Influence of Different Allocation Methods for Recycling and Dynamic Inventory on CO2 Savings and Payback Times of Light-Weighted Vehicles Computed under Product- and Fleet-Based Analyses: A Case of Internal Combustion Engine Vehicles
Abstract
:1. Introduction
2. Materials and Methods
2.1. Overview of the Method
2.2. Allocation Approaches and Methods
2.2.1. The Cut-Off Approach
2.2.2. The Waste-Mining Method
2.2.3. The End-of-Life Recycling Method
2.2.4. The 50:50 Method
2.3. Material Inventory Calculations
2.4. Use-Phase Inventory Calculations
2.5. Development of Dynamic Inventory
2.6. Types of Life-Cycle Inventory Analyses
2.6.1. Single-ICEV Static LCI Analyses
2.6.2. Single-ICEV Dynamic LCI Analyses
2.6.3. Fleet-Scale Dynamic LCI Analyses
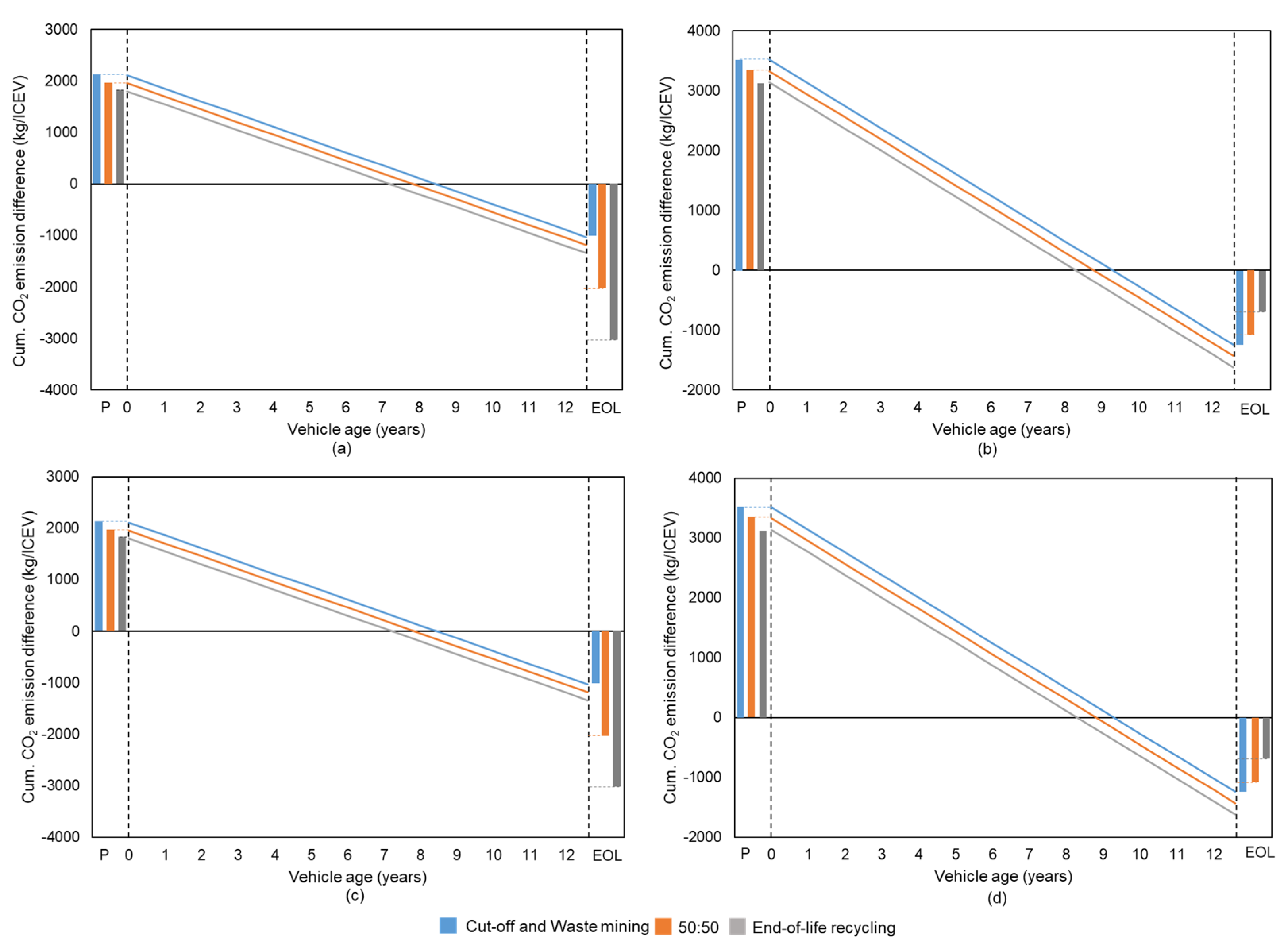
3. Results
4. Discussion
5. Conclusions
Supplementary Materials
Author Contributions
Funding
Institutional Review Board Statement
Informed Consent Statement
Data Availability Statement
Conflicts of Interest
Nomenclature
| GHG | Greenhouse gas |
| LCA | Life-cycle assessment |
| LCI | Life-cycle inventory |
| ICEV | Internal combustion engine vehicle |
| EOLR | End-of-life recycling |
| WM | Waste mining |
| EOL | End-of-life |
| DI | Dynamic inventory |
| SDS | Sustainable development scenario |
| Life-cycle inventory (with recycling effects) of the material used for the current product ((kg CO2/kg product) | |
| Life-cycle inventory for primary material production (kg CO2/kg product) | |
| Life-cycle inventory for primary material production (kg CO2/kg product) | |
| Fraction of secondary resources supplied for the material of interest (%) | |
| Process yield (%) | |
| Fraction of material recovered as secondary resources during the life cycle of current production (%) | |
