Optimization of Shore Power Deployment in Green Ports Considering Government Subsidies
Abstract
1. Introduction
2. Model Construction
2.1. Problem Description and Assumptions
- (1)
- Minimize operating costs: operating costs including shore power construction costs, energy consumption costs for ships’ stays in ports, electricity costs for ships’ stays in ports, and government subsidies;
- (2)
- Minimize the environmental impact: minimization of CO2 emissions during ships’ stays in ports in the decision planning period.
- (1)
- The port shore power construction is completed in the first phase of the decision-making plan.
- (2)
- Considering the influence of ship route planning, ship schedule delays, and other factors, the number of ships of a shipping company calling at a specific port in a single decision planning period is uniformly distributed on , namely,.
- (3)
- Considering the influence of factors such as differences in container loading and unloading operations, the time of a ship calling at a specific port in a single decision planning period is uniformly distributed on , namely,.
- (4)
- Assume that all ships at the port are of the same size and ignore the influence of ship inconsistency on the model decision.
2.2. Model Parameters and Decision Variable Settings
2.2.1. Notation
- the port, represents the set of all ports.
- the shore power level, represents the set of all shore power facility levels.
- the energy level, represents the set of all energy levels.
- the operating period, represents the set of all operating periods.
2.2.2. Parameter
- the construction cost of type shore power system.
- the cost of energy consumption per unit time when the ships use type energy.
- the cost of electricity consumption per unit time for ships of type shore power system to stay in port.
- the number of ships which visit port in period .
- the pollutant emissions (Kg) per unit period when ships use type energy.
- the average stay time (h) of the ships on each berthing at the port in the decision period .
- the number of berths in port .
- government subsidy (penalty) rate.
- demarcation limit of government subsidies for port shore power construction.
- demarcation limit of government subsidies for port shore power emission reduction.
- a large enough positive number.
2.2.3. Decision Variables
- The Boolean variable. If the port is carrying out the construction of the type shore power system, the value is 1. Otherwise, the value is 0.
- The port carries out the type shore power transformation construction scale for its berths, .
- In the decision period , port receives the number of ships that use type energy.
2.2.4. Objective Function
- Objective 1-cost objective function:
- Construction cost of shore power equipment
- Energy consumption cost for ships’ stay in port
- Electricity cost for ships’ stay in port
- Shore power construction subsidies
- Electricity subsidies for ships
- Objective 2-environment objective function:
- Total CO2 emission
2.3. Government Subsidy Function
2.4. Mathematical Model
3. Epsilon Constraint Solving Method
- (1)
- Selecting an objective function from multiple objective functions and listing it as the modified model’s single objective function based on the importance of the objective function and decision preference.
- (2)
- Constructing the Epsilon constraint problem by setting up the Epsilon constraint factor to transform the rest of the objective function into constraint conditions.
- (3)
- Solving the Epsilon constraint problem by gradually adjusting the value of the Epsilon constraint factor. In this research, the Epsilon constraint method is applied to solve the constructed dual-objective model, obtain the Pareto frontier, and analyze cost objective control and environmental objective control.
| Algorithm 1 the Epsilon constraint method’s solving process |
![]() |
4. Numerical Experiment
4.1. Experiment Preparation
4.2. Result Analysis
4.2.1. Comparison of Government Subsidy Strategies
4.2.2. Comparison of Optimal Decision-Making Solutions and Sub-Objective Change
4.2.3. Analysis of the Efficiency of Environmental Improvement by Different Strategies of Government Subsidies
4.2.4. Comparison of Changes during the Decision-Making and Planning Period
5. Discussion
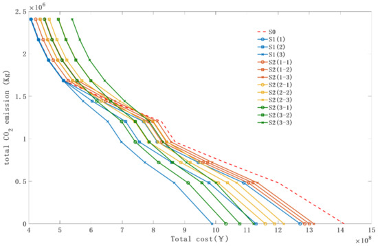
- (1)
- From the perspective of ports and shipping companies, in the context of low environmental constraints (Epsilon constraint factor to ), the S0 strategy (no subsidies and no penalties) is an ideal solution for green port deployment. On the whole (Epsilon constraint factor to ), the S1(3) strategy that only subsidizes without penalty is an ideal solution.
- (2)
- When the environmental constraints are strong (Epsilon constraint factor to ), the cost of electricity used by ships is the main cost factor. When the environmental constraints are low (Epsilon constraint factor to ), the energy consumption cost of ships’ stays in port is the main cost factor. The results suggest that decision-makers need to select critical parameters for cost control under different environmental constraints.
