The Effect of the Thermal Annealing Process to the Sensing Performance of Magnetoelastic Ribbon Materials
Abstract
:1. Introduction
2. Experimental Setup and Procedure
3. Results and Discussion
3.1. Sensing Properties
- Without a bias field (HDC = 0) during the sensing experiment.
- With an optimum bias field HDC during the sensing experiment for signal enhancement.
3.1.1. Absence of a Bias Field during the Sensing Experiments
3.1.2. Presence of a Bias Field during the Sensing Experiments
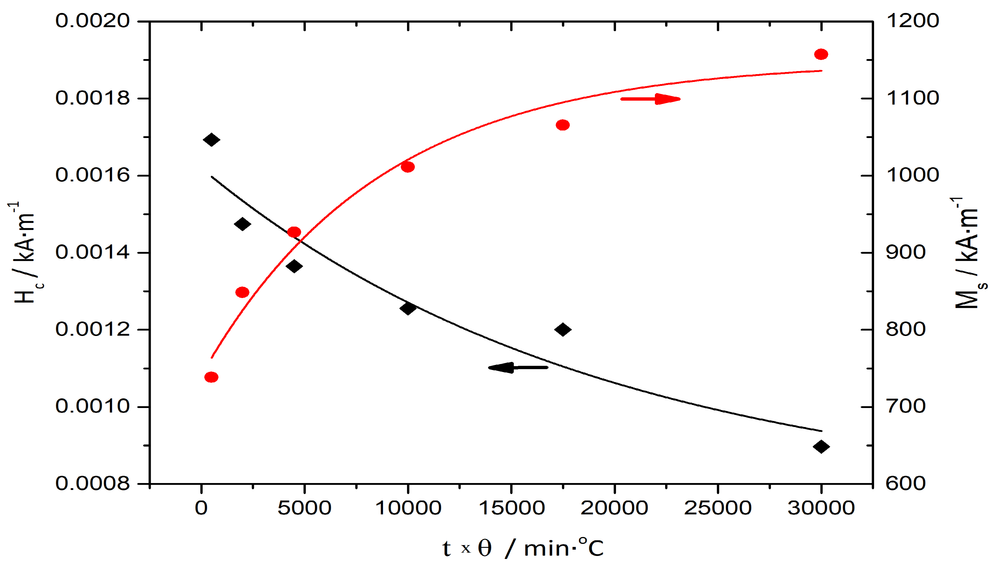
3.2. Magnetic Properties
3.3. Comparison to Previous Works
4. Conclusions
Author Contributions
Funding
Institutional Review Board Statement
Informed Consent Statement
Data Availability Statement
Conflicts of Interest
References
- Naseer, S.; Liu, W.; Sarkar, N.I.; Shafiq, M.; Choi, J.G. Smart City Taxi Trajectory Coverage and Capacity Evaluation Model for Vehicular Sensor Networks. Sustainability 2021, 13, 10907. [Google Scholar] [CrossRef]
- Wróblewski, M.; Suchomska, J.; Tamborska, K. Citizens or Consumers? Air Quality Sensor Users and Their Involvement in Sensor. Community. Results from Qualitative Case Study. Sustainability 2021, 13, 11406. [Google Scholar] [CrossRef]
- de Lima, R.L.P.; Paxinou, K.; C Boogaard, F.; Akkerman, O.; Lin, F.Y. In-Situ Water Quality Observations under a Large-Scale Floating Solar Farm Using Sensors and Underwater Drones. Sustainability 2021, 13, 6421. [Google Scholar] [CrossRef]
- Pacheco Fernández, M.; Despot, D.; Barjenbruch, M. Comparison of H2S Gas Sensors: A Sensor Management Procedure for Sewer Monitoring. Sustainability 2021, 13, 10779. [Google Scholar] [CrossRef]
- Shah, J.; Wang, X.; Khan, S.U.; Khan, S.; Gurmani, Z.A.; Fiaz, S.; Qayyum, A. Optical-Sensor-Based Nitrogen Management in Oat for Yield Enhancement. Sustainability 2021, 13, 6955. [Google Scholar] [CrossRef]
- Abdollahi, A.; Rejeb, K.; Rejeb, A.; Mostafa, M.M.; Zailani, S. Wireless Sensor Networks in Agriculture: Insights from Bibliometric Analysis. Sustainability 2021, 13, 12011. [Google Scholar] [CrossRef]
- Hernando, A.; Vazquez, M.; Barandiaran, J. Metallic glasses and sensing applications. J. Phys. E Sci. Instrum. 1988, 21, 1129. [Google Scholar] [CrossRef]
- Samourgkanidis, G.; Kouzoudis, D. Magnetoelastic Ribbons as Vibration Sensors for Real-Time Health Monitoring of Rotating Metal Beams. Sensors 2021, 21, 8122. [Google Scholar] [CrossRef]
- Samourgkanidis, G.; Kouzoudis, D. Experimental detection by magnetoelastic sensors and computational analysis with finite elements, of the bending modes of a cantilever beam with minor damage. Sens. Actuators A Phys. 2018, 276, 155–164. [Google Scholar] [CrossRef]
- Samourgkanidis, G.; Kouzoudis, D. A pattern matching identification method of cracks on cantilever beams through their bending modes measured by magnetoelastic sensors. Theor. Appl. Fract. Mech. 2019, 103, 102266. [Google Scholar] [CrossRef]
