Compressive Strength of Sustainable Geopolymer Concrete Composites: A State-of-the-Art Review
Abstract
:1. Introduction
2. Research Significance
3. Methodology
4. Mixture Proportion Parameters
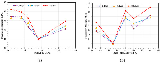
4.1. Chemical Composition of Fly Ash (SiO2/Al2O3) (Si/Al)
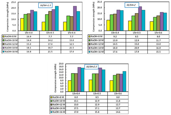
4.2. Alkaline Solution to the Binder Ratio (l/b)
4.3. Superplasticizer Dosage and Extra Water
4.4. Fly Ash (FA) Content
4.5. Aggregate Content
4.6. Na2SiO3/NaOH Ratio or SS/SH Ratio
4.7. Sodium Hydroxide Concentration (Molarity)
4.8. Curing Condition and Curing Ages
5. Research Needs
6. Discussion
- As a result of the above systematic comprehensive review of the literature, geopolymer concrete can be defined as cementless concrete that uses industrial or agro by-product ashes as the main binder instead of ordinary Portland cement, making it an eco-efficient and environmentally friendly construction material. This type of concrete is affected by many mixed proportion parameters as well as curing conditions. Further, this type of concrete reduces energy consumption, waste disposal, and construction cost.
- The alkaline solution to binder ratio (l/b) is the sum of sodium hydroxide and sodium silicate content to the entire weight or volume of the fly ash or other source binder materials in the mixture proportions of the geopolymer concrete mixtures. This ratio has a considerable impact on the σc of the FA-BGPC. According to several studies, the σc improved as the l/b increased up to a certain point, then dropped. However, on the other hand, some researchers noticed a decrease in σc as the l/b was raised. Decreasing l/b ratio will lead to accelerating in the alkaline activation process of FA-BGPC due to the decrease of consistency of the geopolymer concrete mixture, and in this case, the calcium aluminate silicate hydrate (C-A-S-H) gel and sodium aluminate silicate hydrate (N-A-S-H) gel can be generated quickly in the geopolymer concrete mixture, and as a consequence participated in the development of early-age σc of FA-BGPC. Therefore, it is suggested to use the ratio of l/b in the range of 0.35 to 0.55 for getting an FA-BGPC mixture with the required workability and strength.
- Superplasticizer and water content are two key parameters that govern the workability behavior of the FA-BGPC and hence affect the hardened characteristics of the geopolymer concrete. Like conventional concrete, increasing water content or extra water to the FA-BGPC will lead to decreasing the σc of the geopolymer concrete. This is due to water evaporation in the geopolymer concrete mixture, which results in the formation of pores and cavities within the geopolymer concrete matrix as the geopolymer concrete specimens cure at high temperatures within ovens. Furthermore, excess water may affect the alkalinity environment of the fly ash-based geopolymer concrete matrix, thereby slowing the polymerization process between the alkaline and source materials. While the addition of a superplasticizer increases the σc of FA-BGPC composites up to a point, and it has a detrimental influence on σc above that point.
- Fly ash is one of the most common types of source material binders to produce geopolymer concrete composites. The amount of fly ash content in the geopolymer concrete mixture influences the composite’s σc. As the fly ash content increased in the geopolymer concrete mixture, the σc was improved. This is because the higher content of fly ash in the geopolymer concrete mixture gives a denser and compacted microstructure to the geopolymer concrete matrix. Moreover, the particles of fly ash facilitate movement among the aggregate particles owing to the spherical shape and smooth surface of the particles of fly ash; on the other hand, the volume of fine fraction particles in the geopolymer concrete matrix increased as the fly ash content increased, thus, in turn, fill the voids and pores between the aggregate particles and hence σc was improved. In addition, fly ash is the main source of aluminosilicate source materials in the geopolymer concrete mixture, which silica and alumina increase as the amount of fly ash content increases; thus, they affect the reactions in the polymerization process, which, in turn, increased C-A-S-H and N-A-S-H gels, and finally, σc was improved.
- Fine and coarse aggregates have the same effect on the performance of geopolymer concrete mixtures as they do on conventional concrete mixtures. As a result, it was proposed that good aggregate quality be used to make good geopolymer concrete composites and that roughly 65–75% aggregate content be used to make 1.0 m3 of FA-BGPC.
- The amount of alkaline solution and the ratio of sodium silicate to sodium hydroxide (SS/SH) considerably affect the σc of FA-BGPC. The σc of FA-BGPC increases as the ratio of SS/SH increases up to a limited amount; this increase in the σc is due to the improvement in the microstructure of geopolymer concrete at the required quantity of sodium silicates content, while, at a high ratio of SS/SH, reduction in the σc happened due to the fact that there is not a sufficient amount of sodium hydroxide present in the mixture to completion of dissolution process during the formation of geopolymer or due to the excess OH- concentration in the geopolymer concrete mixture. On the other hand, the excess of the sodium content can form sodium carbonate by atmospheric carbonation, and this may disrupt the polymerization process, and as a result, σc was decreased. Therefore, it is suggested to use the ratio of SS/SH in the range of 1.5–2.5 for getting FA-BGPC with superior σc.
- The value of the concentration of sodium hydroxide solution has an appreciable effect on the σc of FA-BGPC. Because it leads to increased sodium ions in the geopolymer concrete mixture, which was significant for the polymerization process, sodium ions were used to balance the charges and formed alumino-silicate networks as a source materials binder in the geopolymer concrete mixture. Therefore, it was suggested to use the molarity of sodium hydroxide in the range of 10–16 M to produce the FA-BGPC mixtures with acceptable σc behavior.
- The σc of FA-BGPC is significantly affected by the curing temperature and duration. Longer curing time and curing at high temperatures (50–100 °C) increases the σc of FA-BGPC, although the increase in strength may be insignificant for curing at more than 60 °C and for periods longer than 48 h. Therefore, for heat curing regimes, temperatures between 50–80℃ and curing time of 24 h are widely accepted values for a successful polymerization process. In addition, among the curing condition methods (oven, steam, and ambient), oven curing techniques better influence the σc of FA-BGPC composites.
7. Conclusions
- Geopolymer concrete with acceptable σc values could be produced by using fly ash as source binder materials.
- The alkaline solution to the binder ratio (l/b) significantly impacts the σc of the FA-BGPC. Some researchers believe that the σc was improved as the l/b increased. At the same time, the reduction in the σc was reported by many researchers as the l/b was increased.
- Increasing water content or extra water in the FA-BGPC will decrease the σc of the geopolymer concrete. In comparison, superplasticizer content improves σc of the FA-BGPC composites up to a limited value of around 2.5% of fly ash content.
- The σc of FA-BGPC increases as the ratio of SS/SH increases up to around 2.5, then decreases.
- It was suggested to use the molarity of sodium hydroxide in the range of 10–16 M to produce the FA-BGPC mixtures with acceptable σc behavior.
- Among the curing methods, the heat curing regime is the best one for getting early and high σc in FA-BGPC.
- It was suggested to use the oven curing temperatures between 50–80 °C and curing time of 24 h for a successful polymerization process and getting acceptable σc in FA-BGPC.
- Recommendation: Detailed investigations on fly ash-based geopolymer concrete’s fresh and mechanical properties can be found in the literature. However, studies which are focused on the other properties of this composite are still limited. For this composite to be acceptable by the construction industry, some durability properties such as water permeability, gas permeability, chloride resistance, and freeze-thaw resistance should be examined comprehensively. Finally, the fatigue performance of fly ash-based geopolymer concrete needs more research and experimental investigations.
