Mitigation of Suspendable Road Dust in a Subpolar, Oceanic Climate
Abstract
:1. Introduction
2. Materials and Methods
2.1. Site
2.2. Approach
2.3. Data
2.4. Baseline Model Setup
2.5. Sensitivity Analysis
2.6. Model Outputs
3. Results
3.1. Baseline Simulation
3.2. Sensitivity to Traffic and Pavement Parameters
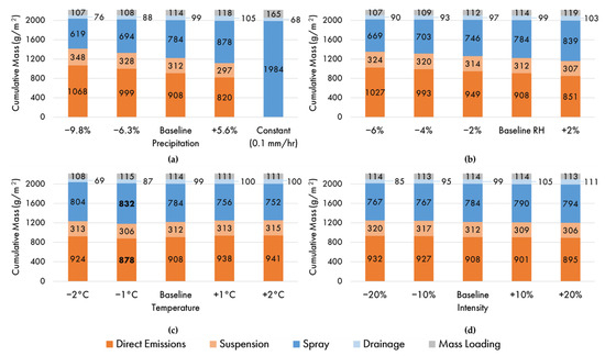
3.3. Sensitivity to Meteorology and Winter Management
3.4. Fate of Road Dust
4. Discussion
4.1. Wet Maritime Climate
4.2. Mitigation Strategies for Atmospheric PM10
4.3. Mitigation Strategies for Sustainable Cities
5. Conclusions
Author Contributions
Funding
Institutional Review Board Statement
Informed Consent Statement
Data Availability Statement
Acknowledgments
Conflicts of Interest
References
- United Nations Department of Economic and Social Affairs Sustainable Development. Available online: https://sdgs.un.org/goals/goal11 (accessed on 1 February 2021).
- Segersson, D.; Eneroth, K.; Gidhagen, L.; Johansson, C.; Omstedt, G.; Nylén, A.E.; Forsberg, B. Health impact of PM10, PM2.5 and black carbon exposure due to different source sectors in Stockholm, Gothenburg and Umea, Sweden. Int. J. Environ. Res. Public Health 2017, 14, 742. [Google Scholar] [CrossRef] [PubMed] [Green Version]
- Thorpe, A.J.; Harrison, R.M.; Boulter, P.G.; McCrae, I.S. Estimation of particle resuspension source strength on a major London Road. Atmos. Environ. 2007, 41, 8007–8020. [Google Scholar] [CrossRef]
- Johansson, C.; Norman, M.; Gidhagen, L. Spatial & temporal variations of PM10 and particle number concentrations in urban air. Environ. Monit. Assess. 2007, 127, 477–487. [Google Scholar] [CrossRef] [PubMed]
- Norman, M.; Johansson, C. Studies of some measures to reduce road dust emissions from paved roads in Scandinavia. Atmos. Environ. 2006, 40, 6154–6164. [Google Scholar] [CrossRef]
- Omstedt, G.; Bringfelt, B.; Johansson, C. A model for vehicle-induced non-tailpipe emissions of particles along Swedish roads. Atmos. Environ. 2005, 39, 6088–6097. [Google Scholar] [CrossRef]
- Laakso, L.; Hussein, T.; Aarnio, P.; Komppula, M.; Hiltunen, V.; Viisanen, Y.; Kulmala, M. Diurnal and annual characteristics of particle mass and number concentrations in urban, rural and Arctic environments in Finland. Atmos. Environ. 2003, 37, 2629–2641. [Google Scholar] [CrossRef]
- Etyemezian, V.; Kuhns, H.; Gillies, J.; Chow, J.; Hendrickson, K.; McGown, M.; Pitchford, M. Vehicle-based road dust emission measurement (III): Effect of speed, traffic volume, location, and season on PM10 road dust emissions in the Treasure Valley, ID. Atmos. Environ. 2003, 37, 4583–4593. [Google Scholar] [CrossRef]
- Järlskog, I.; Strömvall, A.M.; Magnusson, K.; Gustafsson, M.; Polukarova, M.; Galfi, H.; Aronsson, M.; Andersson-Sköld, Y. Occurrence of tire and bitumen wear microplastics on urban streets and in sweepsand and washwater. Sci. Total Environ. 2020, 729, 138950. [Google Scholar] [CrossRef]
