Comparing Physicochemical Properties and Sorption Behaviors of Pyrolysis-Derived and Microwave-Mediated Biochar
Abstract
1. Introduction
- Develop an alternative method of microwave biochar production,
- produce microwave-mediated biochar from three feedstocks that exhibit similar characteristics to that of pyrolysis-derived biochar, and
- compare characteristics of slow pyrolysis-derived biochar and microwave pyrolysis-derived biochar via elemental composition, thermogravimetric structure, porous and surface structure, as well as sorption capacities of nitrate (NO3−).
2. Materials and Methods
2.1. Biochar Feedstock and Production
2.1.1. Conventional Slow Pyrolysis
2.1.2. Microwave Pyrolysis
2.2. Physicochemical Characteristics Analysis
2.2.1. MESTA Ultimate Analysis and Thermogram
2.2.2. Thermogravimetric Analysis
- Isotherm at room temperature (21 °C) for 5 min,
- temperature equilibrium at 21 °C to 100 °C,
- isotherm at (100 °C) for 5 min,
- ramping of 5 °C/min from 100 °C to 700 °C.
2.2.3. Porous Structure Analysis
2.2.4. Surface Morphology Analysis
2.2.5. FTIR Analysis
2.3. Nitrate Adsorption Isotherm Experiments
2.4. Statistical Analysis
3. Results and Discussion
3.1. Yield of Biochar
3.2. Elemental Composition of Biochar
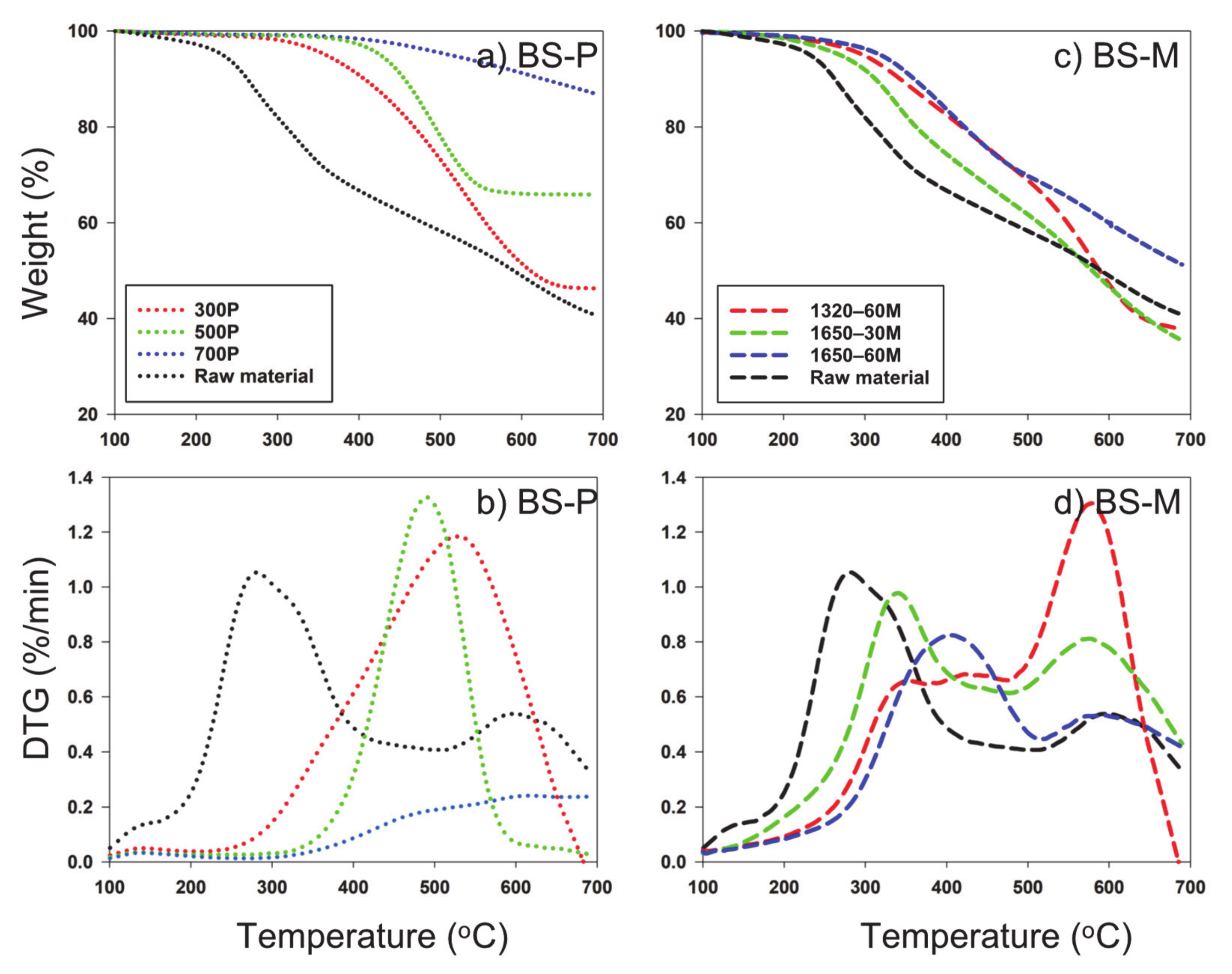
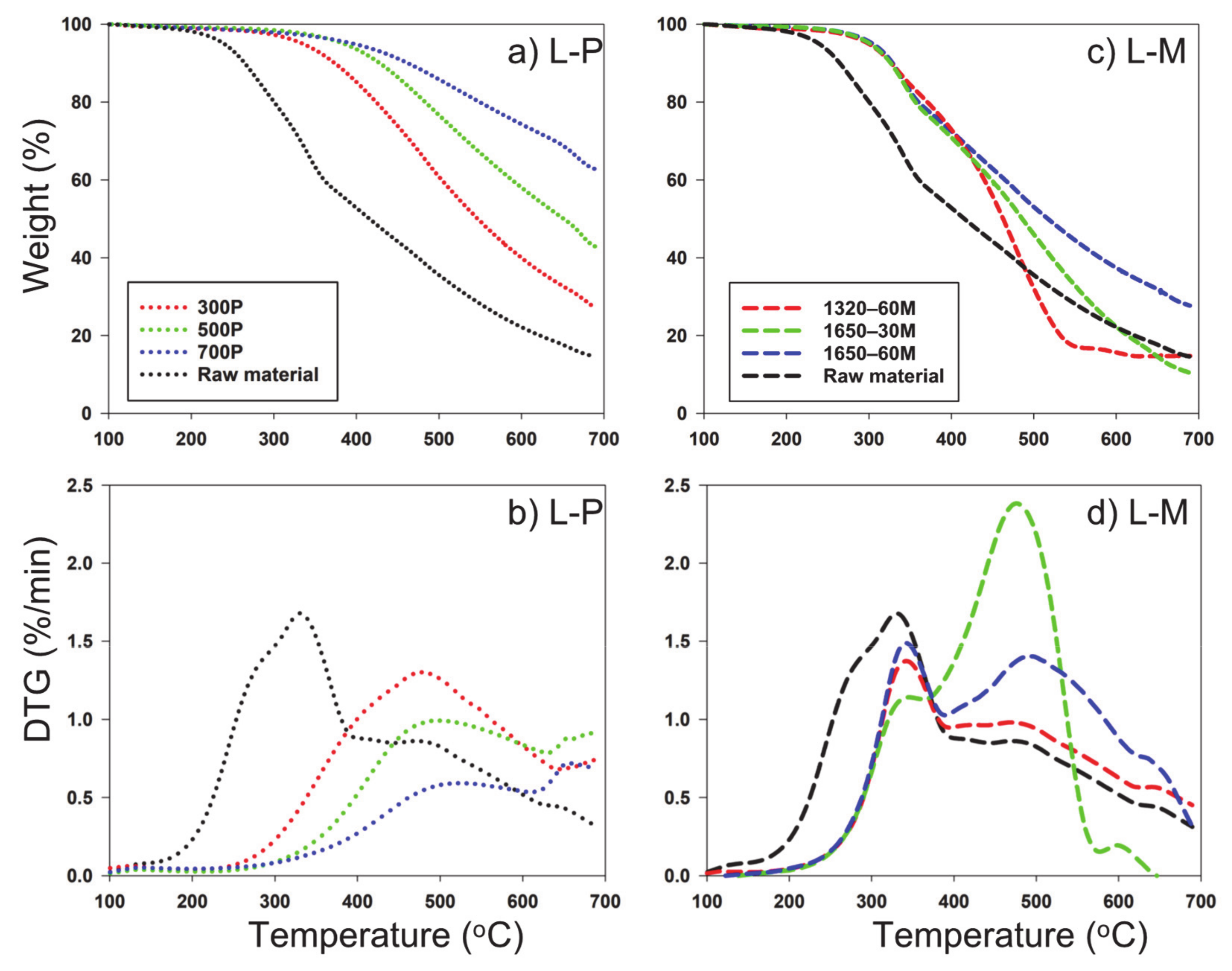
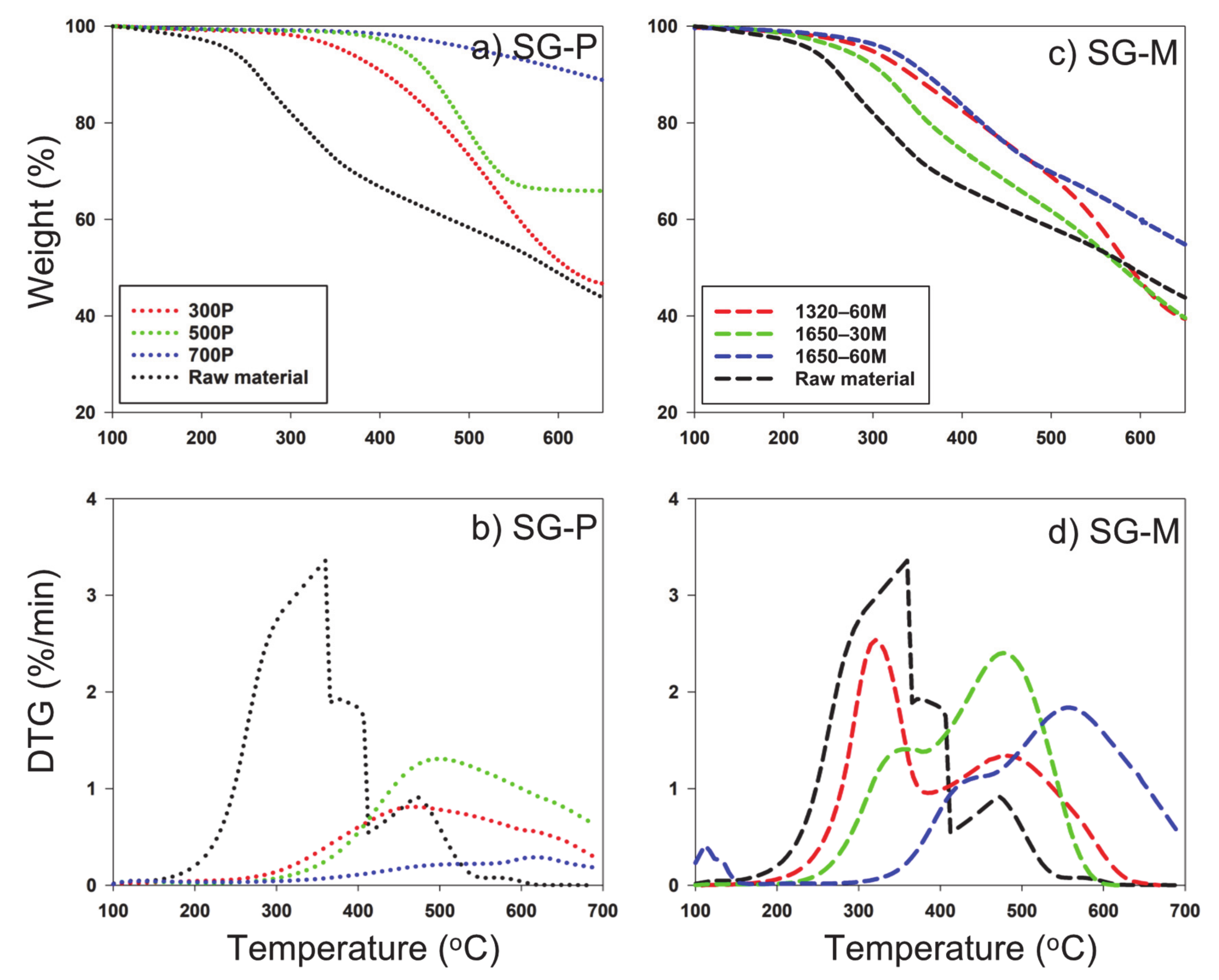
3.3. Thermogravimetric Characteristics of Biochar
3.4. Surface Structure Analysis of Biochar
3.5. Structural Porosity and Morphology of Biochar
3.6. NO3− Adsorption Isotherms and Characteristics
3.7. Implications of the Study and Future Work
4. Conclusions
Author Contributions
Funding
Institutional Review Board Statement
Informed Consent Statement
Data Availability Statement
Acknowledgments
Conflicts of Interest
References
- Bonanomi, G.; Ippolito, F.; Cesarano, G.; Vinale, F.; Lombardi, N.; Crasto, A.; Woo, S.L.; Scala, F. Biochar chemistry defined by C-13-CPMAS NMR explains opposite effects on soilborne microbes and crop plants. Appl. Soil Ecol. 2018, 124, 351–361. [Google Scholar] [CrossRef]