Author Contributions
Funding
Institutional Review Board Statement
Informed Consent Statement
Data Availability Statement
Conflicts of Interest
References
- Mahasenan, N.; Smith, S.; Humphreys, K. The cement industry and global climate change: Current and potential future cement industry CO2 emissions. In Greenhouse Gas Control Technologies-6th International Conference; Elsevier: Pergamon, Turkey, 2003; pp. 995–1000. [Google Scholar]
- Madheswaran, C.K.; Gnanasundar, G.; Gopalakrishnan, N. Effect of molarity in geopolymer concrete. Int. J. Civ. Struct. Eng. 2013, 4, 106–115. [Google Scholar]
- Yu, Q.L. Application of nanomaterials in alkali-activated materials. In Nanotechnology in Eco-Efficient Construction; Woodhead Publishing: Sawston, UK, 2019; pp. 97–121. [Google Scholar]
- Guo, X.; Shi, H.; Dick, W.A. Compressive strength and microstructural characteristics of class C fly ash geopolymer. Cem. Concr. Compos. 2010, 32, 142–147. [Google Scholar] [CrossRef]
- Mehta, P.K. Reducing the environmental impact of concrete. Concr. Int. 2001, 23, 61–66. [Google Scholar]
- Mejeoumov, G.G. Improved Cement Quality and Grinding Efficiency by Means of Closed Mill Circuit Modeling; Texas A&M University: College Station, TX, USA, 2007. [Google Scholar]
- Shaikh, F.U.A. Mechanical and durability properties of fly ash geopolymer concrete containing recycled coarse aggregates. Int. J. Sustain. Built Environ. 2016, 5, 277–287. [Google Scholar] [CrossRef] [Green Version]
- Shalini, A.; Gurunarayanan, G.; Sakthivel, S. Performance of rice husk ash in geopolymer concrete. Int. J. Innov. Res. Sci. Tech. 2016, 2, 73–77. [Google Scholar]
- Han, B.; Yu, X.; Ou, J. Self-Sensing Concrete in Smart Structures; Butterworth-Heinemann: Oxford, UK, 2014. [Google Scholar]
- Provis, J.L.; Palomo, A.; Shi, C. Advances in understanding alkali-activated materials. Cem. Concr. Res. 2015, 78, 110–125. [Google Scholar] [CrossRef]
- Abdel-Gawwad, H.A.; Abo-El-Enein, S.A. A novel method to produce dry geopolymer cement powder. HBRC J. 2016, 12, 13–24. [Google Scholar] [CrossRef] [Green Version]
- Davidovits, J. Geopolymer Chemistry and Applications, 4th ed.; Geopolymer Institute: Saint-Quentin, France, 2015. [Google Scholar]
- Davidovits, J. Geoplolymer Chemistry and Application, 2nd ed.; Geopolymer Institute: Saint-Quentin, France, 2008. [Google Scholar]
- Palomo, A.; Grutzeck, M.W.; Blanco, M.T. Alkali-activated fly ashes: A cement for the future. Cem. Concr. Res. 1999, 29, 1323–1329. [Google Scholar] [CrossRef]
- Abdullah, M.M.A.; Hussin, K.; Bnhussain, M.; Ismail, K.N.; Ibrahim, W.M.W. Mechanism and chemical reaction of fly ash geopolymer cement—A review. Int. J. Pure Appl. Sci. Technol. 2011, 6, 35–44. [Google Scholar]
- Liew, Y.M.; Heah, C.Y.; Kamarudin, H. Structure and properties of clay-based geopolymer cements: A review. Prog. Mater. Sci. 2016, 83, 595–629. [Google Scholar] [CrossRef]
- Duxson, P.; Fernández-Jiménez, A.; Provis, J.L.; Lukey, G.C.; Palomo, A.; van Deventer, J.S. Geopolymer technology: The current state of the art. J. Mater. Sci. 2007, 42, 2917–2933. [Google Scholar] [CrossRef]
- Ravitheja, A.; Kumar, N.K. A study on the effect of nano clay and GGBS on the strength properties of fly ash based geopolymers. Mater. Today Proc. 2019, 19, 273–276. [Google Scholar] [CrossRef]
- Mohammed, A.A.; Ahmed, H.U.; Mosavi, A. Survey of Mechanical Properties of Geopolymer Concrete: A Comprehensive Review and Data Analysis. Materials 2021, 14, 4690. [Google Scholar] [CrossRef] [PubMed]
- Diaz, E.I.; Allouche, E.N.; Eklund, S. Factors affecting the suitability of fly ash as source material for geopolymers. Fuel 2010, 89, 992–996. [Google Scholar] [CrossRef]
- Yip, C.K.; Lukey, G.C.; Provis, J.L.; van Deventer, J.S. Effect of calcium silicate sources on geopolymerisation. Cem. Concr. Res. 2008, 38, 554–564. [Google Scholar] [CrossRef]
- Sumesh, M.; Alengaram, U.J.; Jumaat, M.Z.; Mo, K.H.; Alnahhal, M.F. Incorporation of nano-materials in cement composite and geopolymer based paste and mortar–A review. Constr. Build. Mater. 2017, 148, 62–84. [Google Scholar] [CrossRef]
- Weil, M.; Dombrowski, K.; Buchwald, A. Life-cycle analysis of geopolymer. In Geopolymers; Woodhead Publishing: Sawston, UK, 2009; pp. 194–210. [Google Scholar]
- Omer, S.A.; Demirboga, R.; Khushefati, W.H. Relationship between compressive strength and UPV of GGBFS based geopolymer mortars exposed to elevated temperatures. Constr. Build. Mater. 2015, 94, 189–195. [Google Scholar] [CrossRef]
- Feng, Y.; Zhang, Q.; Chen, Q.; Wang, D.; Guo, H.; Liu, L.; Yang, Q. Hydration and strength development in blended cement with ultrafine granulated copper slag. PLoS ONE 2019, 14, e0215677. [Google Scholar] [CrossRef] [PubMed]
- Pavithra, P.E.; Reddy, M.S.; Dinakar, P.; Rao, B.H.; Satpathy, B.K.; Mohanty, A.N. A mix design procedure for geopolymer concrete with fly ash. J. Clean. Prod. 2016, 133, 117–125. [Google Scholar] [CrossRef]
- Gorai, B.; Jana, R.K. Characteristics and utilisation of copper slag—A review. Resour. Conserv. Recycl. 2003, 39, 299–313. [Google Scholar] [CrossRef]
- Ahmaruzzaman, M. A review on the utilization of fly ash. Prog. Energy Combust. Sci. 2010, 36, 327–363. [Google Scholar] [CrossRef]
- ASTM-C618. Standard Specification for Coal Fly Ash and Raw or Calcined Natural Pozzolan for Use as a Mineral Admixture in Concretein Concrete; ASTM International: West Conshohocken, PA, USA, 1999. [Google Scholar]
- Bankowski, P.; Zou, L.; Hodges, R. Reduction of metal leaching in brown coal fly ash using geopolymers. J. Hazard. Mater. 2004, 114, 59–67. [Google Scholar] [CrossRef] [PubMed]
- Antiohos, S.K.; Tsimas, S. A novel way to upgrade the coarse part of a high calcium fly ash for reuse into cement systems. Waste Manag. 2007, 27, 675–683. [Google Scholar] [CrossRef] [PubMed]
- Neupane, G.; Donahoe, R.J. Leachability of elements in alkaline and acidic coal fly ash samples during batch and column leaching tests. Fuel 2013, 104, 758–770. [Google Scholar] [CrossRef]
- Nyale, S.M.; Eze, C.P.; Akinyeye, R.O.; Gitari, W.M.; Akinyemi, S.A.; Fatoba, O.O.; Petrik, L.F. The leaching behaviour and geochemical fractionation of trace elements in hydraulically disposed weathered coal fly ash. J. Environ. Sci. Health 2014, 49, 233–242. [Google Scholar] [CrossRef] [PubMed]
- Yao, Z.T.; Ji, X.S.; Sarker, P.K.; Tang, J.H.; Ge, L.Q.; Xia, M.S.; Xi, Y.Q. A comprehensive review on the applications of coal fly ash. Earth-Sci. Rev. 2015, 141, 105–121. [Google Scholar] [CrossRef] [Green Version]
- Shibayama, A.; Kim, Y.; Harjanto, S.; Sugai, Y.; Okada, K.; Fujita, T. Remediation of contaminated soil by fly ash containing dioxins from incineration by using flotation. Mater. Trans. 2005, 46, 990–995. [Google Scholar] [CrossRef] [Green Version]
- Nomura, Y.; Fujiwara, K.; Terada, A.; Nakai, S.; Hosomi, M. Prevention of lead leaching from fly ashes by mechanochemical treatment. Waste Manag. 2010, 30, 1290–1295. [Google Scholar] [CrossRef] [PubMed]
