Dynamics of Soil Organic Carbon and Labile Carbon Fractions in Soil Aggregates Affected by Different Tillage Managements
Abstract
1. Introduction
2. Materials and Methods
2.1. Experimental Site and Soil Sampling
2.2. Soil Aggregates Fraction
2.3. SOC and Labile Fractions Analysis
2.4. Statistical Analysis
3. Results
3.1. Soil Aggregate Distribution, MWD, GMD, and Dm
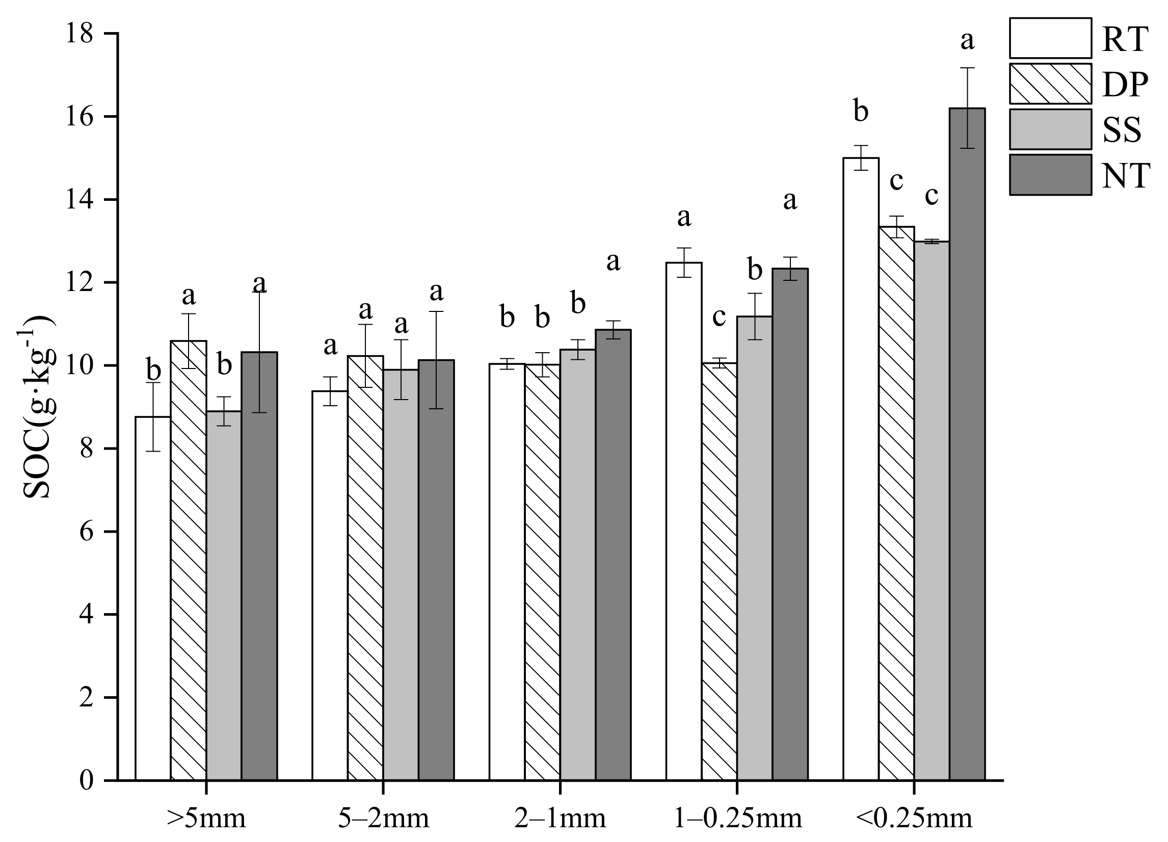
3.2. Soil Organic Carbon Distribution
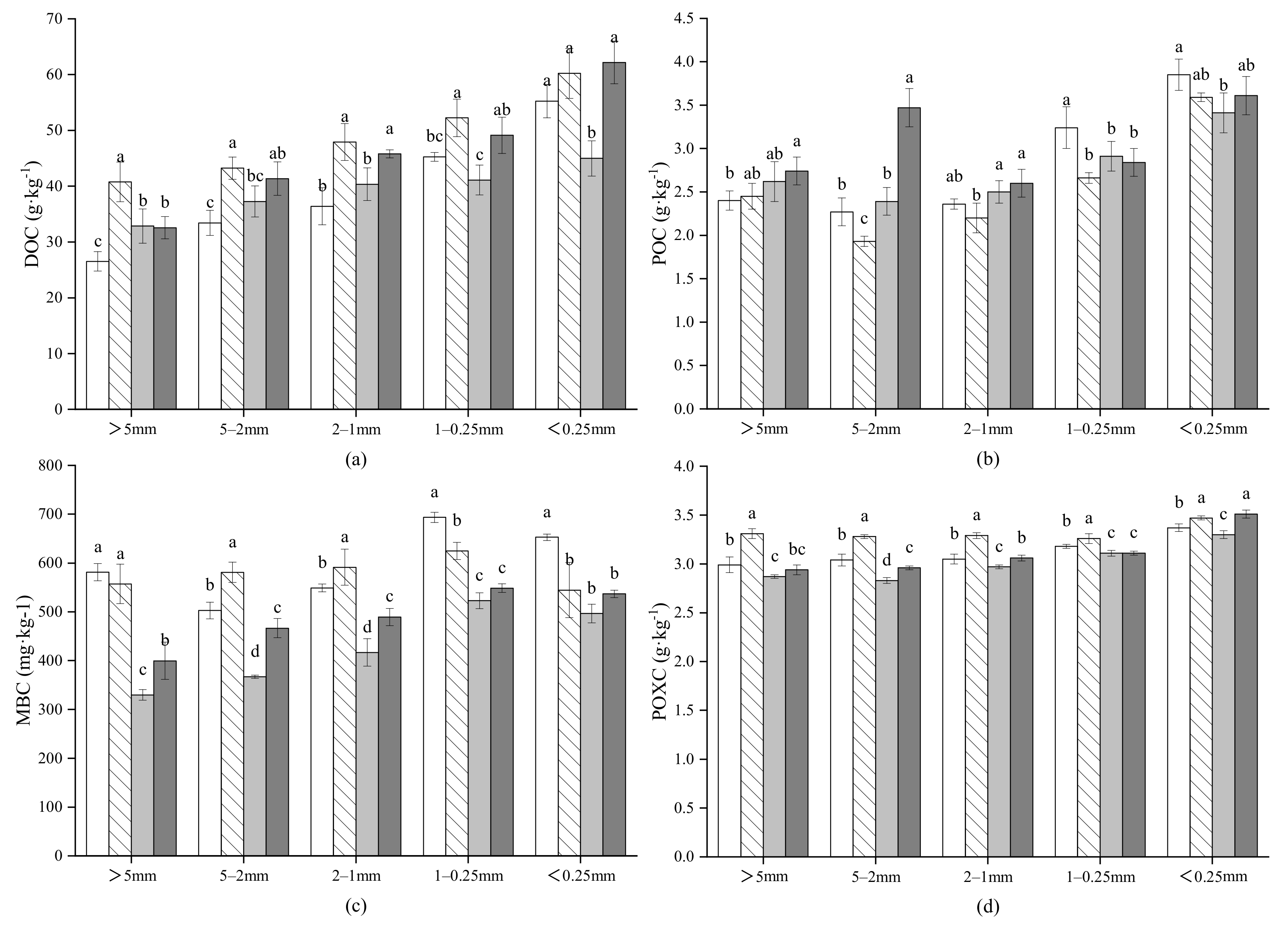
3.3. Labile Organic Carbon Fractions Distribution
3.4. Correlation between Aggregate Stability and Organic Carbon Fractions
4. Discussion
4.1. Effects of Tillage on Soil Aggregate Stability
4.2. Effects of Tillage on Soil Organic Carbon and Labile Carbon Fractions
4.3. Soil Quality Indicators
5. Conclusions
Author Contributions
Funding
Institutional Review Board Statement
Informed Consent Statement
Data Availability Statement
Conflicts of Interest
References
- Benbi, D.K.; Brar, K.; Toor, A.S.; Sharma, S. Sensitivity of Labile Soil Organic Carbon Pools to Long-Term Fertilizer, Straw and Manure Management in Rice-Wheat System. Pedosphere 2015, 25, 534–545. [Google Scholar] [CrossRef]
- Zhang, X.W.; Han, X.Z.; Yu, W.T.; Wang, P.; Cheng, W.X. Priming Effects on Labile and Stable Soil Organic Carbon Decomposition: Pulse Dynamics over Two Years. PLoS ONE 2017, 12, e0184978. [Google Scholar] [CrossRef] [PubMed]
- Bhattacharya, S.S.; Kim, K.H.; Das, S.; Uchimiya, M.; Jeon, B.H.; Kwon, E.; Szulejko, J.E. A Review on the Role of Organic Inputs in Maintaining the Soil Carbon Pool of the Terrestrial Ecosystem. J. Environ. Manag. 2016, 167, 214–227. [Google Scholar] [CrossRef] [PubMed]
- Liu, M.; Yu, W.T.; Jiang, Z.S.; Ma, Q. A Research Review on Soil Active Organic Carbon. Chin. J. Ecol. 2006, 11, 1412–1417. [Google Scholar]
- Jin, X.X.; Gall, A.R.; Saeed, M.F.; Li, S.Y.; Filley, T.; Wang, J.K. Plastic Film Mulching and Nitrogen Fertilization Enhance the Conversion of Newly-Added Maize Straw to Water-Soluble Organic Carbon. Soil Tillage Res. 2020, 197, 104527. [Google Scholar] [CrossRef]
