Small Renewable Energy Community: The Role of Energy and Environmental Indicators for Power Grid
Abstract
1. Introduction
2. Materials and Methods
2.1. The Renewable Energy Community: Buildings and Users’ Characterization
2.2. Energy Conversion Systems and Components Configuration
- Office#1: a reversible air to water heat pump (EHPOffice#1) installed outdoors meets the space heating and cooling load of Office#1. It has a rated thermal and cooling capacity of 14.1 kWTh and 13.3 kWCo, respectively, while the Coefficient of Performance (COP) amounts to 3.19 and the Energy Efficiency Ratio (EER) is equal to 3.32 (Table 2 [38]). A PV field with a peak power of 9 kWEl is installed on the roof. The panels are arranged in 3 arrays with 12 units facing south with a tilt angle equal to 30°. The main characteristics of PV panels are reported in Table 3 [39], while the features of the Inverter (INV) are listed in Table 4 [40].
- Office#2: EHPOfffice#2 has the same characteristics as EHPOfffice#1 reported in Table 2. The PV field installed on Office#2’s roof has a peak power of 14.25 kWEl. It is composed of 3 strings of 19 units and faces south with a tilt angle of 30°. The PV field occupies all the available roof area. The PV panels and inverter features (INVOffice#2) are equal to those of Office#1’s PV field, and they are listed in Table 3 and Table 4, respectively. At Office#2, an EV charging station with a capacity of 3.3 kWEl and an efficiency of 0.860 is installed. The efficiency of charging systems is defined as the ratio between Direct Current (DC) power used by EV and Alternating Current (AC) or DC power required by the charging station. It is able to provide constant charging to a selected EV with a nominal electric storage of 30 kWh [41], a specific consumption of 0.173 kWh/km in Direct Current [42], and a daily distance covered of 120 km. The electric energy required to charge an EV, ensuring a daily distance of 120 km, is equal to 24.41 kWh, while 7.31 h are needed to reach the full charge. The annual electricity requested by an EV amounts to 6.84 MWh/y.
2.3. Model Description
2.4. Methods
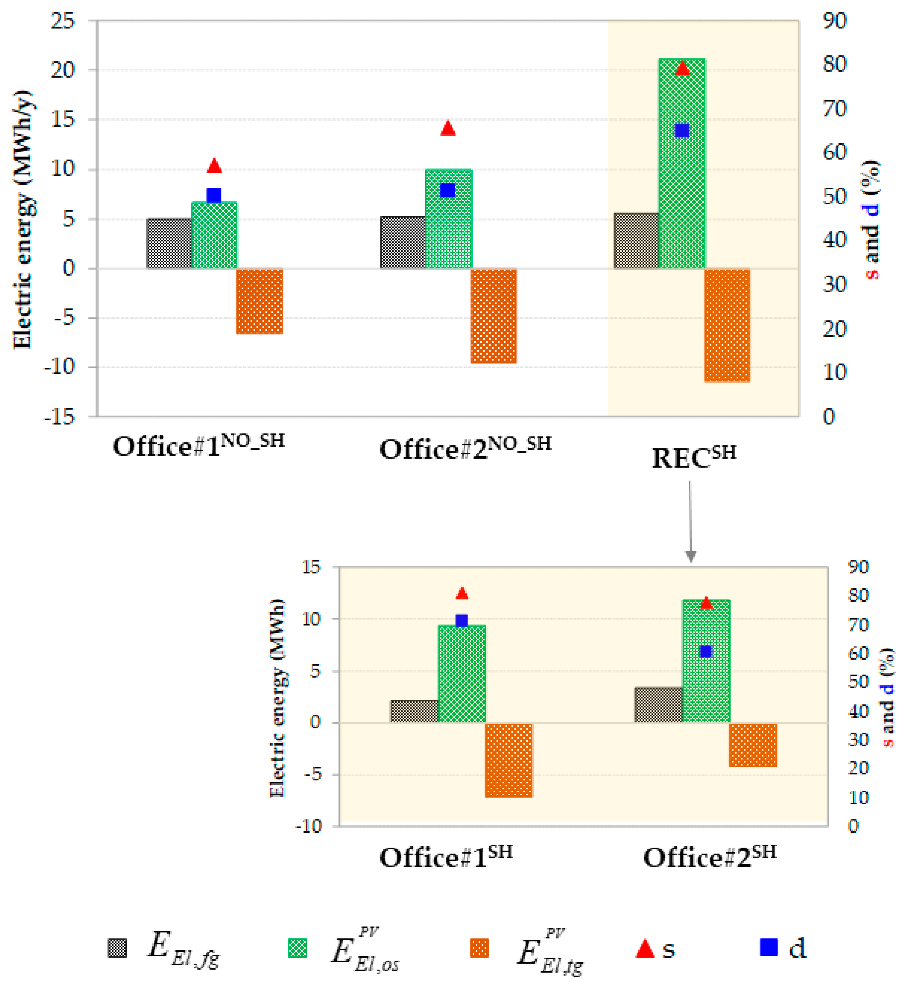
- NO_SH (NO SHaring): in this case, all the energy and environmental indices are referred to the condition in which the offices cannot share the photovoltaic electricity with each other. More precisely, the photovoltaic electricity produced by the PVOffice#1 plant can only be used to meet the electricity load of Office#1, and the same goes for Office#2. In this case, the energy and environmental analysis will be referred to as the control volume violet (for Office#1) and green (for Office#2), depicted in Figure 3.
