Assessing the Relationship between Market Orientation and Green Product Innovation: The Intervening Role of Green Self-Efficacy and Moderating Role of Resource Bricolage
Abstract
:1. Introduction
2. Literature Review and Theoretical Contribution
3. Hypotheses Development
4. Research Methodology
4.1. Data Source and Collection
4.2. Measures
4.3. Data Analysis
5. Results
6. Conclusions and Discussion
6.1. Theoretical Contributions
6.2. Managerial and Practical Implications
6.3. Limitations and Future Research Proposition
Author Contributions
Funding
Institutional Review Board Statement
Informed Consent Statement
Data Availability Statement
Conflicts of Interest
References
- Yina, L. Environmental innovation practices and performance: Moderating effect of resource commitment. J. Clean. Prod. 2014, 66, 450–458. [Google Scholar]
- Chen, J.; Liu, L. Customer participation, and green product innovation in SMEs: The mediating role of opportunity recognition and exploitation. J. Bus. Res. 2020, 119, 151–162. [Google Scholar] [CrossRef]
- Pinget, A.; Bocquet, R.; Mothe, C. Barriers to environmental innovation in SMEs: Empirical evidence from French firms. Management 2015, 18, 132–155. [Google Scholar] [CrossRef] [Green Version]
- Ebrahimi, P.; Mirbargkar, S.M. Green entrepreneurship and green innovation for SME development in market turbulence. Eurasian Bus. Rev. 2017, 7, 203–228. [Google Scholar] [CrossRef]
- Pigosso, D.C.; Schmiegelow, A.; Andersen, M.M. Measuring the readiness of SMEs for eco-innovation and industrial symbiosis: Development of a screening tool. Sustainability 2018, 10, 2861. [Google Scholar] [CrossRef] [Green Version]
- Konhäusner, P. Crowdsourcing in Sustainable Retail—A Theoretical Framework of Success Criteria. J. Risk Financ. Manag. 2021, 14, 87. [Google Scholar] [CrossRef]
- Borghesi, S.; Cainelli, G.; Mazzanti, M. Linking emission trading to environmental innovation: Evidence from the Italian manufacturing industry. Res. Policy 2015, 44, 669–683. [Google Scholar] [CrossRef]
- Guo, Y.; Wang, L.; Chen, Y. Green entrepreneurial orientation and green innovation: The mediating effect of supply chain learning. SAGE Open 2020, 10, 2158244019898798. [Google Scholar] [CrossRef]
- Liao, Z.; Weng, C.; Long, S.; Xiao, Z. Do social ties foster firms’ environmental innovation? The moderating effect of resource bricolage. Technol. Anal. Strateg. Manag. 2020, 33, 476–490. [Google Scholar] [CrossRef]
- Horbach, J. Determinants of Environmental Innovation—New Evidence from German Panel Data Sources. Res. Policy 2008, 37, 163–173. [Google Scholar] [CrossRef] [Green Version]
- Rehman, M.A.A.; Shrivastava, R.L. An Innovative Approach to Evaluate Green Supply Chain Management (GSCM) Drivers by Using Interpretive Structural Modeling (ISM). Int. J. Innov. Technol. Manag. 2011, 8, 315–336. [Google Scholar] [CrossRef]
- Tamayo-Orbegozo, U.; Vicente-Molina, M.A.; Villarreal-Larrinaga, O. Eco-innovation Strategic Model. A Multiple-case Study from a Highly Eco-Innovative European Region. J. Clean. Prod. 2017, 142, 1347–1367. [Google Scholar] [CrossRef]
- Hart, S.; Sharma, S. Engaging Fringe Stakeholders for Competitive Imagination. Acad. Manag. Perspect. 2004, 18, 7–18. [Google Scholar] [CrossRef]
- Idar, R.; Mahmood, R. Marketing Orientation as Mediator to Entrepreneurial Orientation and Performance Relationship: Evidence from Falaysian SMES. Rising to the Global Challenge: Entrepreneurship SMEs Development in Asia. 2011. Available online: http://www.nkc.kku.ac.th/smesconference2011 (accessed on 30 March 2021).