- Zhu, L.; Lei, H.W.; Wang, L.; Yadavalli, G.; Zhang, X.S.; Wei, Y.; Liu, Y.P.; Yan, D.; Chen, S.L.; Ahring, B. Biochar of corn stover: Microwave-assisted pyrolysis condition induced changes in surface functional groups and characteristics. J. Anal. Appl. Pyrol. 2015, 115, 149–156. [Google Scholar] [CrossRef]
- Harvey, O.R.; Kuo, L.J.; Zimmerman, A.R.; Louchouarn, P.; Amonette, J.E.; Herbert, B.E. An Index-Based Approach to Assessing Recalcitrance and Soil Carbon Sequestration Potential of Engineered Black Carbons (Biochars). Environ. Sci. Technol. 2012, 46, 1415–1421. [Google Scholar] [CrossRef] [PubMed]
- Singh, P.; Singh, R.; Borthakur, A.; Madhav, S.; Singh, V.K.; Tiwary, D.; Srivastava, V.C.; Mishra, P.K. Exploring temple floral refuse for biochar production as a closed loop perspective for environmental management. Waste Manag. 2018, 77, 78–86. [Google Scholar] [CrossRef] [PubMed]
- Verma, L.; Singh, J. Synthesis of novel biochar from waste plant litter biomass for the removal of Arsenic (III and V) from aqueous solution: A mechanism characterization, kinetics and thermodynamics. J. Environ. Manag. 2019, 248. [Google Scholar] [CrossRef] [PubMed]
- Hangs, R.D.; Ahmed, H.P.; Schoenau, J.J. Influence of Willow Biochar Amendment on Soil Nitrogen Availability and Greenhouse Gas Production in Two Fertilized Temperate Prairie Soils. Bioenergy Res. 2016, 9, 157–171. [Google Scholar] [CrossRef]
- Agegnehu, G.; Bass, A.M.; Nelson, P.N.; Muirhead, B.; Wright, G.; Bird, M.I. Biochar and biochar-compost as soil amendments: Effects on peanut yield, soil properties and greenhouse gas emissions in tropical North Queensland, Australia. Agric. Ecosyst. Environ. 2015, 213, 72–85. [Google Scholar] [CrossRef]
- Azzi, E.S.; Karltun, E.; Sundberg, C. Prospective Life Cycle Assessment of Large-Scale Biochar Production and Use for Negative Emissions in Stockholm. Environ. Sci. Technol. 2019, 53, 8466–8476. [Google Scholar] [CrossRef] [PubMed]
- Li, S.M.; Chen, G. Thermogravimetric, thermochemical, and infrared spectral characterization of feedstocks and biochar derived at different pyrolysis temperatures. Waste Manag. 2018, 78, 198–207. [Google Scholar] [CrossRef]
