A Trajectory Optimization Strategy for Connected and Automated Vehicles at Junction of Freeway and Urban Road
Abstract
:1. Introduction
2. Problem Formulation
2.1. Problem Description
2.2. Notations
3. Analysis of Optimal Travel Time and Departure Sequence
3.1. Optimal Control at ORZ
- ➀
- Vehicle Following: Vehicle i and vehicle i − 1 are in the same lane. Here, i − 1 refers to the vehicle directly in front of vehicle i. This implies that the following relationship between the two vehicles needs to be considered. Hence, the two vehicles are forced to meet the minimum safety headway requirement, i.e., ,.
- ➁
- Vehicle Merging: Vehicle i and vehicle i − 1 come from different roads (directions) and have a merging conflict in MZ. Here, vehicle i − 1 is the preceding vehicle. Then, the two vehicles need to meet the requirements of the safe driving sequences, i.e., .
3.2. Optimal Control at JS
3.3. Optimal Control at DI
- ➀
- Vehicle Following: the minimum safety following time should be met, i.e., ,.
- ➁
- Vehicle Crossing: Vehicle i and vehicle i − 1 come from different directions and have a crossing conflict in the IZ. Here, i − 1 is the proceeding vehicle. These two vehicles must meet the safe passing sequence requirements, i.e., .
3.4. Determination of Optimal Travel Time
4. Vehicle Trajectory Optimization
4.1. Objective Function
4.2. Comparison of Solution Methods
4.3. Solution of Function without Constraints
4.4. Vehicle Velocity Minimum Limit Activated
4.5. Vehicle Following Constraint Activated
5. Parameters Analysis and Simulation Evaluation
5.1. Model Correlation Coefficients Analysis and Solution
5.2. Control Framework
5.3. Simulation Results Evaluation
5.3.1. Selection of Comparison Strategies
- ➀
- Benchmark: among this scenario, vehicles travel along the junction and only following the default driving model of VISSIM, which is used to simulate human driving behavior.
- ➁
- Cooperative Adaptive Cruise Control (CACC): A CACC system is the combination of automated velocity control with a cooperative element, such as vehicle-to-vehicle (V2V) and infrastructure-to-vehicle (I2V) communication [47]. It takes advantage of advanced CAV technologies to improve safety, improve traffic flow dynamics by damping disturbances, save energy, and so on, and its effectiveness has been proven by [48]. The model parameters are also borrowed from [48].
5.3.2. Simulation Parameters
5.3.3. Metrics for Evaluation
5.3.4. Computing Efficiency Evaluation
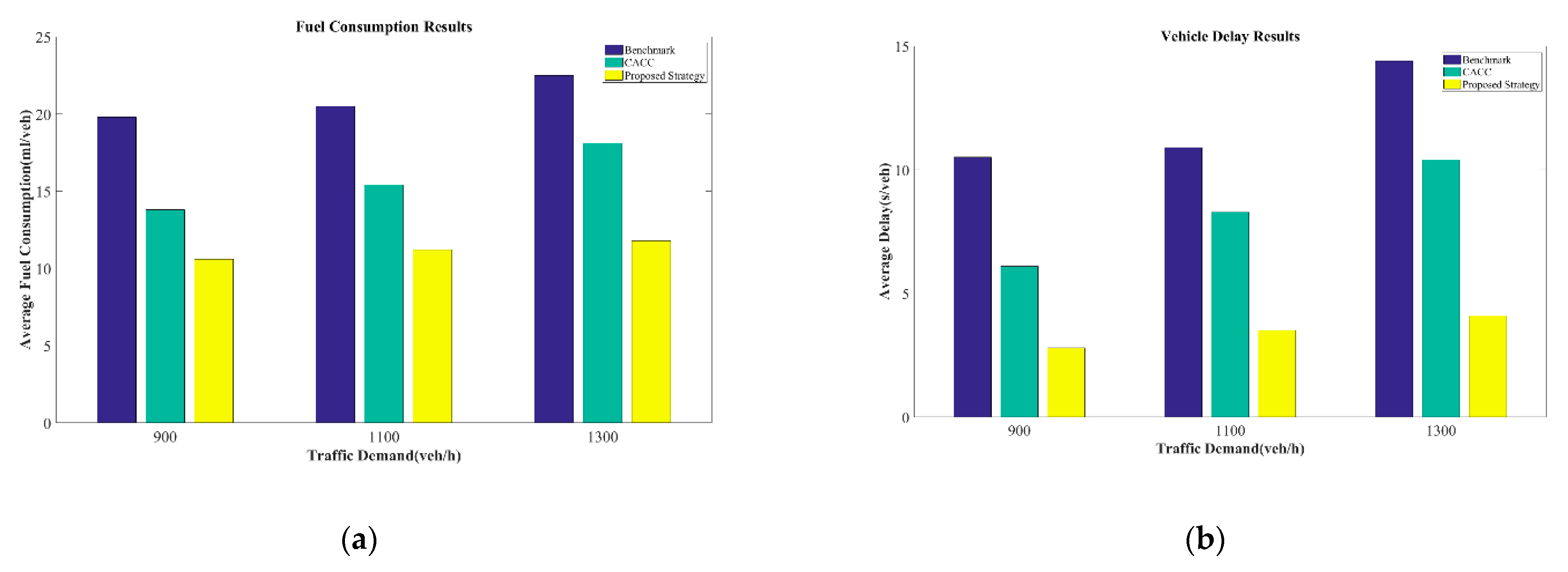
5.3.5. Comparative Analysis of Optimization Results
6. Conclusions and Future Work
Author Contributions
Funding
Institutional Review Board Statement
Informed Consent Statement
Data Availability Statement
Acknowledgments
Conflicts of Interest
References
- U.S. Environmental Protection Agency. Sources of Greenhouse Gas Emission. 2018. Available online: https://www.epa.gov/ghgemissions/inventory-us-greenhouse-gas-emissions-and-sinks (accessed on 27 August 2021).
- Ahmane, M.; Abbas-Turki, A.; Perronnet, F.; Wu, J.; Moudni, A.E.; Buisson, J.; Zeo, R. Modeling and controlling an isolated urban intersection based on cooperative vehicles. Transp. Res. Part C Emerg. Technol. 2013, 28, 44–62. [Google Scholar] [CrossRef] [Green Version]