- Jain, R.; Ali, S.W. Self-efficacy Beliefs, Marketing Orientation and Attitude Orientation of Indian Entrepreneurs. J. Entrep. 2013, 22, 71–95. [Google Scholar] [CrossRef]
- Tajeddini, K.; Trueman, M.; Larsen, G. Examining the Effect of Market. Orientation on Innovativeness. J. Mark. Manag. 2006, 22, 529–551. [Google Scholar] [CrossRef]
- Drnovšek, M.; Wincent, J.; Cardon, M.S. Entrepreneurial Self-efficacy and Business Start-up: Developing a Multi-Dimensional Definition. Int. J. Entrep. Behav. Res. 2010, 16, 329–348. [Google Scholar] [CrossRef] [Green Version]
- McGee, J.E.; Peterson, M.; Mueller, S.L.; Sequeira, J.M. Entrepreneurial Self-efficacy: Refining the Measure. Entrep. Theory Pract. 2009, 33, 965–988. [Google Scholar] [CrossRef]
- Rumanti, A.A.; Samadhi, T.A.; Wiratmadja, I.I.; Reynaldo, R. Conceptual Model of Green Innovation Toward Knowledge Sharing and Open Innovation in Indonesian SME. In Proceedings of the 2017 4th International Conference on industrial Engineering and Applications (ICIEA), Nagoya, Japan, 27–29 April 2017. [Google Scholar]
- Linna, P. Bricolage as a Means of Innovating in a Resource-scarce Environment: A Study of Innovator-entrepreneurs at the BOP. J. Dev. Entrep. 2013, 18, 1350015. [Google Scholar] [CrossRef] [Green Version]
- Desa, G.; Basu, S. Optimization or Bricolage? Overcoming Resource Constraints in Global Social Entrepreneurship. Strateg. Entrep. J. 2013, 7, 26–49. [Google Scholar] [CrossRef]
- Hart, S.; Dowell, G. Invited Editorial: A Natural-Resource-based View of the Firm: Fifteen Years After. J. Manag. 2011, 37, 1464–1479. [Google Scholar] [CrossRef]
- Andersen, A.D. A functions approach to innovation system building in the South: The pre-Proálcool evolution of the sugarcane and biofuel sector in Brazil. Innov. Dev. 2015, 5, 1–21. [Google Scholar] [CrossRef]
- Gabler, C.B.; Richey, R.G., Jr.; Rapp, A. Developing an eco-capability through environmental orientation and organizational innovativeness. Ind. Mark. Manag. 2015, 45, 151–161. [Google Scholar] [CrossRef]
- Leonidou, L.C.; Leonidou, C.N.; Fotiadis, T.A.; Aykol, B. Dynamic capabilities driving an eco-based advantage and performance in global hotel chains: The moderating effect of international strategy. Tour. Manag. 2015, 50, 268–280. [Google Scholar] [CrossRef]
- Minbashrazgah, M.M.; Shabani, A. Eco-capability role in healthcare facility’s performance: Natural-resource-based view and dynamic capabilities paradigm. Manag. Environ. Qual. 2019, 30, 137–156. [Google Scholar] [CrossRef]
- Andersén, J. A relational natural-resource-based view on product innovation: The influence of green product innovation and green suppliers on differentiation advantage in small manufacturing firms. Technovation 2021, 104, 102254. [Google Scholar] [CrossRef]
- Basco, R.; Calabrò, A. Open Innovation Search Strategies in Family and Non-family SMEs: Evidence from a Natural Resource-based Cluster in Chile. Acad. Rev. Latinoam. Adm. 2016, 29, 279–302. [Google Scholar] [CrossRef]
- Yu, W.; Ramanathan, R.; Nath, P. Environmental pressures and performance: An analysis of the roles of environmental innovation strategy and marketing capability. Technol. Forecast. Soc. Chang. 2017, 117, 160–169. [Google Scholar] [CrossRef]
- Papadas, K.K.; Avlonitis, G.J.; Carrigan, M. Green Marketing Orientation: Conceptualization, Scale Development and Validation. J. Bus. Res. 2017, 80, 236–246. [Google Scholar] [CrossRef]
- Rennings, K. Redefining Innovation: Eco-Innovation Research and the Contribution from Ecological Economics. Ecol. Econ. 2000, 32, 319–332. [Google Scholar] [CrossRef]
- Li, C.; Naz, S.; Dodor, A.; Ashraf, S.F.; Akolgo, I.G. An investigation of the relationship between proactive personality and entrepreneurial intentions using PLS-SEM among potential entrepreneurs in Pakistan. WALIA J. 2018, 34, 120–131. [Google Scholar]
- Nidumolu, R.; Prahalad, C.K.; Rangaswami, M.R. Why Sustainability is Now the Key Driver of Innovation. Harv. Bus. Rev. 2009, 87, 56–64. [Google Scholar]