- Marousek, J.; Vochozka, M.; Plachy, J.; Zak, J. Glory and misery of biochar. Clean Technol. Environ. 2017, 19, 311–317. [Google Scholar] [CrossRef]
- Enders, A.; Hanley, K.; Whitman, T.; Joseph, S.; Lehmann, J. Characterization of biochars to evaluate recalcitrance and agronomic performance. Bioresour. Technol. 2012, 114, 644–653. [Google Scholar] [CrossRef]
- Guo, M.X.; Shen, Y.F. Quality variations of poultry litter biochar generated at different pyrolysis temperatures. J. Am. Chem. Soc. 2011, 242. [Google Scholar] [CrossRef]
- Heitkotter, J.; Marschner, B. Interactive effects of biochar ageing in soils related to feedstock, pyrolysis temperature, and historic charcoal production. Geoderma 2015, 245, 56–64. [Google Scholar] [CrossRef]
- Kim, D.; Lee, K.; Park, K.Y. Upgrading the characteristics of biochar from cellulose, lignin, and xylan for solid biofuel production from biomass by hydrothermal carbonization. J. Ind. Eng. Chem. 2016, 42, 95–100. [Google Scholar] [CrossRef]
- Rigby, H.; Clarke, B.O.; Pritchard, D.L.; Meehan, B.; Beshah, F.; Smith, S.R.; Porter, N.A. A critical review of nitrogen mineralization in biosolids-amended soil, the associated fertilizer value for crop production and potential for emissions to the environment. Sci. Total Environ. 2016, 541, 1310–1338. [Google Scholar] [CrossRef]
- Mossa, A.W.; Dickinson, M.J.; West, H.M.; Young, S.D.; Crout, N.M.J. The response of soil microbial diversity and abundance to long-term application of biosolids. Environ. Pollut. 2017, 224, 16–25. [Google Scholar] [CrossRef] [PubMed]
- van Zwieten, L.; Kimber, S.; Morris, S.; Chan, K.Y.; Downie, A.; Rust, J.; Joseph, S.; Cowie, A. Effects of biochar from slow pyrolysis of papermill waste on agronomic performance and soil fertility. Plant. Soil 2010, 327, 235–246. [Google Scholar] [CrossRef]
- Li, S.M.; Harris, S.; Anandhi, A.; Chen, G. Predicting biochar properties and functions based on feedstock and pyrolysis temperature: A review and data syntheses. J. Clean Prod. 2019, 215, 890–902. [Google Scholar] [CrossRef]
