Dynamics Variation of Soil Labile Organic Carbon Fractions in Different Wetland Types of Dongting Lake under Seasonal Water Level Fluctuation
Abstract
:1. Introduction
2. Materials and Methods
2.1. Study Area
2.2. Study Sites and Soil Sampling
2.3. Sample Analyses
2.3.1. Soil Physical-Chemical Analysis
2.3.2. Determination of Soil LOC Fractions
2.3.3. Soil Enzyme Activity Analysis
2.4. Statistical Analysis
3. Results
3.1. Dynamic Changes of Soil Nutrients under Seasonal Water Level Fluctuation
3.2. Seasonal Distribution Characteristics of Soil LOC Fractions among Wetlands
3.3. The Proportions of Soil DOC, MBC and EOC Content in SOC of Different Wetland Types
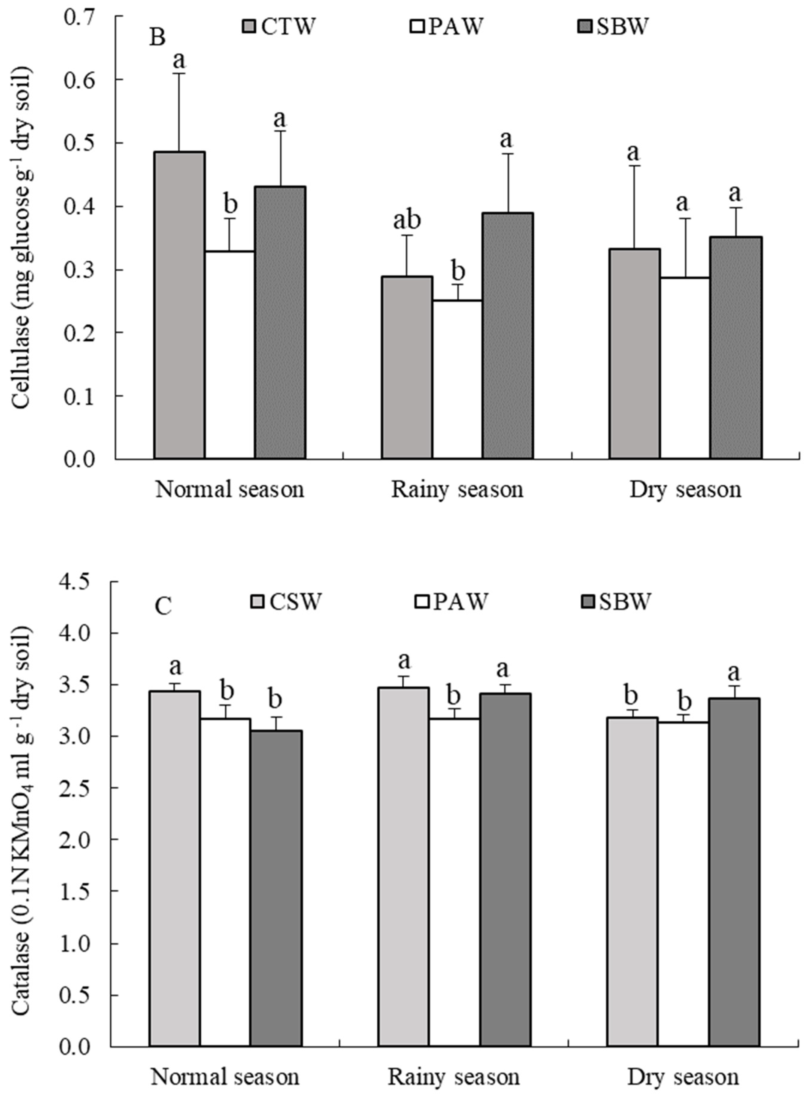
3.4. Seasonal Dynamic Changes of Soil Enzyme Activity in Different Wetland Types
3.5. Correlation Analysis of Soil LOC Fractions with Soil Nutrient and Enzyme Activity for Different Wetlands across Three Seasons
4. Discussion
4.1. Characteristics of Seasonal Variation in Soil LOC Fractions across Different Wetland Types
4.2. The Difference in Proportions of Soil LOC Fractions in SOC among Different Wetland Types
4.3. Effects of Soil Nutrients and Enzyme Activity on Soil LOC Fractions
5. Conclusions
Author Contributions
Funding
Institutional Review Board Statement
Informed Consent Statement
Data Availability Statement
Acknowledgments
Conflicts of Interest
References
- Mitsch, W.J.; Bernal, B.; Nahlik, A.M.; Mander, Ü.; Zhang, L.; Anderson, C.J.; Rgensen, S.E.J.; Brix, H. Wetlands, carbon, and climate change. Landsc. Ecol. 2013, 28, 583–597. [Google Scholar] [CrossRef]
- Perez-Rojas, J.; Moreno, F.; Quevedo, J.C.; Villa, J. Soil organic carbon stocks influvial and isolated tropical wetlands from Colombia. Catena 2019, 179, 139–148. [Google Scholar] [CrossRef]
- Dong, H.Y.; Qian, L.W.; Yan, J.F.; Wang, L. Evaluation of the carbon accumulation capability and carbon storage of different types of wetlands in the Nanhui tidal flat of the Yangtze River estuary. Environ. Monit. Assess. 2020, 192, 585. [Google Scholar] [CrossRef] [PubMed]
- Bhattacharyya, R.; Kundu, S.; Srivastva, A.K.; Gupta, H.S.; Prakesh, V.; Bhatt, J.C. Long term fertilization effects on soil organic carbon pools in a sandy loam soil of the Indian sub-Himalayas. Plant Soil 2011, 341, 109–124. [Google Scholar] [CrossRef]
- Silveira, M.; Comerford, N.; Reddy, K.; Cooper, W.; El-Rifai, H. Characterization of soil organic carbon pools by acid hydrolysis. Geoderma 2008, 144, 405–414. [Google Scholar] [CrossRef]
- Liu, X.; Rashti, M.R.; Dougall, A.; Esfandbod, M.; Zwieten, V.L.; Chen, C. Subsoil application of compost improved sugarcane yield through enhanced supply and cycling of soil labile organic carbon and nitrogen in an acidic soil at tropical Australia. Soil Tillage Res. 2018, 180, 73–81. [Google Scholar] [CrossRef]
