The Time-Varying Effect of Asset Prices on Turkey’s Circular Economy
Abstract
:1. Introduction
2. Literature Review
3. Methodology
3.1. Data Collection and Data Analysis
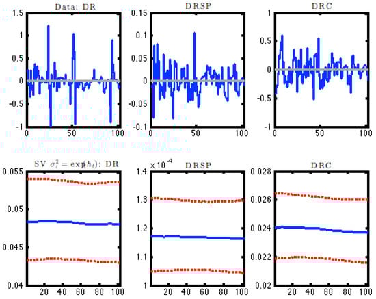
4. Results
5. Conclusions
Author Contributions
Funding
Institutional Review Board Statement
Informed Consent Statement
Data Availability Statement
Conflicts of Interest
Code Availability
References
- Friedman, M. A Theory of the Consumption Function; Princeton University Press: Oxford, UK, 1957. [Google Scholar]
- Camacho-Otero, J.; Boks, C.; Pettersen, I.N. Consumption in The Circular Economy: A Literature Review. Sustainability 2018, 10, 2758. [Google Scholar] [CrossRef] [Green Version]
- Schor, J. Debating the Sharing Economy; Great Transition Initiative: Cambridge, MA, USA, 2014; pp. 1–19. [Google Scholar]
- Ertz, M.; Durif, F.; Arcand, M. Collaborative Consumption: Conceptual Snapshot at a Buzzword. J. Entrep. Educ. 2016, 19, 1–23. [Google Scholar] [CrossRef]
- Jurgilevich, A.; Birge, T.; Kentala-Lehtonen, J.; Korhonen-Kurki, K.; Pietikäinen, J.; Saikku, L.; Schösler, H. Transition towards Circular Economy in The Food System. Sustainability 2016, 8, 69. [Google Scholar] [CrossRef] [Green Version]
- Arsova, S.; Genovese, A.; Ketikidis, P.H.; Alberich, J.P.; Solomon, A. Implementing Regional Circular Economy Policies: A Proposed Living Constellation of Stakeholders. Sustainability 2021, 13, 4916. [Google Scholar] [CrossRef]
- European Commission. The Sharing Economy: Accessibility Based Business Models for Peer-to-Peer Markets; Business Innovation Observatory; European Commission: Brussels, Belgium, 2013; p. 2.
- Kirchherr, J.; Reike, D.; Hekkert, M. Conceptualizing the Circular Economy: An Analysis of 114 definitions. Resour. Conserv. Recycl. 2017, 127, 221–232. [Google Scholar] [CrossRef]
- Preston, F. A Global Redesign? Shaping The Circular Economy. Chatham House Briefing Paper No EERG BP 2012/02. 2012. Available online: https://www.chathamhouse.org/2012/03/global-redesign-shaping-circular-economy (accessed on 10 September 2021).
- Roos Lindgreen, E.; Salomone, R.; Reyes, T. A critical Review of Academic Approaches, Methods and Tools to Assess Circular Economy at The Micro Level. Sustainability 2021, 12, 4973. [Google Scholar] [CrossRef]
- Lettau, M.; Ludvigson, S.C. Consumption, Aggregate Wealth, and Expected Stock Returns. J. Financ. 2001, 56, 815–849. [Google Scholar] [CrossRef] [Green Version]
- Apergis, N.; Miller, S.M. Consumption Asymmetry and the Stock Market: Empirical Evidence. Econ. Lett. 2006, 93, 337–342. [Google Scholar] [CrossRef] [Green Version]
- Fratzscher, M.; Straub, R. Asset Prices, News Shocks and The Current Account. CEPR Discussion Paper No 8080. 2010. Available online: http://www.cepr.org/active/publications/discussion_papers/dp.php?dpno=8080 (accessed on 10 September 2021).