- (3)
- When the environmental constraints are strong (that is, the Epsilon constraint factor is small), the port system’s CO2 emissions level is low, and the port shore power construction, ship shore power use, and ship energy use all exist. From the perspective of increasing the proportion of shore power construction and improving the port’s environmental level, it is reasonable to place environmental constraints in the range of 0.1–0.6 to participate in port shore power deployment.
- (4)
- The efficiency analysis of environmental improvement through different government subsidy strategies can help the government choose appropriate government subsidy strategies based on environmental constraints. The results show that when the environmental constraints are strong (that is, the Epsilon constraint factor is small), the S2(1-3) strategy is effective. When the environmental constraints are small (that is, the Epsilon constraint factor is large), the S1 strategy is effective.
- (5)
- The changes in the decision-making and planning period mainly affect the energy consumption cost of ships’ stays in port and the cost of electricity for ships’ stays in port. It is necessary to strengthen the cost control of both.
Author Contributions
Funding
Institutional Review Board Statement
Informed Consent Statement
Data Availability Statement
Conflicts of Interest
References
- Arvis, J.F.; Ojala, L.; Wiederer, C.; Shepherd, B.; Raj, A.; Dairabayeva, K.; Kiiski, T. Connecting to Compete 2018: Trade Logistics in the Global Economy; World Bank: Washington, DC, USA, 2018. [Google Scholar]
- Qu, X.; Meng, Q. The economic importance of the Straits of Malacca and Singapore: An extreme-scenario analysis. Transp. Res. Part E Logist. Transp. Rev. 2012, 48, 258–265. [Google Scholar] [CrossRef]
- Zhen, L.; Hu, Z.; Yan, R.; Zhuge, D.; Wang, S. Route and speed optimization for liner ships under emission control policies. Transp. Res. Part C Emerg. Technol. 2020, 110, 330–345. [Google Scholar] [CrossRef]
- IMO. Third IMO GHG Study 2014; International Maritime Organization (IMO): London, UK, 2014. [Google Scholar]
- Zhen, L.; Zhuge, D.; Murong, L.; Yan, R.; Wang, S. Operation management of green ports and shipping networks: Overview and research opportunities. Front. Eng. Manag. 2019, 6, 152–162. [Google Scholar] [CrossRef]
- Yu, J.; Voß, S.; Tang, G. Strategy development for retrofitting ships for implementing shore side electricity. Transp. Res. Part D Transp. Environ. 2019, 74, 201–213. [Google Scholar] [CrossRef]
- Zis, T.P. Prospects of cold ironing as an emissions reduction option. Transp. Res. Part A Policy Pract. 2019, 119, 82–95. [Google Scholar] [CrossRef]
- Kotrikla, A.M.; Lilas, T.; Nikitakos, N. Abatement of air pollution at an aegean island port utilizing shore side electricity and renewable energy. Mar. Policy 2017, 75, 238–248. [Google Scholar]
- Martínez-Moya, J.; Vazquez-Paja, B.; Maldonado, J.A.G. Energy efficiency and CO2 emissions of port container terminal equipment: Evidence from the Port of Valencia. Energy Policy 2019, 131, 312–319. [Google Scholar] [CrossRef]
- Lam, J.S.L.; Li, K.X. Green port marketing for sustainable growth and development. Transp. Policy 2019, 84, 73–81. [Google Scholar] [CrossRef]