- Boiny, H.U.; Alshkane, Y.M.; Rafiq, S.K. Mechanical properties of cement mortar by using polyethylene terephthalate fibers. In Proceedings of the 5th National and 1st International Conference on Modern Materials and Structures in Civil Engineering, Tehran, Iran, 26–27 October 2016. [Google Scholar]
- Alshkane, Y.M.; Rafiq, S.K.; Boiny, H.U. Correlation between Destructive and Non-Destructive Tests on the Mechanical Properties of Different Cement Mortar Mixtures incorporating Polyethylene Terephthalate Fibers. Sulaimania J. Eng. Sci. 2017, 4, 67–73. [Google Scholar] [CrossRef]
- Ahmed, H.U.; Faraj, R.H.; Hilal, N.; Mohammed, A.A.; Sherwani, A.F.H. Use of recycled fibers in concrete composites: A systematic comprehensive review. Compos. Part B Eng. 2021, 215, 108769. [Google Scholar] [CrossRef]
- Bouzoubaa, N.; Lachemi, M. Self-compacting concrete incorporating high volumes of class F fly ash: Preliminary results. Cem. Concr. Res. 2001, 31, 413–420. [Google Scholar] [CrossRef]
- Dinakar, P.; Babu, K.G.; Santhanam, M. Mechanical properties of high-volume fly ash self-compacting concrete mixtures. Struct. Concr. 2008, 9, 109–116. [Google Scholar] [CrossRef]
- Barbhuiya, S. Effects of fly ash and dolomite powder on the properties of self-compacting concrete. Constr. Build. Mater. 2011, 25, 3301–3305. [Google Scholar] [CrossRef]
- Ahmed, H.U. Influence of Hydrated Lime Addition on Self-Healing Capability of High-Volume Fly Ash Incorporated Cementitious Composites. Master’s Thesis, Hasan Kalyoncu University, Gaziantep, Turkey, 2014. [Google Scholar]
- Yildirim, G.; Sahmaran, M.; Ahmed, H.U. Influence of hydrated lime addition on the self-healing capability of high-volume fly ash incorporated cementitious composites. J. Mater. Civ. Eng. 2015, 27, 04014187. [Google Scholar] [CrossRef]
- Moffatt, E.G.; Thomas, M.D.; Fahim, A. Performance of high-volume fly ash concrete in marine environment. Cem. Concr. Res. 2017, 102, 127–135. [Google Scholar] [CrossRef]
- Anjos, M.A.; Camões, A.; Campos, P.; Azeredo, G.A.; Ferreira, R.L. Effect of high volume fly ash and metakaolin with and without hydrated lime on the properties of self-compacting concrete. J. Build. Eng. 2020, 27, 100985. [Google Scholar] [CrossRef]
- Roychand, R.; Li, J.; De Silva, S.; Saberian, M.; Law, D.; Pramanik, B.K. Development of zero cement composite for the protection of concrete sewage pipes from corrosion and fatbergs. Resour. Conserv. Recycl. 2021, 164, 105166. [Google Scholar] [CrossRef]
- Jiang, X.; Xiao, R.; Ma, Y.; Zhang, M.; Bai, Y.; Huang, B. Influence of waste glass powder on the physico-mechanical properties and microstructures of fly ash-based geopolymer paste after exposure to high temperatures. Constr. Build. Mater. 2020, 262, 120579. [Google Scholar] [CrossRef]
- Wulandari, K.D.; Ekaputri, J.J.; Kurniawan, S.B.; Primaningtyas, W.E.; Abdullah, S.R.S.; Ismail, N.I.; Imron, M.F. Effect of microbes addition on the properties and surface morphology of fly ash-based geopolymer paste. J. Build. Eng. 2021, 33, 101596. [Google Scholar] [CrossRef]
- Shill, S.K.; Al-Deen, S.; Ashraf, M.; Hutchison, W. Resistance of fly ash based geopolymer mortar to both chemicals and high thermal cycles simultaneously. Constr. Build. Mater. 2020, 239, 117886. [Google Scholar] [CrossRef]
- Sivasakthi, M.; Jeyalakshmi, R.; Rajamane, N.P. Fly ash geopolymer mortar: Impact of the substitution of river sand by copper slag as a fine aggregate on its thermal resistance properties. J. Clean. Prod. 2021, 279, 123766. [Google Scholar] [CrossRef]
- Noushini, A.; Castel, A.; Aldred, J.; Rawal, A. Chloride diffusion resistance and chloride binding capacity of fly ash-based geopolymer concrete. Cem. Concr. Compos. 2020, 105, 103290. [Google Scholar] [CrossRef]
- Morla, P.; Gupta, R.; Azarsa, P.; Sharma, A. Corrosion Evaluation of Geopolymer Concrete Made with Fly Ash and Bottom Ash. Sustainability 2021, 13, 398. [Google Scholar] [CrossRef]
- Ahmed, H.U.; Mohammed, A.S.; Mohammed, A.A.; Faraj, R.H. Systematic multiscale models to predict the compressive strength of fly ash-based geopolymer concrete at various mixture proportions and curing regimes. PLoS ONE 2021, 16, e0253006. [Google Scholar] [CrossRef] [PubMed]
- Zhuang, X.Y.; Chen, L.; Komarneni, S.; Zhou, C.H.; Tong, D.S.; Yang, H.M.; Yu, W.H.; Wang, H. Fly ash-based geopolymer: Clean production, properties and applications. J. Clean. Prod. 2016, 125, 253–267. [Google Scholar] [CrossRef]
- Ouyang, X.; Ma, Y.; Liu, Z.; Liang, J.; Ye, G. Effect of the sodium silicate modulus and slag content on fresh and hardened properties of alkali-activated fly ash/slag. Minerals 2020, 10, 15. [Google Scholar] [CrossRef] [Green Version]
- Neville, A.M.; Brooks, J.J. Concrete Technology; Longman Scientific & Technical: London, UK, 2010. [Google Scholar]
- ASTM C39/C39M. Standard Test Method for Compressive Strength of Cylindrical Concrete Specimens; ASTM International: West Conshohocken, PA, USA, 2017. [Google Scholar]
- Hardjito, D.; Wallah, S.E.; Sumajouw, D.M.J.; Rangan, B.V. Introducing fly ash-based geopolymer concrete: Manufacture and engineering properties. In Proceedings of the 30th Conference on Our World in Concrete & Structures, Singapore, 23–24 August 2005; Volume 24. [Google Scholar]
- Al-Azzawi, M.; Yu, T.; Hadi, M.N. Factors affecting the bond strength between the fly ash-based geopolymer concrete and steel reinforcement. In Structures; Elsevier: Amsterdam, The Netherlands, 2018; Volume 14, pp. 262–272. [Google Scholar]
- Zhao, R.; Yuan, Y.; Cheng, Z.; Wen, T.; Li, J.; Li, F.; Ma, Z.J. Freeze-thaw resistance of class F fly ash-based geopolymer concrete. Constr. Build. Mater. 2019, 222, 474–483. [Google Scholar] [CrossRef]
- Singhal, D.; Junaid, M.T.; Jindal, B.B.; Mehta, A. Mechanical and microstructural properties of fly ash based geopolymer concrete incorporating alccofine at ambient curing. Constr. Build. Mater. 2018, 180, 298–307. [Google Scholar]
- Shehab, H.K.; Eisa, A.S.; Wahba, A.M. Mechanical properties of fly ash based geopolymer concrete with full and partial cement replacement. Constr. Build. Mater. 2016, 126, 560–565. [Google Scholar] [CrossRef]
- Chithambaram, S.J.; Kumar, S.; Prasad, M.M.; Adak, D. Effect of parameters on the compressive strength of fly ash based geopolymer concrete. Struct. Concr. 2018, 19, 1202–1209. [Google Scholar] [CrossRef]
- Wardhono, A.; Gunasekara, C.; Law, D.W.; Setunge, S. Comparison of long term performance between alkali activated slag and fly ash geopolymer concretes. Constr. Build. Mater. 2017, 143, 272–279. [Google Scholar] [CrossRef]
- Ramujee, K.; PothaRaju, M. Mechanical properties of geopolymer concrete composites. Mater. Today Proc. 2017, 4, 2937–2945. [Google Scholar] [CrossRef]
- Wallah, S.E. Creep behaviour of fly ash-based geopolymer concrete. Civ. Eng. Dimens. 2010, 12, 73–78. [Google Scholar]