- Koivu, T. Monetary Policy, Asset Prices and Consumption in China. Econ. Syst. 2012, 36, 307–325. [Google Scholar] [CrossRef] [Green Version]
- Sousa, R.M. Wealth Effects on Consumption: Evidence from the Euro Area. Banks Bank Syst. 2010, 5, 78–87. [Google Scholar]
- Binay, S.; Salman, F. A Critique of the Turkish Real Estate Market. Turkish Economic Association Discussion Paper No 2008/8. 2008. Available online: http://tek.org.tr/dosyalar/critique_6may2008.pdf (accessed on 3 June 2018).
- Aydede, Y. Aggregate Consumption Function and Public Social Security: The First Time Series Study for a Developing Country, Turkey. Appl. Econ. 2007, 40, 1807–1826. [Google Scholar] [CrossRef]
- Uluengin, B.; Yentürk, N. Impacts of Capital Inflows on Aggregate Spending Categories: The Case of Turkey. Appl. Econ. 2001, 33, 1321–1328. [Google Scholar] [CrossRef]
- Çimenoğlu, A.; Yentürk, N. Effects of International Capital Inflows on the Turkish Economy. Emerg. Mark. Financ. Trade 2005, 41, 90–109. [Google Scholar] [CrossRef]
- Campbell, J.Y. Stock Returns and the Term Structure. J. Financ. Econ. 1987, 18, 373–399. [Google Scholar] [CrossRef] [Green Version]
- Elmendorf, D.W. The Effect of Interest-Rate Changes on Household Saving and Consumption: A Survey. Board of Governors of the Federal Reserve System, Finance and Economics Discussion Series (FEDS). 1996. Available online: https://www.federalreserve.gov/pubs/feds/1996/199627/199627pap.pdf (accessed on 3 June 2018).
- Wilcox, D.W. Interest Rates and Consumption: A Classical Analysis; Federal Reserve Board: Washington, DC, USA, 1993. [Google Scholar]
- Campbell, J.Y.; Mankiw, N.G. Consumption, Income and Interest Rates: Reinterpreting the Time Series Evidence. NBER Macroecon. Annu. 1989, 4, 185–216. [Google Scholar] [CrossRef]
- Nakajima, J. Time Varying Parameter VAR Model with Stochastic Volatility: An Overview of Methodology and Empirical Applications. Monet. Econ. Stud. 2011, 2, 107–142. [Google Scholar]
- Sims, A.C. Macroeconomics and Reality. Econometrica 1980, 48, 1–48. [Google Scholar] [CrossRef] [Green Version]
- Primiceri, G.E. Time Varying Structural Vector Autoregressions and Monetary Policy. Rev. Econ. Stud. 2005, 72, 821–852. [Google Scholar] [CrossRef]
- Dickey, D.; Fuller, W. Likelihood Ratio Statistics for Autoregressive Time Series with A Unit Root. Econometrica 1981, 49, 1057–1072. [Google Scholar] [CrossRef]
- Phillips, P.C.; Perron, P. Testing For a Unit Root in Time Series Regression. Biometrika 1988, 75, 335–336. [Google Scholar] [CrossRef]
- Kwiatkowski, D.; Phillips, P.; Schmidt, P.; Shin, J. Testing The Null Hypothesis of Stationarity against The Alternative of a Unit Root. J. Econom. 1992, 54, 159–178. [Google Scholar] [CrossRef]
- Elliot, G.; Rothenberg, T.J.; Stock, J.H. Efficient Tests for An Autoregressive Unit Root. Econometrica 1996, 64, 813–836. [Google Scholar] [CrossRef] [Green Version]
- Ng, S.; Perron, P. Lag Length Selection and The Construction of Unit Root Tests with Good Size and Power. Econometrica 2001, 69, 1519–1554. [Google Scholar] [CrossRef] [Green Version]
- Johansen, S. Statistical Analysis of Cointegration Vectors. J. Econ. Dyn. Control. 1988, 12, 231–254. [Google Scholar] [CrossRef]
