Influence of pH and Temperature on Struvite Purity and Recovery from Anaerobic Digestate
Abstract
:1. Introduction
2. Materials and Methods
2.1. Sample Collection and Description of the Full-Scale Wastewater Treatment Works
2.2. Analytical Methods
2.3. Struvite Precipitate Characterisation
2.4. Materials
2.5. Experimental Set-Up and Procedure
2.6. Data Processing and Statistical Analysis
3. Results and Discussion
3.1. Effect of the pH and Temperature on Ions Removal
3.2. Ions Mass Balance
3.3. Struvite Characterisation
4. Conclusions
Supplementary Materials
Author Contributions
Funding
Data Availability Statement
Acknowledgments
Conflicts of Interest
References
- Li, B.; Boiarkina, I.; Young, B.; Yu, W.; Singhal, N. Prediction of Future Phosphate Rock: A Demand Based Model. J. Environ. Inform. 2018, 31, 4153. [Google Scholar] [CrossRef] [Green Version]
- Ungureanu, N.; Vlăduț, V.; Voicu, G. Water scarcity and wastewater reuse in crop irrigation. Sustainability 2020, 12, 119. [Google Scholar] [CrossRef]
- Adegoke, A.A.; Amoah, I.D.; Stenström, T.A.; Verbyla, M.E.; Mihelcic, J.R. Epidemiological evidence and health risks associated with agricultural reuse of partially treated and untreated wastewater: A review. Front. Public Health 2018, 6, 1–20. [Google Scholar] [CrossRef] [Green Version]
- Liu, Y.; Qu, H. Interplay of digester supernatant composition and operating pH on impacting the struvite particulate properties. J. Environ. Chem. Eng. 2017, 5, 39493955. [Google Scholar] [CrossRef]
- Guadie, A.; Xia, S.; Jiang, W.; Zhou, L.; Zhang, Z.; Hermanowicz, S.W.; Shen, S. Enhanced struvite recovery from wastewater using a novel cone-inserted fluidized bed reactor. J. Environ. Sci. 2014, 26, 765774. [Google Scholar] [CrossRef]
- Rahman, M.M.; Salleh, M.A.M.; Rashid, U.; Ahsan, A.; Hossain, M.M.; Ra, C.S. Production of slow release crystal fertilizer from wastewaters through struvite crystallization-A review. Arab. J. Chem. 2013, 7, 139155. [Google Scholar] [CrossRef] [Green Version]
- Batstone, D.J.; Jensen, P.D. Anaerobic Processes. Treatise Water Sci. 2011, 4, 615639. [Google Scholar]
- Tansel, B.; Griffin, L.; Monje, O. Struvite formation and decomposition characteristics for ammonia and phosphorus recovery: A review of magnesium-ammonia- phosphate interactions. Chemosphere 2018, 194, 504514. [Google Scholar] [CrossRef] [PubMed]
- Siciliano, A.; Limonti, C.; Curcio, G.M.; Molinari, R. Advances in struvite precipitation technologies for nutrients removal and recovery from aqueous waste and wastewater. Sustainability 2020, 12, 7538. [Google Scholar] [CrossRef]
- Snoeyink, V.; Jenkins, D. Water Chemistry; John Wiley and Sons: New York, NY, USA, 1980. [Google Scholar]
- Doyle, J.D.; Philp, R.; Churchley, J.; Parsons, S.A. Analysis of Struvite Precipitation in Real and Synthetic Liquors. Process. Saf. Environ. Prot. 2000, 78 Pt B, 480–488. [Google Scholar] [CrossRef]
- Le Corre, K.S.; Valsami-Jones, E.; Hobbs, P.; Parsons, S.A. Phosphorus recovery from wastewater by struvite crystallization: A review. Crit. Rev. Environ. Sci. Technol. 2009, 39, 433477. [Google Scholar] [CrossRef] [Green Version]
- Shih, K.; Yan, H. Chapter 26—The Crystallization of Struvite and Its Analog K-Struvite From Waste Streams for Nutrient Recycling. In Environmental Materials and Waste; Prasad, M.N., Shih, K., Eds.; Elsevier: Amsterdam, The Netherlands, 2016; pp. 665–686. [Google Scholar]