- Jiang, H.; Hu, J.; An, S.; Wang, M.; Park, B.B. Eco approaching at an isolated signalized intersection under partially connected and automated vehicles environment. Transp. Res. Part C Emerg. Technol. 2017, 79, 290–307. [Google Scholar] [CrossRef]
- Lee, W.H.; Chiu, C.Y. Design and Implementation of a Smart Traffic Signal Control System for Smart City Applications. Sensors 2020, 20, 508. [Google Scholar] [CrossRef] [Green Version]
- Xu, B.; Ban, X.J.; Bian, Y.; Wang, J.; Li, K. V2I based cooperation between traffic signal and approaching automated vehicles. In Proceedings of the 2017 28th IEEE Intelligent Vehicles Symposium, Los Angeles, CA, USA, 11–17 June 2017. [Google Scholar]
- Tribioli, L.; Barbieri, M.; Capata, R.; Sciubba, E.; Jannelli, E.; Bella, G. A Real Time Energy Management Strategy for Plug-in Hybrid Electric Vehicles based on Optimal Control Theory. Energy Procedia 2014, 45, 949–958. [Google Scholar] [CrossRef]
- He, X.; Liu, H.X.; Liu, X. Optimal vehicle speed trajectory on a signalized arterial with consideration of queue. Transp. Res. Part C Emerg. Technol. 2015, 61, 106–120. [Google Scholar] [CrossRef]
- Malikopoulos, A.A.; Hong, S.; Park, B.B.; Lee, J.; Ryu, S. Optimal Control for Speed Harmonization of Automated Vehicles. IEEE Trans. Intell. Transp. Syst. 2019, 20, 2405–2417. [Google Scholar] [CrossRef] [Green Version]
- Chen, L.; Englund, C. Cooperative Intersection Management: A Survey. IEEE Trans. Intell. Transp. Syst 2016, 17, 570–586. [Google Scholar] [CrossRef]
- Mandava, S.; Boriboonsomsin, K.; Barth, M. Arterial velocity planning based on traffic signal information under light traffic conditions. In Proceedings of the 2009 12th International IEEE Conference on Intelligent Transportation Systems, St. Louis, MO, USA, 4–7 October 2009; pp. 1–6. [Google Scholar]
- Lioris, J.; Pedarsani, R.; Tascikaraoglu, F.Y.; Varaiya, P. Platoons of connected vehicles can double throughput in urban roads. Transp. Res. Part C Emerg. Technol. 2017, 77, 292–305. [Google Scholar] [CrossRef] [Green Version]
- Feng, Y.; Head, K.L.; Khoshmagham, S.; Zamanipour, M. A real-time adaptive signal control in a connected vehicle environment. Transp. Res. Part C Emerg. Technol. 2015, 55, 460–473. [Google Scholar] [CrossRef]
- Chen, X.; Xu, B.; Qin, X.; Bian, Y.; Hu, M.; Sun, N. Non-signalized intersection network management with connected and automated vehicles. IEEE Access 2020, 8, 122065–122077. [Google Scholar] [CrossRef]
- Dresner, K.; Stone, P. Multiagent traffic management: A reservation based intersection control mechanism. In Proceedings of the Third International Joint Conference on Autonomous Agents and Multiagent Systems, AAMAS 2004, New York, NY, USA, 23 July 2004; pp. 530–537. [Google Scholar]
- Pueboobpaphan, R.; Liu, F.; van Arem, B. The impacts of a communication based merging assistant on traffic flows of manual and equipped vehicles at an on-ramp using traffic flow simulation. In Proceedings of the 13th International IEEE Conference on Intelligent Transportation Systems, Funchal, Portugal, 19–22 September 2010; pp. 1468–1473. [Google Scholar]