- Aliabdo, A.A.; Abd Elmoaty, M.; Salem, H.A. Effect of water addition, plasticizer and alkaline solution constitution on fly ash based geopolymer concrete performance. Constr. Build. Mater. 2016, 121, 694–703. [Google Scholar] [CrossRef]
- Xie, T.; Ozbakkaloglu, T. Behavior of low-calcium fly and bottom ash-based geopolymer concrete cured at ambient temperature. Ceram. Int. 2015, 41, 5945–5958. [Google Scholar] [CrossRef]
- Sarker, P.K. Bond strength of reinforcing steel embedded in fly ash-based geopolymer concrete. Mater. Struct. 2011, 44, 1021–1030. [Google Scholar] [CrossRef]
- Chindaprasirt, P.; Chalee, W. Effect of sodium hydroxide concentration on chloride penetration and steel corrosion of fly ash-based geopolymer concrete under marine site. Constr. Build. Mater. 2014, 63, 303–310. [Google Scholar] [CrossRef]
- Shaikh, F.U.A.; Vimonsatit, V. Compressive strength of fly-ash-based geopolymer concrete at elevated temperatures. Fire Mater. 2015, 39, 174–188. [Google Scholar] [CrossRef]
- Sastry, K.G.K.; Sahitya, P.; Ravitheja, A. Influence of nano TiO2 on strength and durability properties of geopolymer concrete. Mater. Today Proc. 2021, 45, 1017–1025. [Google Scholar] [CrossRef]
- Çevik, A.; Alzeebaree, R.; Humur, G.; Niş, A.; Gülşan, M.E. Effect of nano-silica on the chemical durability and mechanical performance of fly ash based geopolymer concrete. Ceram. Int. 2018, 44, 12253–12264. [Google Scholar] [CrossRef]
- Embong, R.; Kusbiantoro, A.; Shafiq, N.; Nuruddin, M.F. Strength and microstructural properties of fly ash based geopolymer concrete containing high-calcium and water-absorptive aggregate. J. Clean. Prod. 2016, 112, 816–822. [Google Scholar] [CrossRef]
- Sumajouw, D.M.J.; Hardjito, D.; Wallah, S.E.; Rangan, B.V. Fly ash-based geopolymer concrete: Study of slender reinforced columns. J. Mater. Sci. 2007, 42, 3124–3130. [Google Scholar] [CrossRef]
- Jaydeep, S.; Chakravarthy, B.J. Study on fly ash based geo-polymer concrete using admixtures. Int. J. Eng. Trends Technol. 2013, 4, 4614–4617. [Google Scholar]
- Nuaklong, P.; Jongvivatsakul, P.; Pothisiri, T.; Sata, V.; Chindaprasirt, P. Influence of rice husk ash on mechanical properties and fire resistance of recycled aggregate high-calcium fly ash geopolymer concrete. J. Clean. Prod. 2020, 252, 119797. [Google Scholar] [CrossRef]
- Okoye, F.N.; Durgaprasad, J.; Singh, N.B. Effect of silica fume on the mechanical properties of fly ash based-geopolymer concrete. Ceram. Int. 2016, 42, 3000–3006. [Google Scholar] [CrossRef]
- Okoye, F.N.; Prakash, S.; Singh, N.B. Durability of fly ash based geopolymer concrete in the presence of silica fume. J. Clean. Prod. 2017, 149, 1062–1067. [Google Scholar] [CrossRef]
- Sarker, P.K.; Haque, R.; Ramgolam, K.V. Fracture behaviour of heat cured fly ash based geopolymer concrete. Mater. Des. 2013, 44, 580–586. [Google Scholar] [CrossRef]
- Junaid, M.T.; Kayali, O.; Khennane, A. Response of alkali activated low calcium fly-ash based geopolymer concrete under compressive load at elevated temperatures. Mater. Struct. 2017, 50, 50. [Google Scholar] [CrossRef]
- Olivia, M.; Sarker, P.; Nikraz, H. Water penetrability of low calcium fly ash geopolymer concrete. Proc. ICCBT2008-A 2008, 46, 517–530. [Google Scholar]
- Abhilash, P.; Sashidhar, C.; Reddy, I.R. Strength properties of Fly ash and GGBS based Geo-polymer Concrete. Int. J. ChemTech Res. 2016, 17, 127–135. [Google Scholar]
- Jindal, B.B.; Parveen Singhal, D.; Goyal, A. Predicting relationship between mechanical properties of low calcium fly ash-based geopolymer concrete. Trans. Indian Ceram. Soc. 2017, 76, 258–265. [Google Scholar] [CrossRef]
- Vignesh, P.; Vivek, K. An experimental investigation on strength parameters of flyash based geopolymer concrete with GGBS. Int. Res. J. Eng. Technol. 2015, 2, 135–142. [Google Scholar]
- Joseph, B.; Mathew, G. Influence of aggregate content on the behavior of fly ash based geopolymer concrete. Sci. Iran. 2012, 19, 1188–1194. [Google Scholar] [CrossRef] [Green Version]
- Nath, P.; Sarker, P.K. Effect of GGBFS on setting, workability and early strength properties of fly ash geopolymer concrete cured in ambient condition. Constr. Build. Mater. 2014, 66, 163–171. [Google Scholar] [CrossRef] [Green Version]
- Adak, D.; Sarkar, M.; Mandal, S. Structural performance of nano-silica modified fly-ash based geopolymer concrete. Constr. Build. Mater. 2017, 135, 430–439. [Google Scholar] [CrossRef]
- Gunasekara, C.; Law, D.W.; Setunge, S. Long term permeation properties of different fly ash geopolymer concretes. Constr. Build. Mater. 2016, 124, 352–362. [Google Scholar] [CrossRef]
- Mehta, A.; Siddique, R. Sulfuric acid resistance of fly ash based geopolymer concrete. Constr. Build. Mater. 2017, 146, 136–143. [Google Scholar] [CrossRef]
- Cui, Y.; Gao, K.; Zhang, P. Experimental and Statistical Study on Mechanical Characteristics of Geopolymer Concrete. Materials 2020, 13, 1651. [Google Scholar] [CrossRef] [Green Version]
- Albitar, M.; Visintin, P.; Ali, M.M.; Drechsler, M. Assessing behaviour of fresh and hardened geopolymer concrete mixed with class-F fly ash. KSCE J. Civ. Eng. 2015, 19, 1445–1455. [Google Scholar] [CrossRef]
- Bhogayata, A.C.; Arora, N.K. Utilization of metalized plastic waste of food packaging articles in geopolymer concrete. J. Mater. Cycles Waste Manag. 2019, 21, 1014–1026. [Google Scholar] [CrossRef]
- Gomaa, E.; Sargon, S.; Kashosi, C.; Gheni, A.; ElGawady, M.A. Mechanical Properties of High Early Strength Class C Fly Ash-Based Alkali Activated Concrete. Transp. Res. Rec. 2020, 2674, 430–443. [Google Scholar] [CrossRef]
- Hassan, A.; Arif, M.; Shariq, M. Effect of curing condition on the mechanical properties of fly ash-based geopolymer concrete. SN Appl. Sci. 2019, 1, 1694. [Google Scholar] [CrossRef] [Green Version]
- Kurtoglu, A.E.; Alzeebaree, R.; Aljumaili, O.; Nis, A.; Gulsan, M.E.; Humur, G.; Cevik, A. Mechanical and durability properties of fly ash and slag based geopolymer concrete. Adv. Concr. Constr. 2018, 6, 345. [Google Scholar]
- Nath, P.; Sarker, P.K. Use of OPC to improve setting and early strength properties of low calcium fly ash geopolymer concrete cured at room temperature. Cem. Concr. Compos. 2015, 55, 205–214. [Google Scholar] [CrossRef]
- Saravanan, S.; Elavenil, S. Strength Properties of Geopolymer Concrete using M Sand by Assessing their Mechanical Characteristics. ARPN J. Eng. Appl. Sci. 2018, 13, 4028–4041. [Google Scholar]
- Topark-Ngarm, P.; Chindaprasirt, P.; Sata, V. Setting time, strength, and bond of high-calcium fly ash geopolymer concrete. J. Mater. Civ. Eng. 2015, 27, 04014198. [Google Scholar] [CrossRef]
- Vijai, K.; Kumutha, R.; Vishnuram, B.G. Experimental Investigations on Mechanical Properties of Geopolymer Concrete Composites. 2011. Available online: http://dl.lib.mrt.ac.lk/handle/123/9265 (accessed on 17 October 2021).