- Van Zwieten, L.; Kimber, S.; Downie, A.; Morris, S.; Petty, S.; Rust, J.; Chan, K.Y. A glasshouse study on the interaction of low mineral ash biochar with nitrogen in a sandy soil. Aust. J. Soil Res. 2010, 48, 569–576. [Google Scholar] [CrossRef]
- Zimmerman, A.R. Abiotic and Microbial Oxidation of Laboratory-Produced Black Carbon (Biochar). Environ. Sci. Technol. 2010, 44, 1295–1301. [Google Scholar] [CrossRef]
- Joseph, S.D.; Camps-Arbestain, M.; Lin, Y.; Munroe, P.; Chia, C.H.; Hook, J.; van Zwieten, L.; Kimber, S.; Cowie, A.; Singh, B.P.; et al. An investigation into the reactions of biochar in soil. Aust. J. Soil Res. 2010, 48, 501–515. [Google Scholar] [CrossRef]
- Ge, S.B.; Foong, S.Y.; Ma, N.L.; Liew, R.K.; Mahari, W.A.W.; Xia, C.L.; Yek, P.N.Y.; Peng, W.X.; Nam, W.L.; Lim, X.Y.; et al. Vacuum pyrolysis incorporating microwave heating and base mixture modification: An integrated approach to transform biowaste into eco-friendly bioenergy products. Renew. Sust. Energ. Rev. 2020, 127. [Google Scholar] [CrossRef]
- Mohamed, B.A.; Kim, C.S.; Ellis, N.; Bi, X.T. Microwave-assisted catalytic pyrolysis of switchgrass for improving bio-oil and biochar properties. Bioresour. Technol. 2016, 201, 121–132. [Google Scholar] [CrossRef]
- Sara, M.; Brar, S.K.; Blais, J.F. Comparative study between microwave and ultrasonication aided in situ transesterification of microbial lipids. RSC Adv. 2016, 6, 56009–56017. [Google Scholar] [CrossRef]
- Foong, S.Y.; Liew, R.K.; Yang, Y.F.; Cheng, Y.W.; Yek, P.N.Y.; Mahari, W.A.W.; Lee, X.Y.; Han, C.S.; Vo, D.V.N.; Le, Q.V.; et al. Valorization of biomass waste to engineered activated biochar by microwave pyrolysis: Progress, challenges, and future directions. Chem. Eng. J. 2020, 389. [Google Scholar] [CrossRef]
- Li, S.M.; Barreto, V.; Li, R.W.; Chen, G.; Hsieh, Y.P. Nitrogen retention of biochar derived from different feedstocks at variable pyrolysis temperatures. J. Anal. Appl. Pyrol. 2018, 133, 136–146. [Google Scholar] [CrossRef]