- Pang, D.; Cui, M.; Liu, Y.; Wang, G. Responses of soil labile organic carbon fractions and stocks to different vegetation restoration strategies in degraded karst ecosystems of southwest China. Ecol. Eng. 2019, 138, 391–402. [Google Scholar] [CrossRef]
- Thaysen, E.M.; Reinsch, S.; Larsen, K.S.; Ambus, P. Decrease in heathland soil labile organic carbon under future atmospheric and climatic conditions. Biogeochemistry 2017, 133, 17–36. [Google Scholar] [CrossRef] [Green Version]
- Guo, J.; Wang, B.; Wang, G.B.; Wu, Y.Q.; Cao, F.L. Vertical and seasonal variations of soil carbon pools in ginkgo agroforestry systems in eastern China. Catena 2018, 171, 450–459. [Google Scholar] [CrossRef]
- Li, Z.Q.; Zhao, B.Z.; Hao, X.Y.; Zhang, J.B. Effects of residue incorporation and plant growth on soil labile organic carbon and microbial function and community composition under two soil moisture levels. Environ. Sci. Pollut. Res. Int. 2017, 24, 18849–18859. [Google Scholar] [CrossRef]
- Zhao, S.X.; Ta, N.; Li, Z.H.; Yang, Y.; Zhang, X.; Liu, D.; Zhang, A.; Wang, X.D. Varying pyrolysis temperature impacts application effects of biochar on soil labile organic carbon and humic fractions. Appl. Soil Ecol. 2018, 123, 484–493. [Google Scholar] [CrossRef]
- Sippo, J.Z.; Maher, D.T.; Schulz, K.G.; Sanders, C.J.; McMahon, A.; Tucker, J.; Santos, I.R. Carbon outwelling across the shelf following a massive mangrove dieback in Australia: Insights from radium isotopes. Geochim. Cosmochim. Acta 2019, 253, 142–158. [Google Scholar] [CrossRef]
- Ma, W.W.; Li, G.; Wu, J.H.; Xu, G.R.; Wu, J.Q. Response of soil labile orgainc carbon fractons and carbon-cycle enzyme activities to vegetation degradation in a wet meadow on the Qinghai-Tibet Plateau. Geoderma 2020, 377, 114565. [Google Scholar] [CrossRef]
- Zeraatpishe, M.; Khormali, F. Carbon stock and mineral factors controlling soil organic carbon in a climatic gradient, Golestan province. J. Soil Sci. Plant Nutr. 2012, 12, 637–654. [Google Scholar] [CrossRef]
- Soucėmarianadin, L.N.; Cecillon, L.; Guenet, B.; Chenu, C.; Baudin, F.; Nicolas, M.; Girardin, C.; Barre, P. Environmental factors controlling soil organic carbon stability in French forest soils. Plant Soil 2018, 426, 267–286. [Google Scholar] [CrossRef]
- Yang, X.; Wang, D.; Lan, Y.; Meng, J.; Jiang, L.L. Labile organic carbon fractions and carbon pool management index in a 3-year field study with biochar amendment. J. Soils Sediments 2018, 18, 1569–1578. [Google Scholar] [CrossRef]