- Vora, P.R.; Dave, U.V. Parametric studies on compressive strength of geopolymer concrete. Procedia Eng. 2013, 51, 210–219. [Google Scholar] [CrossRef] [Green Version]
- Wang, Y.; Hu, S.; He, Z. Mechanical and Fracture Properties of Fly Ash Geopolymer Concrete Addictive with Calcium Aluminate Cement. Materials 2019, 12, 2982. [Google Scholar] [CrossRef] [Green Version]
- Ibrahim, M.; Johari, M.A.M.; Maslehuddin, M.; Rahman, M.K. Influence of nano-SiO2 on the strength and microstructure of natural pozzolan based alkali activated concrete. Constr. Build. Mater. 2018, 173, 573–585. [Google Scholar] [CrossRef]
- Ghafoor, M.T.; Khan, Q.S.; Qazi, A.U.; Sheikh, M.N.; Hadi, M.N.S. Influence of alkaline activators on the mechanical properties of fly ash based geopolymer concrete cured at ambient temperature. Constr. Build. Mater. 2021, 273, 121752. [Google Scholar] [CrossRef]
- Fang, G.; Ho, W.K.; Tu, W.; Zhang, M. Workability and mechanical properties of alkali-activated fly ash-slag concrete cured at ambient temperature. Constr. Build. Mater. 2018, 172, 476–487. [Google Scholar] [CrossRef]
- Vijai, K.; Kumutha, R.; Vishnuram, B.G. Effect of types of curing on strength of geopolymer concrete. Int. J. Phys. Sci. 2010, 5, 1419–1423. [Google Scholar]
- Krishnaraja, A.R.; Sathishkumar, N.P.; Kumar, T.S.; Kumar, P.D. Mechanical behaviour of geopolymer concrete under ambient curing. Int. J. Sci. Eng. Technol. 2014, 3, 130–132. [Google Scholar]
- Kumaravel, S. Development of various curing effect of nominal strength Geopolymer concrete. J. Eng. Sci. Technol. Rev. 2014, 7, 116–119. [Google Scholar] [CrossRef]
- Nagajothi, S.; Elavenil, S. Effect of GGBS Addition on Reactivity and Microstructure Properties of Ambient Cured Fly Ash Based Geopolymer Concrete. Silicon 2021, 13, 507–516. [Google Scholar] [CrossRef]
- Muhammad, N.; Baharom, S.; Ghazali, N.A.M.; Alias, N.A. Effect of Heat Curing Temperatures on Fly Ash-Based Geopolymer Concrete. Int. J. Eng. Technol. 2019, 8, 15–19. [Google Scholar]
- Das, S.K.; Shrivastava, S. Siliceous fly ash and blast furnace slag based geopolymer concrete under ambient temperature curing condition. Struct. Concr. 2020, 22, E341–E351. [Google Scholar] [CrossRef]
- Nuruddin, M.N.; Kusbiantoro, A.K.; Qazi, S.Q.; Darmawan, M.D.; Husin, N.H. Development of geopolymer concrete with different curing conditions. IPTEK J. Technol. Sci. 2011, 22, 24–28. [Google Scholar] [CrossRef] [Green Version]
- Ramujee, K. Development of low calcium flyash based geopolymer concrete. Int. J. Eng. Technol. 2014, 6, 1. [Google Scholar] [CrossRef] [Green Version]
- Mohammed, A.; Rafiq, S.; Sihag, P.; Kurda, R.; Mahmood, W.; Ghafor, K.; Sarwar, W. ANN, M5P-tree and nonlinear regression approaches with statistical evaluations to predict the compressive strength of cement-based mortar modified with fly ash. J. Mater. Res. Technol. 2020, 9, 12416–12427. [Google Scholar] [CrossRef]
- Thakur, R.N.; Ghosh, S. Effect of mix composition on compressive strength and microstructure of fly ash based geopolymer composites. ARPN J. Eng. Appl. Sci. 2009, 4, 68–74. [Google Scholar]
- Dombrowski, K.; Buchwald, A.; Weil, M. The influence of calcium content on the structure and thermal performance of fly ash based geopolymers. J. Mater. Sci. 2007, 42, 3033–3043. [Google Scholar] [CrossRef]
- Chi, M.; Huang, R. Binding mechanism and properties of alkali-activated fly ash/slag mortars. Constr. Build. Mater. 2013, 40, 291–298. [Google Scholar] [CrossRef]
- Fernandez-Jimenez, A.M.; Palomo, A.; Lopez-Hombrados, C. Engineering properties of alkali-activated fly ash concrete. ACI Mater. J. 2006, 103, 106. [Google Scholar]
- Ryu, G.S.; Lee, Y.B.; Koh, K.T.; Chung, Y.S. The mechanical properties of fly ash-based geopolymer concrete with alkaline activators. Constr. Build. Mater. 2013, 47, 409–418. [Google Scholar] [CrossRef]
- Khale, D.; Chaudhary, R. Mechanism of geopolymerization and factors influencing its development: A review. J. Mater. Sci. 2007, 42, 729–746. [Google Scholar] [CrossRef]
- Thokchom, S.; Mandal, K.K.; Ghosh, S. Effect of Si/Al ratio on performance of fly ash geopolymers at elevated temperature. Arab. J. Sci. Eng. 2012, 37, 977–989. [Google Scholar] [CrossRef]
- Garcia-Lodeiro, I.; Palomo, A.; Fernández-Jiménez, A.; Macphee, D.E. Compatibility studies between NASH and CASH gels. Study in the ternary diagram Na2O–CaO–Al2O3–SiO2–H2O. Cem. Concr. Res. 2011, 41, 923–931. [Google Scholar] [CrossRef]
- Faraj, R.H.; Mohammed, A.A.; Mohammed, A.; Omer, K.M.; Ahmed, H.U. Systematic multiscale models to predict the compressive strength of self-compacting concretes modified with nanosilica at different curing ages. Eng. Comput. 2021, 29, 1–24. [Google Scholar] [CrossRef]
- Sathonsaowaphak, A.; Chindaprasirt, P.; Pimraksa, K. Workability and strength of lignite bottom ash geopolymer mortar. J. Hazard. Mater. 2009, 168, 44–50. [Google Scholar] [CrossRef]
- Rafeet, A.; Vinai, R.; Soutsos, M.; Sha, W. Guidelines for mix proportioning of fly ash/GGBS based alkali activated concretes. Constr. Build. Mater. 2017, 147, 130–142. [Google Scholar] [CrossRef] [Green Version]
- Lloyd, R.R.; Provis, J.L.; van Deventer, J.S. Microscopy and microanalysis of inorganic polymer cements. 1: Remnant fly ash particles. J. Mater. Sci. 2009, 44, 608–619. [Google Scholar] [CrossRef]
- Hu, W.; Nie, Q.; Huang, B.; Su, A.; Du, Y.; Shu, X.; He, Q. Mechanical property and microstructure characteristics of geopolymer stabilized aggregate base. Constr. Build. Mater. 2018, 191, 1120–1127. [Google Scholar] [CrossRef]