- SH: in this case, the sharing of PV electricity between two offices is allowed, thus the energy and environmental indices are evaluated by considering the REC as a single entity that interacts bidirectionally with PG (see dashed control volume in Figure 3). In addition, in this case the individual behaviour of the Office#1 and Office#2 joined REC will be determined, too.
- Scenario_AI (Average Indicators): the average annual values for efficiency and environmental indicators of Italian Powee Plant (PP) have been adopted in the calculation. In particular, both and are considered constant all year long and they are equal to 0.655 and 360 gCO2/kWhEl [42]. These indicators are referred to the whole Italian electricity production from fossil fuels and RESs.
- Scenario_HI (Hourly Indicators): Italian efficiency and environmental indicators (, ) for Italian PP vary hour by hour on the basis of the actual electricity-production mix referred to in 2017. These indices have been evaluated by the authors in a previous work [33].
3. Results and Discussion
- Community: it is clear from the previous results that the share of electricity within the community leads to a better photovoltaic electricity exploitation, reducing the amount of electricity exported to the power grid. This fact brings advantages both to the community and to the power grid. Indeed, the community’s electricity bill reduces and the quality of electricity distribution through the power grid can be improved by reducing losses and by postponing network investments.
- Regulatory: the recent Clean Energy Package pushes for the diffusion of RECs as it sets the foundation for energy communities under the EU legislative framework. However, the full transposition of the European Clean Energy Package regulations into national laws will be critical from different points of view. First of all, it is necessary to develop a business model which is able to support the diffusion of RECs in the longer term. Nowadays, the quick development of community-based projects can be largely imputable to policy support schemes supporting investments on RES-based technologies, as it has already occurred in the past for all the innovative solutions. The results of this study suggest that business models as well as the evaluation of environmental and energy benefits achieved thanks to RECs cannot be based on static indicators, since the real nature of RESs is variable and intermittent. Thus, it is necessary to study remuneration and efficiency evaluation mechanisms that respond to real cost-efficiency and sustainability signals of RECs that cannot, regardless of the variability of parameters (, α) used to calculate them.
- Future works: regarding this study, it could be interesting to evaluate the results in the cases in which a battery storage is added to the REC layout or the EV is used as “vehicle to building technology” in order to use the EV battery as storage for office buildings. In addition, as soon as the EU package is fully transposed in Italian laws and the economic framework is delineated, the investigation could be extended with an economic analysis. Moreover, it will be possible to extend the REC, including other type-users (residential users, hospitals, schools, hotels, etc.).