- Liu, S.L.; Jiang, Z.J.; Deng, Y.Q.; Wu, Y.C.; Zhao, C.Y.; Zhang, J.P.; Shen, Y.; Wang, X.P. Effects of seagrass leaf litter decomposition on sediment organic carbon compositon and the key transformation processes. Sci. China-Earth Sci. 2017, 60, 2108–2117. (In Chinese) [Google Scholar] [CrossRef]
- Lou, X.; Zhai, S.; Kang, B.; Hu, Y.; Hu, L. Rapid response of hydrological loss of DOC to water table drawdown and warming in Zoige peatland: Results from a mesocosm experiment. PLoS ONE 2014, 9, e109861. [Google Scholar]
- Fenner, N.; Freemana, C.; Reynolds, B. Hydrological effects on the diversity of phenolic degrading bacteria in a peatland: Implications for carbon cycling. Soil Biol. Biochem. 2005, 37, 1277–1287. [Google Scholar] [CrossRef]
- Yang, C.; Yang, L.; Ou, Y.Z. Organic carbon and its fractions in paddy soil as affected by different nutrient and water regimes. Geoderma 2005, 124, 133–142. [Google Scholar] [CrossRef]
- Chen, X.; Chen, H.Y.; Chen, X.; Wang, J.; Chen, B.; Wang, D.; Guan, Q. Soil labile organic carbon and carbon-cycle enzyme activities under different thinning intensities in Chinese fir plantations. Appl. Soil Ecol. 2016, 107, 162–169. [Google Scholar] [CrossRef]
- Peng, P.Q.; Zhang, W.J.; Tong, C.L.; Wang, X.L.; Cai, C.A. Vertical distribution of soil organic carbon, nitrogen and microbial biomass C, N at soil profiles in wetlands of Dongting Lake Floodplain. J. Soil Water Conserv. 2005, 19, 49–53. (In Chinese) [Google Scholar]
- Hou, Z.Y.; Chen, X.S.; Xie, Y.H.; Li, X. Characteristics of soil seed bank and its relationship with aboveground vegetation in Lake Dongting. J. Lake Sci. 2012, 24, 287–293. (In Chinese) [Google Scholar]
- Wang, L.J.; Wang, X.; Liu, L.S.; Zheng, B.H.; Li, L.Q. Multivariate analysis of water factors in Dongting Lake. Res. Environ. Sci. 2013, 26, 1–7. (In Chinese) [Google Scholar]
- Liu, X.H.; Liu, Y.; Lu, S.; Guo, X.; Lu, H.; Qin, P.; Bi, B.; Wan, Z.F.; Xi, B.D.; Zhang, T.T.; et al. Occurrence of typical antibiotics and source analysis based on PCAMLR model in the East Dongting Lake, China. Ecotoxicol. Environ. Saf. 2018, 163, 145–152. [Google Scholar] [CrossRef]
- Chen, X.S.; Li, X.; Xie, Y.H.; Li, F.; Hou, Z.Y.; Zeng, J. Combined influence of hydrological gradient and edaphic factors on the distribution of macrophyte communities in Dongting Lake wetlands. China. Wetl. Ecol. Manag. 2014, 23, 481–490. [Google Scholar] [CrossRef]
- Zhou, J.; Wan, R.; Wu, X.H.; Zhang, Y. Patterns of long-term distribution of typical wetland vegetation (1987–2016) and its response to hydrological processes in Lake Dongting. J. Lake Sci. 2020, 32, 1723–1735. (In Chinese) [Google Scholar]
- Lu, R.K. Soil Agrochemistry and Analytical Methods; Chinese Agricultural Science and Technology Press: Beijing, China, 2000. [Google Scholar]