- Zainal, M. Innovation Orientation and Performance of Kuwaiti Family Businesses: Evidence from the Initial Period of COVID-19 Pandemic. J. Fam. Bus. Manag. 2020, 15. [Google Scholar] [CrossRef]
- Li, J.J.; Zhou, K.Z. How Foreign Firms Achieve Competitive Advantage in the Chinese Emerging Economy: Managerial Ties and mMarket Orientation. J. Bus. Res. 2010, 63, 856–862. [Google Scholar] [CrossRef] [Green Version]
- Green, K.W.; Toms, L.C.; Clark, J. Impact of Market Orientation on Environmental Sustainability Strategy. Manag. Res. Rev. 2015, 38, 217–238. [Google Scholar] [CrossRef]
- Nasution, H.N.; Mavondo, F.T.; Matanda, M.J.; Ndubisi, N.O. Entrepreneurship: Its Relationship with Market Orientation and Learning Orientation and as Antecedents to Innovation and Customer Value. Ind. Mark. Manag. 2011, 40, 336–345. [Google Scholar] [CrossRef]
- Atuahene-Gima, K.; Ko, A. An Empirical Investigation of the Effect of Market Orientation and Entrepreneurship Orientation Alignment on Product Innovation. Organ. Sci. 2001, 12, 54–74. [Google Scholar] [CrossRef]
- Kousar, S.; Sabri, P.S.U.; Zafar, M.; Akhtar, A. Technological Factors and Adoption of Green Innovation: Moderating Role of Government Intervention: A Case of SMEs in Pakistan. Pak. J. Commer. Soc. Sci. 2017, 11, 833–861. [Google Scholar]
- Tölkes, C.; Butzmann, E. Motivating Pro-sustainable Behavior: The Potential of Green Events—A Case-Study from the Munich Streetlife Festival. Sustainability 2018, 10, 3731. [Google Scholar] [CrossRef] [Green Version]
- Maddux, J.E.; Gosselin, J.T. Self-Efficacy; The Guilford Press: New York, NY, USA, 2012. [Google Scholar]
- Gebert, D.; Heinitz, K.; Buengeler, C. Leaders’ Charismatic Leadership and Followers’ Commitment—The Moderating Dynamics of Value Erosion at the Societal Level. Leadersh. Q. 2016, 27, 98–108. [Google Scholar] [CrossRef]
- Newman, A.; Herman, H.M.; Schwarz, G.; Nielsen, I. The Effects of Employees’ Creative Self-efficacy on Innovative Behavior: The Role of Entrepreneurial Leadership. J. Bus. Res. 2018, 89, 1–9. [Google Scholar] [CrossRef] [Green Version]
- Jiang, W.; Gu, Q. Leader Creativity Expectations Motivate Employee Creativity: A Moderated Mediation Examination. Int. J. Hum. Resour. Manag. 2017, 28, 724–749. [Google Scholar] [CrossRef]
- McGee, J.E.; Peterson, M. The Long-term Impact of Entrepreneurial Self-efficacy and Entrepreneurial Orientation on Venture Performance. J. Small Bus. Manag. 2019, 57, 720–737. [Google Scholar] [CrossRef]
- Chen, Y.S.; Chang, C.H.; Lin, Y.H. Green Transformational Leadership and Green Performance: The Mediation Effects of Green Mindfulness and Green Self-efficacy. Sustainability 2014, 6, 6604–6621. [Google Scholar] [CrossRef] [Green Version]
- Aeknarajindawat, N.; Jermsittiparsert, K. The Mediating Impact of Green Self-efficacy and Green Mindfulness in the Relationship between Green Shared Vision and Green Creativity among the Manufacturing Firms in Thai Sports Industry. J. Hum. Sport Exerc. 2019, 14, 2262–2275. [Google Scholar]
- Chen, S.C.; Hsiao, H.C.; Chang, J.C.; Chou, C.M.; Chen, C.P.; Shen, C.H. Can the Entrepreneurship Course Improve the Entrepreneurial Intentions of Students? Int. Entrep. Manag. J. 2015, 11, 557–569. [Google Scholar] [CrossRef]
- Song, W.; Yu, H. Green Innovation Strategy and Green Innovation: The Roles of Green Creativity and Green Organizational Identity. Corp. Soc. Responsib. Environ. Manag. 2018, 25, 135–150. [Google Scholar] [CrossRef]
- Naz, S.; Li, C.; Zaman, U.; Rafiq, M. Linking Proactive Personality and Entrepreneurial Intentions: A Serial Mediation Model. Involving Broader and Specific Self-Efficacy. J. Open Innov. Technol. Mark. Complex. 2020, 6, 166. [Google Scholar] [CrossRef]
- Ahmad, N.H.; Ahmad, N.H.; Halim, H.A.; Rahman, S.A.; Ramayah, T. Green entrepreneurship proclivity among Generation Y nascent entrepreneurs of Malaysia. Econ. Soc. Sci. 2016, 13, 211–218. [Google Scholar]
- Nikolaou, E.; Ierapetritis, D.; Tsagarakis, K.P. An Evaluation of the Prospects of Green Entrepreneurship Development using a SWOT Analysis. Int. J. Sustain. Dev. World Ecol. 2011, 18, 1–16. [Google Scholar] [CrossRef]
