Evaluation of Portable Rhodamine B Analyzer for Monitoring OH Radical Scavenging Demand in Ultraviolet Advanced Oxidation Processes
Abstract
:1. Introduction
2. Materials and Methods
2.1. Portable OH Radical Scavenging Demand Analyzer
2.2. Chemicals and Analysis Methods
2.3. Test Water
2.4. Test Method
3. Results
3.1. Analysis of RhB Standard Solutions
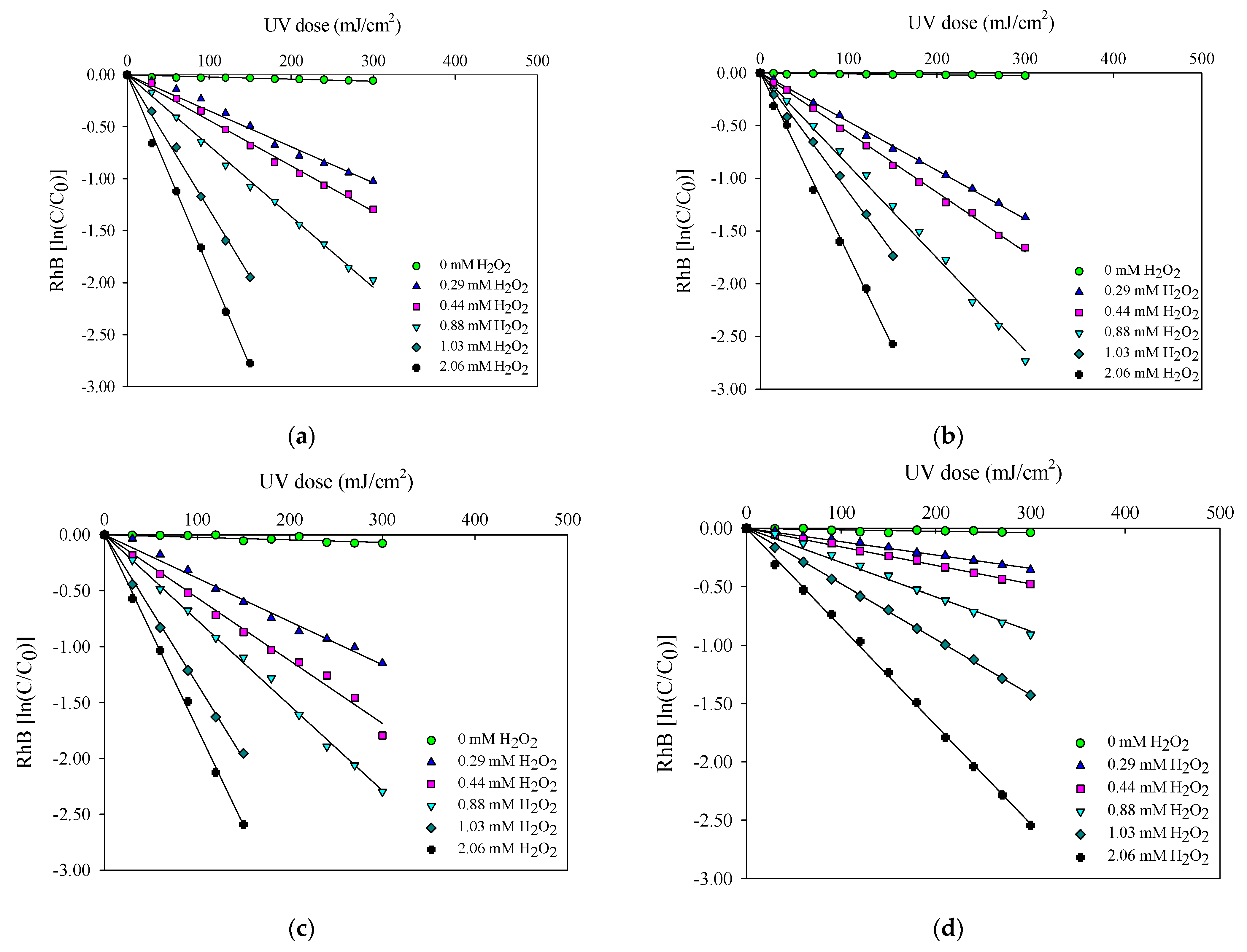
3.2. UV Photolysis Experiments for Target Samples
3.3. Monitoring of OH Radical Scavenging Demand
4. Discussion
5. Conclusions
- A portable system of continuously measuring the RhB indicator via a real-time UV-Vis spectrometer enabled the on-site evaluation of the OH radical scavenging demand.