- Vogelsang, C.; Lusher, A.L.; Dadkhah, M.E.; Sundvor, I.; Umar, M.; Ranneklev, S.B.; Eidsvoll, D.; Meland, S. Microplastics in Road Dust—Characteristics, Pathways and Measures; Norwegian Institute for Water Research (NIVA): Oslo, Norway, 2019. [Google Scholar]
- Sommer, F.; Dietze, V.; Baum, A.; Sauer, J.; Gilge, S.; Maschowski, C.; Gieré, R. Tire abrasion as a major source of microplastics in the environment. Aerosol Air Qual. Res. 2018, 18, 2014–2028. [Google Scholar] [CrossRef]
- Hann, S.; Sherrington, C.; Jamieson, O.; Hickman, M.; Kershaw, P.; Bapasola, A.; Cole, G. Investigating Options for Reducing Releases in the Aquatic Environment of Microplastics Emitted by (but Not Intentionally Added in) Products; Eunomia Research and Consluting: Bristol, UK, 2018. [Google Scholar]
- Kole, J.P.; Löhr, A.J.; van Belleghem, F.G.A.J.; Ragas, A.M.J. Wear and tear of tyres: A stealthy source of microplastics in the environment. Int. J. Environ. Res. Public Health 2017, 14, 1265. [Google Scholar] [CrossRef]
- Evangeliou, N.; Grythe, H.; Klimont, Z.; Heyes, C.; Eckhardt, S.; Lopez-Aparicio, S.; Stohl, A. Atmospheric transport is a major pathway of microplastics to remote regions. Nat. Commun. 2020, 11, 3381. [Google Scholar] [CrossRef]
- Freitas, E.; Pereira, P.; de Picado-Santos, L.; Santos, A. Traffic Noise Changes due to Water on Porous and Dense Asphalt Surfaces. Road Mater. Pavement Des. 2009, 10, 587–607. [Google Scholar] [CrossRef]
- Llopis-Castelló, D.; García-Segura, T.; Montalbán-Domingo, L.; Sanz-Benlloch, A.; Pellicer, E. Influence of pavement structure, traffic, and weather on urban flexible pavement deterioration. Sustainability 2020, 12, 9717. [Google Scholar] [CrossRef]
- Hänninen, O.; Knol, A.B.; Jantunen, M.; Lim, T.A.; Conrad, A.; Rappolder, M.; Carrer, P.; Fanetti, A.C.; Kim, R.; Buekers, J.; et al. Environmental burden of disease in Europe: Assessing nine risk factors in six countries. Environ. Health Perspect. 2014, 122, 439–446. [Google Scholar] [CrossRef] [PubMed] [Green Version]
- Sharma, S.; Chatterjee, S. Microplastic pollution, a threat to marine ecosystem and human health: A short review. Environ. Sci. Pollut. Res. 2017, 24, 21530–21547. [Google Scholar] [CrossRef] [PubMed]
- Akin, M.; Fay, L.; Shi, X. Friction and Snow—Pavement Bond after Salting and Plowing Permeable Friction Surfaces. Transp. Res. Rec. 2020, 2674, 794–805. [Google Scholar] [CrossRef]
- Gustafsson, M.; Blomqvist, G.; Gudmundsson, A.; Dahl, A.; Swietlicki, E.; Bohgard, M.; Lindbom, J.; Ljungman, A. Properties and toxicological effects of particles from the interaction between tyres, road pavement and winter traction material. Sci. Total Environ. 2008, 393, 226–240. [Google Scholar] [CrossRef] [PubMed] [Green Version]
- Norman, M.; Sundvor, I.; Denby, B.R.; Johansson, C.; Gustafsson, M.; Blomqvist, G.; Janhäll, S. Modelling road dust emission abatement measures using the NORTRIP model: Vehicle speed and studded tyre reduction. Atmos. Environ. 2016, 134, 96–108. [Google Scholar] [CrossRef]