| Life-cycle inventory for the waste treatment of the material used for the current product (kg CO2/kg product) | |
| Life-cycle inventory for waste treatment of the material used for the previous product (kg CO2/kg product) | |
| Xpr,next | Primary material production in next LC (kg CO2/kg product) |
| Xre,next | Secondary material production in next LC (kg CO2/kg product) |
| CO2 emissions from use phase of the standard ICEV (kg CO2/ICEV) | |
| CO2 emissions from use phase of the lightweight ICEVs (kg CO2/ICEV) | |
| Fuel economy (L/km) | |
| d | Distance travelled (km) |
| CO2 emission factors for gasoline production (kg CO2/L) | |
| CO2 emission factors for gasoline combustion (kg CO2/L) | |
| ΔM | Weight change (kg) |
| FRV | Fuel reduction value (L/100 kg 100 km) |
References
- Koncar, V. Introduction to smart textiles and their applications. In Smart Textiles and Their Applications; Woodhead Publishing Ltd.: Oxford, UK, 2016; pp. 1–8. [Google Scholar] [CrossRef]
- European Union. Blending in the Transport Sector. Available online: http://bookshop.europa.eu (accessed on 2 March 2021).
- Sussman, R.; Tan, L.Q.; Kormos, C.E. Behavioral interventions for sustainable transportation: An overview of programs and guide for practitioners. In Transport and Energy Research; Elsevier: Amsterdam, The Netherlands, 2020; pp. 315–371. [Google Scholar]
- Hossain, M.F. Sustainable Design and Build: Building, Energy, Roads, Bridges, Water and Sewer Systems; Butterworth-Heinemann: Oxford, UK, 2018; ISBN 978-0-12-816888-2. [Google Scholar]
- Ritchie, H.; Roser, M. Global Greenhouse Gas Emissions by Sector. Available online: https://ourworldindata.org/emissions-by-sector (accessed on 18 October 2021).
- National Institute for Environmental Studies. Greenhouse Gas Inventory Office of Japan. Available online: http://www.nies.go.jp/gio/en/index.html (accessed on 18 October 2021).