- Dangelico, R.M.; Pujari, D.; Pontrandolfo, P. Green product innovation in manufacturing firms: A sustainability-oriented dynamic capability perspective. Bus. Strategy Environ. 2017, 26, 490–506. [Google Scholar] [CrossRef]
- Safari, A.; Salehzadeh, R.; Panahi, R.; Abolghasemian, S. Multiple Pathways Linking Environmental Knowledge and Awareness to Employees’ Green Behavior. Corp. Gov. Int. J. Bus. Soc. 2018, 18, 81–103. [Google Scholar] [CrossRef]
- Naz, S.; Jamshed, S.; Nisar, Q.A.; Nasir, N. Green HRM, psychological green climate and pro-environmental behaviors: An efficacious drive towards environmental performance in China. Curr. Psychol. 2021, 1–16. [Google Scholar] [CrossRef]
- Chang, C.H. The Influence of Corporate Environmental Ethics on Competitive Advantage: The Mediation Role of Green Innovation. J. Bus. Ethics 2011, 104, 361–370. [Google Scholar] [CrossRef]
- Saunila, M.; Ukko, J.; Rantala, T. Sustainability as a Driver of Green Innovation Investment and Exploitation. J. Clean. Prod. 2018, 179, 631–641. [Google Scholar] [CrossRef]
- Arfi, W.B.; Hikkerova, L.; Sahut, J.M. External knowledge sources, green innovation and performance. Technol. Forecast. Soc. Chang. 2018, 129, 210–220. [Google Scholar] [CrossRef]
- Ma, Y.; Hou, G.; Yin, Q.; Xin, B.; Pan, Y. The Sources of Green Management Innovation: Does Internal Efficiency Demand Pull or External Knowledge Supply Push? J. Clean. Prod. 2018, 202, 582–590. [Google Scholar] [CrossRef]
- Wang, J.; Xue, Y.; Sun, X.; Yang, J. Green Learning Orientation, Green Knowledge Acquisition and Ambidextrous Green Innovation. J. Clean. Prod. 2020, 250, 119475. [Google Scholar] [CrossRef]
- Yina, L.; Ye, F.; Sheu, C.; Yang, Q. Linking Green Market. Orientation and Performance: Antecedents and Processes. J. Clean. Prod. 2018, 192, 924–931. [Google Scholar]
- Galbreath, J. Which Resources Matter the Most to Firm Success? An Exploratory Study of Resource-based Theory. Technovation 2005, 25, 979–987. [Google Scholar] [CrossRef]
- Chen, Y.S.; Lai, S.B.; Wen, C.T. The Influence of Green Innovation Performance on Corporate Advantage in Taiwan. J. Bus. Ethics 2006, 67, 331–339. [Google Scholar] [CrossRef]
- Hansen, E.; Grosse-Dunker, F. Sustainability-Oriented Innovation; Encyclopedia of Corporate Social Responsibility: Heidelberg, Germany, 2012. [Google Scholar]
- Janssen, F.; Fayolle, A.; Wuilaume, A. Researching bricolage in social entrepreneurship. Entrep. Reg. Dev. 2018, 30, 450–470. [Google Scholar] [CrossRef]
- Khan, I.; Kashif, S.; Ahamd, A.; Haque, D.A. Effect of Non-Monetary Rewards on Employee Retention with a Mediating Role of Motivationin the Banking Sector of Pakistan. Imp. J. Interdesciplinary Res. IJIR 2017, 3, 611–622. [Google Scholar]
- Nyaga, J. Non Financial Reward and Employee Retention in Private Primary Schools in Kenya (Kiambu County). Int. J. Manag. Commer. Innov. 2015, 3, 240–254. [Google Scholar]
- Norman, G. Likert scales, levels of measurement and the “laws” of statistics. Adv. Health Sci. Educ. 2010, 15, 625–632. [Google Scholar] [CrossRef]
- Tian, H.; Iqbal, S.; Anwar, F.; Akhtar, S.; Khan, M.A.S.; Wang, W. Network Embeddedness and Innovation Performance: A Mediation Moderation Analysis using PLS-SEM. Bus. Process. Manag. J. 2021, 27, 1590–1609. [Google Scholar] [CrossRef]
- Sullivan, G.M.; Artino, J. Analyzing and Interpreting Data from Likert-type Scales. J. Grad. Med Educ. 2013, 5, 541–542. [Google Scholar] [CrossRef] [PubMed] [Green Version]
- Podsakoff, P.M.; MacKenzie, S.B.; Lee, J.-Y.; Podsakoff, N.P. Common method biases in behavioral research: A critical review of the literature and recommended remedies. J. Appl. Psychol. 2003, 88, 879. [Google Scholar] [CrossRef] [PubMed]
- Wolf, E.J.; Wolf, E.J.; Harrington, K.M.; Clark, S.L.; Miller, M.W. Sample Size Requirements for Structural Equation Models: An Evaluation of Power, Bias, and Solution Propriety. Educ. Psychol. Meas. 2013, 73, 913–934. [Google Scholar] [CrossRef] [PubMed]
- Roscoe, J.T. Fundamental Research Statistics for the Behavioral Sciences. 1975. Available online: https://books.google.com.pk/books?id=Fe8vAAAAMAAJ (accessed on 15 April 2021).