- Samourgkanidis, G.; Kouzoudis, D. Characterization of magnetoelastic ribbons as vibration sensors based on the measured natural frequencies of a cantilever beam. Sens. Actuators A Phys. 2020, 301, 111711. [Google Scholar] [CrossRef]
- Kouzoudis, D.; Samourgkanidis, G.; Tapeinos, C.I. Contactless Detection of Natural Bending Frequencies using Embedded Metallic-Glass Ribbons inside Plastic Beams made of 3-D Printing. Recent Prog. Mater. 2021, 3, 15. [Google Scholar] [CrossRef]
- Li, S.; Cheng, Z.Y. Nonuniform mass detection using magnetostrictive biosensors operating under multiple harmonic resonance modes. J. Appl. Phys. 2010, 107, 114514. [Google Scholar] [CrossRef]
- Zhang, K.; Zhang, L.; Chai, Y. Mass load distribution dependence of mass sensitivity of magnetoelastic sensors under different resonance modes. Sensors 2015, 15, 20267–20278. [Google Scholar] [CrossRef] [Green Version]
- Chen, I.H.; Horikawa, S.; Bryant, K.; Riggs, R.; Chin, B.A.; Barbaree, J.M. Bacterial assessment of phage magnetoelastic sensors for Salmonella enterica Typhimurium detection in chicken meat. Food Control 2017, 71, 273–278. [Google Scholar] [CrossRef] [Green Version]
- Beltrami, L.V.; Beltrami, M.; Roesch-Ely, M.; Kunst, S.R.; Missell, F.P.; Birriel, E.J.; Malfatti, C.d.F. Magnetoelastic sensors with hybrid films for bacteria detection in milk. J. Food Eng. 2017, 212, 18–28. [Google Scholar] [CrossRef]
- Sagasti, A.; Bouropoulos, N.; Kouzoudis, D.; Panagiotopoulos, A.; Topoglidis, E.; Gutiérrez, J. Nanostructured ZnO in a metglas/ZnO/hemoglobin modified electrode to detect the oxidation of the hemoglobin simultaneously by cyclic voltammetry and magnetoelastic resonance. Materials 2017, 10, 849. [Google Scholar] [CrossRef] [Green Version]
- Samourgkanidis, G.; Nikolaou, P.; Gkovosdis-Louvaris, A.; Sakellis, E.; Blana, I.; Topoglidis, E. Hemin-Modified SnO2/Metglas Electrodes for the Simultaneous Electrochemical and Magnetoelastic Sensing of H2O2. Coatings 2018, 8, 284. [Google Scholar] [CrossRef] [Green Version]
- Ren, L.; Yu, K.; Tan, Y. Applications and advances of magnetoelastic sensors in biomedical engineering: A review. Materials 2019, 12, 1135. [Google Scholar] [CrossRef] [Green Version]
- Baimpos, T.; Tsukala, V.; Nikolakis, V.; Kouzoudis, D. A modified method for the calculation of the humidity adsorption stresses inside zeolite films using magnetoelastic sensors. Sens. Lett. 2012, 10, 879–885. [Google Scholar] [CrossRef]
- Baimpos, T.; Gora, L.; Nikolakis, V.; Kouzoudis, D. Selective detection of hazardous VOCs using zeolite/Metglas composite sensors. Sens. Actuators A Phys. 2012, 186, 21–31. [Google Scholar] [CrossRef]