- European Commission. Commission and ACEA Agree on CO2 Emissions from Cars. Available online: https://ec.europa.eu/commission/presscorner/detail/en/IP_98_734 (accessed on 18 October 2021).
- The European Automobile Manufacturers’ Association. Publications. Available online: https://www.acea.auto/nav/?content=publications (accessed on 18 October 2021).
- Directorate-General for Climate Action (European Commission); Ricardo Energy & Environment; Hill, N.; Amaral, S.; Morgan-Price, S.; Nokes, T.; Bates, J.; Helms, H.; Fehrenbach, H.; Biemann, K.; et al. Determining the Environmental Impacts of Conventional and Alternatively Fuelled Vehicles through LCA: Final Report; Publications Office of the European Union: Luxembourg, 2020. [Google Scholar]
- Kim, H.-J.; McMillan, C.; Keoleian, G.A.; Skerlos, S.J. greenhouse gas emissions payback for lightweighted vehicles using aluminum and high-strength steel. J. Ind. Ecol. 2010, 14, 929–946. [Google Scholar] [CrossRef]
- Kim, H.C.; Wallington, T.J.; Sullivan, J.L.; Keoleian, G.A. Life Cycle Assessment of Vehicle Lightweighting: Novel Mathematical Methods to Estimate Use-Phase Fuel Consumption. Environ. Sci. Technol. 2015, 49, 10209–10216. [Google Scholar] [CrossRef]
- Kim, H.C.; Wallington, T.J. Life Cycle Assessment of vehicle lightweighting: A physics-based model to estimate use-phase fuel consumption of electrified vehicles. Environ. Sci. Technol. 2016, 50, 11226–11233. [Google Scholar] [CrossRef] [PubMed]
- Hottle, T.; Caffrey, C.; McDonald, J.; Dodder, R. Critical factors affecting life cycle assessments of material choice for vehicle mass reduction. Transp. Res. Part D Transp. Environ. 2017, 56, 241–257. [Google Scholar] [CrossRef] [PubMed]
- Garcia, R.; Freire, F. A review of fleet-based life-cycle approaches focusing on energy and environmental impacts of vehicles. Renew. Sustain. Energy Rev. 2017, 79, 935–945. [Google Scholar] [CrossRef]
- Kirchain, R. Fleet-Based LCA: Comparative CO2 Emission Burden of Aluminum and Steel Fleets. Available online: https://dspace.mit.edu/handle/1721.1/1405 (accessed on 18 October 2021).
- Thomassen, M.A.; Dalgaard, R.; Heijungs, R.; de Boer, I. Attributional and consequential LCA of milk production. Int. J. Life Cycle Assess. 2008, 13, 339–349. [Google Scholar] [CrossRef] [Green Version]
- Del Pero, F.; Delogu, M.; Pierini, M. Life Cycle Assessment in the automotive sector: A comparative case study of Internal Combustion Engine (ICE) and electric car. Procedia Struct. Integr. 2018, 12, 521–537. [Google Scholar] [CrossRef]
- Kawamoto, R.; Mochizuki, H.; Moriguchi, Y.; Nakano, T.; Motohashi, M.; Sakai, Y.; Inaba, A. Estimation of CO2 Emissions of Internal Combustion Engine Vehicle and Battery Electric Vehicle Using LCA. Sustainability 2019, 11, 2690. [Google Scholar] [CrossRef] [Green Version]
- Schaubroeck, T.; Schaubroeck, S.; Heijungs, R.; Zamagni, A.; Brandão, M.; Benetto, E. Attributional & Consequential Life Cycle Assessment: Definitions, Conceptual Characteristics and Modelling Restrictions. Sustainability 2021, 13, 7386. [Google Scholar] [CrossRef]
- Fantozzi, F.; Bartocci, P.; D’Alessandro, B.; Testarmata, F. Carbon footprint of truffle sauce in central Italy by direct measurement of energy consumption of different olive harvesting techniques. J. Clean. Prod. 2015, 87, 188–196. [Google Scholar] [CrossRef]