- Kvitastein, O.A.; Aarstad, J. Entrepreneurial Market. Orientation: Assessing the Roles of Self-Efficacy, Effectuation and Causation Logics. Int. Rev. Entrep. 2019, 17. Available online: https://d1wqtxts1xzle7.cloudfront.net/61915079/KvitasteinAarstad17.3_00220200127-94482-1s75heq-with-cover-page-v2.pdf?Expires=1634547926&Signature=JzY3lVX6ic4pTtfXO-y0I03iXIfJSPv35fbnj8fs3FZ4cw-YNCrkBOeJVBBGb6wjR3zD39eJm8LW8xLSm2N4X36aYqnq6meaDxh2W5VnuTUuI6WqUGa7bdUyjtzmTIQVgv6hL6Jm80i53~5TnMiA~tNgoKI3YugU3EqNNq2Z~xeYVEfKJ-StHpOT-FUaXhZ~3jVNTznGH1Qz4O8efy9JW1Yo3NtFyklXE7I3baf7UA~1vBo~xYd1tyLU2WXClaPcYbi1VQ3x37orufVtkkxr-TwNREMRMYSh8MfrYcovbZesQABOrlF33DP8kSqIB~1BQFqfQxrM-XDndP4On5GSbw__&Key-Pair-Id=APKAJLOHF5GGSLRBV4ZA (accessed on 15 April 2021).
- Sun, Y.; Du, S.; Ding, Y. The Relationship between Slack Resources, Resource Bricolage, and Entrepreneurial Opportunity Identification—Based on Resource Opportunity Perspective. Sustainability 2020, 12, 1199. [Google Scholar] [CrossRef] [Green Version]
- Guo, L.; Xu, Y.; Liu, G.; Wang, T. Understanding Firm Performance on Green Sustainable Practices Through Managers’ Ascribed Responsibility and Waste Management: Green Self-Efficacy as Moderator. Sustainability 2019, 11, 4976. [Google Scholar] [CrossRef] [Green Version]
- Wang, C.H. An environmental perspective extends market orientation: Green innovation sustainability. Bus. Strategy Environ. 2020, 29, 3123–3134. [Google Scholar] [CrossRef]
- Qu, K.; Liu, Z. Improving Green Product Innovation through Green Market Orientation under Environmental Dynamism: A Moderating Model. Soc. Sci. Res. Netw. 2020. [Google Scholar] [CrossRef]
- Leguina, A. A Primer on Partial Least Squares Structural Equation Modeling (PLS-SEM); Taylor & Francis: Manchester, UK, 2015. [Google Scholar]
- Jeo, H.; Sarstedt, M.; Ringle, C.M.; Mena, J.A. An Assessment of the Use of Partial Least Squares Structural Equation Modeling in Marketing Research. J. Acad. Mark. Sci. 2012, 40, 414–433. [Google Scholar]
- Iqbal, S.; Moleiro Martins, J.; Nuno Mata, M.; Naz, S.; Akhtar, S.; Abreu, A. Linking entrepreneurial orientation with innovation performance in SMEs; the role of organizational commitment and transformational leadership using smart PLS-SEM. Sustainability 2021, 13, 4361. [Google Scholar] [CrossRef]
