Bus Load Forecasting Method of Power System Based on VMD and Bi-LSTM
Abstract
:1. Introduction
2. Theoretical Framework
2.1. Variational Mode Decomposition
2.1.1. Construction of Variational Mode Decomposition Function
2.1.2. Solution of Variational Mode Decomposition Function
2.2. Long Short-Term Memory Neural Network
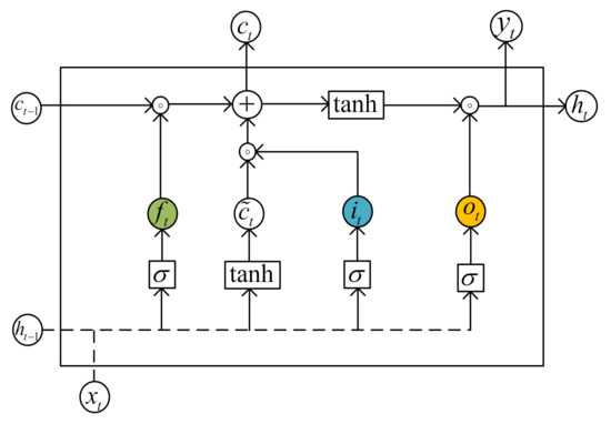
2.2.1. LSTM Operation Rules
2.2.2. Training Process of LSTM
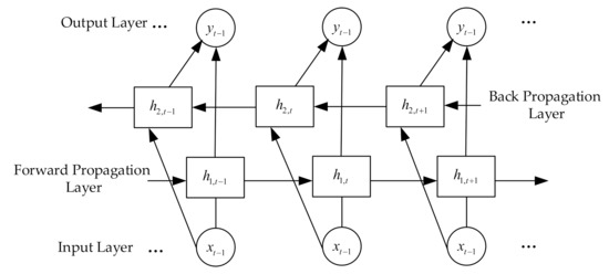
2.2.3. Bidirectional LSTM
2.3. Bayesian Optimization of LSTM
2.3.1. Bayesian Optimization Theory
2.3.2. Hyperparameter Optimization of LSTM
2.4. VMD-Bi-LSTM Combined Prediction Model
3. Case Study
3.1. Temporal Data Decomposition
3.2. Hyperparameter Optinization of VMD-LSTM
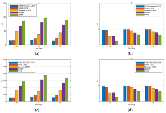
3.3. Model Evaluation Index
3.4. Model Evaluation Index
4. Conclusions and Future Studies
Author Contributions
Funding
Institutional Review Board Statement
Informed Consent Statement
Data Availability Statement
Acknowledgments
Conflicts of Interest
Nomenclature
| δ(t) | The Dirichlet function |
| K | The number of IMFs/the covariance matrix |
| uk | IMF |
| ωk | The center frequency of uk |
| α | The quadratic penalty factor |
| λ (t) | The Lagrangian multiplication operator |
| ct | The memory unit |
| ht | The hidden layer state |
| xk | The input vector sequence |
| ft | The calculation results of the forget gate |
| it | The calculation results of the input gate |
| ot | The calculation results of the output gate |
| Wf | The weight matrix of the forget gate |
| Wi | The weight matrix of the input gate |
| Wo | The weight matrix of the output gate |
| bf | The weight matrix of the forget gate |
| bi | The weight matrix of the input gate |
| bo | The weight matrix of the output gate |
| o | The dot product symbol of the matrix element |
| σ(x) | The Sigmoid activation function of each gate |
| x | The input value |
| y | The response output value |
| y* | The updated value through the training set |
| K* | The covariance of the training set |
| K** | The covariance of the newly added sample |
| ϕ(x) | The probability density of the normal distribution |
| φ(x) | The standard normal distribution about x |
| μ | The mean value of the input value |
| σ | The variance of the input value x |
| Abbreviations | |
| DNN | Deep Neural Network |
| SVM | Support Vector Machine |
| IMF | Intrinsic Mode Functions |
| LSTM | Long Short-term Memory |
| Bi-LSTM | Bidirectional Long Short-term Memory |
| EMD | Empirical mode decomposition |
| VMD | Variational mode decomposition |
| RMSE | Root mean square error |
| NRMSE | Normalized root mean square error |
References
- Deutsch, J.; He, D. Using Deep Learning-Based Approach to Predict Remaining Useful Life of Rotating Components. IEEE Trans. Syst. Man Cybern. Syst. 2017, 48, 11–20. [Google Scholar] [CrossRef]
- Zhao, P.; Dai, Y. Power load forecasting of SVM based on real-time price and weighted grey relational projection algorithm. Power Syst. Technol. 2020, 44, 1325–1332. [Google Scholar]
- Zang, H.; Xu, R.; Cheng, L.; Ding, T.; Liu, L.; Wei, Z.; Sun, G. Residential load forecasting based on LSTM fusing self-attention mechanism with pooling. Energy 2021, 229, 120682. [Google Scholar] [CrossRef]