- Weis, A.; Jaramillo, P.; Michalek, J. Consequential life cycle air emissions externalities for plug-in electric vehicles in the PJM interconnection. Environ. Res. Lett. 2016, 11, 024009. [Google Scholar] [CrossRef]
- Palazzo, J.; Geyer, R. Consequential life cycle assessment of automotive material substitution: Replacing steel with aluminum in production of north American vehicles. Environ. Impact Assess. Rev. 2019, 75, 47–58. [Google Scholar] [CrossRef]
- Schrijvers, D.L.; Loubet, P.; Sonnemann, G. Developing a systematic framework for consistent allocation in LCA. Int. J. Life Cycle Assess. 2016, 21, 976–993. [Google Scholar] [CrossRef]
- Suzuki, T.; Odai, T.; Hukui, R. LCA of Passenger Vehicles Lightened by Recyclable Carbon Fiber Reinforced Plastics; University of Tokyo: Tokyo, Japan, 2005. [Google Scholar]
- Moon, P.; Burnham, A.; Wang, M. Vehicle-Cycle Energy and Emission Effects of Conventional and Advanced Vehicles; SAE International: Warrendale, PA, USA, 2006. [Google Scholar]
- Hakamada, M.; Furuta, T.; Chino, Y.; Chen, Y.; Kusuda, H.; Mabuchi, M. Life cycle inventory study on magnesium alloy substitution in vehicles. Energy 2007, 32, 1352–1360. [Google Scholar] [CrossRef]
- Tharumarajah, A.; Koltun, P. Is there an environmental advantage of using magnesium components for light-weighting cars? J. Clean. Prod. 2007, 15, 1007–1013. [Google Scholar] [CrossRef]
- Tharumarajah, A.; Koltun, P. Improving environmental performance of magnesium instrument panels. Resour. Conserv. Recycl. 2010, 54, 1189–1195. [Google Scholar] [CrossRef]
- Kelly, J.C.; Sullivan, J.L.; Burnham, A.; Elgowainy, A. Impacts of Vehicle Weight Reduction via Material Substitution on Life-Cycle Greenhouse Gas Emissions. Environ. Sci. Technol. 2015, 49, 12535–12542. [Google Scholar] [CrossRef] [PubMed]
- Du, J.; Han, W.; Peng, Y.; Gu, C. Potential for reducing GHG emissions and energy consumption from implementing the aluminum intensive vehicle fleet in China. Energy 2010, 35, 4671–4678. [Google Scholar] [CrossRef]
- Ribeiro, I.; Peças, P.; Silva, A.; Henriques, E. Life cycle engineering methodology applied to material selection, a fender case study. J. Clean. Prod. 2008, 16, 1887–1899. [Google Scholar] [CrossRef]
- Bertram, M.; Buxmann, K.; Furrer, P. Analysis of greenhouse gas emissions related to aluminium transport applications. Int. J. Life Cycle Assess. 2009, 14, 62–69. [Google Scholar] [CrossRef]
- Puri, P.; Compston, P.; Pantano, V. Life cycle assessment of Australian automotive door skins. Int. J. Life Cycle Assess. 2009, 14, 420–428. [Google Scholar] [CrossRef]
- Das, S. Life Cycle Assessment of Carbon Fiber-Reinforced Polymer Composites. Int. J. Life Cycle Assess. 2011, 16, 268–282. [Google Scholar] [CrossRef]
- Baroth, A.; Karanam, S.; McKay, R. Life Cycle Assessment of Lightweight Noryl* GTX* Resin Fender and Its Comparison with Steel Fender; SAE International: Warrendale, PA, USA, 2012. [Google Scholar]
- Dhingra, R.; Das, S. Life cycle energy and environmental evaluation of downsized vs. lightweight material automotive engines. J. Clean. Prod. 2014, 85, 347–358. [Google Scholar] [CrossRef]