- Hsieh, Y.P. A novel multielemental scanning thermal analysis (MESTA) method for the identification and characterization of solid substances. J. AOAC Int. 2007, 90, 54–59. [Google Scholar]
- Polanyi, M. Adsorption and capillarity from the stand point of the II. main clause. Z. Phys. Chem. 1914, 88, 622–631. [Google Scholar]
- Antunes, E.; Schumann, J.; Brodie, G.; Jacob, M.V.; Schneider, P.A. Biochar produced from biosolids using a single-mode microwave: Characterisation and its potential for phosphorus removal. J. Environ. Manag. 2017, 196, 119–126. [Google Scholar] [CrossRef] [PubMed]
- Liew, R.K.; Nam, W.L.; Chong, M.Y.; Phang, X.Y.; Su, M.H.; Yek, P.N.Y.; Ma, N.L.; Cheng, C.K.; Chang, C.T.; Lam, S.S. Oil palm waste: An abundant and promising feedstock for microwave pyrolysis conversion into good quality biochar with potential multi-applications. Process. Saf. Environ. Prot. 2018, 115, 57–69. [Google Scholar] [CrossRef]
- Jindo, K.; Mizumoto, H.; Sawada, Y.; Sanchez-Monedero, M.A.; Sonoki, T. Physical and chemical characterization of biochars derived from different agricultural residues. Biogeosciences 2014, 11, 6613–6621. [Google Scholar] [CrossRef]
- Gonzaga, M.I.S.; Mackowiak, C.L.; Comerford, N.B.; Moline, E.F.D.; Shirley, J.P.; Guimaraes, D.V. Pyrolysis methods impact biosolids-derived biochar composition, maize growth and nutrition. Soil Tillage Res. 2017, 165, 59–65. [Google Scholar] [CrossRef]
- Zheng, H.; Wang, Z.; Deng, X.; Herbert, S.; Xing, B. Impacts of adding biochar on nitrogen retention and bioavailability in agricultural soil. Geoderma 2013, 206, 32–39. [Google Scholar] [CrossRef]
- Li, R.; Xu, K.; Ali, A.; Deng, H.; Cai, H.; Wang, Q.; Pan, J.; Chang, C.-C.; Liu, H.; Zhang, Z. Sulfur-aided composting facilitates ammonia release mitigation, endocrine disrupting chemicals degradation and biosolids stabilization. Bioresour. Technol. 2020, 312, 123653. [Google Scholar] [CrossRef]
- Spokas, K.A. Review of the stability of biochar in soils: Predictability of O:C molar ratios. Carbon Manag. 2010, 1, 289–303. [Google Scholar] [CrossRef]