- Memarzadeh, G.; Keynia, F. Short-term electricity load and price forecasting by a new optimal LSTM-NN based prediction algorithm. Electr. Power Syst. Res. 2020, 192, 106995. [Google Scholar] [CrossRef]
- Ning, J.; Hao, S.; Zeng, A.; Chen, B.; Tang, Y. Research on Multi-Timescale Coordinated Method for Source-Grid-Load with Uncertain Renewable Energy Considering Demand Response. Sustainability 2021, 13, 3400. [Google Scholar] [CrossRef]
- Salinas, D.; Flunkert, V.; Gasthaus, J.; Januschowski, T. DeepAR: Probabilistic forecasting with autoregressive recurrent networks. Int. J. Forecast. 2019, 36, 1181–1191. [Google Scholar] [CrossRef]
- Oreshkin, B.N.; Carpov, D.; Chapados, N.; Bengio, Y. N-BEATS: Neural Basis Expansion Analysis for Interpretable Time Series Forecasting. In Proceedings of the ICLR 2020, Addis Ababa, Ethiopia, 30 April 2020. [Google Scholar]
- Li, S.; Jin, X.; Xuan, Y.; Zhou, X.; Chen, W.; Wang, Y.; Yan, X. Enhancing the Locality and Breaking the Memory Bottleneck of Transformer on Time Series Forecasting. In Proceedings of the NeurlPS 2019, Vancouver, Canada, 8–14 December 2019. [Google Scholar]
- Zheng, J.; Su, M.; Ying, W.; Tong, J.; Pan, Z. Improved uniform phase empirical mode decomposition and its application in machinery fault diagnosis. Measurement 2021, 179, 109425. [Google Scholar] [CrossRef]
- Wang, J.; Athanasopoulos, G.J.; Hyndman, R.; Wang, S. Crude oil price forecasting based on internet concern using an extreme learning machine. Int. J. Forecast. 2018, 34, 665–677. [Google Scholar] [CrossRef]
- Lin, G.; Lin, A.; Cao, J. Multidimensional KNN algorithm based on EEMD and complexity measures in financial time series forecasting. Expert Syst. Appl. 2021, 168, 114443. [Google Scholar] [CrossRef]
- Zhang, Z.; Hong, W. Application of variational mode decomposition and chaotic grey wolf optimizer with support vector regression for forecasting electric loads. Knowl. Based Syst. 2021, 228, 107297. [Google Scholar] [CrossRef]
- Zhu, Q.; Zhang, F.; Liu, S.; Wu, Y.; Wang, L. A hybrid VMD–BiGRU model for rubber futures time series forecasting. Appl. Soft Comput. 2019, 84, 105739. [Google Scholar] [CrossRef]
- Liu, Y.; Xu, Z.; Dong, W.; Li, Z.; Gao, S. Concentration prediction of dissolved gases in transformer oil based on empirical mode decomposition and long short-term memory neural networks. J. Chin. Electr. Eng. Sci. 2019, 39, 3998–4008. [Google Scholar]
- Wang, C.; Yue, S.; Wei, S.; Lv, J. Performance analysis of four decomposition-ensemble models for one-day-ahead agricultural commodity futures price forecasting. Algorithms. 2017, 10, 108. [Google Scholar] [CrossRef]
- Zhao, Y.; Wang, X.; Jiang, C.; Zhang, J.; Zhou, Z. A novel short-term electricity price forecasting method based on correlation analysis with the maximal information coefficient and modified multi-hierachy gated LSTM. J. Chin. Electr. Eng. Sci. 2021, 41, 135–146. [Google Scholar]
- Zhen, H.; Niu, D.; Yu, M.; Wang, K.; Liang, Y.; Xu, X. A Hybrid Deep Learning Model and Comparison for Wind Power Forecasting Considering Temporal-Spatial Feature Extraction. Sustainability 2020, 12, 9490. [Google Scholar] [CrossRef]