- Bongiorno, G.; Bunemann, E.K.; Oguejiofor, C.U.; Meier, J.; Gort, G.; Comans, R.; Mader, P.; Brussaard, L.; de Goede, R. Sensitivity of Labile Carbon Fractions to Tillage and Organic Matter Management and Their Potential as Comprehensive Soil Quality Indicators across Pedoclimatic Conditions in Europe. Ecol. Indic. 2019, 99, 38–50. [Google Scholar] [CrossRef]
- Culman, S.W.; Snapp, S.S.; Freeman, M.A.; Schipanski, M.E.; Beniston, J.; Lal, R.; Drinkwater, L.E.; Franzluebbers, A.J.; Glover, J.D.; Grandy, A.S.; et al. Permanganate Oxidizable Carbon Reflects a Processed Soil Fraction That Is Sensitive to Management. Soil Sci. Soc. Am. J. 2012, 76, 494–504. [Google Scholar] [CrossRef]
- Nandan, R.; Singh, V.; Singh, S.S.; Kumar, V.; Hazra, K.K.; Nath, C.P.; Poonia, S.; Malik, R.K.; Bhattacharyya, R.; McDonald, A. Impact of Conservation Tillage in Rice-Based Cropping Systems on Soil Aggregation, Carbon Pools and Nutrients. Geoderma 2019, 340, 104–114. [Google Scholar] [CrossRef]
- Okolo, C.C.; Gebresamuel, G.; Zenebe, A.; Haile, M.; Eze, P.N. Accumulation of Organic Carbon in Various Soil Aggregate Sizes under Different Land Use Systems in a Semi-Arid Environment. Agric. Ecosyst. Environ. 2020, 297, 13. [Google Scholar] [CrossRef]
- Guo, L.K.; Shen, J.; Li, B.; Li, Q.Q.; Wang, C.Q.; Guan, Y.; D’Acqui, L.P.; Luo, Y.L.; Tao, Q.; Xu, Q.; et al. Impacts of Agricultural Land Use Change on Soil Aggregate Stability and Physical Protection of Organic C. Sci. Total Environ. 2020, 707, 136049. [Google Scholar] [CrossRef]
- Six, J.; Elliott, E.T.; Paustian, K. Soil Macroaggregate Turnover and Microaggregate Formation: A Mechanism for C Sequestration under No-Tillage Agriculture. Soil Biol. Biochem. 2000, 32, 2099–2103. [Google Scholar] [CrossRef]
- Zhu, C.W.; Long, Q.; Dong, S.G.; Shi, K.; Jiang, G.Y.; Li, X.L.; Zhang, C.Y.; Liu, F.; Shen, F.M.; Liu, S.L. Effects of Rotary and Deep Tillage Modes on Soil Microbial Biomass Carbon and Nitrogen and Enzyme Activities in Fluvo-Aquic Soil under Wheat–Maize Rotation System. J. Plant Nutr. Fertil. 2020, 26, 51–63. [Google Scholar] [CrossRef]