- Lundberg, J.; Janhäll, S.; Gustafsson, M.; Erlingsson, S. Calibration of the Swedish studded tyre abrasion wear prediction model with implication for the NORTRIP road dust emission model. Int. J. Pavement Eng. 2019, 22, 432–446. [Google Scholar] [CrossRef] [Green Version]
- Denby, B.R.; Sundvor, I.; Johansson, C.; Pirjola, L.; Ketzel, M.; Norman, M.; Kupiainen, K.; Gustafsson, M.; Blomqvist, G.; Omstedt, G. A coupled road dust and surface moisture model to predict non-exhaust road traffic induced particle emissions (NORTRIP). Part 1: Road dust loading and suspension modelling. Atmos. Environ. 2013, 77, 283–300. [Google Scholar] [CrossRef]
- Denby, B.R.; Sundvor, I.; Johansson, C.; Pirjola, L.; Ketzel, M.; Norman, M.; Kupiainen, K.; Gustafsson, M.; Blomqvist, G.; Kauhaniemi, M.; et al. A coupled road dust and surface moisture model to predict non-exhaust road traffic induced particle emissions (NORTRIP). Part 2: Surface moisture and salt impact modelling. Atmos. Environ. 2013, 81, 485–503. [Google Scholar] [CrossRef] [Green Version]
- Ketzel, M.; Omstedt, G.; Johansson, C.; Düring, I.; Pohjola, M.; Oettl, D.; Gidhagen, L.; Wåhlin, P.; Lohmeyer, A.; Haakana, M.; et al. Estimation and validation of PM2.5/PM10 exhaust and non-exhaust emission factors for practical street pollution modelling. Atmos. Environ. 2007, 41, 9370–9385. [Google Scholar] [CrossRef]
- Gustafsson, M.; Blomqvist, G.; Järlskog, I.; Lundberg, J.; Janhäll, S.; Elmgren, M.; Johansson, C.; Norman, M.; Silvergren, S. Road dust load dynamics and influencing factors for six winter seasons in Stockholm, Sweden. Atmos. Environ. X 2019, 2, 100014. [Google Scholar] [CrossRef]
- Tomassetti, L.; Torre, M.; Tratzi, P.; Paolini, V.; Rizza, V.; Segreto, M.; Petracchini, F. Evaluation of air quality and mobility policies in 14 large Italian cities from 2006 to 2016. J. Environ. Sci. Health Part A Toxic/Hazard. Subst. Environ. Eng. 2020, 55, 886–902. [Google Scholar] [CrossRef]
- Aygün, O.; Kinnard, C.; Campeau, S. Impacts of climate change on the hydrology of northern midlatitude cold regions. Prog. Phys. Geogr. Earth Environ. 2020, 44, 338–375. [Google Scholar] [CrossRef]
- Andradóttir, H.Ó.; Arnardóttir, A.R.; Zaqout, T. Rain on snow induced urban floods in cold maritime climate: Risk, indicators and trends. Hydrol. Process. 2021. [Google Scholar] [CrossRef]
- Skúladóttir, B.; Thorlacius, A.; Larssen, S.; Bjarnason, G.G.; Þórdarson, H. Method for Determining the Composition of Airborne Particle Pollution; Nordtest: Espoo, Finland, 2003; p. 30. [Google Scholar]
- Höskuldsson, P.; Thorlacius, A. Uppruni Svifryks í Reykjavík; EFLA Consulting Engineers: Reykjavík, Iceland, 2017; p. 17. [Google Scholar]
- Sigurðsson, V.; Halldórsson, P. Örplast í Hafinu við Ísland: Helstu Uppsprettur, Magn og Farvegir í Umhverfinu; Biopol and Náttúrufræðistofa Norðurlands Vestra: Sauðárkróki, Iceland, 2019. [Google Scholar]