- Kura, K.M. Linking Environmentally Specific Transformational Leadership and Environmental Concern to Green Behaviour at Work. Glob. Bus. Rev. 2016, 17 (Suppl. 3), 1S–14S. [Google Scholar] [CrossRef]
- Jeo, H.; Ringle, C.; Sarstedt, M. PLS-SEM: Indeed a Silver Bullet. J. Mark. Theory Pract. 2011, 19, 139–152. [Google Scholar]
- Hair, J.; Hult, G.T.M.; Ringle, C.M.; Sarstedt, M. A Primer on Partial Least Squares Structural Equation Modeling (PLS-SEM); Sage Publications: Thousand Oaks, CA, USA, 2016. [Google Scholar]
- Lee, L.; Chen, L.F. Boosting Employee Retention Through CSR: A Configurational Analysis. Corp. Soc. Responsib. Environ. Manag. 2018, 25, 948–960. [Google Scholar] [CrossRef]
- Fornell, C.; Larcker, D.F. Evaluating structural equation models with unobservable variables and measurement error. J. Mark. Res. 1981, 18, 39–50. [Google Scholar] [CrossRef]
- Ab Hamid, M.; Sami, W.; Sidek, M.M. Discriminant Validity Assessment: Use of Fornell & Larcker Criterion Versus HTMT Criterion. J. Phys. Conf. Series 2017, 890, 012163. [Google Scholar] [CrossRef]
- Gold, A.H.; Malhotra, A.; Segars, A.H. Knowledge Management: An Organizational Capabilities Perspective. J. Manag. Inf. Syst. 2001, 18, 185–214. [Google Scholar] [CrossRef]
- Kock, N. Common Method Bias in PLS-SEM: A Full Collinearity Assessment Approach. Int. J. e-Collab. 2015, 11, 1–10. [Google Scholar] [CrossRef] [Green Version]
- Hair, J.; Hollingsworth, C.L.; Randolph, A.B.; Chong, A.Y.L. An Updated and Expanded Assessment of PLS-SEM in Information Systems Research. Ind. Manag. Data Syst. 2017, 117, 442–458. [Google Scholar] [CrossRef]
- Tehseen, S.; Ramayah, T.; Sajilan, S. Testing and Controlling for Common Method Variance: A Review of Available Methods. J. Manag. Sci. 2017, 4, 142–168. [Google Scholar] [CrossRef]
- Ringle, C.M.; Sarstedt, M.; Straub, D.W. Editor’s Comments: A Critical Look at the Use of PLS-SEM in” MIS Quarterly”. MIS Q. 2012, 36, 3–15. [Google Scholar] [CrossRef] [Green Version]
- Geisser, S. A predictive approach to the random effect model. Biometrika 1974, 61, 101–107. [Google Scholar] [CrossRef]
- Munoz, R.T.; Hanks, H.; Hellman, C.M.J.T. Hope and resilience as distinct contributors to psychological flourishing among childhood trauma survivors. Traumatology 2020, 26, 177. [Google Scholar] [CrossRef]
- Pavlov, G.; Maydeu-Olivares, A.; Shi, D. Using the Standardized Root Mean Squared Residual (SRMR) to Assess. Exact Fit. in Structural Equation Models. Educ. Psychol. Meas. 2021, 81, 110–130. [Google Scholar] [CrossRef]