- Johansen, S. Estimation and Hypothesis Testing of Cointegration Vectors in Gaussian Vector Autoregressive Models. Econometrica 1991, 59, 1551–1580. [Google Scholar] [CrossRef]
- Johansen, S.; Juselius, K. Maximum Likelihood Estimation and Inference on Cointegration—With applications to The Demand for Money. Oxf. Bull. Econ. Stat. 1990, 52, 169–210. [Google Scholar] [CrossRef]
- Pesaran, M.H.; Shin, Y.; Smith, R.J. Bounds testing approaches to the analysis of level relationships. J. Appl. Econom. 2001, 16, 289–326. [Google Scholar] [CrossRef]
- Kripfganz, S.; Schneider, D.C. Response surface regressions for critical value bounds and approximate p-values in equilibrium correction models. Oxf. Bull. Econ. Stat. 2020, 82, 1456–1481. [Google Scholar] [CrossRef]
- Enders, W. Applied Econometric Time Series, 4th ed.; John Wiley: Hoboken, NJ, USA, 2015. [Google Scholar]
- Geweke, J. Evaluating the accuracy of sampling-based approaches to the calculation of posterior moments. In Bayesian Statistics; Bernado, J.M., Berger, J.O., Dawid, A.P., Smith, A.F.M., Eds.; Oxford University Press: New York, NY, USA, 1992; Volume 4, pp. 169–188. [Google Scholar]
- Rodrik, D. The Turkish Economy after the Crisis. Ekonomi-tek 2012, 1, 41–61. [Google Scholar]
- Özatay, F. The 1994 Currency in Turkey. Policy Reform 2000, 3, 327–352. [Google Scholar] [CrossRef]
- Özatay, F.; Sak, G. Banking Sector Fragility and Turkey’s 2000-01 Financial Crisis; Brookings Trade Forum; Brookings Institution Press: Washington, DC, USA, 2002; pp. 121–172. [Google Scholar]
- Krugman, P. The Great Recession versus the Great Depression. The New York Times. 20 March 2009. Available online: https://krugman.blogs.nytimes.com/2009/03/20/the-great-recession-versus-the-great-depression/ (accessed on 3 June 2018).











| Real Stock Price | Real Consumption | Nominal Interest Rate | |
|---|---|---|---|
| ADF | |||
| Level with Constant and Trend | −3.38 | −2.85 | −2.27 |
| Level with Constant | −0.45 | −0.56 | −0.10 |
| First Differences with Constant and Trend | −8.22 *** | −10.12 *** | −10.29 *** |
| First Differences with Constant | −8.71 *** | −10.07 *** | −11.38 *** |
| PP | |||
| Level with Constant and Trend | −0.43 | −3.09 | −1.63 |
| Level with Constant | −0.84 | −0.46 | −0.11 |
| First Differences with Constant and Trend | −8.22 *** | −10.43 *** | −13.43 *** |
| First Differences with Constant | −8.95 *** | −10.45 *** | −20.45 *** |
| DF-GLS | |||
| Level with Constant and Trend | −2.19 | −2.85 | −1.04 |
| Level with Constant | 1.67 | −1.34 | −0.16 |
| First Differences with Constant and Trend | −7.29 *** | −4.37 *** | −10.17 *** |
| First Differences with Constant | −8.27 *** | −4.38 *** | −11.01 *** |
| KPSS | |||
| Level with Constant and Trend | 0.82 *** | 0.17 *** | 0.88 *** |
| Level with Constant | 0.87 *** | 1.15 *** | 0.30 *** |
| First Differences with Constant and Trend | 0.03 | 0.05 | 0.14 * |
| First Differences with Constant | 0.04 | 0.05 | 0.36 * |
| ERS | |||
| Level with Constant and Trend | 5.81 | 6.36 | 5.72 |
| Level with Constant | 162.67 | 6.91 | 17.18 |
| First Differences with Constant and Trend | 2.07 *** | 2.30 *** | 0.72 *** |