- Butwin, M.K.; von Löwis, S.; Pfeffer, M.A.; Thorsteinsson, T. The effects of volcanic eruptions on the frequency of particulate matter suspension events in Iceland. J. Aerosol Sci. 2019, 128, 99–113. [Google Scholar] [CrossRef]
- Thorsteinsson, T.; Jóhannsson, T.; Stohl, A.; Kristiansen, N.I. High levels of particulate matter in Iceland due to direct ash emissions by the Eyjafjallajökull eruption and resuspension of deposited ash. J. Geophys. Res. Solid Earth 2012, 117, 1–9. [Google Scholar] [CrossRef]
- Thorsteinsson, T.; Gísladóttir, G.; Bullard, J.; McTainsh, G. Dust storm contributions to airborne particulate matter in Reykjavík, Iceland. Atmos. Environ. 2011, 45, 5924–5933. [Google Scholar] [CrossRef] [Green Version]
- Andradottir, H.O.; Thorsteinsson, T. Repeated extreme particulate matter episodes due to fireworks in Iceland and stakeholders’ response. J. Clean. Prod. 2019, 236, 117511. [Google Scholar] [CrossRef]
- Environment Agency of Iceland. Hourly Air Quality Data at Grensás Urban Traffic Station 2017–2018. Unpublished Work. 2018. [Google Scholar]
- EFLA Consulting Engineers. Studded Tires Counts in Reykjavík City 2000 to 2018. Unpublished Work.
- Denby, B.R.; Sundvor, I. NORTRIP Model Development and Documentation: NOn-Exhaust Road TRaffic Induced Particle Emission Modelling; NILU: Oslo, Norway, 2012. [Google Scholar]
- Denby, B.R.; Ketzel, M.; Ellermann, T.; Stojiljkovic, A.; Kupiainen, K.; Niemi, J.V.; Norman, M.; Johansson, C.; Gustafsson, M.; Blomqvist, G.; et al. Road salt emissions: A comparison of measurements and modelling using the NORTRIP road dust emission model. Atmos. Environ. 2016, 141, 508–522. [Google Scholar] [CrossRef] [Green Version]
- Icelandic Road & Coastal Administration. Traffic Counts, Meteorology and Winter Management at Kauptún 2017—2019. Unpublished Work. 2019. [Google Scholar]
- Icelandic Meteorological Office. Radiation and Precipitation at Reykjavík Station nr. 1. Unpublished Work. 2019. [Google Scholar]
- Feiccabrino, J.; Graff, W.; Lundberg, A.; Sandström, N.; Gustafsson, D. Meteorological knowledge useful for the improvement of snow rain separation in surface based models. Hydrology 2015, 2, 266–288. [Google Scholar] [CrossRef] [Green Version]
- Jensen, S.S.; Ketzel, M.; Brandt, J.; Becker, T.; Plejdrup, M.; Winther, M.; Ellermann, T.; Christensen, J.H.; Nielsen, O.-K.; Hertel, O. Air Quality at Your Street—Public Digital Map of Air Quality in Denmark. In Proceedings of the Sixth Scientific Meeting EuNetAir; Academy of Sciences: Prague, Czech Republic, 2016; pp. 14–17. [Google Scholar] [CrossRef]
- Jacobson, T.; Wågberg, L.-G. Utveckling och Uppgradering av Prognosmodell för Beläggningsslitage från Dubbade däck samt en Kunskapsöversikt över Inverkande Faktorer; VTI: Linköping, Sweden, 2007. [Google Scholar]