4. Conclusions
Author Contributions
Funding
Institutional Review Board Statement
Informed Consent Statement
Data Availability Statement
Conflicts of Interest
Nomenclature
| COP | Coefficient Of Performance (-) |
| CO2 | Carbon dioxide emissions (kgCO2) |
| d | Ratio between the photovoltaic electricity consumed on-site and the total photovoltaic electricity available (%) |
| E | Electricity (kWh) |
| EER | Energy Efficiency Ratio (-) |
| PE | Primary Energy (kWh) |
| s | Ratio between the photovoltaic electricity consumed on-site and the total electricity request (%) |
| Greek Symbol | |
| α | Carbon dioxide emission factor for electricity (gCO2/kWhEl) |
| η | Efficiency (-) |
| Subscripts | |
| Co | Cooling |
| El | Electric |
| fg | From Grid |
| os | On-site |
| tg | To Grid |
| Th | Thermal |
| Superscripts and Acronyms | |
| AC | Alternating Current |
| DC | Direct Current |
| EHP | Electric Heat Pump |
| EU | European Union |
| EV | Electric Vehicle |
| HVAC | Heating, Ventilation and Air Conditioning |
| IEMD | Internal Electricity Market Directive |
| INV | Inverter |
| NO_SH | Referred to as the NO_SH case, in which photovoltaic electricity sharing is not allowed within the community |
| PG | Power Grid |
| PP | Power Plant |
| PV | Photovoltaic |
| RED II | Recast of Renewable Energy Directive |
| REC | Renewable Energy Community |
| RES | Renewable Energy Source |
| Scenario_AI | Referred to as the scenario in which average Italian values for efficiency and environmental indicators for PP are used. |
| Scenario_HI | Referred to as the scenario in which hourly varying efficiency and environmental indicators for PP and referring to Italy are used. |
| SH | Referred to as the SH case, in which photovoltaic electricity sharing is allowed within the community |
| US | User |
References
- European Commission’s Communication ’Energy Roadmap 2050’ (COM (2011) Final of 15 December 2011. Available online: https://eur-lex.europa.eu/LexUriServ/LexUriServ.do?uri=COM:2011:0885:FIN:EN:PDF (accessed on 11 January 2021).
- European Commission’s Communication ’A Policy Framework for Climate and Energy in the Period from 2020 to 2030’ (COM (2014) Final of 22 January 2014. Available online: https://eur-lex.europa.eu/legal-content/EN/ALL/?uri=celex%3A52014DC0015 (accessed on 11 January 2021).
- European Commission Clean Energy for All Europeans Package. Available online: https://ec.europa.eu/energy/topics/energy-strategy/clean-energy-all-europeans_en (accessed on 11 January 2021).
- Directive (EU) 2018/2001 of the European Parliament and of the Council of 11 December 2018 on the Promotion of the Use of Energy from Renewable Sources (Recast). 2018. Available online: https://eur-lex.europa.eu/legal-content/EN/TXT/?uri=uriserv:OJ.L_.2018.328.01.0082.01.ENG (accessed on 11 January 2021).
- Directive (EU) 2019/944 of the European Parliament and of the Council of 5 June 2019 on Common Rules for the Internal Market for Electricity and Amending Directive 2012/27/EU (Recast). 2019. Available online: https://eur-lex.europa.eu/legal-content/EN/TXT/?uri=CELEX%3A32019L0944 (accessed on 16 February 2021).
- Lowitzsch, J.; Hoicka, C.E.; van Tulder, F.J. Renewable energy communities under the 2019 European Clean Energy Package—Governance model for the energy clusters of the future? Renew. Sustain. Energy Rev. 2020, 122, 109489. [Google Scholar] [CrossRef]
- Wuebben, D.; Luis, J.R.; Gertrudix, M. Citizen Science and Citizen Energy Communities: A Systematic Review and Potential Alliances for SDGs. Sustainability 2020, 12, 10096. [Google Scholar] [CrossRef]
- IRENA. International Renewable Energy Countries. Global Energy Transformation- A roadmap to 2050. Available online: https://www.irena.org/-/media/Files/IRENA/Agency/Publication/2018/Apr/IRENA_Report_GET_2018.pdf (accessed on 12 January 2021).