- Deb, P.S.; Nath, P.; Sarker, P.K. The effects of ground granulated blast-furnace slag blending with fly ash and activator content on the workability and strength properties of geopolymer concrete cured at ambient temperature. Mater. Des. (1980–2015) 2014, 62, 32–39. [Google Scholar] [CrossRef] [Green Version]
- Hardjito, D.; Wallah, S.E.; Sumajouw, D.M.; Rangan, B.V. On the development of fly ash-based geopolymer concrete. Mater. J. 2004, 101, 467–472. [Google Scholar]
- Barbosa, V.F.; MacKenzie, K.J.; Thaumaturgo, C. Synthesis and characterisation of materials based on inorganic polymers of alumina and silica: Sodium polysialate polymers. Int. J. Inorg. Mater. 2000, 2, 309–317. [Google Scholar] [CrossRef]
- Patankar, S.V.; Jamkar, S.S.; Ghugal, Y.M. Effect of water-to-geopolymer binder ratio on the production of fly ash based geopolymer concrete. Int. J. Adv. Technol. Civ. Eng. 2013, 2, 79–83. [Google Scholar]
- Van Jaarsveld, J.G.S.; Van Deventer, J.S.J.; Lukey, G.C. The effect of composition and temperature on the properties of fly ash-and kaolinite-based geopolymers. Chem. Eng. J. 2002, 89, 63–73. [Google Scholar] [CrossRef]
- He, J.; Jie, Y.; Zhang, J.; Yu, Y.; Zhang, G. Synthesis and characterization of red mud and rice husk ash-based geopolymer composites. Cem. Concr. Compos. 2013, 37, 108–118. [Google Scholar] [CrossRef]
- Rickard, W.D.; Williams, R.; Temuujin, J.; Van Riessen, A. Assessing the suitability of three Australian fly ashes as an aluminosilicate source for geopolymers in high temperature applications. Mater. Sci. Eng. A 2011, 528, 3390–3397. [Google Scholar] [CrossRef]
- Komljenović, M.; Baščarević, Z.; Bradić, V. Mechanical and microstructural properties of alkali-activated fly ash geopolymers. J. Hazard. Mater. 2010, 181, 35–42. [Google Scholar] [CrossRef]
- Kumar, S.; Kumar, R. Mechanical activation of fly ash: Effect on reaction, structure and properties of resulting geopolymer. Ceram. Int. 2011, 37, 533–541. [Google Scholar] [CrossRef]
- ASTM-C33. Standard Specification for Concrete Aggregates; ASTM International: West Conshohocken, PA, USA, 2016. [Google Scholar]
- Mermerdaş, K.; Manguri, S.; Nassani, D.E.; Oleiwi, S.M. Effect of aggregate properties on the mechanical and absorption characteristics of geopolymer mortar. Eng. Sci. Technol. Int. J. 2017, 20, 1642–1652. [Google Scholar] [CrossRef]
- Mane, S.; Jadhav, H.S. Investigation of geopolymer mortar and concrete under high temperature. Int. J. Emerg. Technol. Adv. Eng. 2012, 2, 384–390. [Google Scholar]
- Nuaklong, P.; Sata, V.; Chindaprasirt, P. Influence of recycled aggregate on fly ash geopolymer concrete properties. J. Clean. Prod. 2016, 112, 2300–2307. [Google Scholar] [CrossRef]
- Sreenivasulu, C.; Guru, J.J.; Sekhar, R.M.V.; Pavan, K.D. Effect of fine aggregate blending on short-term mechanical properties of geopolymer concrete. Asian J. Civ. Eng. 2016, 17, 537–550. [Google Scholar]
- Puligilla, S.; Mondal, P. Role of slag in microstructural development and hardening of fly ash-slag geopolymer. Cem. Concr. Res. 2013, 43, 70–80. [Google Scholar] [CrossRef]
- Nath, P.; Sarker, P.K. Flexural strength and elastic modulus of ambient-cured blended low-calcium fly ash geopolymer concrete. Constr. Build. Mater. 2017, 130, 22–31. [Google Scholar] [CrossRef] [Green Version]
- Weng, L.; Sagoe-Crentsil, K. Dissolution processes, hydrolysis and condensation reactions during geopolymer synthesis: Part I—Low Si/Al ratio systems. J. Mater. Sci. 2007, 42, 2997–3006. [Google Scholar] [CrossRef]
- Sagoe-Crentsil, K.; Weng, L. Dissolution processes, hydrolysis and condensation reactions during geopolymer synthesis: Part II. High Si/Al ratio systems. J. Mater. Sci. 2007, 42, 3007–3014. [Google Scholar] [CrossRef]
- Mustafa Al Bakri, A.M.; Kamarudin, H.; Bnhussain, M.; Rafiza, A.R.; Zarina, Y. Effect of Na2SiO3/NaOH Ratios and NaOH Molarities on Compressive Strength of Fly-Ash-Based Geopolymer. ACI Mater. J. 2012, 109, 503–508. [Google Scholar]
- Ridtirud, C.; Chindaprasirt, P.; Pimraksa, K. Factors affecting the shrinkage of fly ash geopolymers. Int. J. Miner. Metall. Mater. 2011, 18, 100–104. [Google Scholar] [CrossRef]
- Phoo-ngernkham, T.; Maegawa, A.; Mishima, N.; Hatanaka, S.; Chindaprasirt, P. Effects of sodium hydroxide and sodium silicate solutions on compressive and shear bond strengths of FA–GBFS geopolymer. Constr. Build. Mater. 2015, 91, 1–8. [Google Scholar] [CrossRef]
- Morsy, M.S.; Alsayed, S.H.; Al-Salloum, Y.; Almusallam, T. Effect of sodium silicate to sodium hydroxide ratios on strength and microstructure of fly ash geopolymer binder. Arab. J. Sci. Eng. 2014, 39, 4333–4339. [Google Scholar] [CrossRef]
- Alonso, S.; Palomo, A. Alkaline activation of metakaolin and calcium hydroxide mixtures: Influence of temperature, activator concentration and solids ratio. Mater. Lett. 2001, 47, 55–62. [Google Scholar] [CrossRef]
- Varaprasad, B.S.K.R.J.; Reddy, K.N.K. Strength and workability of low lime fly-ash based geopolymer concrete. Indian J. Sci. Technol. 2010, 3, 1188–1189. [Google Scholar]
- Chindaprasirt, P.; Chareerat, T.; Hatanaka, S.; Cao, T. High-strength geopolymer using fine high-calcium fly ash. J. Mater. Civ. Eng. 2011, 23, 264–270. [Google Scholar] [CrossRef]
- Duxson, P.; Lukey, G.C.; Separovic, F.; Van Deventer, J.S.J. Effect of alkali cations on aluminum incorporation in geopolymeric gels. Ind. Eng. Chem. Res. 2005, 44, 832–839. [Google Scholar] [CrossRef]
- Görhan, G.; Kürklü, G. The influence of the NaOH solution on the properties of the fly ash-based geopolymer mortar cured at different temperatures. Compos. Part B Eng. 2014, 58, 371–377. [Google Scholar] [CrossRef]