- Ahmad, M.; Rajapaksha, A.U.; Lim, J.E.; Zhang, M.; Bolan, N.; Mohan, D.; Vithanage, M.; Lee, S.S.; Ok, Y.S. Biochar as a sorbent for contaminant management in soil and water: A review. Chemosphere 2014, 99, 19–33. [Google Scholar] [CrossRef]
- Alburquerque, J.A.; Sanchez-Monedero, M.A.; Roig, A.; Cayuela, M.L. High concentrations of polycyclic aromatic hydrocarbons (naphthalene, phenanthrene and pyrene) failed to explain biochar’s capacity to reduce soil nitrous oxide emissions. Environ. Pollut. 2015, 196, 72–77. [Google Scholar] [CrossRef]
- Alhinai, M.; Azad, A.K.; Abu Bakar, M.S.; Phusunti, N. Characterisation and Thermochemical Conversion of Rice Husk for Biochar Production. Int. J. Renew. Energy Res. 2018, 8, 1648–1656. [Google Scholar]
- Yang, H.P.; Yan, R.; Chen, H.P.; Lee, D.H.; Zheng, C.G. Characteristics of hemicellulose, cellulose and lignin pyrolysis. Fuel 2007, 86, 1781–1788. [Google Scholar] [CrossRef]
- Cao, J.; Xiao, G.; Xu, X.; Shen, D.K.; Jin, B.S. Study on carbonization of lignin by TG-FTIR and high-temperature carbonization reactor. Fuel Process. Technol. 2013, 106, 41–47. [Google Scholar] [CrossRef]
- Asmadi, M.; Kawamoto, H.; Saka, S. Thermal reactivities of catechols/pyrogallols and cresols/xylenols as lignin pyrolysis intermediates. J. Anal. Appl. Pyrolysis 2011, 92, 76–87. [Google Scholar] [CrossRef]
- Mukherjee, A.; Zimmerman, A.R.; Harris, W. Surface chemistry variations among a series of laboratory-produced biochars. Geoderma 2011, 163, 247–255. [Google Scholar] [CrossRef]
- Kameyama, K.; Miyamoto, T.; Iwata, Y.; Shiono, T. Influences of feedstock and pyrolysis temperature on the nitrate adsorption of biochar. Soil Sci. Plant Nutr. 2016, 62, 180–184. [Google Scholar] [CrossRef]
- Chintala, R.; Mollinedo, J.; Schumacher, T.E.; Papiernik, S.K.; Malo, D.D.; Clay, D.E.; Kumar, S.; Gulbrandson, D.W. Nitrate sorption and desorption in biochars from fast pyrolysis. Microporous Mesoporous Mater. 2013, 179, 250–257. [Google Scholar] [CrossRef]
- Saini, R.; Osorio-Gonzalez, C.S.; Hegde, K.; Brar, S.K.; Magdouli, S.; Vezina, P.; Avalos-Ramirez, A. Lignocellulosic Biomass-Based Biorefinery: An Insight into Commercialization and Economic Standout. Curr. Sustain. Renew. Energy Rep. 2020, 7, 122–136. [Google Scholar] [CrossRef]