- Jones, D.L.; Willett, V.B. Experimental evaluation of methods to quantify dissolved organic nitrogen (DON) and dissolved organic carbon (DOC) in soil. Soil Biol. Biochem. 2006, 38, 991–999. [Google Scholar] [CrossRef]
- Muqaddas, B.; Lewis, T.; Esfandbod, M.; Chen, C.G. Responses of labile soil organic carbon and nitrogen pools to long-term prescribed burning regimes in a wet sclerophyll forest of southeast Queensland, Australia. Sci. Total Environ. 2019, 647, 110–120. [Google Scholar] [CrossRef] [PubMed]
- Wang, Z.; Liu, S.S.; Chang, H.; Liu, Y.; Bu, Z. Impact of land use change on profile distributions of organic carbon fractions in peat and mineral soils in Northeast China. Catena 2017, 152, 1–8. [Google Scholar] [CrossRef]
- Guan, S.Y. Soil Enzymes and Their Research Methods; Agriculture Press: Beijing, China, 1986. (In Chinese) [Google Scholar]
- Li, Z.G.; Luo, Y.M.; Teng, Y. Research Methods of Soil and Environmental Microbiology; Science Press: Beijing, China, 2008. (In Chinese) [Google Scholar]
- Karhu, K.; Wall, A.; Vanhala, P.; Liski, J.; Esala, M.; Regina, K. Effects of afffforestation and deforestttation on boreal soil carbon stocks: Comparison of measured C stocks with Yasso07 model results. Geoderma 2011, 164, 33–45. [Google Scholar] [CrossRef]
- Kalbitz, K.; Solinger, S.; Park, J.H.; Michalzik, B.; Matzner, E. Controls on the dynamics of dissolved organic matter in soils: A review. Soil Sci. 2000, 165, 277–304. [Google Scholar] [CrossRef]
- Kaiser, K.; Guggenberger, Q.; Haumaier, L.; Zech, W. Seasonal variations in the chemical composition of dissolved organic matter in organic forest floor layer leachates of old-growth Scots pine (Pinus sylvestris L.) and European beech (Fagus sylvatica L.) stands in northeastern Bavaria, Gennany. Biogeochemistry 2001, 55, 103–143. [Google Scholar] [CrossRef]
- Song, Y.Y.; Song, C.C.; Tao, B.X.; Wang, J.Y.; Zhu, X.Y.; Wang, X.W. Short-term responses of soil enzyme activities and carbon mineralization to added nitrogen and litter in a freshwater marsh of Northeast China. Eur. J. Soil Biol. 2014, 61, 72–79. [Google Scholar] [CrossRef]
- Michalzik, B.; Tipping, E.; Mulder, J.; Lancho, J.F.G.; Matzner, E.; Brant, C.L.; Clarke, N.; Lofts, S. Modeling the production and transport of dissolved organic carbon in forest soils. Biogeochemistry 2003, 66, 241–264. [Google Scholar] [CrossRef]
- Borken, W.; Ahrens, B.; Schulz, C.; Zimmermann, L. Site-to-site variability and temporal trends of DOC concentrations and fluxes in temperate forest soils. Glob. Chang. Biol. 2011, 17, 2428–2443. [Google Scholar] [CrossRef]