- Fina, B.; Hans, A.; Werner, F. Profitability of PV sharing in energy communities: Use cases for different settlement patterns. Energy 2019, 189, 116–148. [Google Scholar] [CrossRef]
- Syed, M.M.; Morrison, G.M.; Darbyshir, J. Shared Solar and Battery Storage Configuration Effectiveness for Reducing the Grid Reliance of Apartment Complexes. Energies 2020, 13, 4820. [Google Scholar] [CrossRef]
- Fichera, A.; Marrasso, E.; Sasso, M.; Volpe, R. Energy, Environmental and Economic Performance of an Urban Community Hybrid Distributed Energy System. Energies 2020, 13, 2545. [Google Scholar] [CrossRef]
- Rezk, H.; Kanagaraj, N.; Al-Dhaifallah, M. Design and Sensitivity Analysis of Hybrid Photovoltaic-Fuel-Cell-Battery System to Supply a Small Community at Saudi NEOM City. Sustainability 2020, 18, 3341. [Google Scholar] [CrossRef]
- Huang, P.; Wu, H.; Huang, G.; Sun, Y. A top-down control method of nZEBs for performance optimization at nZEB-cluster-level. Energy 2018, 159, 891–904. [Google Scholar] [CrossRef]
- Mandelli, S.; Brivio, C.; Colombo, E.; Merlo, M. A sizing methodology based on Levelized Cost of Supplied and Lost Energy for off-grid rural electrification systems. Renew. Energy 2016, 89, 475–488. [Google Scholar] [CrossRef]
- Okoye, C.O.; Oranekwu-Okoye, B.C. Economic feasibility of solar PV system for rural electrification in Sub-Sahara Africa. Renew. Sustain. Energy Rev. 2018, 82, 2537–2547. [Google Scholar] [CrossRef]
- Fikari, S.G.; Sigarchian, S.G.; Chamorro, H.R. Modeling and simulation of an autonomous hybrid power system. In Proceedings of the 52nd International Universities Power Engineering Conference (UPEC), Crete, Greece, 29 August–1 September 2017. [Google Scholar]
- Vives, M.V.; Chamorro, H.R.; Ortiz-Villalba, D.; Jimenez, F.; Gonzalez-Longatt, F.M.; Jimenez-Estevez, G.; Guerrero, J.; Cadena, A.; Sood, V.K. Nanogrids: Good Practices and Challenges in the Projects in Colombia. Available online: https://digital-library.theiet.org/content/books/10.1049/pbpo160e_ch16 (accessed on 16 February 2021).
- Longo, M.; Yaïci, W.; Zaninelli, D. “Team Play” between Renewable Energy Sources and Vehicle Fleet to Decrease Air Pollution. Sustainability 2016, 8, 27. [Google Scholar] [CrossRef]
- Dai, Q.; Liu, J.; Wei, Q. Optimal Photovoltaic/Battery Energy Storage/Electric Vehicle Charging Station Design Based on Multi-Agent Particle Swarm Optimization Algorithm. Sustainability 2019, 11, 1973. [Google Scholar] [CrossRef]
- Munkhammar, J.; Grahn, P.; Widén, J. Quantifying self-consumption of on-site photovoltaic power generation in households with electric vehicle home charging. Sol. Energy 2013, 97, 208–216. [Google Scholar] [CrossRef]
- Bartolini, A.; Comodi, G.; Salvi, D.; Østergaard, P.A. Renewables self-consumption potential in districts with high penetration of electric vehicles. Energy 2020, 213, 118653. [Google Scholar] [CrossRef]
- Sehar, F.; Pipattanasomporn, M.; Rahman, S. Demand management to mitigate impacts of plug-in electric vehicle fast charge in buildings with renewables. Energy 2017, 120, 642–651. [Google Scholar] [CrossRef]
- Liu, N.; Chen, Q.; Liu, J.; Lu, X.; Li, P.; Lei, J.; Zhang, J.A. Heuristic Operation Strategy for Commercial Building Microgrids Containing EVs and PV System. IEEE Trans. Ind. Electron. 2015, 62, 2560–2570. [Google Scholar] [CrossRef]
- Longo, M.; Foiadelli, F.; Yaici, W. Simulation and optimisation study of the integration of distributed generation and electric vehicles in smart residential district. Int. J. Energy Environ. Eng. 2019, 10, 271–285. [Google Scholar] [CrossRef]
- Gudmunds, D.; Nyholm, E.; Taljegard, M.; Odenberger, M. Self-consumption and self-sufficiency for household solar producers when introducing an electric vehicle. Renew. Energy 2020, 148, 1200–1215. [Google Scholar] [CrossRef]
- Sayegh, M.A.; Danielewicz, J.; Nannou, T.; Miniewicz, M.; Jadwiszczak, P.; Piekarska, K.; Jouhara, H. Trends of European research and development in district heating technologies. Renew. Sustain. Energy Rev. 2017, 68, 1183–1192. [Google Scholar] [CrossRef]
- Rosato, A.; Ciervo, A.; Ciampi, G.; Scorpio, M.; Sibilio, S. Impact of seasonal thermal energy storage design on the dynamic performance of a solar heating system serving a small-scale Italian district composed of residential and school buildings. J. Energy Storage 2019, 45, 100889. [Google Scholar] [CrossRef]
- Rosato, A.; Ciervo, A.; Ciampi, G.; Sibilio, S. Effects of solar field design on the energy, environmental and economic performance of a solar district heating network serving Italian residential and school buildings. Rene. Energy 2019, 143, 596–610. [Google Scholar] [CrossRef]