- ACI Committee 211.1. Standard Practice for Selecting Proportions for Normal, Heavyweight, and Mass Concrete (ACI 211.1R-02); American Concrete Institute: Farmington Hills, MI, USA, 2002. [Google Scholar]
- Darabi, M.K.; Huang, C.W.; Bazzaz, M.; Masad, E.A.; Little, D.N. Characterization and validation of the nonlinear viscoelastic-viscoplastic with hardening-relaxation constitutive relationship for asphalt mixtures. Constr. Build. Mater. 2019, 216, 648–660. [Google Scholar] [CrossRef]
- Bazzaz, M.; Darabi, M.K.; Little, D.N.; Garg, N. A straightforward procedure to characterize nonlinear viscoelastic response of asphalt concrete at high temperatures. Transp. Res. Rec. 2018, 2672, 481–492. [Google Scholar] [CrossRef]
- Bazzaz, M.; Darabi, M.K.; Little, D.N.; Garg, N. Effect of evotherm-M1 on properties of asphaltic materials used at NAPMRC testing facility. J. Test. Eval. 2019, 48, 2256–2269. [Google Scholar] [CrossRef]
- Abdullah, W.A.; Ahmed, H.U.; Alshkane, Y.M.; Rahman, D.B.; Ali, A.O.; Abubakr, S.S. The Possibility of Using Waste PET Plastic Strip to Enhance the Flexural Capacity of Concrete Beams. J. Eng. Res. 2021, 9, 1–17. [Google Scholar] [CrossRef]





























| References | Sp. Gr. | SiO2 | Al2O3 | Fe2O3 | CaO | MgO | K2O | Na2O | SO3 | LOI |
|---|---|---|---|---|---|---|---|---|---|---|
| [59] | - | 53.3 | 26.49 | 10.86 | 1.34 | 0.77 | 0.8 | 0.37 | 1.7 | 1.39 |
| [60] | - | 77.1 | 17.71 | 1.21 | 0.62 | 0.9 | - | 0.8 | 2.2 | 0.87 |
| [61] | - | 62.9 | 25.8 | 3.1 | 2.3 | 0.3 | - | - | - | 1.7 |
| - | 66.6 | 25.9 | 0.9 | 0.4 | 0.1 | - | - | - | 1.3 | |
| - | 77.2 | 15.2 | 2.5 | 0.6 | 0.3 | - | - | - | 0.7 | |
| - | 43.4 | 26.2 | 17.4 | 5.4 | 1.4 | - | - | - | 0.7 | |
| - | 52.7 | 33.4 | 9 | 1 | 0.6 | - | - | - | 0.4 | |
| [62] | 1.95 | 62.5 | 29.02 | 4.22 | 1.1 | - | - | 0.2 | 0.22 | 0.52 |
| [63] | - | 62.1 | 25.5 | 4.28 | 3.96 | 1.27 | - | - | 0.73 | - |
| [64] | 1.95 | 62.5 | 29.02 | 4.22 | 1.1 | - | - | 0.2 | 0.22 | 0.52 |
| [65] | 2.13 | 57.9 | 31.1 | 5.07 | 1.29 | 0.97 | 1 | 0.09 | 0.05 | 0.8 |
| [66] | 2.42 | 65.6 | 26.5 | 5.49 | 0.31 | 0.76 | 0.23 | 0.36 | 0.31 | 0.41 |
| [67] | 2.12 | 70.3 | 23.1 | 1.4 | 0.2 | 0.6 | 0.9 | 0.4 | 0.2 | 2 |
| [68] | - | 47.8 | 24.4 | 17.4 | 2.42 | 1.19 | 0.55 | 0.31 | 0.29 | 1.1 |
| [69] | 2.2 | 62.3 | 28.1 | 2.1 | 0.5 | 1 | 1 | 0.5 | 0.4 | 2.5 |
| [70] | - | 52 | 33.9 | 4 | 1.2 | 0.81 | 0.83 | 0.27 | 0.28 | 6.23 |
| [71] | - | 49 | 31 | 3 | 5 | 3 | 1 | 4 | 0 | 0 |
| [72] | - | 48 | 29 | 12.7 | 1.76 | 0.89 | 0.55 | 0.39 | 0.5 | 1.61 |
| [73] | - | 32.1 | 19.9 | 16.91 | 18.75 | 3.47 | 2.38 | 0.69 | 2.24 | 0.07 |
| [74] | - | 51.5 | 23.63 | 15.3 | 1.74 | 1.2 | 0.84 | 0.38 | 0.28 | 1.78 |
| [75] | 2.04 | 59.2 | 24.36 | 7.074 | 2.235 | 1.4 | 3.37 | 0.378 | - | 1.517 |
| 2.3 | 62.3 | 21.14 | 7.347 | 1.568 | 2.35 | 0.73 | 2.445 | - | 2.071 | |
| [76] | 2.05 | 64.9 | 26.64 | 5.69 | 0.33 | 0.85 | 0.25 | 0.49 | 0.33 | 0.45 |
| [77] | - | 47.8 | 24.4 | 17.4 | 2.42 | 1.19 | 0.55 | 0.31 | 0.29 | 1.1 |
| [78] | - | 59.7 | 28.36 | 4.57 | 2.1 | 0.83 | - | 0.04 | 0.4 | 1.06 |
| [79] | 2.36 | 37.6 | 14.79 | 18.56 | 19.61 | 2.7 | 0.98 | 0.73 | 4.81 | - |
| [80] | - | 53.7 | 27.2 | 11.17 | 11.17 | 1.9 | 0.54 | 0.36 | 0.3 | 0.68 |
| [81] | 2.54 | 42.4 | 21.3 | 15.7 | 13.2 | 2.3 | 2 | 0.9 | 1 | 0.4 |
| [82] | - | 50.7 | 28.8 | 8.8 | 2.38 | 1.39 | 2.4 | 0.84 | 0.3 | 3.79 |
| [83] | - | 50.7 | 28.8 | 8.8 | 2.38 | 1.39 | 2.4 | 0.84 | 0.3 | 3.79 |
| [84] | - | 50.5 | 26.57 | 13.77 | 2.13 | 1.54 | 0.77 | 0.45 | 0.41 | 0.6 |
| References | Sodium Hydroxide | Sodium Silicate | ||
|---|---|---|---|---|
| Purity% | SiO2 | Na2O | Water | |
| [59] | 98 | 29.4 | 14.7 | 55.9 |
| [60] | 97 | 34.31 | 16.37 | 49.28 |
| [61] | 98 | 29.4 | 14.7 | 55.9 |
| [63] | 98 | 32.4 | 13.7 | 53.9 |
| [65] | 98 | 34.64 | 16.27 | 49.09 |
| [66] | 98 | 35.06 | 16.95 | 47.99 |
| [68] | 98 | 29.4 | 14.7 | 55.9 |
| [70] | 99 | 28 | 8 | 64 |
| [76] | 99 | 45 | 55 | |
| [77] | 98 | 29.4 | 14.7 | 55.9 |
| [78] | 98 | 34.64 | 16.27 | 49.09 |
| [79] | 99 | 34.72 | 16.2 | 49.08 |
| [80] | 98.5 | 30.1 | 11.4 | 58.6 |
| [85] | 97 | 36.7 | 18.3 | 45 |
| [86] | 98 | 29.93 | 12.65 | 56.42 |
| [87] | 99 | 29.4 | 14.7 | 55.9 |
| [88] | 99.51 | 28 | 9 | 63 |
| References | (Si/Al) | (l/b) | FA (kg/m3) | F (kg/m3) | C (kg/m3) | SH (kg/m3) | SS (kg/m3) | (SS/SH) | M | T (℃) | CD (hr.) | A (Day) | fc′ (MPa) |
|---|---|---|---|---|---|---|---|---|---|---|---|---|---|
| [59] | 2 | 0.35 | 476 | 554 | 1294 | 48–120 | 48–120 | 0.4–2.5 | 8–14 | 24–90 | 8–96 | 3–94 | 17–64 |
| [60] | 1.5–5.1 | 0.5–0.6 | 300–500 | 471–664 | 1000–1411 | 42–120 | 90–215 | 1.5–2 | 12–16 | 70 | 24 | 7 | 16–64 |
| [61] | 2.4 | 0.6 | 385 | 601.7 | 1203 | 66 | 165 | 2.5 | 12 | 80 | 24 | 3–28 | 74–81 |
| [62] | 2.1 | 0.45 | 350–400 | 505–533 | 1178–1243 | 45–52 | 112–129 | 2.5 | 8–16 | 24 | - | 3–28 | 7–41 |
| [63] | 1.8 | 0.45–0.55 | 300–350 | 698–753 | 1048–1131 | 38–55 | 96–118 | 2.5 | 10 | 100 | 24 | 7–28 | 26–36 |
| [64] | 2.4 | 0.45 | 298–430 | 533–590 | 1243–1377 | 38–55 | 96–138 | 2.5 | 8–14 | 10–90 | 24 | 3–28 | 19–43 |
| [65] | 3.0 | 0.81 | 409 | 686 | 909 | 129 | 204 | 1.58 | 15 | 80 | 24 | 28–96 | 22–27 |
| [66] | 2.3 | 0.35–0.5 | 327–409 | 554–672 | 1201–1294 | 40–54 | 108–112 | 2–2.5 | 8–16 | 60 | 24 | 28 | 31–62 |
| [67] | 1.9 | 0.35 | 408 | 554 | 1294 | 41 | 103 | 2.5 | 8–14 | 60 | 24 | 7 | 40–64 |
| [68] | 2.2 | 0.3–0.45 | 400 | 830–895 | 830–895 | 32–52 | 85–129 | 2–3.3 | 12–18 | 50 | 48 | 7–28 | 16.36 |
| [69] | 1.5 | 0.3–0.5 | 400–475 | 529–547 | 1235–1280 | 34–57 | 85–142 | 2.5 | 14 | 24 | - | 7–56 | 7–44 |
| [70] | 1.6 | 0.35 | 408 | 647 | 1202 | 41 | 103 | 2.5 | 14 | 24–60 | 24 | 28 | 27–40 |
| [71] | 1.6 | 0.6 | 390 | 585 | 1092 | 67 | 167 | 2.5 | 8–18 | 24 | - | 28 | 23–32 |
