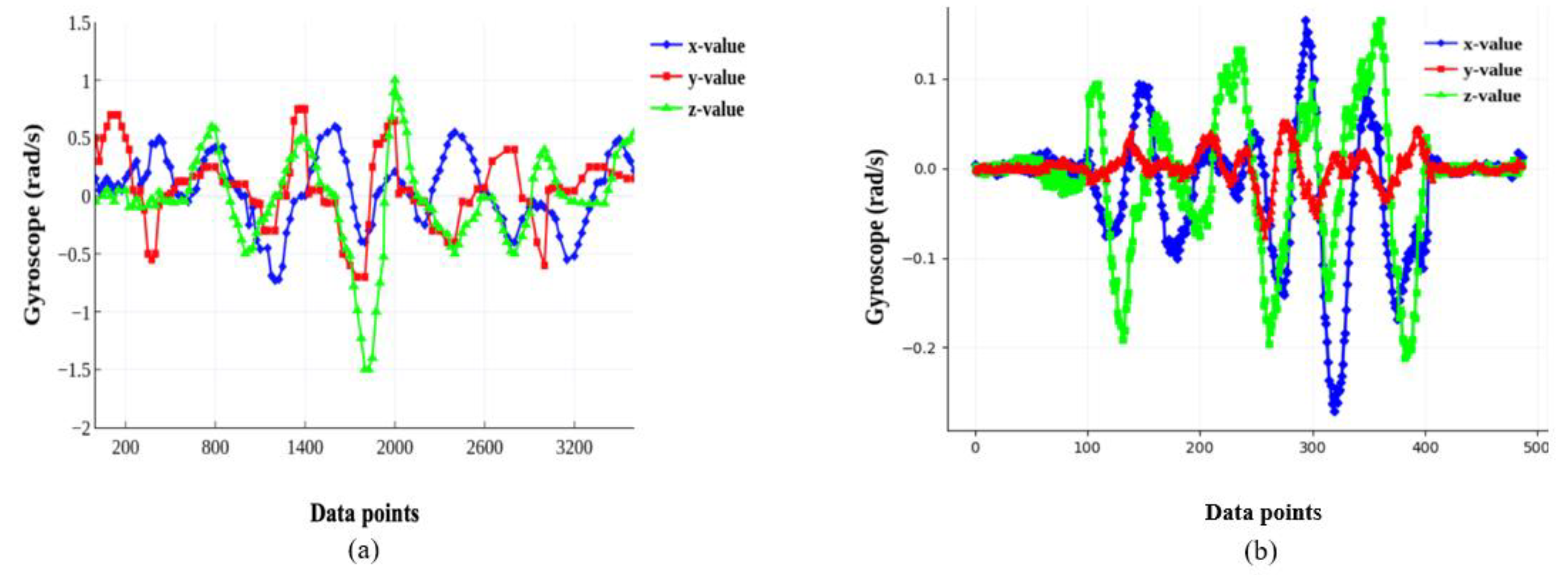
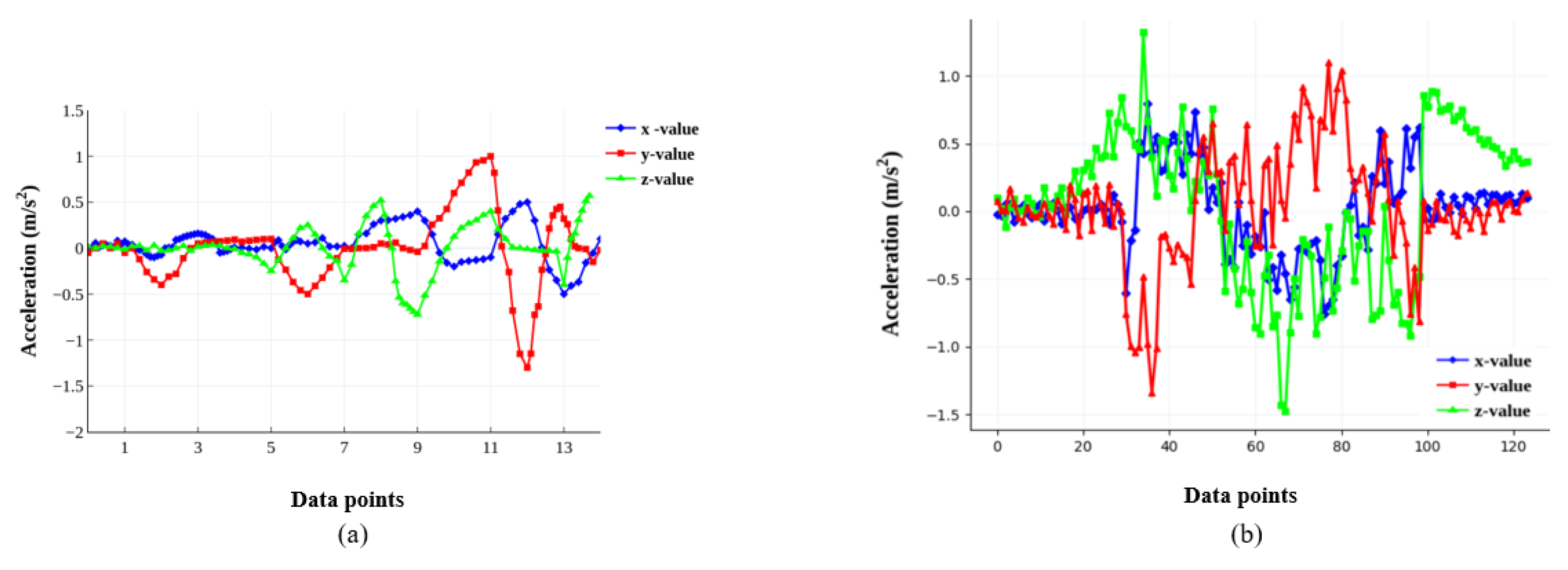
5. Result and Discussion
5.1. Single Slope
5.2. Depression or Soil Erosion
5.3. Rough Field
5.4. Flat Field vs. Muddy Field
6. Conclusions and Future Work
Author Contributions
Funding
Institutional Review Board Statement
Informed Consent Statement
Data Availability Statement
Conflicts of Interest
References
- Badgley, C.; Moghtader, J.; Quintero, E.; Zakem, E.; Chappell, M.J.; Aviles-Vazquez, K.; Perfecto, I. Organic agriculture and the global food supply. Renew. Agric. Food Syst. 2007, 22, 86–108. [Google Scholar] [CrossRef]
- Rosenzweig, C.; Parry, M.L. Potential impact of climate change on world food supply. Nature 1994, 367, 133–138. [Google Scholar] [CrossRef]
- Hussnain, M.; Sharjeel, M.; Chaudhry, S.R.; Hussain, S.A.; Raza, I.; Mirza, J.S. Investigating multi-topological zigbee based wireless sensor network in precision agriculture. J. Basics Appl. Sci. Res. 2013, 3, 195–201. [Google Scholar]
- Mareels, I.; Weyer, E.; Ooi, S.K.; Cantoni, M.; Li, Y.; Nair, G. Systems engineering for irrigation systems: Successes and challenges. IFAC Proc. Vol. 2005, 38, 1–16. [Google Scholar] [CrossRef]
- Myalo, O.V.; Myalo, V.V.; Prokopov, S.P.; Solomkin, A.P.; Soynov, A.S. Theoretical substantiation of machine-tractor fleet technical maintenance system on the example of Omsk region agricultural enterprises. Ser. J. Phys. Conf. Ser. 2018, 1059, 012005. [Google Scholar] [CrossRef]
- Nandurkar, S.R.; Thool, V.R.; Thool, R.C. Design and development of precision agriculture system using wireless sensor network. In Proceedings of the 2014 First International Conference on Automation, Control, Energy and Systems (ACES), Adisaptagram, India, 1–2 February 2014; Neumeier, S., Wintersberger, P., Frison, A.K., Becher, A., Facchi, C., Riener, A., Eds.; IEEE: New York, NY, USA, 2014. [Google Scholar]
- Prakash, A. Thermal remote sensing: Concepts, issues and applications. Int. Arch. Photogramm. Remote Sens. 2000, 33, 239–243. [Google Scholar]
- Shafian, S.; Maas, S.J. Index of soil moisture using raw Landsat image digital count data in Texas high plains. Remote Sens. 2015, 7, 2352–2372. [Google Scholar] [CrossRef]
- Gonzalez-Dugo, V.; Zarco-Tejada, P.; Berni, J.A.; Suárez, L.; Goldhamer, D.; Fereres, E. Almond tree canopy temperature reveals intra-crown variability that is water stress-dependent. Agric. For. Meteorol. 2012, 154, 156–165. [Google Scholar] [CrossRef]
- Berdugo, C.A.; Zito, R.; Paulus, S.; Mahlein, A.K. Fusion of sensor data for the detection and differentiation of plant diseases in cucumber. Plant Pathol. 2014, 63, 1344–1356. [Google Scholar] [CrossRef]