- Fu, L.C.; Xie, J.S.; Xu, C.; Lv, S.K.; Chen, T.; Liu, X.F.; Yang, Y.S. Effects of rainfall intensity on runoff and water-soluble organic carbon in Castanopsis carlesii and Cunninghamia lanceolata plantations. J. Subtrop. Resour. Environ. 2014, 9, 9–14. [Google Scholar]
- Chen, J.L.; Zhong, X.F.; Liu, W.J.; Lin, J.H.; Chen, Z.; Chen, G.S. Seasonal dynamics of soil dissolved organic carbon content of urban park vegetations in Fuzhou. J. Subtrop. Resour. Environ. 2016, 11, 88–94. [Google Scholar]
- Yang, X.; Meng, J.; Lan, Y.; Chen, W.F.; Yang, T.X.; Yuan, J.; Liu, S.N.; Han, J. Effects of maize stover and its biochar on soil CO2 emissions and labile organic carbon fractions in Northeast China. Agric. Ecosyst. Environ. 2017, 240, 24–31. [Google Scholar] [CrossRef]
- McGill, W.B.; Cannon, K.R.; Robertson, J.A.; Cook, F.D. Dynamics of soil microbial biomass and water-soluble organic C in Breton L. after 50 years of cropping to two rotations. Can. J. Soil Sci. 1986, 66, 1–19. [Google Scholar] [CrossRef]
- Yu, X.L. Interactions between Soil Microbial Biomass Carbon and Soil Enzyme Activities in Momoge National Nature Reserve. J. Northeast For. Univ. 2020, 48, 59–63. [Google Scholar]
- Zhang, J.; Ma, L.; Ding, X.H.; Chen, X.R.; Ma, W. Seasonal dynamics of soil microbial biomass C and N in different habitats in Zhalong Wetland. Acta Ecol. Sin. 2014, 34, 3712–3719. (In Chinese) [Google Scholar]
- Yuan, Y.; Zhao, Z.Q.; Li, X.Z.; Wang, Y.Y.; Bai, Z.K. Characteristics of labile organic carbon fractions in reclaimed mine soils: Evidence from three reclaimed forests in the Pingshuo opencast coal mine, China. Sci. Total Environ. 2018, 613, 1196–1206. [Google Scholar] [CrossRef] [PubMed]
- Smith, J.L.; Paul, E.A. The Significance of Soil Microbial Biomass Estimations. In Soil Biochemistry; Bollag, J.M., Stotzky, G., Eds.; Marcel Dekker: New York, NY, USA, 1991. [Google Scholar]
- Sruthi, S.N.; Ramasamy, E.V. Enrichment of soil organic carbon by native earthworms in a patch of tropical soil, Kerala, India: First report. Sci. Rep. 2018, 8, 5784. [Google Scholar] [CrossRef] [PubMed]
- Barbhuiya, A.R.; Arunachalam, A.; Pandey, H.N.; Arunachalam, K.; Khan, M.L.; Nath, P.C. Dynamics of soil microbial biomass C, N and P in disturbed and undisturbed stands of a tropical wetevergreen forest. Eur. J. Soil Biol. 2004, 40, 113–121. [Google Scholar] [CrossRef]
- Fan, Y.X.; Yang, Y.S.; Yang, Z.J.; Xie, J.S.; Chen, G.S.; Zhong, X.J.; Guo, J.F. Seasonal dynamics and content of soil labile organic carbon of mid-subtropical evergreen broadleaved forest during natural succession. Acta Ecol. Sin. 2013, 33, 5751–5759. (In Chinese) [Google Scholar]