- Barr, B.C. Processes and Modeling of Non-Exhaust Vehicular Emissions in the Icelandic Capital Region. Master’s Thesis, University of Iceland, Reykjavík, Iceland, 2020. [Google Scholar]
- European Environmental Agency. Air Quality in Europe—2020 Report; EEA Report No 9/2020; European Environmental Agency: København, Denmark, 2020. [Google Scholar] [CrossRef]
- World Health Organization. Air Quality Guidelines Global Update 2005. Particulate Matter, Ozone, Nitrogen Dioxide and Sulfur Dioxide; WHO: Geneva, Switzerland, 2005; ISBN 92 890 2192 6. [Google Scholar]
- Ud Din, I.M.; Mir, M.S.; Farooq, M.A. Effect of Freeze-Thaw Cycles on the Properties of Asphalt Pavements in Cold Regions: A Review. Transp. Res. Procedia 2020, 48, 3634–3641. [Google Scholar] [CrossRef]
- Pascale, A.; Fernandes, P.; Guarnaccia, C.; Coelho, M.C. A study on vehicle Noise Emission Modelling: Correlation with air pollutant emissions, impact of kinematic variables and critical hotspots. Sci. Total Environ. 2021, 787, 147647. [Google Scholar] [CrossRef]
- Temporelli, A.; Carvalho, M.L.; Girardi, P. Life Cycle Assessment of Electric Vehicle Batteries: An Overview of Recent Literature. Energies 2020, 13, 2864. [Google Scholar] [CrossRef]
- Timmers, V.R.J.H.; Achten, P.A.J. Non-exhaust PM emissions from electric vehicles. Atmos. Environ. 2016, 134, 10–17. [Google Scholar] [CrossRef]
- Milovanoff, A.; Posen, I.D.; MacLean, H.L. Electrification of light-duty vehicle fleet alone will not meet mitigation targets. Nat. Clim. Chang. 2020, 10, 1102–1107. [Google Scholar] [CrossRef]
- Lundberg, J.; Gustafsson, M.; Janhäll, S.; Eriksson, O.; Blomqvist, G.; Erlingsson, S. Temporal Variation of Road Dust Load and Its Size Distribution—A Comparative Study of a Porous and a Dense Pavement. Water. Air. Soil Pollut. 2020, 231, 561. [Google Scholar] [CrossRef]





| Hornsgatan a | RV4 a | Kauptún | ||
|---|---|---|---|---|
| Stockholm | Oslo | Garðabær | ||
| Simulation | Latitude | 59.3° N | 59.9° N | 64.1° N |
| Period (winter; nr. of days) | 2006–2007; 243 | 2004; 121 | 2017–2018; 196 | |
| Traffic & Pavement | Annual average daily traffic (×103 vehicles) | 29.1 | 42.6 | 51 |
| Heavy duty vehicles share (%) | 3 | 4.9 | 9 | |
| Mean/Max studded tires (% LDV) | 47/75 | 26/27 | 23/46 | |
| Mean speed (km/hr) | 43 | 75 | 80 | |
| Pavement type factor (hpave) | 0.83 | 1.6 | 1.62 | |
| Meteorology | Mean short wave radiation (W/m2) | 66 b | 57 b | 37 |
| Mean air temperature (°C) | 5.8 | 1.0 | 1.0 | |
| Relative humidity (%) | 75 | 76 | 82 | |
| Total precipitation (mm) | 197 | 178 | 507 | |
| Precipitation frequency (%) | 5.8 | 13 | 17 | |
| Mean wind speed at 10 m (m/s) | 4.0 | 2.5 | 6.0 c | |
| Winter Management | Total salt (ton/km) | 6.3 | 39 | 14 |
| Salting events (NaCl) | 45 | 113 | 526 d | |
| Ploughing events | 2 | 9 | 115 d | |
| Model Outcomes | Wet roads frequency (%) | 43 | 48 | 53 |
| Net mean/90th percentile PM10 (µg/m3) | 39/90 | 30/80 | 20/49 |