- Kouzoudis, D.; Baimpos, T.; Samourgkanidis, G. A New Method for the Measurement of the Diffusion Coefficient of Adsorbed Vapors in Thin Zeolite Films, Based on Magnetoelastic Sensors. Sensors 2020, 20, 3251. [Google Scholar] [CrossRef]
- Matko, V.; Šafarič, R. Major improvements of quartz crystal pulling sensitivity and linearity using series reactance. Sensors 2009, 9, 8263–8270. [Google Scholar] [CrossRef] [PubMed]
- Matko, V.; Milanović, M. High resolution switching mode inductance-to-frequency converter with temperature compensation. Sensors 2014, 14, 19242–19259. [Google Scholar] [CrossRef] [PubMed]
- Grimes, C.A.; Mungle, C.S.; Zeng, K.; Jain, M.K.; Dreschel, W.R.; Paulose, M.; Ong, K.G. Wireless magnetoelastic resonance sensors: A critical review. Sensors 2002, 2, 294–313. [Google Scholar] [CrossRef] [Green Version]
- Grimes, C.A.; Roy, S.C.; Rani, S.; Cai, Q. Theory, instrumentation and applications of magnetoelastic resonance sensors: A review. Sensors 2011, 11, 2809–2844. [Google Scholar] [CrossRef]
- Anderson III, P. Magnetomechanical coupling, ΔE effect, and permeability in FeSiB and FeNiMoB alloys. J. Appl. Phys. 1982, 53, 8101–8103. [Google Scholar] [CrossRef]
- Price, M.; Overshott, K. The variation of initial permeability of amorphous ribbons with frequency and annealing conditions. IEEE Trans. Magn. 1983, 19, 1931–1933. [Google Scholar] [CrossRef]
- Soyka, V.; Kraus, L.; Závěta, K.; Jurek, K. Magnetoelastic properties of stress/field annealed Fe80Cr2B14Si14 amorphous alloy. J. Magn. Magn. Mater. 1999, 196, 262–263. [Google Scholar] [CrossRef]
- Grimes, C.; Ong, K.; Loiselle, K.; Stoyanov, P.; Kouzoudis, D.; Liu, Y.; Tong, C.; Tefiku, F. Magnetoelastic sensors for remote query environmental monitoring. Smart Mater. Struct. 1999, 8, 639. [Google Scholar] [CrossRef]
- Benda, O.; Bydžovskỳ, J. Investigation of the influence of annealing on the magnetic properties of Metglas using the Preisach model. J. Magn. Magn. Mater. 1994, 133, 93–96. [Google Scholar] [CrossRef]
- Celasco, M.; Masoero, A.; Mazzetti, P.; Stepanescu, A. Influence of the viscosity field on the power losses in amorphous magnetic alloys. J. Magn. Magn. Mater. 1983, 31, 1407–1408. [Google Scholar] [CrossRef]
- Gutiérrez, J.; Barandiarán, J.; Mınguez, P.; Kaczkowski, Z.; Ruuskanen, P.; Vlasák, G.; Svec, P.; Duhaj, P. Influence of heat treatment on the magnetic and piezomagnetic properties of amorphous and nanocrystalline Fe64Ni10Nb3Cu1Si13B9 alloy strips. Sens. Actuators A Phys. 2003, 106, 69–72. [Google Scholar] [CrossRef]
- Huang, S.; Hu, J.; Wan, J.; Johnson, M.; Shu, H.; Chin, B. The effect of annealing and gold deposition on the performance of magnetoelastic biosensors. Mater. Sci. Eng. C 2008, 28, 380–386. [Google Scholar] [CrossRef]