- Milanes, V.; Godoy, J.; Villagra, J.; Perez, J. Automated On-Ramp Merging System for Congested Traffic Situations. IEEE Trans. Intell. Transp. Syst 2011, 12, 500–508. [Google Scholar] [CrossRef] [Green Version]
- Sun, J.; Ouyang, J.; Yang, J. Modeling and Analysis of Merging Behavior at Expressway On-Ramp Bottlenecks. Trans. Res. Rec. 2014, 2421, 74–81. [Google Scholar] [CrossRef]
- Sun, Z.; Huang, T.; Zhang, P. Cooperative decision-making for mixed traffic: A ramp merging example. Transp. Res. Part C Emerg. Technol. 2020, 120. [Google Scholar] [CrossRef]
- Scarinci, R.; Heydecker, B. Control Concepts for Facilitating Motorway On-ramp Merging Using Intelligent Vehicles. Transport Reviews 2014, 34, 775–797. [Google Scholar] [CrossRef]
- Dresner, K.; Stone, P. Learning policy selection for autonomous intersection management. In Proceedings of the AAMAS 2007 Workshop on Adaptive and Learning Agents, Honolulu, HI, USA, 8–9 May 2007; pp. 34–39. [Google Scholar]
- Schepperle, H.; Böhm, K. Agent-Based Traffic Control Using Auctions. Coop. Inf. Agents XI 2007, 4676, 119–133. [Google Scholar] [CrossRef]
- Naumann, R.; Rasche, R.; Tacken, J. Managing autonomous vehicles at intersections. IEEE Intell. Syst. Appl. 1998, 13, 82–86. [Google Scholar] [CrossRef]
- Rios-Torres, J.; Malikopoulos, A.A. Automated and Cooperative Vehicle Merging at Highway On-Ramps. IEEE Trans. Intell. Transp. Syst 2017, 18, 780–789. [Google Scholar] [CrossRef]
- Ferreira, M.; Fernandes, R.; Conceição, H.; Viriyasitavat, W.; Tonguz, O.K. Self-organized traffic control. In Self-Organized Traffic Control, Proceeding of the Seventh ACM International Workshop on VehiculAr InterNETworking (VANET ’10), New York, NY, USA, 24 September 2010; Association for Computing Machinery: New York, NY, USA, 2010; pp. 85–90. [Google Scholar]
- Fathollahnejad, N.; Villani, E.; Pathan, R.; Barbosa, R.; Karlsson, J. On reliability analysis of leader election protocols for virtual traffic lights. In Proceedings of the 2013 43rd Annual IEEE/IFIP Conference on Dependable Systems and Networks Workshop (DSN-W), Budapest, Hungary, 24–27 June 2013; pp. 1–12. [Google Scholar]
- Li, L.; Wang, F.-Y. Cooperative Driving at Blind Crossings Using Intervehicle Communication. IEEE Trans. Veh. Tech. 2006, 55, 1712–1724. [Google Scholar] [CrossRef]
- Kamal, M.A.S.; Hayakawa, T.; Imura, J. Development and Evaluation of an Adaptive Traffic Signal Control Scheme Under a Mixed-Automated Traffic Scenario. IEEE Trans. Intell. Transp. Syst. 2020, 21, 590–602. [Google Scholar] [CrossRef]
- Malikopoulos, A.A.; Cassandras, C.G.; Zhang, Y.J. A decentralized energy-optimal control framework for connected automated vehicles at signal-free intersections. Automatica 2018, 93, 244–256. [Google Scholar] [CrossRef] [Green Version]
- Ge, Q.; Sun, Z.Q.; Wang, S.; Li, Z.; Zheng, S. Centralized Coordination of Connected Vehicles at Intersections using Graphical Mixed Integer Optimization. arXiv 2020, arXiv:2008.13081. [Google Scholar] [CrossRef]
- Bian, Y.; Li, S.E.; Ren, W.; Wang, J.; Li, K.; Liu, H.X. Cooperation of Multiple Connected Vehicles at Unsignalized Intersections: Distributed Observation, Optimization, and Control. IEEE Trans. Ind. Electron. 2020, 67, 10744–10754. [Google Scholar] [CrossRef]