- Honkavaara, E.; Saari, H.; Kaivosoja, J.; Pölönen, I.; Hakala, T.; Litkey, P.; Pesonen, L. Processing and assessment of spectrometric, stereoscopic imagery collected using a lightweight UAV spectral camera for precision agriculture. Remote Sens. 2013, 5, 5006–5039. [Google Scholar] [CrossRef]
- Costa, F.G.; Ueyama, J.; Braun, T.; Pessin, G.; Osório, F.S.; Vargas, P.A. The use of unmanned aerial vehicles and wireless sensor network in agricultural applications. In Proceedings of the 2012 IEEE International Geoscience and Remote Sensing Symposium, Munich, Germany, 22–27 July 2012; IEEE: New York, NY, USA, 2012. [Google Scholar]
- Maes, W.H.; Steppe, K. Perspectives for remote sensing with unmanned aerial vehicles in precision agriculture. Trends Plant Sci. 2019, 24, 152–164. [Google Scholar] [CrossRef]
- Matsuzaki, S.; Masuzawa, H.; Miura, J.; Oishi, S. 3D Semantic Mapping in Greenhouses for Agricultural Mobile Robots with Robust Object Recognition Using Robots’ Trajectory. In Proceedings of the 2018 IEEE International Conference on Systems, Man, and Cybernetics (SMC), Miyazaki, Japan, 7–10 October 2018; IEEE: New York, NY, USA, 2018. [Google Scholar]
- Nadkarni, P.M. Management of evolving map data: Data structures and algorithms based on the framework map. Genomics 1995, 30, 565. [Google Scholar] [CrossRef]
- Li, L.; Yao, J.; Xie, R.; Tu, J.; Chen, F. Laser-Based Slam with Efficient Occupancy Likelihood Map Learning for Dynamic Indoor Scenes. ISPRS Ann. Photogramm. Remote Sens. Spat. Inf. 2016, 3, 119–126. [Google Scholar] [CrossRef]
- Chen, F.; Wang, J.M.; Sun, B.G.; Chen, X.M.; Yang, Z.X.; Duan, Z.Y. Relationships of plant species distribution in different strata of Pinus yunnanensis forest with landform and climatic factors. Chin. J. Ecol. 2012, 31, 1070. [Google Scholar]
- Won, S.H.P.; Golnaraghi, F.; Melek, W.W. A Fastening Tool Tracking System Using an IMU and a Position Sensor With Kalman Filters and a Fuzzy Expert System. IEEE Trans. Ind. Electron. 2009, 56, 1782–1792. [Google Scholar] [CrossRef]
- Feng, T.; Liu, Z.; Kwon, K.A.; Shi, W.; Carbunar, B.; Jiang, Y.; Nguyen, N. Continuous mobile authentication using touchscreen gestures. In Proceedings of the 2012 IEEE Conference On Technologies For Homeland Security (HST), Waltham, MA, USA, 13–15 November 2012; IEEE: New York, NY, USA, 2012. [Google Scholar]
- Hu, C.; Li, M.; Song, S.; Zhang, R.; Meng, M.Q.H. A Cubic 3-Axis Magnetic Sensor Array for Wirelessly Tracking Magnet Position and Orientation. IEEE Sens. J. 2010, 10, 903–913. [Google Scholar] [CrossRef]
- Zhao, W.; Xu, L.; Bai, J.; Ji, M.; Runge, T. Sensor-based risk perception ability network design for drivers in snow and ice environmental freeway: A deep learning and rough sets approach. Soft Comput. 2018, 22, 1457–1466. [Google Scholar] [CrossRef]