- Kraft, E.; Keles, D.; Fichtner, W. Modeling of frequency containment reserve prices with econometrics and artificial intelligence. J. Forecast. 2020, 39, 1179–1197. [Google Scholar] [CrossRef] [Green Version]
- Mughees, N.; Mohsin, S.; Mughees, A.; Mughees, A. Deep sequence to sequence Bi-LSTM neural networks for day-ahead peak load forecasting. Expert Syst. Appl. 2021, 175, 0957–4174. [Google Scholar] [CrossRef]
- Han, Y.; Lam, J.C.; Li, V.O.; Reiner, D. A Bayesian LSTM model to evaluate the effects of air pollution control regulations in Beijing, China. Environ. Sci. Policy 2020, 115, 26–34. [Google Scholar] [CrossRef]
- Jamilloux, Y.; Romain-Scelle, N.; Rabilloud, M.; Morel, C.; Kodjikian, L.; Maucort-Boulch, D.; Bielefeld, P.; Sève, P. Development and Validation of a Bayesian Network for Supporting the Etiological Diagnosis of Uveitis. J. Clin. Med. 2021, 10, 3398. [Google Scholar] [CrossRef] [PubMed]
- Wu, K.; Wu, J.; Feng, L.; Yang, B.; Liang, R.; Yang, S.; Zhao, R. An attention-based CNN-LSTM-BiLSTM model for short-term electric load forecasting in integrated energy system. Int. Trans. Electr. Energy Syst. 2021, 31, e12637. [Google Scholar] [CrossRef]










| Sequence | Number of Units | Using Bi-LSTM Layer | Initial Learning Rate | L2 Regularization |
|---|---|---|---|---|
| IMF 1 | 197 | 1 | 0.01 | 0.0013 |
| IMF 2 | 73 | 2 | 0.011 | 0.00018 |
| IMF 3 | 66 | 1 | 0.011 | 0.000021 |
| IMF 4 | 64 | 2 | 0.016 | 0.0024 |
| IMF 5 | 199 | 1 | 0.01 | 1.16 |
| IMF 6 | 140 | 1 | 0.021 | 0.00018 |
| Residual | 130 | 1 | 0.01 | 0.00097 |
| Sequence | Time Step | eRMSE | r | eNRMSE | eSTD |
|---|---|---|---|---|---|
| IMF 1 | 12 | 0.8909 | 0.9917 | 7.6779 | 0.9299 |
| 24 | 0.7262 | 0.9904 | −39.3426 | 0.7265 | |
| 36 | 0.6631 | 0.9899 | −33.9655 | 0.6387 | |
| IMF 2 | 12 | 1.1507 | 0.9941 | −0.7562 | 1.0931 |
| 24 | 1.1929 | 0.9877 | −2.3908 | 1.2184 | |
| 36 | 1.1635 | 0.9834 | −2.5087 | 1.1713 | |
| IMF 3 | 12 | 7.9527 | 0.9904 | −0.5446 | 2.9920 |
| 24 | 6.7540 | 0.9882 | −0.7751 | 4.2085 | |
| 36 | 7.7266 | 0.9840 | −4.8082 | 7.6166 | |
| IMF 4 | 12 | 5.0755 | 0.9999 | 0.0630 | 1.5155 |
| 24 | 8.7905 | 0.9987 | 2.8258 | 5.2502 | |
| 36 | 14.6416 | 0.9869 | 2.2186 | 14.6664 | |
| IMF 5 | 12 | 15.7076 | 0.9999 | 0.2571 | 8.4288 |
| 24 | 15.2865 | 0.9997 | −0.0559 | 9.7277 | |
| 36 | 15.3647 | 0.9996 | −0.0740 | 10.4295 | |
| IMF 6 | 12 | 1.3635 | 0.9521 | 0.000472 | 0.8233 |
| 24 | 7.6753 | 0.9585 | 0.0026 | 5.9782 | |
| 36 | 20.2677 | 0.992 | 0.0069 | 14.6026 | |
| Residual | 12 | 11.4701 | 0.6938 | 9.4522 | 11.9700 |
| 24 | 17.4227 | 0.6755 | −1.5639 | 15.2513 | |
| 36 | 15.9639 | 0.6827 | −1.3800 | 15.3315 |
| Title 1 | Time Step | eRMSE | r | eNRMSE | eSTD |
|---|---|---|---|---|---|
| VMD-Bayesian-BiLSTM | 12 | 15.7524 | 0.9986 | 0.0052 | 16.4296 |
| 24 | 16.6947 | 0.9994 | 0.0064 | 16.6392 | |
| 36 | 14.9219 | 0.9995 | 0.0055 | 14.8022 | |
| EEMD-Bayesian-BiLSTM | 12 | 19.6386 | 0.9963 | 0.0073 | 16.4825 |
| 24 | 22.3739 | 0.9971 | 0.0088 | 17.9276 | |
| 36 | 26.8462 | 0.9951 | 0.0091 | 21.9372 | |
| EMD-Bayesian-BiLSTM | 12 | 21.8372 | 0.9968 | 0.0083 | 17.8362 |
| 24 | 25.8376 | 0.9946 | 0.0096 | 19.8372 | |