- Tosi, M.; Correa, O.S.; Soria, M.A.; Vogrig, J.A.; Sydorenko, O.; Montecchia, M.S. Land-use change affectes the functionality of soil microbial communities: A chronosequence approach in the Argentinian Yungas. Appl. Soil Ecol. 2016, 108, 118–127. [Google Scholar] [CrossRef]
- Wang, H.Y.; Wu, J.Q.; Li, G.; Yan, L.J. Changes in soil carbon fractions and enzyme activities under different vegetation types of the northern Loess Plateau. Ecol. Evol. 2020, 10, 12211–12223. [Google Scholar] [CrossRef]
- Bucheridge, K.M.; Banerjee, S.; Siciliano, S.D.; Grogan, P. The seasonal pattern of soil microbial community structure in mesic low arctic tundra. Soil Biol. Biochem. 2013, 65, 338–347. [Google Scholar] [CrossRef]
- Shao, X.; Yang, W.; Wu, M. Seasonal Dynamics of Soil Labile Organic Carbon and Enzyme Activities in Relation to Vegetation Types in Hangzhou Bay Tidal Flat Wetland. PLoS ONE 2015, 10, e0142677. [Google Scholar]
- Wan, Z.M.; Song, C.C.; Yang, G.S.; Huang, J.Y.; Wang, L.L.; Li, Y.C. The active soil organic carbon fraction and its relationship with soi lenzyme activity in different types of marshes in the Sanjiang Plain. Acta Sci. Circumst. 2009, 29, 406–412. (In Chinese) [Google Scholar]
- Lu, Y.; Xu, H. Distribution characteristic of soil organic carbon fraction in different types of wetland in Hongze Lake of China. Sci. World J. 2014, 2014, 487961. [Google Scholar] [CrossRef]
- Sugihara, S.; Funakawa, S.; Kilasara, M.; Kosaki, T. Effect of land management and soil texture on seasonal variations in soil microbial biomass in dry tropical agroecosystems in Tanzania. Appl. Soil Ecol. 2010, 44, 80–88. [Google Scholar] [CrossRef]
- Cui, D.; Yan, J.J.; Liu, H.J.; Chen, C. Soil labile organic carbon fractions and the differences of their concentrations in different types of wetlands in Yili valley. Chin. J. Ecol. 2019, 38, 2087–2093. (In Chinese) [Google Scholar]
- Huo, L.; Pang, H.; Zhao, Y.; Wang, J.; Lu, C.; Li, Y. Buried straw layer plus plastic mulching improves soil organic carbon fractions in an arid saline soil from Northwest China. Soil Tillage Res. 2017, 165, 286–293. [Google Scholar] [CrossRef]
- Ross, D.J. Soil microbial biomass estimated by the fumigation-incubation procedure: Seasonal fluctuations and influence of soil moisture content. Soil Biol. Biochem. 1987, 19, 397–404. [Google Scholar] [CrossRef]
- Wang, L.X.; Yan, B.X.; Prasher, S.O.; Ou, Y.; Bian, Y.; Cui, H. The response of microbial composition and enzyme activities to hydrological gradients in a riparian wetland. J. Soil Sediment. 2019, 19, 4031–4041. [Google Scholar] [CrossRef]
- García-Díaz, A.; Marqués, M.J.; Sastre, B.; Bienes, R. Labile and stable soil organic carbon and physical improvements using groundcovers in vineyards from central Spain. Sci. Total Environ. 2018, 621, 387–397. [Google Scholar] [CrossRef] [Green Version]