| First Differences with Constant | 1.72 *** | 0.81 *** | 1.76 *** |
| NP-MZt | |||
| Level with Constant and Trend | −2.19 | −2.66 | −2.70 |
| Level with Constant | 1.83 | −1.55 | −0.10 |
| First Differences with Constant and Trend | −3.64 *** | −3.43 *** | −7.80 *** |
| First Differences with Constant | −4.97 *** | −3.57 *** | −2.46 *** |
| NP-MPt | |||
| Level with Constant and Trend | 5.75 | 6.44 | 5.77 |
| Level with Constant | 119.06 | 4.69 | 16.48 |
| First Differences with Constant and Trend | 3.46 *** | 3.88 *** | 0.75 *** |
| First Differences with Constant | 0.61 *** | 0.97 *** | 1.77 *** |
| Hypothesized Cointegration Vectors | Eigenvalue | Test Statistic | 5% Critical Value | p-Value |
|---|---|---|---|---|
| Trace Test | ||||
| None | 0.1325 | 24.9032 | 29.7971 | 0.1649 |
| At most 1 | 0.0887 | 9.8399 | 15.4947 | 0.2932 |
| At most 2 | 0.0000 | 0.0001 | 3.8415 | 0.9937 |
| Maximal Eigenvalue Test | ||||
| None | 0.1325 | 15.0634 | 21.1316 | 0.2845 |
| At most 1 | 0.0887 | 9.8398 | 14.2646 | 0.2227 |
| At most 2 | 0.0000 | 0.0001 | 3.8415 | 0.9937 |
| Critical Values | |||||||
|---|---|---|---|---|---|---|---|
| 10% | 5% | 1% | |||||
| Test Type | Estimate | I(0) | I(1) | I(0) | I(1) | I(0) | I(1) |
| Deterministic Specification: Constant | |||||||
| F-test | 2.777 | 3.162 | 4.179 | 3.823 | 4.942 | 5.309 | 6.626 |
| t-test | −1.534 | −2.539 | −3.188 | −2.852 | −3.525 | −3.464 | −4.170 |
| Deterministic Specification: Constant and Trend | |||||||
| F-test | 5.733 * | 4.230 | 5.154 | 4.977 | 5.984 | 6.627 | 7.791 |
| t-test | −2.688 | −3.127 | −3.662 | −3.428 | −3.986 | −4.019 | −4.611 |
| Parameter | Mean | Std. Dev. | 95% U | 95% L | CD | Inefficiency |
|---|---|---|---|---|---|---|
| 0.1258 | 0.0638 | 0.0545 | 0.3002 | 0.959 | 158.98 | |
| 0.0809 | 0.0431 | 0.0247 | 0.1924 | 0.177 | 129.10 | |
| 0.0056 | 0.0015 | 0.0035 | 0.0092 | 0.950 | 46.28 | |
| 0.0056 | 0.0015 | 0.0035 | 0.0095 | 0.000 | 20.24 | |
| 0.0054 | 0.0014 | 0.0033 | 0.0087 | 0.981 | 30.77 | |
| 0.0059 | 0.0017 | 0.0036 | 0.0101 | 0.012 | 37.06 |
Publisher’s Note: MDPI stays neutral with regard to jurisdictional claims in published maps and institutional affiliations. |
© 2021 by the authors. Licensee MDPI, Basel, Switzerland. This article is an open access article distributed under the terms and conditions of the Creative Commons Attribution (CC BY) license (https://creativecommons.org/licenses/by/4.0/).
Share and Cite
Balcilar, M.; Toren, E. The Time-Varying Effect of Asset Prices on Turkey’s Circular Economy. Sustainability 2021, 13, 12373. https://doi.org/10.3390/su132212373
Balcilar M, Toren E. The Time-Varying Effect of Asset Prices on Turkey’s Circular Economy. Sustainability. 2021; 13(22):12373. https://doi.org/10.3390/su132212373
Chicago/Turabian StyleBalcilar, Mehmet, and Evrim Toren. 2021. "The Time-Varying Effect of Asset Prices on Turkey’s Circular Economy" Sustainability 13, no. 22: 12373. https://doi.org/10.3390/su132212373
APA StyleBalcilar, M., & Toren, E. (2021). The Time-Varying Effect of Asset Prices on Turkey’s Circular Economy. Sustainability, 13(22), 12373. https://doi.org/10.3390/su132212373