- The spectrometric method using the visible light region of the RhB indicator is simple and quick and does not require a separate HPLC, unlike the method using the pCBA indicator.
- The mean OH radical scavenging demand for plants C, N, Y, and B were 42,346 s−1, 20,659 s−1, 32,232 s−1, and 81,669 s−1, respectively. The OH radical scavenging demand tended to increase with DOC.
- Plant C showed the most significant variations in OH radical scavenging demand, probably because it was affected by other water quality indicators, such as algae influx that did not affect plants N and Y.
Author Contributions
Funding
Institutional Review Board Statement
Informed Consent Statement
Data Availability Statement
Conflicts of Interest
References
- Huber, M.M.; Canonica, S.; Park, G.-Y.; von Gunten, U. Oxidation of Pharmaceuticals during Ozonation and Advanced Oxidation Processes. Environ. Sci. Technol. 2003, 37, 1016–1024. [Google Scholar] [CrossRef]
- He, X.; Pelaez, M.; Westrick, J.A.; O’Shea, K.E.; Hiskia, A.; Triantis, T.; Kaloudis, T.; Stefan, M.I.; de la Cruz, A.A.; Dionysiou, D.D. Efficient removal of microcystin-LR by UV-C/H2O2 in synthetic and natural water samples. Water Res. 2012, 46, 1501–1510. [Google Scholar] [CrossRef] [PubMed]
- Qu, S.; Kolodziej, E.P.; Cwiertny, D.M. Phototransformation Rates and Mechanisms for Synthetic Hormone Growth Promoters Used in Animal Agriculture. Environ. Sci. Technol. 2012, 46, 13202–13211. [Google Scholar] [CrossRef] [PubMed]
- Glaze, W.H.; Kang, J.-W.; Chapin, D.H. The Chemistry of Water Treatment Processes Involving Ozone, Hydrogen Peroxide and Ultraviolet Radiation. Ozone: Sci. Eng. 1987, 9, 335–352. [Google Scholar] [CrossRef]
- von Gunten, U. Ozonation of drinking water: Part I. Oxidation kinetics and product formation. Water Res. 2003, 37, 1443–1467. [Google Scholar] [CrossRef]
- Wols, B.; Hofman-Caris, C. Review of photochemical reaction constants of organic micropollutants required for UV advanced oxidation processes in water. Water Res. 2012, 46, 2815–2827. [Google Scholar] [CrossRef] [PubMed]
- Grebel, J.E.; Pignatello, J.J.; Mitch, W.A. Effect of Halide Ions and Carbonates on Organic Contaminant Degradation by Hydroxyl Radical-Based Advanced Oxidation Processes in Saline Waters. Environ. Sci. Technol. 2010, 44, 6822–6828. [Google Scholar] [CrossRef]
- Liao, C.-H.; Kang, S.-F.; Wu, F.-A. Hydroxyl radical scavenging role of chloride and bicarbonate ions in the H2O2/UV process. Chemosphere 2001, 44, 1193–1200. [Google Scholar] [CrossRef]
- Kwon, M.; Kim, S.; Yoon, Y.; Jung, Y.; Hwang, T.-M.; Lee, J.; Kang, J.-W. Comparative evaluation of ibuprofen removal by UV/H2O2 and UV/S2O82− processes for wastewater treatment. Chem. Eng. J. 2015, 269, 379–390. [Google Scholar] [CrossRef]