- Kan, Z.R.; Virk, A.L.; He, C.; Liu, Q.Y.; Qi, J.Y.; Dang, Y.P.; Zhao, X.; Zhang, H.L. Characteristics of Carbon Mineralization and Accumulation under Long-Term Conservation Tillage. Catena 2020, 193, 104636. [Google Scholar] [CrossRef]
- Awale, R.; Emeson, M.A.; Machado, S. Soil Organic Carbon Pools as Early Indicators for Soil Organic Matter Stock Changes under Different Tillage Practices in Inland Pacific Northwest. Front. Ecol. Evol. 2017, 5, 96. [Google Scholar] [CrossRef]
- Wang, Y.X.; Chen, S.P.; Zhang, D.X.; Yang, L.; Cui, T.; Jing, H.R.; Li, Y.H. Effects of Subsoiling Depth, Period Interval and Combined Tillage Practice on Soil Properties and Yield in the Huang-Huai-Hai Plain, China. J. Integr. Agric. 2020, 19, 1596–1608. [Google Scholar] [CrossRef]
- Wang, H.B.; Bai, W.B.; Han, W.; Song, J.Q.; Lv, G.H. Effect of Subsoiling on Soil Properties and Winter Wheat Grain Yield. Soil Use Manag. 2019, 35, 643–652. [Google Scholar] [CrossRef]
- Guo, Y.F.; Fan, R.Q.; Zhang, X.P.; Zhang, Y.; Wu, D.H.; McLaughlin, N.; Zhang, S.X.; Chen, X.W.; Jia, S.X.; Liang, A.Z. Tillage-Induced Effects on SOC Through Changes in Aggregate Stability and Soil Pore Structure. Sci. Total Environ. 2020, 703, 134617. [Google Scholar] [CrossRef]
- Lewis, D.B.; Kaye, J.P.; Jabbour, R.; Barbercheck, M.E. Labile Carbon and Other Soil Quality Indicators in Two Tillage Systems during Transition to Organic Agriculture. Renew. Agric. Food Syst. 2011, 26, 342–353. [Google Scholar] [CrossRef]
- Burdukovskii, M.; Kiseleva, I.; Perepelkina, P.; Kosheleva, Y. Impact of Different Fallow Durations on Soil Aggregate Structure and Humus Status Parameters. Soil Water Res. 2020, 15, 1–8. [Google Scholar] [CrossRef]
- Cagna, C.P.; Calabria, Z.K.P.; Guedes, O.; Pacheco, L.P.; da Silva, T.J.A. Structural Properties of Soil in Maize and Forage Grass Intercropping under No-Tillage in the Brazilian Cerrado. Eng. Agric. 2019, 39, 512–517. [Google Scholar] [CrossRef]