- Sarstedt, M.; Ringle, C.M.; Henseler, J.; Hair, J.F. On the Emancipation of PLS-SEM: A Commentary on Rigdon (2012). Long Range Plan. 2014, 47, 154–160. [Google Scholar] [CrossRef]



| Market Orientation (MO) |
|
Green Self-Efficacy (GSE)
|
Resource Bricolage (RB)
|
Green Product Innovation (GPI)
|
| Construct | Item Code | Loading | Outer Weights | CA | CR | AVE |
|---|---|---|---|---|---|---|
| Market Orientation (MO) | 0.895 | 0.927 | 0.761 | |||
| MO1 | 0.825 | 0.257 | ||||
| MO2 | 0.876 | 0.258 | ||||
| MO3 | 0.895 | 0.308 | ||||
| MO4 | 0.891 | 0.321 | ||||
| Green Self-Efficacy (GSE) | 0.897 | 0.929 | 0.766 | |||
| GSE1 | 0.865 | 0.283 | ||||
| GSE2 | 0.796 | 0.254 | ||||
| GSE3 | 0.896 | 0.288 | ||||
| GSE4 | 0.937 | 0.315 | ||||
| Resource Bricolage (RB) | 0.953 | 0.964 | 0.842 | |||
| RB1 | 0.946 | 0.22 | ||||
| RB2 | 0.925 | 0.214 | ||||
| RB3 | 0.921 | 0.223 | ||||
| RB4 | 0.873 | 0.204 | ||||
| RB5 | 0.921 | 0.229 | ||||
| Green Product Innovation (GPI) | 0.902 | 0.911 | 0.562 | |||
| GPI1 | 0.749 | 0.122 | ||||
| GPI2 | 0.795 | 0.145 | ||||
| GPI3 | 0.733 | 0.137 | ||||
| GPI4 | 0.730 | 0.139 | ||||
| GPI5 | 0.782 | 0.123 | ||||
| GPI6 | 0.763 | 0.123 | ||||
| GPI7 | 0.718 | 0.274 | ||||
| GPI8 | 0.724 | 0.281 |
| Green Product Innovation | Green Self-Efficacy | Market Orientation | Resource Bricolage | |
|---|---|---|---|---|
| Green Product Innovation | 0.750 | |||
| Green Self-Efficacy | 0.737 | 0.875 | ||
| Market Orientation | 0.404 | 0.338 | 0.872 | |
| Resource Bricolage | 0.376 | 0.399 | 0.402 | 0.918 |
| Green Product Innovation | Green Self-Efficacy | MO × RB | Market Orientation | |
|---|---|---|---|---|
| Green Self-Efficacy | 0.654 | |||
| Market Orientation × Resource Bricolage | 0.175 | 0.215 | ||
| Market Orientation | 0.437 | 0.371 | 0.314 | |
| Resource Bricolage | 0.349 | 0.429 | 0.508 | 0.433 |
| Construct | R2 | Adj. R2 | VIF | Q2 | SRMR |
|---|---|---|---|---|---|
| Green Product Innovation | 0.572 | 0.568 | 1.268 | 0.223 | 0.067 |
| Green Self-Efficacy | 0.114 | 0.112 | 1.000 | 0.081 |
| Effects | Relationships | Beta | Mean | (STDEV) | t-Value | Decision |
|---|---|---|---|---|---|---|
| Direct | ||||||
| H1 | Market Orientation→Green Self-Efficacy | 0.34 | 0.339 | 0.045 | 7.438 * | Supported |