- Donham, J.E.; Rosenfeldt, E.J.; Wigginton, K.R. Photometric hydroxyl radical scavenging analysis of standard natural organic matter isolates. Environ. Sci. Process. Impacts 2014, 16, 764–769. [Google Scholar] [CrossRef]
- Rosenfeldt, E.J.; Linden, K.G. The ROH,UV concept to characterize and the model UV/H2O2 process in natural waters. Environ. Sci. Technol. 2007, 41, 2548–2553. [Google Scholar] [CrossRef]
- Elovitz, M.S.; Von Gunten, U. Hydroxyl Radical/Ozone Ratios During Ozonation Processes. I. The Rct Concept. Ozone: Sci. Eng. 1999, 21, 239–260. [Google Scholar] [CrossRef]
- Stefan, M.I. Advanced Oxidation Processes for Water Treatment: Fundamentals and Applications; IWA Publishing: London, UK, 2017; ISBN 978-178-040-718-0. [Google Scholar]
- Satoh, A.Y.; Trosko, J.E.; Masten, S.J. Methylene Blue Dye Test for Rapid Qualitative Detection of Hydroxyl Radicals Formed in a Fenton’s Reaction Aqueous Solution. Environ. Sci. Technol. 2007, 41, 2881–2887. [Google Scholar] [CrossRef]
- Wang, C.; Rosenfeldt, E.; Li, Y.; Hofmann, R. External Standard Calibration Method To Measure the Hydroxyl Radical Scavenging Capacity of Water Samples. Environ. Sci. Technol. 2020, 54, 1929–1937. [Google Scholar] [CrossRef] [PubMed]
- Kwon, M.; Kim, S.; Yoon, Y.; Jung, Y.; Hwang, T.-M.; Kang, J.-W. Prediction of the removal efficiency of pharmaceuticals by a rapid spectrophotometric method using Rhodamine B in the UV/H2O2 process. Chem. Eng. J. 2014, 236, 438–447. [Google Scholar] [CrossRef]
- Hwang, T.-M.; Nam, S.-H.; Lee, J.; Koo, J.-W.; Kim, E.; Kwon, M. Hydroxyl radical scavenging factor measurement using a fluorescence excitation-emission matrix and parallel factor analysis in ultraviolet advanced oxidation processes. Chemosphere 2020, 259, 127396. [Google Scholar] [CrossRef]
- Han, S.-K.; Nam, S.-N.; Kang, J.-W. OH radical monitoring technologies for AOP advanced oxidation process. Water Sci. Technol. 2002, 46, 7–12. [Google Scholar] [CrossRef]
- Ding, X.; Gutierrez, L.; Croue, J.-P.; Li, M.; Wang, L.; Wang, Y. Hydroxyl and sulfate radical-based oxidation of RhB dye in UV/H2O2 and UV/persulfate systems: Kinetics, mechanisms, and comparison. Chemosphere 2020, 253, 126655. [Google Scholar] [CrossRef]
- Keen, O.S.; McKay, G.; Mezyk, S.P.; Linden, K.G.; Rosario-Ortiz, F.L. Identifying the factors that influence the reactivity of effluent organic matter with hydroxyl radicals. Water Res. 2014, 50, 408–419. [Google Scholar] [CrossRef]
- Takaara, T.; Sano, D.; Masago, Y.; Omura, T. Surface-retained organic matter of Microcystis aeruginosa inhibiting coagulation with polyaluminum chloride in drinking water treatment. Water Res. 2010, 44, 3781–3786. [Google Scholar] [CrossRef] [Green Version]
- Kwon, M.; Kim, S.; Jung, Y.; Hwang, T.-M.; Stefan, M.I.; Kang, J.-W. The Impact of Natural Variation of OH Radical Demand of Drinking Water Sources on the Optimum Operation of the UV/H2O2 Process. Environ. Sci. Technol. 2019, 53, 3177–3186. [Google Scholar] [CrossRef] [PubMed]