- Tagar, A.A.; Adamowski, J.; Memon, M.S.; Do, M.C.; Mashori, A.S.; Soomro, A.S.; Bhayo, W.A. Soil Fragmentation and Aggregate Stability as Affected by Conventional Tillage Implements and Relations with Fractal Dimensions. Soil Tillage Res. 2020, 197, 104494. [Google Scholar] [CrossRef]
- Ye, G.P.; Lin, Y.X.; Liu, D.Y.; Chen, Z.M.; Luo, J.F.; Bolan, N.; Fan, J.B.; Ding, W.X. Long-Term Application of Manure over Plant Residues Mitigates Acidification, Builds Soil Organic Carbon and Shifts Prokaryotic Diversity in Acidic Ultisols. Appl. Soil Ecol. 2019, 133, 24–33. [Google Scholar] [CrossRef]
- Zhang, Q.Y.; Jia, X.X.; Wei, X.R.; Shao, M.G.; Li, T.C.; Yu, Q. Total Soil Organic Carbon Increases but Becomes More Labile after Afforestation in China’s Loess Plateau. For. Ecol. Manag. 2020, 461, 117911. [Google Scholar] [CrossRef]
- Liang, A.Z.; McLaughlin, N.B.; Zhang, X.P.; Shen, Y.; Shi, X.H.; Fan, R.Q. Short-Term Effects of Tillage Practices on Soil Aggregate Fractions in a Chinese Mollisol. Acta Agric. Scand. Sect. B Plant Soil Sci. 2011, 61, 535–542. [Google Scholar] [CrossRef]
- Zolfaghari, A.A.; Taghizadeh-Mehrjardi, R.; Asadzadeh, F.; Hajabbasi, M.A. Soil Structure Changes Due to Different Land-Use Practices in the Central Zagruos Region, Iran. Arch. Agron. Soil Sci. 2016, 62, 163–175. [Google Scholar] [CrossRef]
- Jin, Z.Q.; Shah, T.R.; Zhang, L.; Liu, H.Y.; Peng, S.B.; Nie, L.X. Effect of Straw Returning on Soil Organic Carbon in RICE-Wheat rotation System: A Review. Food Energy Secur. 2020, 9, e200. [Google Scholar] [CrossRef]
- Zhang, S.X.; Li, Q.; Zhang, X.P.; Wei, K.; Chen, L.J.; Liang, W.J. Effects of Conservation Tillage on Soil Aggregation and Aggregate Binding Agents in Black Soil of Northeast China. Soil Tillage Res. 2012, 124, 196–202. [Google Scholar] [CrossRef]
- Six, J.; Paustian, K.; Elliott, E.T.; Combrink, C. Soil Structure and Organic Matter: I. Distribution of Aggregate-Size Classes and Aggregate-Associated Carbon. Soil Sci. Soc. Am. J. 2000, 64, 681–689. [Google Scholar] [CrossRef]