- Sara, M.; Rouissi, T.; Brar, S.K.; Blais, J.F. Chapter 4 - Life Cycle Analysis of Potential Substrates of Sustainable Biorefinery. In Platform Chemical Biorefinery; Kaur Brar, S., Jyoti Sarma, S., Pakshirajan, K., Eds.; Elsevier: Amsterdam, The Netherlands, 2016; pp. 55–76. [Google Scholar] [CrossRef]
- Clare, A.; Barnes, A.; McDonagh, J.; Shackley, S. From rhetoric to reality: Farmer perspectives on the economic potential of biochar in China. Int. J. Agric. Sustain. 2014, 12, 440–458. [Google Scholar] [CrossRef]









| Feedstock * | Label ** | Pyrolysis Method | Temperature (°C) or Power Level (W) | Time (min) |
|---|---|---|---|---|
| BS | 300P | Slow Pyrolysis | 300 | 60 |
| 500P | Slow Pyrolysis | 500 | 60 | |
| 700P | Slow Pyrolysis | 700 | 60 | |
| 1320–60M | Microwave Pyrolysis | 1320 | 60 | |
| 1650–30M | Microwave Pyrolysis | 1650 | 30 | |
| 1650–60M | Microwave Pyrolysis | 1650 | 60 | |
| L | 300P | Slow Pyrolysis | 300 | 60 |
| 500P | Slow Pyrolysis | 500 | 60 | |
| 700P | Slow Pyrolysis | 700 | 60 | |
| 1320–60M | Microwave Pyrolysis | 1320 | 60 | |
| 1650–30M | Microwave Pyrolysis | 1650 | 30 | |
| 1650–60M | Microwave Pyrolysis | 1650 | 60 | |
| SG | 300P | Slow Pyrolysis | 300 | 60 |
| 500P | Slow Pyrolysis | 500 | 60 | |
| 700P | Slow Pyrolysis | 700 | 60 | |
| 1320–60M | Microwave Pyrolysis | 1320 | 60 | |
| 1650–30M | Microwave Pyrolysis | 1650 | 30 | |
| 1650–60M | Microwave Pyrolysis | 1650 | 60 |
| Feedstock | Sample | C (wt%) | N (wt%) | S (wt%) | H (wt%) | O (wt%) | Atomic H/C | Atomic O/C |
|---|---|---|---|---|---|---|---|---|
| BS | 300P | 42.60 | 4.87 | 0.96 | 5.40 | 46.16 | 0.34 | 0.45 |
| 500P | 52.49 | 5.96 | 0.70 | 1.80 | 39.03 | 0.63 | 0.37 | |
| 700P | 41.45 | 4.24 | 0.61 | 3.28 | 50.41 | 0.40 | 0.19 | |
| 1320–60M | 35.59 | 3.91 | 0.34 | 2.45 | 57.66 | 0.61 | 0.44 | |
| 1650–30M | 35.64 | 2.86 | 0.08 | 1.06 | 60.29 | 0.46 | 0.28 | |
| 1650–60M | 34.49 | 2.35 | 0.20 | 1.14 | 61.75 | 0.19 | 0.26 | |
| L | 300P | 59.14 | 0.85 | 0.00 | 1.74 | 35.21 | 0.83 | 1.21 |