- Le Corre, K.S.; Valsami-Jones, E.; Hobbs, P.; Parsons, S.A. Impact of calcium on struvite crystal size, shape and purity. J. Cryst. Growth 2005, 283, 514522. [Google Scholar] [CrossRef] [Green Version]
- Capdevielle, A.; Sýkorová, E.; Biscans, B.; Béline, F.; Daumer, M.L. Optimization of struvite precipitation in synthetic biologically treated swine wastewater-Determination of the optimal process parameters. J. Hazard. Mater. 2013, 244–245, 357369. [Google Scholar] [CrossRef] [Green Version]
- Hallas, J.F.; Mackowiak, C.L.; Wilkie, A.C.; Harris, W.G. Struvite Phosphorus Recovery from Aerobically Digested Municipal Wastewater. Sustainability 2019, 11, 376. [Google Scholar] [CrossRef] [Green Version]
- Lee, S.H.; Yoo, B.H.; Kim, S.K.; Lim, S.J.; Kim, J.Y.; Kim, T.H. Enhancement of struvite purity by re-dissolution of calcium ions in synthetic wastewaters. J. Hazard. Mater. 2013, 261, 2937. [Google Scholar] [CrossRef]
- Li, B.; Boiarkina, I.; Young, B.; Yu, W. Quantification and mitigation of the negative impact of calcium on struvite purity. Adv. Powder Technol. 2016, 27, 23542362. [Google Scholar] [CrossRef]
- Moulessehoul, A.; Gallart-Mateu, D.; Harrache, D.; Djaroud, S.; de la Guardia, M.; Kameche, M. Conductimetric study of struvite crystallization in water as a function of pH. J. Cryst. Growth 2017, 471, 4252. [Google Scholar] [CrossRef]
- Li, B.; Boiarkina, I.; Yu, W.; Huang, H.M.; Munir, T.; Wang, G.Q.; Young, B.R. Phosphorous recovery through struvite crystallization: Challenges for future design. Sci. Total Environ. 2019, 648, 12441256. [Google Scholar] [CrossRef] [PubMed]
- Ariyanto, E.; Ang, H.M.; Sen, T.K. The Influence of Various Process Parameters on Dissolution Kinetics and Mechanism of Struvite Seed Crystals. J. Inst. Eng. Ser. A 2017, 98, 293302. [Google Scholar] [CrossRef]
- Moussa, S.B.; Tlili, M.M.; Batis, N.; Amor, M.B. Influence of temperature on struvite precipitation by CO2-deagassing method. Cryst. Res. Technol. 2011, 260, 255260. [Google Scholar]
- Crutchik, D.; Garrido, J.M. Kinetics of the reversible reaction of struvite crystallisation. Chemosphere 2016, 154, 567572. [Google Scholar] [CrossRef]
- Doyle, J.D.; Parsons, S.A. Struvite formation, control and recovery. Water Res. 2002, 36, 39253940. [Google Scholar] [CrossRef]
- Webb, K.M.; Ho, G.E. Solubility and its application to a piggery effluent problem. Water Sci. Technol. 1992, 26, 22292232. [Google Scholar] [CrossRef]
- Bhuiyan, M.I.H.; Mavinic, D.S.; Beckie, R.D. A solubility and thermodynamic study of struvite. Environ. Technol. 2007, 28, 10151026. [Google Scholar] [CrossRef]
- Shaddel, S.; Ucar, S.; Andreassen, J.; Østerhus, S.W. Engineering of struvite crystals by regulating supersaturation-Correlation with phosphorus recovery, crystal morphology and process efficiency. J. Environ. Chem. Eng. 2019, 7, 102918. [Google Scholar] [CrossRef]
- Yulistyorini, A. Phosphorus Recovery from Wastewater through Enhanced Micro-Algal Uptake; The University of Leeds: Leeds, UK, 2016. [Google Scholar]
- APHA; AWWA; WEF. Standard Methods for the Examination of Water and Wastewater, 23rd ed.; American Public Health Association: Washington, DC, USA, 2017. [Google Scholar]
- Rasban, W. Image J. National Institutes of Health. 2016. Available online: https://imagej.nih.gov/ij/download.html (accessed on 1 July 2021).