- Rad, F.M.; Fung, A.S. Solar community heating and cooling system with borehole thermal energy storage–Review of systems. Renew. Sustain. Energy Rev. 2016, 60, 1550–1561. [Google Scholar] [CrossRef]
- Rosato, A.; Ciervo, A.; Ciampi, G.; Scorpio, M.; Sibilio, S. Integration of Micro-Cogeneration Units and Electric Storages into a Micro-Scale Residential Solar District Heating System Operating with a Seasonal Thermal Storage. Energies 2020, 13, 5456. [Google Scholar] [CrossRef]
- Quddus, M.A.; Shahvari, O.; Marufuzzaman, M.; Usher, J.M.; Jaradat, R. A collaborative energy sharing optimization model among electric vehicle charging stations, commercial buildings, and power grid. Appl. Energy 2018, 229, 841–857. [Google Scholar] [CrossRef]
- TRNSYS 17. A TRaNsient SYstem Simulation Program; Solar Energy Laboratory, University of Wisconsin-Madison: Madison, WI, USA, 2010. [Google Scholar]
- Marrasso, E.; Roselli, C.; Sasso, M. Electric efficiency indicators and carbon dioxide emission factors for power generation by fossil and renewable energy sources on hourly basis. Energy Convers. Manag. 2019, 196, 1369–1384. [Google Scholar] [CrossRef]
- Marrasso, E.; Roselli, C.; Sasso, M.; Tariello, F. Global and local environmental and energy advantages of a geothermal heat pump interacting with a low temperature thermal micro grid. Energy Convers. Manag. 2018, 172, 540–553. [Google Scholar] [CrossRef]
- Menezes, A.C.; Cripps, A.; Buswell, R.A.; Wright, J.; Bouchlaghem, D. Estimating the energy consumption and power demand of small power equipment in office buildings. Energy Build. 2014, 75, 199–209. [Google Scholar] [CrossRef]
- UNI TS 11300-2. Energy Performance of Buildings. In Part 2: Evaluation of Primary Energy Need and System Efficiencies for Space Heating and Domestic Hot Water Production; UNI, Ente Nazionale di Unificazione: Milan, Italy, 2008. (In Italian)
- Decree of President of Italian Republic, D.P.R. n. 412, 26 August 1993. In Regulation for the Design, Installation, Operation and Maintenance of Heating System in Building for the Purpose of Reducing Consumption Energy; Italian Government: Italy, 1993. (In Italian)
- Aermec. Datasheet ANL 050 H. Available online: https://global.aermec.com/en/ (accessed on 19 January 2021).
- Conergy. Technical Datasheet PowerPlus 250P. Available online: https://www.energyplan.it/documenti/Conergy-Power-Plus-230P-250P.pdf (accessed on 19 January 2021).
- ABB. Datasheet Solar Inverter. Available online: https://library.e.abb.com/public/f3d233db0c1dced0c1257e1900268eab/TRIO-20.0-27.6-TL-OUTD-Product%20manual%20IT-RevE(M000001EI).pdf (accessed on 19 January 2021).
- Nissan. Leaf Acenta. 2016. Available online: https://www.nissan.it/veicoli/veicoli-nuovi/leaf.html (accessed on 19 January 2021). (In Italian).
- Roselli, C.; Sasso, M. Integration between electric vehicle charging and PV system to increase self-consumption of an office application. Energy Convers. Manag. 2016, 130, 130–140. [Google Scholar] [CrossRef]
- Technical Data-Sheet Aermec Fan Coil FCX. Available online: https://global.aermec.com/website-20160920/wp-content/uploads/Aermec_FCX_depliantIT_rev01.pdf (accessed on 19 January 2021). (In Italian).
- TESS. Component Libraries v.17.01 for TRNSYS v17.0 and the TRNSYS Simulation Studio. In Parameter/Input/Output Reference Manual, Thermal Energy System Specialists; LLC: Madison, WI, USA, 2004. [Google Scholar]
- Calise, F.; Cappiello, F.L.; Dentice d’Accadia, M.; Vicidomini, M. Energy efficiency in small districts: Dynamic simulation and technoeconomic analysis. Energy Convers. Manag. 2020, 220, 113022. [Google Scholar] [CrossRef]
- Marrasso, E.; Roselli, C.; Sasso, M.; Tariello, F. Comparison of centralized and decentralized air-conditioning systems for a multi-storey/multi users building integrated with electric and diesel vehicles and considering the evolution of the national energy system. Energy 2019, 177, 319–333. [Google Scholar] [CrossRef]
- Aoul, K.A.T.; Hasan, A.; Al Dakheel, J. Assessment of Solar Dehumidification Systems in a Hot Climate. Sustainability 2021, 13, 277. [Google Scholar] [CrossRef]
- Duffie, J.A.; William, A.B. Solar Engineering of Thermal Processes, 4th ed.; John Wiley & Sons, Inc.: New York, NY, USA, 1991. [Google Scholar]
- Entchev, E.; Tzscheutschler, P.; Darkovic, K.; Sasso, M.; Hawkes, A.; Akisawa, A.; Roselli, C. Integration of Microgeneration and Related Technologies in Building, Final Report of Annex 54. International Energy Agency, 2014. Available online: www.iea-ebc.org/fileadmin/user_upload/docs/Annex/EBC_Annex_54_Micro-Generation_Integration_Final_Report.pdf (accessed on 20 January 2021).