| [72] | 2.1 | 0.35–0.38 | 408 | 660 | 1168–1201 | 41 | 103 | 2.5 | 10–16 | 24–50 | 24 | 28 | 25–72 |
| [73] | 2.8 | 0.55 | 356 | 554.4 | 1293 | 43–78 | 117–152 | 1.5–3.5 | 10 | 60 | 48 | 7–28 | 23–35 |
| [74] | 2.4–2.9 | 0.45 | 500 | 575 | 1150 | 64 | 160 | 2.5 | 14 | 24 | - | 28 | 44–52 |
| [75] | 0.4 | 0.4 | 350 | 650 | 1250 | 41 | 103 | 2.5 | 8 | 24–60 | 24 | 3–28 | 6–32 |
| [76] | 1.9 | 0.35 | 408 | 640–647 | 1190–1202 | 41 | 103 | 2.5 | 14–16 | 60 | 24 | 28 | 42–62 |
| [77] | 1.9 | 0.3 | 670 | 600 | 970 | 80 | 120 | 1.5 | 3–9 | 50 | 72 | 3–7 | 59–61 |
| [78] | 1.9 | 0.6 | 450 | 500 | 1150 | 135 | 135 | 1 | 10 | 40 | 24 | 7–96 | 18–49 |
| [79] | 1.7 | 0.4 | 400 | 554 | 1293 | 45 | 113 | 2.5 | 14 | 100 | 72 | 3–28 | 29–45 |
| [80] | 1.7 | 0.4 | 400 | 554 | 1293 | 45 | 113 | 2.5 | 14 | 100 | 72 | 3–28 | 29–45 |
| [81] | 1.9 | 0.37–0.4 | 408 | 647 | 1201 | 62–68 | 93–103 | 1.5 | 14 | 60 | 24 | 28 | 32–38 |
| [82] | 2.3–3.3 | 0.4 | 420–440 | 340–575 | 660–1127 | 60–68 | 150–169 | 2.5 | 12 | 80–120 | 72 | 7 | 21–61 |
| [83] | 1.9 | 0.35 | 356–444 | 554–647 | 1170–1248 | 36–44 | 89–111 | 2.5 | 14 | 60 | 24 | 7–28 | 24–63 |
| [84] | 3 | 0.35 | 409 | 549 | 1290 | 41 | 102 | 2.5 | 10 | 24 | - | 7–112 | 10–41 |
| [85] | 2.1 | 0.38–0.46 | 350–400 | 540–575 | 1265–1343 | 38–53 | 95–132 | 2.5 | 16 | 24–90 | 24 | 3–28 | 2.6–44 |
| [86] | 1.5 | 0.35 | 408 | 554 | 1294 | 41 | 103 | 2.5 | 8 | 24 | - | 7–28 | 12–16 |
| [87] | 2.1 | 0.35–0.65 | 254–420 | 318–1198 | 394–1591 | 25–76 | 69–165 | 1.5–3.5 | 8–16 | 24–120 | 6–72 | 3–28 | 13–60 |
| [88] | 1.9 | 0.4 | 400 | 651 | 1209 | 45 | 114 | 2.5 | 14 | 24 | - | 3–96 | 5–33 |
| [89] | 2.4 | 0.4 | 440 | 723 | 1085 | 64 | 112 | 1.75 | 12 | 60 | 48 | 3–28 | 23–35 |
| [90] | 1.5–3.9 | 0.7–0.9 | 412–420 | 693–706 | 918–936 | 39–92 | 241–342 | 2.6–8.8 | 15 | 80 | 24 | 3–96 | 22–57 |
| [91] | 2.5 | 0.55 | 310 | 649 | 1204 | 48.8 | 122 | 2.5 | 10 | 80 | 24 | 28–96 | 44–47 |
| [92] | 2.6–2.9 | 0.5 | 420 | 630 | 1090 | 60 | 150 | 2.5 | 12 | 80 | 24 | 7 | 32–41 |
| [93] | 1.5 | 0.37 | 424 | 598 | 1169–1197 | 63 | 95 | 1.5 | 14 | 70 | 24 | 3–96 | 2–58 |
| [94] | 2.3 | 0.5 | 368 | 554 | 1293 | 52 | 131 | 2.5 | 16 | 100 | 24 | 28 | 41 |
| [95] | 2.1–2.6 | 0.3 | 450 | 788–972 | 945–972 | 67 | 67 | 1 | 10 | 70 | 24 | 7–28 | 25–41 |
| [96] | 5.6 | 0.4 | 410 | 530 | 1044 | 67 | 117 | 1.74 | 10 | 24–75 | 26 | 7–180 | 4–36 |
| [97] | 2.3 | 0.45 | 500 | 550 | 1100 | 64.3 | 160.7 | 2.5 | 14 | 70 | 48 | 28 | 49.5 |
| [98] | 1.9 | 0.4 | 400 | 651–656 | 1209–1218 | 40–46 | 100–114 | 2.5 | 14 | 24 | - | 28–90 | 25–41 |
| [99] | 1.6 | 0.58 | 380 | 462 | 1386 | 62 | 156 | 2.5 | 10 | 60 | 24 | 28–56 | 18–23 |
| [100] | 2.2 | 0.5 | 414 | 588 | 1091 | 69–104 | 104–138 | 1–2 | 10–20 | 24–60 | 24 | 7–28 | 19–54 |
| [101] | 1.9 | 0.4 | 394 | 554 | 1293 | 45 | 112 | 2.5 | 12 | 24–60 | 24 | 7–28 | 8–28 |
| [102] | 2.1 | 0.3–0.4 | 428 | 630 | 1170 | 44–57 | 114–122 | 2–2.5 | 8–14 | 60–90 | 24 | 3–7 | 20–49 |
| [103] | 1.5 | 0.3 | 563 | 732 | 5994 | 44 | 124 | 2.8 | 10 | 75 | 16 | 28 | 33–45 |
| [104] | 3.1 | 0.5 | 400 | 650 | 1206 | 50–70 | 140–154 | 2–2.75 | 14 | 60 | 168 | 7–28 | 30–36 |
| [105] | 7.7 | 0.4–0.6 | 345–394 | 554 | 1294 | 45–83 | 94–148 | 1.5–2.5 | 8–16 | 24 | - | 28 | 7–22 |
| [106] | 2.0 | 0.4 | 400 | 644 | 1197 | 53 | 107 | 2 | 10 | 24 | - | 3–56 | 5–23 |
| [107] | 1.8 | 0.4 | 394 | 554 | 1293 | 45 | 112 | 2.5 | 8 | 24 | - | 7–28 | 3–18 |
| [108] | 1.8 | 0.4 | 350 | 483 | 1081 | 40 | 100 | 2.5 | 14 | 24 | - | 7–28 | 3–23 |
| [109] | 1.7 | 0.45 | 436 | 654 | 1308 | 56 | 140 | 2.5 | 8 | 24 | - | 3–12 | 8–18 |
| [110] | 2.7 | 0.45 | 380 | 660 | 1189 | 48 | 122 | 2.5 | 8 | 24 | - | 28 | 30 |
| [111] | 2.6 | 0.65 | 639 | 639 | 959 | 121 | 304 | 2.5 | 8–12 | 24 | - | 7–28 | 6–32 |
| [112] | 1.6 | 0.35 | 500 | 623 | 1016 | 70 | 105 | 1.5 | 14–16 | 24 | - | 3–28 | 7–27 |
| [113] | 2.1 | 0.41 | 350 | 645 | 1200 | 41 | 103 | 2.5 | 8 | 24 | - | 3–56 | 7–21 |
| [114] | 2.3 | 0.4 | 394 | 646 | 1201 | 45 | 112 | 2.5 | 16 | 24–60 | 24 | 3–28 | 8–50 |
| Remarks (Ranges are varied between) | 0.4–7.7 | 0.25–0.92 | 254–670 | 318–1196 | 394–1591 | 25–135 | 48–342 | 0.4–8.8 | 3–20 | 23–120 | 8–168 | 3–112 | 2–64 |
Publisher’s Note: MDPI stays neutral with regard to jurisdictional claims in published maps and institutional affiliations. |
© 2021 by the authors. Licensee MDPI, Basel, Switzerland. This article is an open access article distributed under the terms and conditions of the Creative Commons Attribution (CC BY) license (https://creativecommons.org/licenses/by/4.0/).
Share and Cite
Ahmed, H.U.; Mohammed, A.A.; Rafiq, S.; Mohammed, A.S.; Mosavi, A.; Sor, N.H.; Qaidi, S.M.A. Compressive Strength of Sustainable Geopolymer Concrete Composites: A State-of-the-Art Review. Sustainability 2021, 13, 13502. https://doi.org/10.3390/su132413502
Ahmed HU, Mohammed AA, Rafiq S, Mohammed AS, Mosavi A, Sor NH, Qaidi SMA. Compressive Strength of Sustainable Geopolymer Concrete Composites: A State-of-the-Art Review. Sustainability. 2021; 13(24):13502. https://doi.org/10.3390/su132413502
Chicago/Turabian StyleAhmed, Hemn Unis, Azad A. Mohammed, Serwan Rafiq, Ahmed S. Mohammed, Amir Mosavi, Nadhim Hamah Sor, and Shaker M. A. Qaidi. 2021. "Compressive Strength of Sustainable Geopolymer Concrete Composites: A State-of-the-Art Review" Sustainability 13, no. 24: 13502. https://doi.org/10.3390/su132413502
APA StyleAhmed, H. U., Mohammed, A. A., Rafiq, S., Mohammed, A. S., Mosavi, A., Sor, N. H., & Qaidi, S. M. A. (2021). Compressive Strength of Sustainable Geopolymer Concrete Composites: A State-of-the-Art Review. Sustainability, 13(24), 13502. https://doi.org/10.3390/su132413502