- Liu, Z.; Zhao, Q.; Lee, D.; Yang, N. Enhancing phosphorus recovery by a new internal recycle seeding MAP reactor. Bioresour. Technol. 2008, 99, 64886493. [Google Scholar] [CrossRef]
- Cabanelas IT, D.; Ruiz, J.; Arbib, Z.; Chinalia, F.A.; Garrido-Pérez, C.; Rogalla, F.; Perales, J.A. Comparing the use of different domestic wastewaters for coupling microalgal production and nutrient removal. Bioresour. Technol. 2013, 131, 429436. [Google Scholar] [CrossRef]
- Munch, E.V.; Barr, K. Controlled Struvite Crystallisation for Removing Phosphorus From Anaerobic Digestion Sidestreams. Water Res. 2001, 35, 151159. [Google Scholar] [CrossRef]
- Jia, G. Nutrient Removal and Recovery by the Precipitation of Magnesium Ammonium Phosphate; The University of Adelaide: Adelaide, SA, Australia, 2014. [Google Scholar]
- González-Morales, C.; Camargo-Valero, M.A.; Molina-Pérez, F.J.; Fernandez, B. Effect of the stirring speed on the struvite formation using the centrate from a WWTP. Rev. Fac. Ing. 2019, 92, 917. [Google Scholar] [CrossRef] [Green Version]
- Liu, X.; Wen, G.; Hu, Z.; Wang, J. Coupling effects of pH and Mg/P ratio on P recovery from anaerobic digester supernatant by struvite formation. J. Clean. Prod. 2018, 198, 633641. [Google Scholar] [CrossRef]
- Ye, X.; Ye, Z.L.; Lou, Y.; Pan, S.; Wang, X.; Wang, M.K.; Chen, S. A comprehensive understanding of saturation index and up fl ow velocity in a pilot-scale fl uidized bed reactor for struvite recovery from swine wastewater. Powder Technol. 2016, 295, 1626. [Google Scholar] [CrossRef]
- Ghosh, S.; Lobanov, S.; Lo, V.K. Impact of supersaturation ratio on phosphorus recovery from synthetic anaerobic digester supernatant through a struvite crystallization fluidized bed reactor. Environ. Technol. 2019, 40, 2000–2010. [Google Scholar] [CrossRef]
- Çelen, I.; Buchanan, J.R.; Burns, R.T.; Robinson, R.B.; Raman, D.R. Using a chemical equilibrium model to predict amendments required to precipitate phosphorus as struvite in liquid swine manure. Water Res. 2007, 41, 16891696. [Google Scholar] [CrossRef] [PubMed]
- Uysal, A.; Kuru, B. Examination of Nutrient Removal from Anaerobic Effluent of the Dairy Processing Industry by Struvite Precipitation Using the Response Surface Methodology. Fresenius Environ. Bull. 2013, 22, 13801387. [Google Scholar]
- Yan, H.; Shih, K. Effects of calcium and ferric ions on struvite precipitation: A new assessment based on quantitative X-ray diffraction analysis. Water Res. 2016, 95, 310318. [Google Scholar] [CrossRef] [PubMed]
- Vasconcelos, C. Estudio de la Cristalización y Recuperación de Hidroxiapatita en un Reactor de Tanque Agitado; Universitat Politècnica de Catalunya: Barcelona, Spain, 2013. [Google Scholar]
- Li, B.; Huang, H.M.; Boiarkina, I.; Yu, W.; Huang, Y.F.; Wang, G.Q.; Young, B.R. Phosphorus recovery through struvite crystallisation: Recent developments in the understanding of operational factors. J. Environ. Manag. 2019, 248, 109254. [Google Scholar] [CrossRef] [PubMed]
- Zhang, D.M.; Chen, Y.X.; Jilani, G.; Wu, W.X.; Liu, W.L.; Han, Z.Y. Optimization of struvite crystallization protocol for pretreating the swine wastewater and its impact on subsequent anaerobic biodegradation of pollutants. Bioresour. Technol. 2012, 116, 386395. [Google Scholar] [CrossRef] [PubMed]
- Stratful, I.; Scrimshaw, M.D.; Lester, J.N. Conditions influencing the precipitation of magnesium ammonium phosphate. Water Res. 2001, 35, 41914199. [Google Scholar] [CrossRef]
- Tarragó, E.; Puig, S.; Ruscalleda, M.; Balaguer, M.D.; Colprim, J. Controlling struvite particles’ size using the up-flow velocity. Chem. Eng. J. 2016, 302, 819827. [Google Scholar] [CrossRef] [Green Version]


Mg,
P,
N,
Ca,
K
precipitate mass,
maximum quantity (mmol) that can precipitate as struvite.