| H2 | Green Self-Efficacy→Green Product Innovation | 0.66 | 0.666 | 0.034 | 19.651 * | Supported |
| H3 | Market Orientation→Green Product Innovation | 0.39 | 0.389 | 0.041 | 9.479 * | Supported |
| Indirect or Mediating/Moderating | ||||||
| H4 | Market Orientation→Green Self-Efficacy→Green Product Innovation | 0.224 | 0.226 | 0.032 | 6.955 * | Supported |
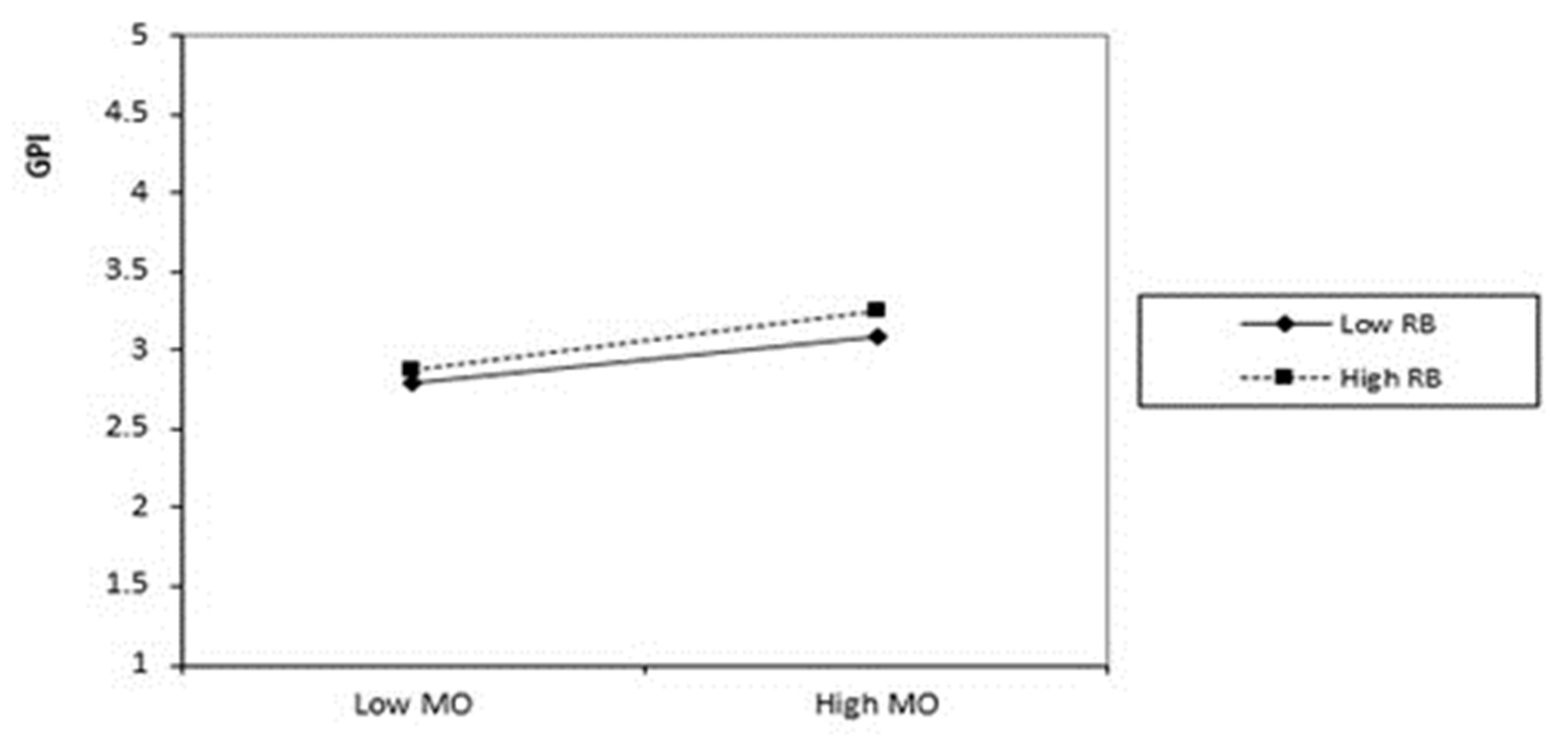
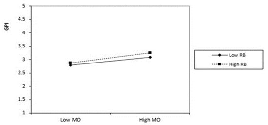
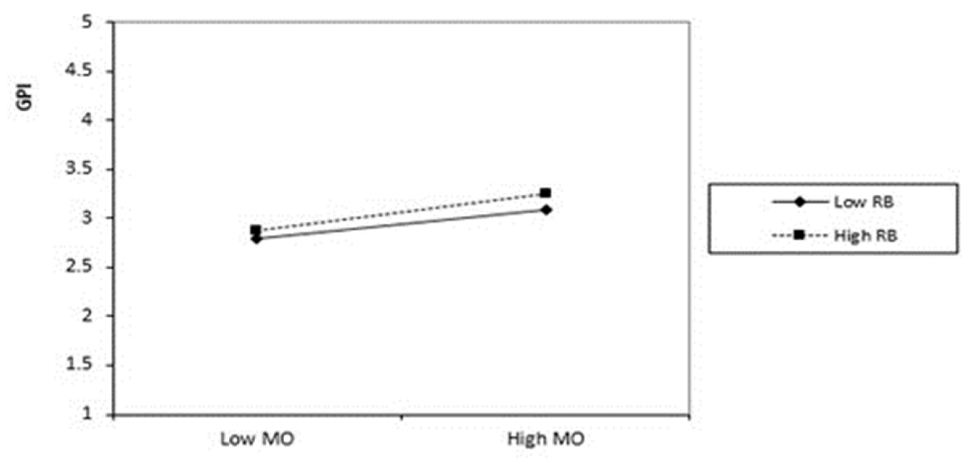
| H5 | Market Orientation×Resource Bricolage→Green Product Innovation | 0.200 | 0.201 | 0.029 | 2.676 * | Supported |
Publisher’s Note: MDPI stays neutral with regard to jurisdictional claims in published maps and institutional affiliations. |
© 2021 by the authors. Licensee MDPI, Basel, Switzerland. This article is an open access article distributed under the terms and conditions of the Creative Commons Attribution (CC BY) license (https://creativecommons.org/licenses/by/4.0/).
Share and Cite
Akhtar, S.; Martins, J.M.; Mata, P.N.; Tian, H.; Naz, S.; Dâmaso, M.; Santos, R.S. Assessing the Relationship between Market Orientation and Green Product Innovation: The Intervening Role of Green Self-Efficacy and Moderating Role of Resource Bricolage. Sustainability 2021, 13, 11494. https://doi.org/10.3390/su132011494
Akhtar S, Martins JM, Mata PN, Tian H, Naz S, Dâmaso M, Santos RS. Assessing the Relationship between Market Orientation and Green Product Innovation: The Intervening Role of Green Self-Efficacy and Moderating Role of Resource Bricolage. Sustainability. 2021; 13(20):11494. https://doi.org/10.3390/su132011494
Chicago/Turabian StyleAkhtar, Shamim, José Moleiro Martins, Pedro Neves Mata, Hongyun Tian, Shumaila Naz, Maria Dâmaso, and Ricardo Simões Santos. 2021. "Assessing the Relationship between Market Orientation and Green Product Innovation: The Intervening Role of Green Self-Efficacy and Moderating Role of Resource Bricolage" Sustainability 13, no. 20: 11494. https://doi.org/10.3390/su132011494
APA StyleAkhtar, S., Martins, J. M., Mata, P. N., Tian, H., Naz, S., Dâmaso, M., & Santos, R. S. (2021). Assessing the Relationship between Market Orientation and Green Product Innovation: The Intervening Role of Green Self-Efficacy and Moderating Role of Resource Bricolage. Sustainability, 13(20), 11494. https://doi.org/10.3390/su132011494