- Mayyas, A.; Qattawi, A.; Mayyas, A.R.; Omar, M. Life cycle assessment-based selection for a sustainable lightweight body-in-white design. Energy 2012, 39, 412–425. [Google Scholar] [CrossRef]
- Dubreuil, A.; Bushi, L.; Das, S.; Tharumarajah, A.; Gong, X. A Comparative Life Cycle Assessment of Magnesium Front End Autoparts: A Revision to 2010-01-0275; SAE International: Warrendale, PA, USA, 2012. [Google Scholar]
- Das, S. The life-cycle impacts of aluminum body-in-white automotive material. JOM 2000, 52, 41–44. [Google Scholar] [CrossRef]
- Das, S. Life cycle energy impacts of automotive liftgate inner. Resour. Conserv. Recycl. 2005, 43, 375–390. [Google Scholar] [CrossRef]
- Field, F.; Kirchain, R.; Clark, J. Life-Cycle Assessment and Temporal Distributions of Emissions: Developing a Fleet-Based Analysis. J. Ind. Ecol. 2000, 4, 71–91. [Google Scholar] [CrossRef] [Green Version]
- Cáceres, C.H. Transient environmental effects of light alloy substitutions in transport vehicles. Mater. Des. 2009, 30, 2813–2822. [Google Scholar] [CrossRef]
- Stasinopoulos, P.; Compston, P.; Newell, B.; Jones, H.M. A system dynamics approach in LCA to account for temporal effects—A consequential energy LCI of car body-in-whites. Int. J. Life Cycle Assess. 2012, 17, 199–207. [Google Scholar] [CrossRef]
- Weidema, B. Avoiding Co-Product Allocation in Life-Cycle Assessment. J. Ind. Ecol. 2000, 4, 11–33. [Google Scholar] [CrossRef]
- Levasseur, A.; Lesage, P.; Margni, M.; Deschênes, L.; Samson, R. Considering Time in LCA: Dynamic LCA and Its Application to Global Warming Impact Assessments. Environ. Sci. Technol. 2010, 44, 3169–3174. [Google Scholar] [CrossRef]
- Collinge, W.O.; Landis, A.E.; Jones, A.K.; Schaefer, L.A.; Bilec, M.M. Dynamic life cycle assessment: Framework and application to an institutional building. Int. J. Life Cycle Assess. 2013, 18, 538–552. [Google Scholar] [CrossRef]
- Geyer, R. UCSB Energy & GHG Model-WorldAutoSteel. Available online: https://www.worldautosteel.org/life-cycle-thinking/ucsb-energy-ghg-model/ (accessed on 18 October 2021).
- IDEA. Available online: http://idea-lca.com/?lang=en (accessed on 18 October 2021).
- Ecoinvent. Ecoinvent Database. Available online: https://ecoinvent.org/the-ecoinvent-database/ (accessed on 18 October 2021).
- Ekvall, T. A market-based approach to allocation at open-loop recycling. Resour. Conserv. Recycl. 2000, 29, 91–109. [Google Scholar] [CrossRef]
- European CommissionInternational Reference Life Cycle Data System (ILCD) Handbook-General Guide for Life Cycle Assessment-Detailed Guidance. Available online: https://eplca.jrc.ec.europa.eu/uploads/ILCD-Handbook-General-guide-for-LCA-DETAILED-GUIDANCE-12March2010-ISBN-fin-v1.0-EN.pdf (accessed on 18 October 2021).
- Geyer, R. Life Cycle Energy and Greenhouse Gas (GHG) Assessments of Automotive Material Substitution User Guide for Version 5 of the UCSB Automotive Energy and GHG Model. Available online: https://www.worldautosteel.org/download_files/UCSB/User%20Guide%20Version%205.pdf (accessed on 18 October 2021).
- AIST. Inventory Database (IDEAv2). Available online: https://www.aist-riss.jp/softwares/40166/ (accessed on 30 October 2020).
- IEA. Tracking Power. 2020. Available online: https://www.iea.org/reports/tracking-power-2020 (accessed on 30 October 2020).