- Modak, K.; Biswas, D.R.; Ghosh, A.; Pramanik, P.; Das, T.K.; Das, S.; Kumar, S.; Krishnan, P.; Bhattacharyya, R. Zero Tillage and Residue Retention Impact on Soil Aggregation and Carbon Stabilization within Aggregates in Subtropical India. Soil Tillage Res. 2020, 202, 104649. [Google Scholar] [CrossRef]
- Bu, R.Y.; Ren, T.; Lei, M.J.; Liu, B.; Li, X.K.; Cong, R.H.; Zhang, Y.Y.; Lu, J.W. Tillage and Straw-Returning Practices Effect on Soil Dissolved Organic Matter, Aggregate Fraction and Bacteria Community under Rice-Rice-Rapeseed Rotation System. Agric. Ecosyst. Environ. 2020, 287, 106681. [Google Scholar] [CrossRef]
- Dong, W.X.; Hu, C.S.; Chen, S.Y.; Zhang, Y.M. Tillage and Residue Management Effects on Soil Carbon and CO2 Emission in a Wheat-Corn Double-Cropping System. Nutr. Cycl. Agroecosyst. 2009, 83, 27–37. [Google Scholar] [CrossRef]
- Xiao, D.; Ye, Y.Y.; Xiao, S.S.; Zhang, W.; He, X.Y.; Liu, N.; Xu, Z.H.; Wang, K.L. Tillage Frequency Affects Microbial Metabolic Activity and Short-Term Changes in CO2 Fluxes within 1 Week in Karst Ecosystems. J. Soils Sediments 2019, 19, 3453–3462. [Google Scholar] [CrossRef]
- Zhong, S.; Zeng, H.C. Influence of Long-Term Tillage and Residue Management on Soil Biota in Tropical Climate. J. Biobased Mater. Bioenergy 2019, 13, 576–584. [Google Scholar] [CrossRef]
- Xue, J.F.; Pu, C.; Zhao, X.; Wei, Y.H.; Zhai, Y.L.; Zhang, X.Q.; Lal, R.; Zhang, H.L. Changes in Soil Organic Carbon Fractions in Response to Different Tillage Practices under a Wheat-Maize Double Cropping System. Land Degrad. Dev. 2018, 29, 1555–1564. [Google Scholar] [CrossRef]
- Guo, Y.F.; Liang, A.Z.; Zhang, Y.; Zhang, S.X.; Chen, X.W.; Jia, S.X.; Zhang, X.P.; Wu, D.H. Evaluating the Contributions of Earthworms to Soil Organic Carbon Decomposition under Different Tillage Practices Combined with Straw Additions. Ecol. Indic. 2019, 105, 516–524. [Google Scholar] [CrossRef]