| 500P | 63.62 | 0.30 | 0.00 | 3.40 | 31.61 | 0.36 | 1.27 | |
| 700P | 62.88 | 1.35 | 0.00 | 2.55 | 31.65 | 0.40 | 1.34 | |
| 1320–60M | 60.90 | 1.11 | 0.00 | 4.53 | 36.51 | 0.92 | 0.45 | |
| 1650–30M | 64.38 | 1.56 | 0.00 | 3.20 | 31.92 | 0.60 | 0.37 | |
| 1650–60M | 76.51 | 1.36 | 0.00 | 4.11 | 19.57 | 0.78 | 0.38 | |
| SG | 300P | 56.56 | 0.69 | 0.00 | 3.08 | 37.47 | 1.03 | 0.50 |
| 500P | 53.87 | 0.91 | 0.00 | 2.69 | 40.92 | 1.01 | 0.57 | |
| 700P | 56.84 | 0.95 | 0.00 | 1.13 | 37.65 | 0.95 | 0.50 | |
| 1320–60M | 60.50 | 1.10 | 0.05 | 4.87 | 35.68 | 1.52 | 0.81 | |
| 1650–30M | 70.16 | 0.65 | 0.00 | 4.56 | 26.22 | 0.41 | 0.56 | |
| 1650–60M | 72.40 | 1.00 | 0.00 | 4.49 | 25.52 | 0.95 | 0.91 |
Publisher’s Note: MDPI stays neutral with regard to jurisdictional claims in published maps and institutional affiliations. |
© 2021 by the authors. Licensee MDPI, Basel, Switzerland. This article is an open access article distributed under the terms and conditions of the Creative Commons Attribution (CC BY) license (http://creativecommons.org/licenses/by/4.0/).
Share and Cite
Brickler, C.A.; Wu, Y.; Li, S.; Anandhi, A.; Chen, G. Comparing Physicochemical Properties and Sorption Behaviors of Pyrolysis-Derived and Microwave-Mediated Biochar. Sustainability 2021, 13, 2359. https://doi.org/10.3390/su13042359
Brickler CA, Wu Y, Li S, Anandhi A, Chen G. Comparing Physicochemical Properties and Sorption Behaviors of Pyrolysis-Derived and Microwave-Mediated Biochar. Sustainability. 2021; 13(4):2359. https://doi.org/10.3390/su13042359
Chicago/Turabian StyleBrickler, Colten A., Yudi Wu, Simeng Li, Aavudai Anandhi, and Gang Chen. 2021. "Comparing Physicochemical Properties and Sorption Behaviors of Pyrolysis-Derived and Microwave-Mediated Biochar" Sustainability 13, no. 4: 2359. https://doi.org/10.3390/su13042359
APA StyleBrickler, C. A., Wu, Y., Li, S., Anandhi, A., & Chen, G. (2021). Comparing Physicochemical Properties and Sorption Behaviors of Pyrolysis-Derived and Microwave-Mediated Biochar. Sustainability, 13(4), 2359. https://doi.org/10.3390/su13042359