- Zhao, Z.Z.; Li, Y.; Zhao, Z.Y.; Xing, Y.L.; Liu, Y.Y. Effects of Land Use Patterns on Soil Organic Carbon and Easily Oxidized Organic Carbon in the Eastern Part of Hainan Island. Trop. Geogr. 2019, 39, 144–152. [Google Scholar]
- Gu, X.; Zhang, S.J.; Xiang, W.H.; Li, L.D.; Liu, Z.D.; Sun, W.J.; Fang, X. Seasonal dynamics of active soil organic carbon in four subtropical forests in Southern China. Chin. J. Plant Ecol. 2016, 40, 1064–1076. [Google Scholar]
- Xiao, Y.; Huang, Z.; Lu, X. Changes of soil labile organic carbon fractions and their relation to soil microbial characteristics in four typical wetlands of Sanjiang plain, Northeast China. Ecol. Eng. 2015, 82, 381–389. [Google Scholar] [CrossRef]
- Li, S.; Zhang, S.R.; Pu, Y.L.; Li, T.; Xu, X.X.; Jia, Y.X.; Deng, O.P.; Gong, G.S. Dynamics of soil labile organic carbon fractions and C-cycle enzyme activities under straw mulch in Chengdu Plain. Soil Tillage Res. 2016, 155, 289–297. [Google Scholar] [CrossRef]





| Water Level Periods | Site | pH | Moisture (g·100g−1) | SOC (g·kg−1) | TN (g·kg−1) | TP (g·kg−1) | TK (g·kg−1) | C/N Ratio |
|---|---|---|---|---|---|---|---|---|
| Normal season | CTW | 7.9 ± 0.05 a | 36.7 ± 8.19 a | 11.98 ± 2.76 a | 1.10 ± 0.12 b | 0.95 ± 0.04 a | 22.30 ± 2.23 a | 10.89 ± 1.15 a |
| PAW | 7.8 ± 0.09 a | 33.3 ± 2.88 a | 17.56 ± 4.30 a | 1.79 ± 0.21 a | 1.02 ± 0.02 a | 24.57 ± 0.70 a | 9.81 ± 1.09 a | |
| SBW | 7.7 ± 0.20 a | 30.1 ± 5.46 a | 15.33 ± 4.55 a | 1.68 ± 0.23 a | 0.98 ± 0.07 a | 22.41 ± 2.72 a | 9.13 ± 0.96 a | |
| Rainy season | CTW | 7.9 ± 0.00 a | 44.9 ± 2.32 a | 9.88 ± 1.40 b | 0.93 ± 0.03 b | 0.92 ± 0.02 b | 25.20 ± 1.03 a | 10.62 ± 1.29 a |
| PAW | 7.7 ± 0.00 b | 40.2 ± 1.89 b | 19.47 ± 1.12 a | 1.67 ± 0.10 a | 1.01 ± 0.05 a | 23.08 ± 0.94 ab | 11.66 ± 1.05 a | |
| SBW | 7.8 ± 0.03 a | 35.2 ± 0.45 c | 13.00 ± 2.70 b | 1.18 ± 0.27 b | 0.91 ± 0.01 b | 21.51 ± 0.44 b | 11.02 ± 1.00 a | |
| Dry season | CTW | 7.7 ± 0.00 a | 34.0 ± 3.93 a | 21.38 ± 1.67 a | 1.80 ± 0.14 a | 1.00 ± 0.06 a | 20.56 ± 0.97 b | 11.88 ± 0.43 a |
| PAW | 7.6 ± 0.03 b | 33.2 ± 0.27 a | 20.38 ± 3.20 a | 1.98 ± 0.31 a | 1.04 ± 0.01 a | 23.94 ± 0.57 a | 10.29 ± 1.27 a | |
| SBW | 7.7 ± 0.02 a | 28.0 ± 2.43 a | 14.68 ± 2.43 b | 1.35 ± 0.11 b | 0.93 ± 0.02 b | 23.14 ± 1.26 a | 10.87 ± 0.84 a |
| Seasons | Wetland Types | DOC/SOC (%) | MBC/SOC (%) | EOC/SOC (%) |
|---|---|---|---|---|
| Normal season (May) | CTW | 0.47 ± 0.08 a | 1.16 ± 0.21 a | 22.18 ± 1.24 a |
| PAW | 0.47 ± 0.05 a | 1.86 ± 0.35 a | 24.99 ± 2.03 a | |
| SBW | 0.41 ± 0.07 a | 1.30 ± 0.14 a | 26.36 ± 2.87 a | |
| Rainy season (August) | CTW | 0.93 ± 0.10 a | 0.70 ± 0.09 b | 12.47 ± 2.56 b |