- Yang, Y.; Gao, J.; Wang, Z.; Li, M.; Li, J.F.; Das, J.; Viehland, D. Effect of heat treatment on the properties of Metglas foils, and laminated magnetoelectric composites made thereof. Mater. Res. Bull. 2011, 46, 266–270. [Google Scholar] [CrossRef]
- Sahingoz, R.; Erol, M.; Gibbs, M.R. Observation of changing of magnetic properties and microstructure of metallic glass Fe78Si9B13 with annealing. J. Magn. Magn. Mater. 2004, 271, 74–78. [Google Scholar] [CrossRef]
- Livingston, J.D. Magnetomechanical properties of amorphous metals. Phys. Status Solidi 1982, 70, 591–596. [Google Scholar] [CrossRef]






| t (min) | θ (°C) | t × θ (min °C) | HC (kA/m) | MS (kA/m) | HC × MS (kA/m)2 |
|---|---|---|---|---|---|
| 10 | 50 | 500 | 0.00169 | 738 | 1.25 |
| 20 | 100 | 2000 | 0.00147 | 849 | 1.25 |
| 30 | 150 | 4500 | 0.00137 | 927 | 1.26 |
| 40 | 200 | 10,000 | 0.00126 | 1010 | 1.27 |
| 50 | 250 | 17,500 | 0.00120 | 1070 | 1.28 |
| 60 | 300 | 30,000 | 0.00090 | 1160 | 1.04 |
| Ref. | Metglas | TC (°C) | TA (°C) | MS Ratio | HC Ratio | Other |
|---|---|---|---|---|---|---|
| [31] | Fe78B13Si9 | 415 | 345 | 1.8 | 0.2 | - |
| [32] | Fe40Ni40B14B6 | - | 350 | - | - | Power loss reduction |
| [33] | Fe64Ni10Nb3CuSi13B9 | - | 520 | Const. | 0.1 | Lower anisotropy |
| [34] | Fe45Ni45Mo7B3 | 353 | 250 | - | - | Quality factor increase |
| [35] | Fe78B9Si13 | 508 | 450 | - | - | No improvement |
| [36] | Fe78B13Si9 | 415 | 500 | - | 0.5 | |
| This work | Fe40Ni38Mo4B18 | 353 | 400 | 1.6 | 0.5 | Output signal increase |
Publisher’s Note: MDPI stays neutral with regard to jurisdictional claims in published maps and institutional affiliations. |
© 2021 by the authors. Licensee MDPI, Basel, Switzerland. This article is an open access article distributed under the terms and conditions of the Creative Commons Attribution (CC BY) license (https://creativecommons.org/licenses/by/4.0/).
Share and Cite
Samourgkanidis, G.; Varvatsoulis, K.; Kouzoudis, D. The Effect of the Thermal Annealing Process to the Sensing Performance of Magnetoelastic Ribbon Materials. Sustainability 2021, 13, 13947. https://doi.org/10.3390/su132413947
Samourgkanidis G, Varvatsoulis K, Kouzoudis D. The Effect of the Thermal Annealing Process to the Sensing Performance of Magnetoelastic Ribbon Materials. Sustainability. 2021; 13(24):13947. https://doi.org/10.3390/su132413947
Chicago/Turabian StyleSamourgkanidis, Georgios, Kostantis Varvatsoulis, and Dimitris Kouzoudis. 2021. "The Effect of the Thermal Annealing Process to the Sensing Performance of Magnetoelastic Ribbon Materials" Sustainability 13, no. 24: 13947. https://doi.org/10.3390/su132413947
APA StyleSamourgkanidis, G., Varvatsoulis, K., & Kouzoudis, D. (2021). The Effect of the Thermal Annealing Process to the Sensing Performance of Magnetoelastic Ribbon Materials. Sustainability, 13(24), 13947. https://doi.org/10.3390/su132413947