Mg,
P,
N,
Ca,
K
precipitate mass,
maximum quantity (mmol) that can precipitate as struvite.

Struvite MgNH4PO4.6H2O,
Magnesite MgCO3,
Calcite CaCO3,
Farringtonite Mg3(PO4)2,
Amorphous calcium phosphate Ca3(PO4)2.
Struvite MgNH4PO4.6H2O,
Magnesite MgCO3,
Calcite CaCO3,
Farringtonite Mg3(PO4)2,
Amorphous calcium phosphate Ca3(PO4)2.


| Experimental Conditions | pH-Tests | t-Tests |
|---|---|---|
| Test variables | ||
| pH | 8, 9, 10 | 9 |
| Temperature (°C) | 20 | 25, 33, 40 |
| Stirring speed (rpm) | 85 | 100 |
| Velocity gradient, G (s−1) | 79 | 79 |
| Volume (L) | 2 | 1 |
| Replicates | 2 | 2 |
| Molar ratios | ||
| Mg/Ca | 2.3 | 7.1 |
| N/P | 21.6 | 8.6 |
| Mg/P | 1.3 | 1.7 |
| Concentration of chemical species | ||
| PO4-P (mg/L) | 120 | 300 |
| NH4-N (mg/L) | 1172 | 1172 |
| Mg (mg/L) | 125 | 387 |
| K (mg/L) | 111 | 111 |
| Ca (mg/L) | 91.5 | 91.5 |
| TSS (mg/L) | 512 | 202 |
| T (°C) | 20 | 20 | 20 | 25 | 33 | 40 | ANOVA | ||
|---|---|---|---|---|---|---|---|---|---|
| pH | 8 | 9 | 10 | 9 | 9 | 9 | p-Value | ||
| Parameter | pH | T | |||||||
| Removal efficiency * (%) | Mg2+ | 68.6 ± 0.1 | 70.4 ± 3.0 | 75.8 ± 3.0 | 60.8 ± 1.5 | 71.6 ± 0.1 | 59.3 ± 1.2 | 0.118 | 0.004 |
| Ca2+ | 15.9 ± 7.8 | 50.6 ± 0.5 | 64.5 ± 10.0 | 35.2 ± 9.1 | 52.7 ± 2.3 | 46.5 ± 2.9 | 0.014 | 0.109 | |
| PO43−-P | 92.7 ± 0.3 | 93.9 ± 0.0 | 92.8 ± 0.4 | 99.5 ± 0.1 | 99.8 ± 0.1 | 99.6 ± 0.0 | 0.029 | 0.037 | |
| NH4+-N | 16.8 ± 2.5 | 26.6 ± 1.0 | 58.1 ± 1.1 | 18.6 ± 2.4 | 23.5 ± 0.0 | 31.8 ± 0.3 | 0.0003 | 0.006 | |
| NH3-NVol | 13.1 ± 2.5 | 22.2 ± 1.1 | 53.7 ± 1.1 | 5.4 ± 1.2 | 12.8 ± 0.7 | 18.7 ± 0.3 | 0.0003 | 0.001 | |
| K+ | 0.7 ± 1.0 | 3.1 ± 4.5 | 7.1 ± 0.2 | 3.9 ± 1.5 | 0.9 ± 0.2 | 0.8 ± 1.4 | 0.261 | 0.192 | |
| PMAP (%) | 78.4 ± 0.5 | 92.7 ± 4.0 | 92.8 ± 0.4 | 99.6 ± 0.1 | 85 ± 1.8 | 98.1 ± 2.0 | 0.002 | 0.071 | |
| MAP | Purity (%) | 56 | 70 | 56 | 93 | 87 | 98 | - | - |
| precipitates | Score ** (%) | 55 | 87 | 68 | 72 | 66 | 74 | - | - |
| Mass (g) | 1.8 ± 0.0 | 1.7 ± 0.1 | 2.3 ± 0.0 | 2.4 ± 0.2 | 2.2 ± 0.1 | 2.2 ± 0.0 | 0.001 | 0.359 | |
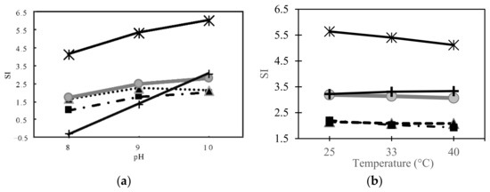
| SI *** | 1.71 | 2.55 | 2.80 | 3.19 | 3.11 | 3.07 | - | - | |
| size (µm) | 72 ± 30.2 | 84 ± 25.6 | 46 ± 8.7 | 44 ± 7.2 | 58 ± 15.6 | 52 ± 8.6 | 0.008 | 0.007 | |
| Quantity of Total and Individual Ions in the Precipitates (mmol) | ||||||||||||