- Daigo, I.; Iwata, K.; Ohkata, I.; Goto, Y. Macroscopic evidence for the hibernating behavior of materials stock. Environ. Sci. Technol. 2015, 49, 8691–8696. [Google Scholar] [CrossRef] [PubMed] [Green Version]
- Daigo, I.; Osako, S.; Adachi, Y.; Matsuno, Y. Time-series analysis of global zinc demand associated with steel. Resour. Conserv. Recycl. 2014, 82, 35–40. [Google Scholar] [CrossRef]
- Greiner, R.; Puig, J.; Huchery, C.; Collier, N.; Garnett, S.T. Scenario modelling to support industry strategic planning and decision making. Environ. Model. Softw. 2014, 55, 120–131. [Google Scholar] [CrossRef] [Green Version]
- Steen, B. A Systematic Approach to Environmental Priority Strategies in Product Development (EPS) Version 2000-Models and Data of the Default Method; Centre for Environmental Assessment of Products and Material Systems: Gothenburg, Sweden, 1999. [Google Scholar]
- Castellani, V.; Benini, L.; Sala, S.; Pant, R. A distance-to-target weighting method for Europe 2020. Int. J. Life Cycle Assess. 2016, 21, 1159–1169. [Google Scholar] [CrossRef] [Green Version]
- Volkwein, S.; Gihr, R.; Klöpffer, W. The valuation step within LCA. Int. J. Life Cycle Assess. 1996, 1, 182–192. [Google Scholar] [CrossRef]
- AlArjani, A.; Modibbo, U.M.; Ali, I.; Sarkar, B. A new framework for the sustainable development goals of Saudi Arabia. J. King Saud Univ. Sci. 2021, 33, 101477. [Google Scholar] [CrossRef]
- Omair, M.; Noor, S.; Tayyab, M.; Maqsood, S.; Ahmed, W.; Sarkar, B.; Habib, M.S. the selection of the sustainable suppliers by the development of a decision support framework based on analytical hierarchical process and fuzzy inference system. Int. J. Fuzzy Syst. 2021, 23, 1986–2003. [Google Scholar] [CrossRef]






| Author (Year) | Allocation Method for Recycling | Type of LCI Analysis | Inclusion of DI (Yes/No) | Content |
|---|---|---|---|---|
| Das [39] (2000) | EOLR method | Product-based Fleet-based | No | Energy and CO2 payback times of aluminum vs. steel and ultralight steel car bodies-in-white. |
| Field et al. [41] (2000) | EOLR method | Product-based Fleet-based | No | CO2 payback time of aluminum- over steel-intensive fleets using novel product fleet-growth models. |
| Suzuki et al. [24] (2005) | Cut-off approach | Product-based | No | Energy savings associated with carbon-fiber-reinforced plastic-substituted vehicles. |
| Das [40] (2005) | EOLR method | Fleet-based | No | Energy savings and payback time associated with a magnesium automotive liftgate inner. |
| Moon et al. [25] (2006) | Cut-off approach | Product-based | No | Energy and GHG savings of an aluminum-substituted vehicle. |
| Hakamada et al. [26] (2007) | Cut-off approach | Product-based | No | CO2 and energy benefits associated with magnesium- and aluminum-substituted vehicles. |
| Tharumarajah and Koltun [27] | Cut-off approach | Product-based | No | GHG savings of compacted graphite iron, aluminum, and magnesium engine blocks. |
| Ribeiro et al. [31] (2008) | EOLR approach | Product-based | No | GHG and energy benefits associated with high-strength steel and aluminum fenders. |
| Bertrum et al. [32] (2009) | EOLR method | Product-based | No | GHG savings of aluminum body parts. |
| Cáceres [42] (2009) | EOLR method | Fleet-based | No | CO2 payback times of light-alloy-substituted over steel-intensive vehicle fleets. |
| Puri et al. [33] (2009) | EOLR method | Product-based | No | Complete LCA on aluminum and fiber door skins. |
| Kim [10] (2010) | EOLR method | Fleet-based | No | GHG savings and payback times of high-strength-steel- and aluminum-substituted cars. |