- Aregall, M.G.; Bergqvist, R.; Monios, J. A global review of the hinterland dimension of green port strategies. Transp. Res. Part D Transp. Environ. 2018, 59, 23–34. [Google Scholar]
- Di Vaio, A.; Varriale, L. Management innovation for environmental sustainability in seaports: Managerial accounting instruments and training for competitive green ports beyond the regulations. Sustainability 2018, 10, 783. [Google Scholar] [CrossRef]
- Radwan, M.E.; Chen, J.; Wan, Z.; Zheng, T.; Hua, C.; Huang, X. Critical barriers to the introduction of shore power supply for green port development: Case of Djibouti container terminals. Clean Technol. Environ. Policy 2019, 21, 1293–1306. [Google Scholar]
- Wu, X.; Zhang, L.; Yang, H.C. Integration of eco-centric views of sustainability in port planning. Sustainability 2020, 12, 2971. [Google Scholar] [CrossRef]
- Winkel, R.; Weddige, U.; Johnsen, D.; Hoen, V.; Papaefthimiou, S. Shoreside electricity in Europe: Potential and environmental benefits. Energy Policy 2016, 88, 584–593. [Google Scholar] [CrossRef]
- Vaishnav, P.; Fischbeck, P.S.; Morgan, M.G.; Corbett, J.J. Shore power for vessels calling at US ports: Benefits and costs. Environ. Sci. Technol. 2016, 50, 1102–1110. [Google Scholar] [CrossRef] [PubMed]
- Wang, W.; Huang, L.; Gu, J.; Jiang, L. Green port project scheduling with comprehensive efficiency consideration. Marit. Policy Manag. 2019, 46, 967–981. [Google Scholar] [CrossRef]
- Dai, L.; Hu, H.; Wang, Z.; Shi, Y.; Ding, W. An environmental and techno-economic analysis of shore side electricity. Transp. Res. Part D Transp. Environ. 2019, 75, 223–235. [Google Scholar]
- Wu, L.; Wang, S. The shore power deployment problem for maritime transportation. Transp. Res. Part E: Logist. Transp. Rev. 2020, 135, 101883. [Google Scholar] [CrossRef]
- Tseng, P.H.; Pilcher, N. Evaluating the key factors of green port policies in Taiwan through quantitative and qualitative approaches. Transp. Policy 2019, 82, 127–137. [Google Scholar] [CrossRef]
- Demir, E.; Hrušovský, M.; Jammernegg, W.; Van Woensel, T. Green intermodal freight transportation: Bi-objective modeling and analysis. Int. J. Prod. Res. 2019, 57, 6162–6180. [Google Scholar] [CrossRef]
- Zhen, L.; Huang, L.; Wang, W. Green and sustainable closed-loop supply chain network design under uncertainty. J. Clean. Prod. 2019, 227, 1195–1209. [Google Scholar]
- Wang, Z.; Huang, L.; He, C.X. A multi-objective and multi-period optimization model for urban healthcare wastes reverses logistics network design. J. Comb. Optim. 2019, 1, 1–28. [Google Scholar]
- Huang, L.; Murong, L.; Wang, W. Green closed-loop supply chain network design considering cost control and CO2 emission. Mod. Supply Chain Res. Appl. 2020, 2, 42–59. [Google Scholar] [CrossRef]
- Laumanns, M.; Thiele, L.; Zitzler, E. An efficient, adaptive parameter variation scheme for metaheuristics based on the epsilon-constraint method. Eur. J. Oper. Res. 2006, 169, 932–942. [Google Scholar] [CrossRef]
- Wan, C.; Zhang, D.; Yan, X.; Yang, Z. A novel model for the quantitative evaluation of green port development—A case study of major ports in China. Transp. Res. Part D Transp. Environ. 2018, 61, 431–443. [Google Scholar] [CrossRef]
- Peng, Y.; Li, X.; Wang, W.; Wei, Z.; Bing, X.; Song, X. A method for determining the allocation strategy of on-shore power supply from a green container terminal perspective. Ocean Coast. Manag. 2019, 167, 158–175. [Google Scholar] [CrossRef]