- Singh, S.; Nouri, A.; Singh, S.; Anapalli, S.; Lee, J.; Arelli, P.; Jagadamma, S. Soil Organic Carbon and Aggregation in Response to Thirty-Nine Years of Tillage Management in the Southeastern US. Soil Tillage Res. 2020, 197, 104523. [Google Scholar] [CrossRef]
- Liu, M.; Han, G.L.; Zhang, Q. Effects of Soil Aggregate Stability on Soil Organic Carbon and Nitrogen under Land Use Change in an Erodible Region in Southwest China. Int. J. Environ. Res. Public Health 2019, 16, 3809. [Google Scholar] [CrossRef]
- Motta, A.C.V.; Reeves, D.W.; Burmester, C.; Feng, Y. Conservation Tillage, Rotations, and Cover Crop Affecting Soil Quality in the Tennessee Valley: Particulate Organic Matter, Organic Matter, and Microbial Biomass. Commun. Soil Sci. Plant Anal. 2007, 38, 2831–2847. [Google Scholar] [CrossRef]
- Guo, L.J.; Zhang, Z.S.; Wang, D.D.; Li, C.F.; Cao, C.G. Effects of Short-Term Conservation Management Practices on Soil Organic Carbon Fractions and Microbial Community Composition under a Rice-Wheat Rotation System. Biol. Fertil. Soils 2015, 51, 65–75. [Google Scholar] [CrossRef]



| Treatment | MWD (mm) | GMD (mm) | Dm |
|---|---|---|---|
| RT | 2.59 ± 0.14b | 1.77 ± 0.18b | 2.15 ± 0.10a |
| DP | 3.07 ± 0.16a | 2.18 ± 0.15a | 2.08 ± 0.01ab |
| SS | 2.60 ± 0.12b | 1.76 ± 0.13b | 2.18 ± 0.06a |
| NT | 2.88 ± 0.06a | 2.14 ± 0.05a | 1.99 ± 0.09b |
| Treatment | SOC (g·kg−1) | DOC (mg·kg−1) | POC (g·kg−1) | MBC (mg·kg−1) | POXC (g·kg−1) |
|---|---|---|---|---|---|
| RT | 10.78 ± 0.61b | 36.99 ± 1.96b | 2.52 ± 0.17b | 575.08 ± 21.74a | 3.11 ± 0.06b |
| DP | 10.36 ± 0.15b | 45.59 ± 0.77a | 2.59 ± 0.08b | 507.75 ± 15.26b | 3.27 ± 0.03a |
| SS | 10.23 ± 0.34b | 39.68 ± 2.07b | 2.65 ± 0.10b | 421.15 ± 11.23c | 2.93 ± 0.01d |
| NT | 11.70 ± 0.16a | 44.36 ± 0.61a | 2.90 ± 0.14a | 500.12 ± 23.06b | 3.03 ± 0.04c |
| Treatment | >5 mm | 5–2 mm | 2–1 mm | 1–0.25 mm | <0.25 mm |
|---|---|---|---|---|---|
| RT | 20.91 ± 2.25b | 23.55 ± 1.82b | 14.38 ± 1.58a | 29.75 ± 2.75a | 8.94 ± 1.03a |
| DP | 41.14 ± 2.79a | 20.01 ± 1.64c | 13.00 ± 1.76a | 19.01 ± 3.52b | 8.20 ± 0.54ab |
| SS | 22.80 ± 0.97b | 24.37 ± 1.52ab | 15.13 ± 1.74a | 27.46 ± 2.14a | 10.89 ± 2.41a |