|---|---|---|---|---|---|---|---|---|---|---|---|---|
| Test Conditions | Total Precipitates and MAP 1 | Non-Struvite Precipitates (See Figure 4) | ||||||||||
| T (°C) | pH | Mg2+ | Ca2+ | NH4+-N | PO43−-P | K+ | MAP 1 | Mg2+ | Ca2+ | NH4+-N | PO43−-P | K+ |
| 20 | 8 | 7.1 | 0.7 | 6.2 | 7.3 | 0.0 | 6.2 | 0.9 | 0.7 | 0.0 | 1.1 | 0.0 |
| 20 | 9 | 7.3 | 2.3 | 7.4 | 7.4 | 0.2 | 7.3 | 0.0 | 2.3 | 0.1 | 0.1 | 0.2 |
| 20 | 10 | 7.9 | 3.0 | 7.4 | 7.3 | 0.4 | 7.3 | 0.6 | 3.0 | 0.1 | 0.0 | 0.4 |
| 25 | 9 | 9.8 | 0.8 | 10.1 | 9.7 | 0.1 | 9.7 | 0.1 | 0.8 | 0.4 | 0.0 | 0.1 |
| 33 | 9 | 11.5 | 1.2 | 8.3 | 9.7 | 0.0 | 8.3 | 3.3 | 1.2 | 0.0 | 1.4 | 0.0 |
| 40 | 9 | 9.6 | 1.1 | 10.1 | 9.7 | 0.0 | 9.6 | 0.0 | 1.1 | 0.5 | 0.1 | 0.0 |
Publisher’s Note: MDPI stays neutral with regard to jurisdictional claims in published maps and institutional affiliations. |
© 2021 by the authors. Licensee MDPI, Basel, Switzerland. This article is an open access article distributed under the terms and conditions of the Creative Commons Attribution (CC BY) license (https://creativecommons.org/licenses/by/4.0/).
Share and Cite
González-Morales, C.; Fernández, B.; Molina, F.J.; Naranjo-Fernández, D.; Matamoros-Veloza, A.; Camargo-Valero, M.A. Influence of pH and Temperature on Struvite Purity and Recovery from Anaerobic Digestate. Sustainability 2021, 13, 10730. https://doi.org/10.3390/su131910730
González-Morales C, Fernández B, Molina FJ, Naranjo-Fernández D, Matamoros-Veloza A, Camargo-Valero MA. Influence of pH and Temperature on Struvite Purity and Recovery from Anaerobic Digestate. Sustainability. 2021; 13(19):10730. https://doi.org/10.3390/su131910730
Chicago/Turabian StyleGonzález-Morales, Carolina, Belén Fernández, Francisco J. Molina, Darío Naranjo-Fernández, Adriana Matamoros-Veloza, and Miller Alonso Camargo-Valero. 2021. "Influence of pH and Temperature on Struvite Purity and Recovery from Anaerobic Digestate" Sustainability 13, no. 19: 10730. https://doi.org/10.3390/su131910730
APA StyleGonzález-Morales, C., Fernández, B., Molina, F. J., Naranjo-Fernández, D., Matamoros-Veloza, A., & Camargo-Valero, M. A. (2021). Influence of pH and Temperature on Struvite Purity and Recovery from Anaerobic Digestate. Sustainability, 13(19), 10730. https://doi.org/10.3390/su131910730