- Belton, V. A comparison of the analytic hierarchy process and a simple multi-attribute value function. Eur. J. Oper. Res. 1986, 26, 7–21. [Google Scholar] [CrossRef]
- Dere, C.; Deniz, C. Load optimization of central cooling system pumps of a container ship for the slow steaming conditions to enhance the energy efficiency. J. Clean. Prod. 2019, 222, 206–217. [Google Scholar] [CrossRef]
- Huang, L.; Zhen, L.; Yin, L. Waste material recycling and exchanging decisions for industrial symbiosis network optimization. J. Clean. Prod. 2020, 276, 124073. [Google Scholar] [CrossRef]



| No. | Parameters | Symbol | Value |
|---|---|---|---|
| 1 | Shore power construction cost (¥) | 8,000,000; 7,500,000; 7,000,000 | |
| 2 | CO2 emissions per unit time during the ship stays in port (Kg) | 20; 25; 30 | |
| 3 | Energy consumption cost per unit time during ship stays in port (¥) | 6500; 5500; 5000 | |
| 4 | Electricity cost per unit time during the ship stays in port (¥) | 4000; 4500; 5000 | |
| 5 | Number of berths in the port, respectively | 8; 9; 11; 10; 9 | |
| 6 | Average time of ship stays in port | [20,30] | |
| 7 | Number of ships visiting the port | [200,300] |
| Strategy | Description |
|---|---|
| S0 | No subsidy and no penalty |
| S1(1) | |
| S1(2) | |
| S1(3) | |
| S2(1-1) | , |
| S2(1-2) | , |
| S2(1-3) | , |
| S2(2-1) | , |
| S2(2-2) | , |
| S2(2-3) | , |
| S2(3-1) | , |
| S2(3-2) | There are subsidies and penalties, and the government unit subsidy (penalty) rate , |
| S2(3-3) | , |
| Decision Results of Port Shore Power Construction | Results of Decision-Making Restrictions on Energy and Number of Ships’ Stays in Ports during Different Decision-Making and Planning Periods | |||
|---|---|---|---|---|
| T1 | T2 | T3 | ||
| 0.1 | (1,3,8) *; (2,3,9); (3,3,11), (4,3,10); (5,3,9) | N/A ** | N/A | N/A |
| 0.3 | (1,3,8); (2,3,9); (5,3,9) | [3,2,1,208] ***; [4,1,1,230] [4,2,1,2] | [3,2,2,208]; [4,1,2,27] [4,2,2,212] | [3,2,3,222]; [4,2,3,215] |
| 0.5 | (1,3,8); (5,3,9) | [2,2,1,219]; [3,2,1,208] [4,2,1,1]; [4,3,1,231] | [2,2,2,225]; [2,3,2,2] [3,2,2,208]; [4,2,2,239] | [2,2,3,201]; [3,2,3,87] [3,3,3,135]; [4,2,3,215] |
| 0.7 | (1,2,1) | [1,2,1,213]; [2,2,1,219] [3,1,1,208]; [4,1,1,232] [5,1,1,228] | [1,1,2,249]; [2,1,2,227] [3,1,2,208]; [4,1,2,239] [5,1,2,246] | [1,1,3,211]; [2,1,3,201] [3,2,3,222]; [4,1,3,178] [4,2,3,37]; [5,1,3,202] |
| 0.9 | (2,2,1) | [1,2,1,213]; [2,3,1,219] [3,2,1,73]; [3,3,1,135] [4,3,1,232]; [5,3,1,228] | [1,3,2,249]; [2,2,2,227] [3,2,2,208]; [4,3,2,239] [5,2,2,246] | [1,2,3,211]; [2,2,3,201] [3,2,3,222]; [4,2,3,215] [5,2,3,202] |
| Strategy | 0.1 | 0.2 | 0.3 | 0.4 | 0.5 | 0.6 | 0.7 | 0.8 | 0.9 | 1 |
|---|---|---|---|---|---|---|---|---|---|---|
| S1(1) | 1.70E-02 | 1.73E-02 | 1.96E-02 | 2.51E-02 | 2.09E-02 | 3.31E-02 | 9.63E-01 | 6.42E-01 | 3.21E-01 | 0 |
| S1(2) | 8.52E-03 | 8.63E-03 | 9.82E-03 | 1.26E-02 | 1.05E-02 | 1.65E-02 | 4.81E-01 | 3.21E-01 | 1.61E-01 | 0 |
| S1(3) | 5.68E-03 | 5.75E-03 | 6.54E-03 | 8.37E-03 | 6.98E-03 | 1.10E-02 | 3.21E-01 | 2.14E-01 | 1.07E-01 | 0 |
| S2(1-1) | 1.90E-02 | 1.99E-02 | 2.37E-02 | 3.39E-02 | 2.82E-02 | 6.74E-02 | −5.13E-02 | −3.42E-02 | −1.71E-02 | 0 |
| S2(1-2) | 2.16E-02 | 2.35E-02 | 3.00E-02 | 5.19E-02 | 4.33E-02 | −1.79E+00 | −2.50E-02 | −1.67E-02 | −8.33E-03 | 0 |