| 36 | 28.3826 | 0.9938 | 0.0105 | 23.8261 | |
| VMD-BiLSTM | 12 | 15.8235 | 0.9978 | 0.0052 | 16.4784 |
| 24 | 22.9478 | 0.9974 | 0.0073 | 20.4936 | |
| 36 | 23.7018 | 0.9968 | 0.0088 | 20.9806 | |
| Bayesian-BiLSTM | 12 | 25.6357 | 0.9965 | 0.0092 | 21.9365 |
| 24 | 30.6387 | 0.9956 | 0.0105 | 25.3794 | |
| 36 | 32.7487 | 0.9947 | 0.0124 | 28.3748 | |
| Bayesian-LSTM | 12 | 49.3128 | 0.9865 | 0.0163 | 43.5910 |
| 24 | 38.2263 | 0.9971 | 0.0147 | 35.6199 | |
| 36 | 44.1296 | 0.9953 | 0.0163 | 44.7550 | |
| LSTM | 12 | 66.9500 | 0.9867 | 0.0222 | 40.1171 |
| 24 | 80.9277 | 0.9933 | 0.0311 | 53.9405 | |
| 36 | 71.9871 | 0.9937 | 0.0266 | 55.8161 | |
| SVM | 12 | 86.4025 | 0.9777 | 0.0286 | 51.8872 |
| 24 | 97.3993 | 0.9894 | 0.0374 | 67.1863 | |
| 36 | 89.0407 | 0.9891 | 0.0329 | 71.4600 |
| Title 1 | Time Step | eRMSE | r | eNRMSE | eSTD |
|---|---|---|---|---|---|
| Data set 1 | 12 | 15.7524 | 0.9986 | 0.0052 | 16.4296 |
| 24 | 16.6947 | 0.9994 | 0.0064 | 16.6392 | |
| 36 | 14.9219 | 0.9995 | 0.0055 | 14.8022 | |
| Data set 2 | 12 | 16.8362 | 0.9993 | 0.0058 | 16.4784 |
| 24 | 17.9378 | 0.9987 | 0.0078 | 17.9387 | |
| 36 | 17.9373 | 0.9989 | 0.0083 | 17.9272 | |
| Data set 3 | 12 | 15.9327 | 0.9991 | 0.0055 | 16.9365 |
| 24 | 16.9372 | 0.9989 | 0.0067 | 18.3794 | |
| 36 | 18.8372 | 0.9988 | 0.0093 | 19.3748 | |
| Data set 4 | 12 | 17.3128 | 0.9995 | 0.0163 | 18.5910 |
| 24 | 18.2263 | 0.9988 | 0.0147 | 19.6199 | |
| 36 | 19.1296 | 0.9985 | 0.0163 | 21.7550 | |
| Data set 5 | 12 | 17.8362 | 0.9993 | 0.0087 | 18.8362 |
| 24 | 19.8367 | 0.9983 | 0.0093 | 20.9837 | |
| 36 | 21.8272 | 0.9969 | 0.0128 | 22.9472 | |
| Data set 6 | 12 | 18.8367 | 0.9991 | 0.0115 | 19.8362 |
| 24 | 18.9272 | 0.9992 | 0.0134 | 20.9372 | |
| 36 | 20.8367 | 0.9983 | 0.0176 | 21.9272 | |
| Average Value | 12 | 17.0845 | 0.9992 | 0.0088 | 17.8513 |
| 24 | 18.0933 | 0.9989 | 0.0097 | 19.0830 | |
| 36 | 18.9149 | 0.9985 | 0.0116 | 19.7889 |
Publisher’s Note: MDPI stays neutral with regard to jurisdictional claims in published maps and institutional affiliations. |
© 2021 by the authors. Licensee MDPI, Basel, Switzerland. This article is an open access article distributed under the terms and conditions of the Creative Commons Attribution (CC BY) license (https://creativecommons.org/licenses/by/4.0/).
Share and Cite
Tang, J.; Zhao, J.; Zou, H.; Ma, G.; Wu, J.; Jiang, X.; Zhang, H. Bus Load Forecasting Method of Power System Based on VMD and Bi-LSTM. Sustainability 2021, 13, 10526. https://doi.org/10.3390/su131910526
Tang J, Zhao J, Zou H, Ma G, Wu J, Jiang X, Zhang H. Bus Load Forecasting Method of Power System Based on VMD and Bi-LSTM. Sustainability. 2021; 13(19):10526. https://doi.org/10.3390/su131910526
Chicago/Turabian StyleTang, Jiajie, Jie Zhao, Hongliang Zou, Gaoyuan Ma, Jun Wu, Xu Jiang, and Huaixun Zhang. 2021. "Bus Load Forecasting Method of Power System Based on VMD and Bi-LSTM" Sustainability 13, no. 19: 10526. https://doi.org/10.3390/su131910526
APA StyleTang, J., Zhao, J., Zou, H., Ma, G., Wu, J., Jiang, X., & Zhang, H. (2021). Bus Load Forecasting Method of Power System Based on VMD and Bi-LSTM. Sustainability, 13(19), 10526. https://doi.org/10.3390/su131910526