- Zhao, W.; Yamada, W.; Li, T.; Digman, M.; Runge, T. Augmenting Crop Detection for Precision Agriculture with Deep Visual Transfer Learning—A Case Study of Bale Detection. Remote Sens. 2021, 13, 23. [Google Scholar] [CrossRef]
- Mayagoitia, R.E.; Nene, A.V.; Veltink, P.H. Accelerometer and rate gyroscope measurement of kinematics: An inexpensive alternative to optical motion analysis systems. J. Biomech. 2002, 35, 537–542. [Google Scholar] [CrossRef]
- Bouten, C.V.; Koekkoek, K.T.; Verduin, M.; Kodde, R.; Janssen, J.D. A triaxial accelerometer and portable data processing unit for the assessment of daily physical activity. IEEE Trans. Biomed. Eng. 1997, 44, 136–147. [Google Scholar] [CrossRef] [PubMed]
- Mulla, D.J. Twenty five years of remote sensing in precision agriculture: Key advances and remaining knowledge gaps. Biosyst. Eng. 2013, 114, 358–371. [Google Scholar] [CrossRef]
- Zhang, C.; Kovacs, J.M. The application of small unmanned aerial systems for precision agriculture: A review. Precis. Agric. 2012, 13, 693–712. [Google Scholar] [CrossRef]
- Mahlein, A.K. Plant disease detection by imaging sensors–parallels and specific demands for precision agriculture and plant phenotyping. Plant Dis. 2016, 100, 241–251. [Google Scholar] [CrossRef] [PubMed]
- Neumeier, S.; Wintersberger, P.; Frison, A.K.; Becher, A.; Facchi, C.; Riener, A. Teleoperation: The holy grail to solve problems of automated driving? Sure, but latency matters. In Proceedings of the 11th International Conference on Automotive User Interfaces and Interactive Vehicular Applications, Utrecht, The Netherlands, 21–25 September 2019; pp. 186–197. [Google Scholar]
- Frolking, S.; Qiu, J.; Boles, S.; Xiao, X.; Liu, J.; Zhuang, Y.; Qin, X. Combining remote sensing and ground census data to develop new maps of the distribution of rice agriculture in China. Glob. Biogeochem. Cycles 2002, 16, 38-1–38-10. [Google Scholar] [CrossRef]
- Hall, A.; Lamb, D.W.; Holzapfel, B.; Louis, J. Optical remote sensing applications in viticulture—A review. Aust. J. Grape Wine Res. 2002, 8, 36–47. [Google Scholar] [CrossRef]
- Anderson, N.W. Method and System for Identifying an Edge of a Plant. U.S. Patent 7,916,898, 29 March 2011. [Google Scholar]
- Rouveure, R.; Nielsen, M.; Petersen, A.; Reina, G.; Foglia, M.; Worst, R.; Seyed-Sadri, S.; Blas, M.R.; Faure, P.; Milella, A.; et al. The QUAD-AV Project: Multi-sensory approach for obstacle detection in agricultural autonomous robotics. In Proceedings of the 2012 International Conference of Agricultural Engineering CIGR-Ageng, Valencia, Spain, 8–12 July 2012. [Google Scholar]