| NT | 24.89 ± 4.32b | 27.18 ± 1.36a | 14.39 ± 0.38a | 21.14 ± 1.17b | 5.89 ± 0.89b |
| Item | MWD | GMD | Dm | SOC | DOC | POXC | MBC | POC |
|---|---|---|---|---|---|---|---|---|
| GMD | 0.971 ** | 1 | ||||||
| Dm | −0.703 * | −0.843 ** | 1 | |||||
| SOC | 0.284 | 0.490 | −0.832 ** | 1 | ||||
| DOC | 0.925 ** | 0.924 ** | −0.749 ** | 0.331 | 1 | |||
| POXC | 0.324 | 0.506 | −0.771 ** | 0.928 ** | 0.314 | 1 | ||
| MBC | −0.049 | 0.039 | −0.085 | 0.416 | −0.280 | 0.455 | 1 | |
| POC | 0.437 | 0.590 * | −0.774 ** | 0.755 ** | 0.577 * | 0.632 * | 0.138 | 1 |
Publisher’s Note: MDPI stays neutral with regard to jurisdictional claims in published maps and institutional affiliations. |
© 2021 by the authors. Licensee MDPI, Basel, Switzerland. This article is an open access article distributed under the terms and conditions of the Creative Commons Attribution (CC BY) license (http://creativecommons.org/licenses/by/4.0/).
Share and Cite
Shen, X.; Wang, L.; Yang, Q.; Xiu, W.; Li, G.; Zhao, J.; Zhang, G. Dynamics of Soil Organic Carbon and Labile Carbon Fractions in Soil Aggregates Affected by Different Tillage Managements. Sustainability 2021, 13, 1541. https://doi.org/10.3390/su13031541
Shen X, Wang L, Yang Q, Xiu W, Li G, Zhao J, Zhang G. Dynamics of Soil Organic Carbon and Labile Carbon Fractions in Soil Aggregates Affected by Different Tillage Managements. Sustainability. 2021; 13(3):1541. https://doi.org/10.3390/su13031541
Chicago/Turabian StyleShen, Xiaolin, Lili Wang, Qichen Yang, Weiming Xiu, Gang Li, Jianning Zhao, and Guilong Zhang. 2021. "Dynamics of Soil Organic Carbon and Labile Carbon Fractions in Soil Aggregates Affected by Different Tillage Managements" Sustainability 13, no. 3: 1541. https://doi.org/10.3390/su13031541
APA StyleShen, X., Wang, L., Yang, Q., Xiu, W., Li, G., Zhao, J., & Zhang, G. (2021). Dynamics of Soil Organic Carbon and Labile Carbon Fractions in Soil Aggregates Affected by Different Tillage Managements. Sustainability, 13(3), 1541. https://doi.org/10.3390/su13031541