| PAW | 1.05 ± 0.24 a | 1.40 ± 0.12 a | 16.97 ± 1.65 a | |
| SBW | 0.89 ± 0.13 a | 1.25 ± 0.14 a | 17.92 ± 1.02 a | |
| Dry season (December) | CTW | 1.07 ± 0.22 a | 1.23 ± 0.11 a | 19.32 ± 1.86 a |
| PAW | 0.91 ± 0.18 a | 1.55 ± 0.24 a | 20.43 ± 2.03 a | |
| SBW | 0.57 ± 0.07 b | 1.46 ± 0.18 a | 18.16 ± 1.11 a |
| Seasons | LOC Fractions | SOC | TN | TP | TK | Invertase | Cellulase | Catalase |
|---|---|---|---|---|---|---|---|---|
| Normal season | DOC | 0.977 ** | 0.879 ** | 0.624 | −0.116 | 0.854 ** | −0.407 | −0.495 |
| MBC | 0.500 * | 0.669 * | 0.496 | 0.382 | 0.779 * | −0.757 * | −0.640 | |
| EOC | 0.722 * | 0.739 * | 0.702 * | −0.177 | 0.583 * | −0.430 | −0.850 ** | |
| rainy season | DOC | 0.980 ** | 0.922 ** | 0.921 ** | −0.219 | 0.867 ** | −0.577 | −0.850 ** |
| MBC | 0.817 ** | 0.863 ** | 0.709 * | −0.693 * | 0.809 ** | −0.086 | −0.755 * | |
| EOC | 0.934 ** | 0.951 ** | 0.762 * | −0.517 | 0.848 ** | −0.314 | −0.774 * | |
| Dry season | DOC | 0.810 ** | 0.695 * | 0.620 | −0.467 | 0.155 | −0.230 | −0.773 * |
| MBC | 0.477 * | 0.498 | 0.803 ** | 0.311 | 0.493 | −0.275 | −0.731 * | |
| EOC | 0.821 ** | 0.623 | 0.797 * | −0.076 | 0.258 | −0.202 | −0.910 ** |
Publisher’s Note: MDPI stays neutral with regard to jurisdictional claims in published maps and institutional affiliations. |
© 2021 by the authors. Licensee MDPI, Basel, Switzerland. This article is an open access article distributed under the terms and conditions of the Creative Commons Attribution (CC BY) license (https://creativecommons.org/licenses/by/4.0/).
Share and Cite
Xiao, Y.; Huang, Z.; Li, Y.; Ling, Y.; Xiao, H. Dynamics Variation of Soil Labile Organic Carbon Fractions in Different Wetland Types of Dongting Lake under Seasonal Water Level Fluctuation. Sustainability 2021, 13, 13836. https://doi.org/10.3390/su132413836
Xiao Y, Huang Z, Li Y, Ling Y, Xiao H. Dynamics Variation of Soil Labile Organic Carbon Fractions in Different Wetland Types of Dongting Lake under Seasonal Water Level Fluctuation. Sustainability. 2021; 13(24):13836. https://doi.org/10.3390/su132413836
Chicago/Turabian StyleXiao, Ye, Zhigang Huang, Youfeng Li, Yulin Ling, and Hanxi Xiao. 2021. "Dynamics Variation of Soil Labile Organic Carbon Fractions in Different Wetland Types of Dongting Lake under Seasonal Water Level Fluctuation" Sustainability 13, no. 24: 13836. https://doi.org/10.3390/su132413836
APA StyleXiao, Y., Huang, Z., Li, Y., Ling, Y., & Xiao, H. (2021). Dynamics Variation of Soil Labile Organic Carbon Fractions in Different Wetland Types of Dongting Lake under Seasonal Water Level Fluctuation. Sustainability, 13(24), 13836. https://doi.org/10.3390/su132413836