- Ntousakis, I.A.; Nikolos, I.K.; Papageorgiou, M. Optimal vehicle trajectory planning in the context of cooperative merging on highways. Transp. Res. Part C Emerg. Technol. 2016, 71, 464–488. [Google Scholar] [CrossRef]
- Rios-Torres, J.; Malikopoulos, A.; Pisu, P. Online Optimal Control of Connected Vehicles for Efficient Traffic Flow at Merging Roads. In Proceedings of the 2015 IEEE 18th International Conference on Intelligent Transportation Systems, Gran Canaria, Spain, 15–18 September 2015; pp. 2432–2437. [Google Scholar]
- Cao, W.; Mukai, M.; Kawabe, T.; Nishira, H.; Fujiki, N. Cooperative vehicle path generation during merging using model predictive control with real-time optimization. Control Eng. Pract. 2015, 34, 98–105. [Google Scholar] [CrossRef]
- I Papamichail, I.; Papageorgiou, M. Traffic-Responsive Linked Ramp-Metering Control. IEEE Trans. Intell. Transp. Syst 2008, 9, 111–121. [Google Scholar] [CrossRef]
- Kotsialos, A.; Papageorgiou, M.; Mangeas, M.; Haj-Salem, H. Coordinated and integrated control of motorway networks via nonlinear optimal control. Trans. Res. 2002, 10, 65–84. [Google Scholar] [CrossRef]
- Zhao, J.; Ma, W.; Xu, H. Increasing the capacity of the intersection downstream of the freeway off-ramp using presignals. Comput. Aided Civ. Infrastruct. Eng 2017, 32, 674–690. [Google Scholar] [CrossRef]
- Zhang, Y.J.; Malikopoulos, A.A.; Cassandras, C.G. Optimal control and coordination of connected and automated vehicles at urban traffic intersections. In Proceedings of the 2016 American Control Conference, Boston, MA, USA, 6–8 July 2016. [Google Scholar]
- Hoberock, L.L. A Survey of Longitudinal Acceleration Comfort Studies in Ground Transportation Vehicles. Jour. Dyna. Sys. Meas. Control 1977, 99, 76–84. [Google Scholar] [CrossRef]
- Kamal, M.A.S.; Mukai, M.; Murata, J.; Kawabe, T. Model Predictive Control of Vehicles on Urban Roads for Improved Fuel Economy. IEEE Trans. Con. Sys. Tech. 2013, 21, 831–841. [Google Scholar] [CrossRef]
- Bellman, R.; Lee, E. History and development of dynamic programming. IEEE Contr. Syst. Mag. 1984, 44, 24–28. [Google Scholar] [CrossRef]
- Kiessler, P.C. Approximate Dynamic Programming: Solving the Curses of Dimensionality. J. Am. Stat. Assoc. 2009, 104, 1714. [Google Scholar]
- Yang, X.; He, H. Adaptive critic designs for optimal control of uncertain nonlinear systems with unmatched interconnections. Neural Netw. 2018, 105, 142–153. [Google Scholar] [CrossRef] [PubMed]
- Su, Z.C.; Chow, A.H.F.; Zheng, N.; Huang, Y.P.; Liang, E.M.; Zhong, R.X. Neuro-dynamic programming for optimal control of macroscopic fundamental diagram systems. Transp. Res. Part C Emerg. Technol. 2020, 116. [Google Scholar] [CrossRef]
- Zhang, Y.; Cassandras, C.G. Decentralized optimal control of Connected Automated Vehicles at signal-free intersections including comfort-constrained turns and safety guarantees. Automatica 2019, 109. [Google Scholar] [CrossRef] [Green Version]
- Guo, Y.; Ma, J.Q.; Xiong, C.F.; Li, X.P.; Zhou, F.; Hao, W. Joint optimization of vehicle trajectories and intersection controllers with connected automated vehicles: Combined dynamic programming and shooting heuristic approach. Transp. Res. Part C Emerg. Technol. 2019, 98, 54–72. [Google Scholar] [CrossRef]