| Tharumarajah and Koltun [28] (2010) | Cut off approach | Product-based | No | GHG savings of magnesium-, plastic-, and bioplastic-substituted instrument panels. |
| Du et al. [30] (2010) | Cut-off approach | Fleet-based | No | CO2 and energy savings derived from introducing aluminum-intensive vehicles to the current Chinese vehicle fleet. |
| Das [34] (2011) | EOLR method | Product-based | No | Energy savings associated with carbon-fiber-reinforced plastic-based floor panels. |
| Baroth et al. [35] (2012) | EOLR method | Product-based | No | GHG savings of plastic fenders. |
| Dubreuil et al. [38] (2012) | EOLR method | Product-based | No | Total energy demand and GHG emissions of aluminum and magnesium front-end parts. |
| Mayyas et al. [37] (2012) | EOLR method | Product-based | No | CO2 and energy savings of different material options for body-in-white. |
| Stasinopoulos [43] (2012) | EOLR method | Fleet-based | No | Life-cycle energy benefits of an aluminum body-in-white. |
| Dhingra and Das [36] (2014) | EOLR method | Product-based | No | CO2 and energy benefits with magnesium- and aluminum-substituted automotive engines. |
| Kelly et al. [29] (2015) | Cut-off approach | Product-based | No | GHG savings of several lightweight car parts. |
| This paper | Cut-off approach WM method 50:50 method EOLR method | Product-based Fleet-based | Yes | Influence of allocation method for recycling and DI through a case of aluminum- and magnesium-substituted ICEVs. |
Publisher’s Note: MDPI stays neutral with regard to jurisdictional claims in published maps and institutional affiliations. |
© 2021 by the authors. Licensee MDPI, Basel, Switzerland. This article is an open access article distributed under the terms and conditions of the Creative Commons Attribution (CC BY) license (https://creativecommons.org/licenses/by/4.0/).
Share and Cite
Dunuwila, P.; Hamada, K.; Takeyama, K.; Panasiuk, D.; Hoshino, T.; Morimoto, S.; Tahara, K.; Daigo, I. Influence of Different Allocation Methods for Recycling and Dynamic Inventory on CO2 Savings and Payback Times of Light-Weighted Vehicles Computed under Product- and Fleet-Based Analyses: A Case of Internal Combustion Engine Vehicles. Sustainability 2021, 13, 13935. https://doi.org/10.3390/su132413935
Dunuwila P, Hamada K, Takeyama K, Panasiuk D, Hoshino T, Morimoto S, Tahara K, Daigo I. Influence of Different Allocation Methods for Recycling and Dynamic Inventory on CO2 Savings and Payback Times of Light-Weighted Vehicles Computed under Product- and Fleet-Based Analyses: A Case of Internal Combustion Engine Vehicles. Sustainability. 2021; 13(24):13935. https://doi.org/10.3390/su132413935
Chicago/Turabian StyleDunuwila, Pasan, Ko Hamada, Kentaro Takeyama, Daryna Panasiuk, Takeo Hoshino, Shinichiro Morimoto, Kiyotaka Tahara, and Ichiro Daigo. 2021. "Influence of Different Allocation Methods for Recycling and Dynamic Inventory on CO2 Savings and Payback Times of Light-Weighted Vehicles Computed under Product- and Fleet-Based Analyses: A Case of Internal Combustion Engine Vehicles" Sustainability 13, no. 24: 13935. https://doi.org/10.3390/su132413935
APA StyleDunuwila, P., Hamada, K., Takeyama, K., Panasiuk, D., Hoshino, T., Morimoto, S., Tahara, K., & Daigo, I. (2021). Influence of Different Allocation Methods for Recycling and Dynamic Inventory on CO2 Savings and Payback Times of Light-Weighted Vehicles Computed under Product- and Fleet-Based Analyses: A Case of Internal Combustion Engine Vehicles. Sustainability, 13(24), 13935. https://doi.org/10.3390/su132413935