| S2(1-3) | 2.49E-02 | 2.87E-02 | 4.08E-02 | 1.11E-01 | 9.28E-02 | −6.26E-02 | −1.65E-02 | −1.10E-02 | −5.50E-03 | 0 |
| S2(2-1) | 9.52E-03 | 9.95E-03 | 1.19E-02 | 1.69E-02 | 1.41E-02 | 3.37E-02 | −2.56E-02 | −1.71E-02 | −8.55E-03 | 0 |
| S2(2-2) | 1.08E-02 | 1.18E-02 | 1.50E-02 | 2.59E-02 | 2.16E-02 | −8.93E-01 | −1.25E-02 | −8.33E-03 | −4.16E-03 | 0 |
| S2(2-3) | 1.24E-02 | 1.43E-02 | 2.04E-02 | 5.56E-02 | 4.64E-02 | −3.13E-02 | −8.25E-03 | −5.50E-03 | −2.75E-03 | 0 |
| S2(3-1) | 6.35E-03 | 6.63E-03 | 7.91E-03 | 1.13E-02 | 9.41E-03 | 2.25E-02 | −1.71E-02 | −1.14E-02 | −5.70E-03 | 0 |
| S2(3-2) | 7.19E-03 | 7.83E-03 | 1.00E-02 | 1.73E-02 | 1.44E-02 | −5.96E-01 | −8.33E-03 | −5.55E-03 | −2.78E-03 | 0 |
| S2(3-3) | 8.30E-03 | 9.56E-03 | 1.36E-02 | 3.70E-02 | 3.09E-02 | −2.09E-02 | −5.50E-03 | −3.67E-03 | −1.83E-03 | 0 |
| T | ||||||||
|---|---|---|---|---|---|---|---|---|
| 0.1 | 3 | 1033035635 | 329000000 | 0 | 1083199500 | 86700000 | 292463865 | 0 |
| 9 | 2708085935 | 329000000 | 0 | 3476128500 | 86700000 | 1010342565 | 0 | |
| 27 | 7598763335 | 329000000 | 0 | 10462810500 | 86700000 | 3106347165 | 0 | |
| 0.3 | 3 | 817351385 | 182000000 | 171991500 | 676377000 | 42600000 | 170417115 | 722130 |
| 9 | 2249999935 | 182000000 | 619487000 | 2083738500 | 42600000 | 592625565 | 2317415 | |
| 27 | 6428906385 | 182000000 | 1885799500 | 6244587000 | 42600000 | 1840880115 | 6975205 | |
| 0.5 | 3 | 698279785 | 119000000 | 251508500 | 455679000 | 23700000 | 104207715 | 1203555 |
| 9 | 1951469535 | 119000000 | 856003000 | 1382386500 | 23700000 | 382219965 | 3862365 | |
| 27 | 5615654235 | 119000000 | 2564359000 | 4176427500 | 23700000 | 1220432265 | 11625250 | |
| 0.7 | 3 | 555250485 | 7500000 | 505504500 | 0 | −9750000 | −32495985 | 1684920 |
| 9 | 1671939485 | 7500000 | 1622193500 | 0 | −9750000 | −32495985 | 5407310 | |
| 27 | 4879004135 | 56000000 | 3344100000 | 2073154500 | 4800000 | 589450365 | 16275480 | |
| 0.9 | 3 | 475011485 | 7500000 | 425265500 | 0 | −9750000 | −32495985 | 2166305 |
| 9 | 1414454485 | 7500000 | 1364708500 | 0 | −9750000 | −32495985 | 6952195 | |
| 27 | 4157375485 | 7500000 | 4107629500 | 0 | −9750000 | −32495985 | 20925545 |
Publisher’s Note: MDPI stays neutral with regard to jurisdictional claims in published maps and institutional affiliations. |
© 2021 by the authors. Licensee MDPI, Basel, Switzerland. This article is an open access article distributed under the terms and conditions of the Creative Commons Attribution (CC BY) license (http://creativecommons.org/licenses/by/4.0/).
Share and Cite
Lu, H.; Huang, L. Optimization of Shore Power Deployment in Green Ports Considering Government Subsidies. Sustainability 2021, 13, 1640. https://doi.org/10.3390/su13041640
Lu H, Huang L. Optimization of Shore Power Deployment in Green Ports Considering Government Subsidies. Sustainability. 2021; 13(4):1640. https://doi.org/10.3390/su13041640
Chicago/Turabian StyleLu, Hanyu, and Lufei Huang. 2021. "Optimization of Shore Power Deployment in Green Ports Considering Government Subsidies" Sustainability 13, no. 4: 1640. https://doi.org/10.3390/su13041640
APA StyleLu, H., & Huang, L. (2021). Optimization of Shore Power Deployment in Green Ports Considering Government Subsidies. Sustainability, 13(4), 1640. https://doi.org/10.3390/su13041640