- Zhao, W.; Yin, J.; Wang, X.; Hu, J.; Qi, B.; Runge, T. Real-time vehicle motion detection and motion altering for connected vehicle: Algorithm design and practical applications. Sensors 2019, 19, 4108. [Google Scholar] [CrossRef] [PubMed]
- Beall, C.; Dellaert, F. Appearance-based localization across seasons in a metric map. In Proceedings of the IROS Workshop on Planning, Perception and Navigation for Intelligent Vehicles (PPNIV), Chicago, IL, USA, 16 September 2014. [Google Scholar]
- Estes, R.A.; Bynum, J.R.; Riggs, R. Gyroscopic Steering Tool Using Only a Two-Axis Rate Gyroscope and Deriving the Missing Third Axis. U.S. Patent 7,234,540, 26 June 2007. [Google Scholar]
- Qi, B.; Liu, P.; Ji, T.; Zhao, W.; Banerjee, S. DrivAid: Augmenting driving analytics with multi-modal information. In Proceedings of the 2018 IEEE Vehicular Networking Conference (VNC), Taipei, Taiwan, 5–7 December 2018; IEEE: New York, NY, USA, 2018; pp. 1–8. [Google Scholar]
- Chen, X.; Ma, H.; Wan, J.; Li, B.; Xia, T. Multi-view 3d object detection network for autonomous driving. In Proceedings of the IEEE Conference on Computer Vision and Pattern Recognition, Honolulu, HI, USA, 21–26 July 2017; pp. 1907–1915. [Google Scholar]
- Pretto, A.; Aravecchia, S.; Burgard, W.; Chebrolu, N.; Dornhege, C.; Falck, T.; Liebisch, F. Building an Aerial-Ground Robotics System for Precision Farming. arXiv 2019, arXiv:1911.03098. [Google Scholar]
- Lepej, P.; Rakun, J. Simultaneous localisation and mapping in a complex field environment. Biosyst. Eng. 2016, 150, 160–169. [Google Scholar] [CrossRef]
- Abbasi, A.Z.; Islam, N.; Shaikh, Z.A. A review of wireless sensors and networks’ applications in agriculture. Comput. Stand. Interfaces 2014, 36, 263–270. [Google Scholar]
- Zhao, W.; Wang, W.; Wang, X.; Jin, Z.; Li, Y.; Runge, T. A low-cost simultaneous localization and mapping algorithm for last-mile delivery. In Proceedings of the 2019 5th International Conference on Transportation Information and Safety (ICTIS), Liverpool, UK, 14–17 July 2019. [Google Scholar]
- Kang, L.; Zhao, W.; Qi, B.; Banerjee, S. Augmenting self-driving with remote control: Challenges and directions. In Proceedings of the 19th International Workshop on Mobile Computing Systems & Applications, New York, NY, USA, 14–18 February 2018; pp. 19–24. [Google Scholar]
- Li, T.; Kockelman, K.M. Valuing the safety benefits of connected and automated vehicle technologies. In Proceedings of the Transportation Research Board 95th Annual Meeting, Washington, DC, USA, 10–14 January 2016; Volume 1. [Google Scholar]
- Wang, X.; An, K.; Tang, L.; Chen, X. Short term prediction of freeway exiting volume based on SVM and KNN. Int. J. Transp. Sci. Technol. 2015, 4, 337–352. [Google Scholar] [CrossRef]