- Li, L.; Gao, N.; Deng, Y.; Yao, J.; Zhang, K. Characterization of intracellular & extracellular algae organic matters (AOM) of Microcystic aeruginosa and formation of AOM-associated disinfection byproducts and odor & taste compounds. Water Res. 2012, 46, 1233–1240. [Google Scholar] [CrossRef] [PubMed]
- Lee, J.; Nam, S.-H.; Koo, J.-W.; Kim, E.; Hwang, T.-M. Comparative evaluation of 2-Isopropyl-3-methoxypyrazine, 2-Isobutyl-3-methoxypyrazine, and 2,4,6-Trichloroanisole degradation by ultraviolet/chlorine and ultraviolet/hydrogen peroxide processes. Chemosphere 2021, 279, 130513. [Google Scholar] [CrossRef] [PubMed]








| Parameter | Water Treatment Plant | |||
|---|---|---|---|---|
| Plant C | Plant N | Plant Y | Plant B | |
| pH | 7.1 ± 0.2 | 7.2 ± 0.3 | 7.5 ± 0.3 | 6.9 ± 0.3 |
| Turbidity (NTU) | 0.34 ± 0.18 | 0.23 ± 0.18 | 0.12 ± 0.10 | 0.31 ± 0.25 |
| UV254 (abs./cm) | 0.038 ± 0.008 | 0.021 ± 0.005 | 0.032 ± 0.002 | 0.17 ± 0.050 |
| DOC (mg/L) | 2.80 ± 0.30 | 1.84 ± 0.60 | 2.76 ± 0.40 | 6.96 ± 0.80 |
| TDS (mg/L) | 150 ± 7 | 115 ± 3 | 135 ± 3 | 133 ± 3 |
| Alkalinity (mg/L as CaCO3) | 45 ± 7 | 43 ± 5 | 40 ± 2 | 30 ± 3 |
| Plants | Scavenging Demand (s−1) |
|---|---|
| Plant C | 42,346 ± 12,422 |
| Plant N | 20,659 ± 4907 |
| Plant Y | 32,183 ± 7327 |
| Plant B | 81,669 ± 12,668 |
Publisher’s Note: MDPI stays neutral with regard to jurisdictional claims in published maps and institutional affiliations. |
© 2021 by the authors. Licensee MDPI, Basel, Switzerland. This article is an open access article distributed under the terms and conditions of the Creative Commons Attribution (CC BY) license (https://creativecommons.org/licenses/by/4.0/).
Share and Cite
Nam, S.-H.; Lee, J.-W.; Kim, E.-J.; Koo, J.-W.; Hwang, T.-M. Evaluation of Portable Rhodamine B Analyzer for Monitoring OH Radical Scavenging Demand in Ultraviolet Advanced Oxidation Processes. Sustainability 2021, 13, 13279. https://doi.org/10.3390/su132313279
Nam S-H, Lee J-W, Kim E-J, Koo J-W, Hwang T-M. Evaluation of Portable Rhodamine B Analyzer for Monitoring OH Radical Scavenging Demand in Ultraviolet Advanced Oxidation Processes. Sustainability. 2021; 13(23):13279. https://doi.org/10.3390/su132313279
Chicago/Turabian StyleNam, Sook-Hyun, Ju-Won Lee, Eun-Ju Kim, Jae-Wuk Koo, and Tae-Mun Hwang. 2021. "Evaluation of Portable Rhodamine B Analyzer for Monitoring OH Radical Scavenging Demand in Ultraviolet Advanced Oxidation Processes" Sustainability 13, no. 23: 13279. https://doi.org/10.3390/su132313279
APA StyleNam, S.-H., Lee, J.-W., Kim, E.-J., Koo, J.-W., & Hwang, T.-M. (2021). Evaluation of Portable Rhodamine B Analyzer for Monitoring OH Radical Scavenging Demand in Ultraviolet Advanced Oxidation Processes. Sustainability, 13(23), 13279. https://doi.org/10.3390/su132313279