- TRNSYS 17 Mathematical Reference. Available online: http://web.mit.edu/parmstr/Public/TRNSYS/04-MathematicalReference.pdf (accessed on 20 January 2021).










| Building Element | Transmittance [W/m2K] | Thermal Mass [kg/m2] | g-Value [-] | |||
|---|---|---|---|---|---|---|
| Office#1 | Office#2 | Office#1 | Office#2 | Office#1 | Office#2 | |
| External walls | 0.39 | 0.40 | 373 | 374 | - | - |
| Roof | 0.37 | 0.38 | 334 | 322 | - | - |
| Ground floor | 0.42 | 0.42 | 689 | 389 | - | - |
| Window | 2.71 | 2.58 | - | 0.76 | 0.75 | |
| EHPOffice#1 and EHPOffice#2 | ||
|---|---|---|
| Heating period | Heating power (kW) | 14.4 |
| Electric power input (kW) | 4.42 | |
| COP (-) | 3.12 | |
| Cooling period | Cooling power (kW) | 13.3 |
| Electric power input (kW) | 4.12 | |
| EER (-) | 3.32 |
| Parameter | Value |
|---|---|
| Peak power (kW) | 0.250 |
| Solar panel efficiency (%) | 15.28 |
| Rated working voltage (V) | 30.38 |
| Rated working current (A) | 8.29 |
| Open circuit voltage (V) | 37.1 |
| Short circuit current (A) | 8.76 |
| Maximum power temperature factor (%/K) | −0.42 |
| Temperature coefficient of voltage (%/K) | −0.32 |
| Temperature coefficient of current (%/K) | 0.059 |
| Gross area (m2) | 1.64 |
| Parameter | Value |
|---|---|
| Rated DC input power (kW) | 22.75 |
| Rated AC power (kW) | 22.0 |
| Maximum efficiency (%) | 98.2 |
| Heating Mode * | Cooling Mode ** | |
|---|---|---|
| Capacity [kW] | 1.51 | 1.22 |
| Electric power fan [W] | 22 | 22 |
| Water flow rate [l/h] | 210 | 210 |
| Air flow rate [m3/h] | 220 | 220 |
Publisher’s Note: MDPI stays neutral with regard to jurisdictional claims in published maps and institutional affiliations. |
© 2021 by the authors. Licensee MDPI, Basel, Switzerland. This article is an open access article distributed under the terms and conditions of the Creative Commons Attribution (CC BY) license (http://creativecommons.org/licenses/by/4.0/).
Share and Cite
Ceglia, F.; Marrasso, E.; Roselli, C.; Sasso, M. Small Renewable Energy Community: The Role of Energy and Environmental Indicators for Power Grid. Sustainability 2021, 13, 2137. https://doi.org/10.3390/su13042137
Ceglia F, Marrasso E, Roselli C, Sasso M. Small Renewable Energy Community: The Role of Energy and Environmental Indicators for Power Grid. Sustainability. 2021; 13(4):2137. https://doi.org/10.3390/su13042137
Chicago/Turabian StyleCeglia, Francesca, Elisa Marrasso, Carlo Roselli, and Maurizio Sasso. 2021. "Small Renewable Energy Community: The Role of Energy and Environmental Indicators for Power Grid" Sustainability 13, no. 4: 2137. https://doi.org/10.3390/su13042137
APA StyleCeglia, F., Marrasso, E., Roselli, C., & Sasso, M. (2021). Small Renewable Energy Community: The Role of Energy and Environmental Indicators for Power Grid. Sustainability, 13(4), 2137. https://doi.org/10.3390/su13042137