- Zhao, W.; Xu, L.; Qi, B.; Hu, J.; Wang, T.; Runge, T. Vivid: Augmenting vision-based indoor navigation system with edge computing. IEEE Access 2020, 8, 42909–42923. [Google Scholar] [CrossRef]
- Zhao, W.; Wang, X.; Qi, B.; Runge, T. Ground-level Mapping and Navigating for Agriculture based on IoT and Computer Vision. IEEE Access 2020, 8, 221975–221985. [Google Scholar] [CrossRef]









| Sensor Type | Power Consumption (W/V) | Market Price (USD) | Model |
|---|---|---|---|
| Stereo vision camera | 20 | 200 | Nerian SceneScan Pro |
| Laser scanner | 2 | 500 | Keyence Laser Scanner |
| Infrared light | 0.04 | 50 | Seco-Larm E-931-S35RRQ |
| LiDAR | 10 | 500 | Velarray H800 |
| Laser range finder | 30 | 450 | Leupold RX-2800 |
| IMU | 3 × 10−5 | 5 | Bosch BMI270 |
| Category | Distance (m) | Description |
|---|---|---|
| Flat | 2 | Flat board with a layer of soil |
| Single slope | 2 | Wood chip covered; angle 30 degree |
| Depression | 2.5 | 5–8 cm irregular shapes |
| Muddy | 2.5 | With small water pit and mud |
| Experiment Scenarios | Features |
|---|---|
| Single Slope | The gradient of the single slope was stable. |
| Depression or Soil Erosion | The depression and soil erosion contain multiple soil erosion gullies. |
| Rough Field | The surface of rough field contains mixtures of sand and gravel. |
| Flat Field vs. Muddy Field | The vehicle drove from a flat field through a muddy field to collect data. |
Publisher’s Note: MDPI stays neutral with regard to jurisdictional claims in published maps and institutional affiliations. |
© 2021 by the authors. Licensee MDPI, Basel, Switzerland. This article is an open access article distributed under the terms and conditions of the Creative Commons Attribution (CC BY) license (http://creativecommons.org/licenses/by/4.0/).
Share and Cite
Zhao, W.; Li, T.; Qi, B.; Nie, Q.; Runge, T. Terrain Analytics for Precision Agriculture with Automated Vehicle Sensors and Data Fusion. Sustainability 2021, 13, 2905. https://doi.org/10.3390/su13052905
Zhao W, Li T, Qi B, Nie Q, Runge T. Terrain Analytics for Precision Agriculture with Automated Vehicle Sensors and Data Fusion. Sustainability. 2021; 13(5):2905. https://doi.org/10.3390/su13052905
Chicago/Turabian StyleZhao, Wei, Tianxin Li, Bozhao Qi, Qifan Nie, and Troy Runge. 2021. "Terrain Analytics for Precision Agriculture with Automated Vehicle Sensors and Data Fusion" Sustainability 13, no. 5: 2905. https://doi.org/10.3390/su13052905
APA StyleZhao, W., Li, T., Qi, B., Nie, Q., & Runge, T. (2021). Terrain Analytics for Precision Agriculture with Automated Vehicle Sensors and Data Fusion. Sustainability, 13(5), 2905. https://doi.org/10.3390/su13052905