- Wang, Y.P.; Cai, P.L.; Lu, G.Q. Cooperative autonomous traffic organization method for connected automated vehicles in multi-intersection road networks. Transp. Res. Part C Emerg. Technol. 2020, 111, 458–476. [Google Scholar] [CrossRef]
- Shladover, S.E.; Christopher, N.; Lu, X.Y.; Robert, F. Cooperative Adaptive Cruise Control: Definitions and Operating Concepts. Transport. Res. Rec. 2015, 2489, 145–152. [Google Scholar] [CrossRef]
- Fyfe, M.R.W. Safety Evaluation of Connected Vehicle Applications Using Micro-Simulation. Master Thesis, University of British Columbia, Vancouver, Canada, 21 January 2017. [Google Scholar]













| Notation | Meaning |
|---|---|
| Proper noun abbreviation | |
| ORZ | Off-Ramp Zone |
| JS | Junction Section |
| DI | Downstream Intersection |
| MZ | Merging Zone |
| IZ | Interweaving zone at DI |
| Geometric parameters | |
| The distance of the vehicle trajectory control zone | |
| The distance of the JS | |
| The distance of the IZ | |
| Time parameters | |
| The time that the vehicle i arrives in the control zone of ORZ | |
| The time that the vehicle i arrives in MZ | |
| The time that the vehicle i leaves MZ | |
| The time that the vehicle i arrives at DI | |
| The time that the vehicle i arrives in IZ | |
| The time that the vehicle i leaves IZ | |
| The minimum time that the vehicle i passes the control zone | |
| The minimum safe time headway | |
| Vehicle parameters | |
| i | The current controlled vehicle |
| l | The length of the vehicle |
| The minimum gap between two vehicles | |
| Variables | |
| The location of the vehicle i at time t | |
| The velocity of the vehicle i at time t | |
| The acceleration of the vehicle i at time t | |
| The jerk of the vehicle i at time t |
| Traffic Demand (veh/h) | Average Computational Time of Each Vehicle (s) | |
|---|---|---|
| DP | PMP | |
| 900 | 0.183 | 0.014 |
| 1100 | 0.516 | 0.032 |
| 1300 | 1.327 | 0.067 |
Publisher’s Note: MDPI stays neutral with regard to jurisdictional claims in published maps and institutional affiliations. |
© 2021 by the authors. Licensee MDPI, Basel, Switzerland. This article is an open access article distributed under the terms and conditions of the Creative Commons Attribution (CC BY) license (https://creativecommons.org/licenses/by/4.0/).
Share and Cite
Jiang, Z.; Yu, D.; Zhou, H.; Luan, S.; Xing, X. A Trajectory Optimization Strategy for Connected and Automated Vehicles at Junction of Freeway and Urban Road. Sustainability 2021, 13, 9933. https://doi.org/10.3390/su13179933
Jiang Z, Yu D, Zhou H, Luan S, Xing X. A Trajectory Optimization Strategy for Connected and Automated Vehicles at Junction of Freeway and Urban Road. Sustainability. 2021; 13(17):9933. https://doi.org/10.3390/su13179933
Chicago/Turabian StyleJiang, Zhongtai, Dexin Yu, Huxing Zhou, Siliang Luan, and Xue Xing. 2021. "A Trajectory Optimization Strategy for Connected and Automated Vehicles at Junction of Freeway and Urban Road" Sustainability 13, no. 17: 9933. https://doi.org/10.3390/su13179933
APA StyleJiang, Z., Yu, D., Zhou, H., Luan, S., & Xing, X. (2021). A Trajectory Optimization Strategy for Connected and Automated Vehicles at Junction of Freeway and Urban Road. Sustainability, 13(17), 9933. https://doi.org/10.3390/su13179933