| Category | Alteration from Baseline | Δ Max PM10 (µg/m3) | Δ Avg. PM10 (µg/m3) | Δ HSL Exceedances (Days) |
|---|---|---|---|---|
| Baseline | 46% Max ST | 104 | 21 | 20 |
| Studded Tires | 35% Max | −21 | −4 | −7 |
| 25% Max | −39 | −7 | −16 | |
| 15% Max | −58 | −10 | −20 | |
| 0% (full ST ban) | −80 | −16 | −20 | |
| Traffic Volume | −10% | −7 | −2 | −3 |
| −20% | −15 | −4 | −6 | |
| Traffic Speed | −10% | −4 | −2 | −2 |
| −20% | −9 | −4 | −6 | |
| Composition | HDVs Excluded | 0 | −2 | −2 |
| Wear resistant DGP | hpave = 0.93 | −40 | −8 | −16 |
| hpave = 1.3 | −19 | −4 | −7 | |
| hpave = 1.5 | −9 | −2 | −3 |
| Category | Alteration from Baseline 1 | Δ Avg. PM10 (µg/m3) | Δ HSL Exceedances (Days) | Δ% Wet Roads | Δ Road Ice > 0.1 mm (Days) |
|---|---|---|---|---|---|
| Baseline | 507 mm; frequency 17.1% | 20.5 | 20 | 53.3% | 38 |
| Precipitation Frequency | +7.7%; 544 mm total | −2.8 | −4 | 5.7% | 15 |
| +5.6%; 534 mm | −2.2 | −3 | 4.2% | 13 | |
| +3.9%; 526 mm | −1.8 | −3 | 3.9% | 10 | |
| −3.2%; 492 mm | 0.5 | 0 | −1.6% | 0 | |
| −6.3%; 463 mm | 1.3 | 0 | −3.8% | −2 | |
| −8.2%; 436 mm | 1.6 | 0 | −4.5% | −4 | |
| −9.8%; 406 mm | 2.1 | 0 | −6.5% | −11 | |
| Relative Humidity | −6%; mean: 77% | 1.8 | 2 | −4.8% | −1 |
| −4%; mean: 79% | 1.2 | 2 | −3.2% | −1 | |
| −2%; mean: 81% | 0.6 | 0 | −1.6% | 0 | |
| +2%; mean: 84%; max: 100% | −1.0 | −1 | 2.3% | 0 | |
| Air Temperature | +5 °C; mean: 6 °C | 0.5 | 0 | −1.0% | −37 |
| +2 °C; mean: 3 °C | 0.3 | 1 | 0.0% | −26 | |
| +1 °C; mean: 2 °C | 0.4 | 0 | −1.0% | −13 | |
| −1 °C; mean: 0 °C | −0.9 | −1 | 2.0% | 23 | |
| −2 °C; mean: −1 °C | −1.6 | −2 | 4.0% | 40 | |
| Precipitation Intensity | ×1.20; 608 mm total | −0.2 | 0 | 1.0% | 2 |
| ×0.80; 406 mm total | 0.4 | 0 | −1.0% | −1 | |
| “Extreme” Scenarios | No precip | 6.1 | 7 | −15% | −36 |
| No precip; No WM | 7.1 | 3 | −26% | −36 | |
| Rain only (Tair ≥ 4 °C); No WM | −2.3 | −7 | 3.0% | −38 | |
| Constant rain (0.1 mm/hr); 475 mm | −19.8 | −20 | 47% | 80 | |
| Salting | −50% | −0.8 | 1 | 1.0% | 3 |
| 50% | 1.2 | 2 | −1.0% | −3 | |
| Wetting | 0.2 mm every four hours during long, dry periods | −4.2 | −9 | 11% | 16 |
| Targets | Air Quality Outcomes | |||||
|---|---|---|---|---|---|---|
| Mitigation Scenario | Traffic Volume Reduction | Speed Reduction | Max. Studded Tire Usage | Road Re-Surfacing | Avg PM10 Reduction | Total HSL Exceedances |
| Short-Term—Aggressive | 50% | 15 km/h | Unchanged | No | 44% | 2 |
| Short-Term—Moderate | 10% | 10 km/h | Unchanged | No | 33% | 5 |
| Long-Term—Aggressive | 15% | None | 20% | No | 50% | 0 |
| Long-Term—Moderate I | 10% | 10 km/h | 25% | No | 41% | 2 |
| Long-Term—Moderate II | 10% | None | 25% | Yes | 63% | 0 |
| Environmental Benefits | Social Benefits | Logistics of Implementation | ||||||
|---|---|---|---|---|---|---|---|---|
| Domain | Anthropogenic Lever | Non- Exhaust | Exhaust (e.g., GHG) | Noise | Resource Efficiency 1 | Safety | Cost | Time |
| Traffic | Reduce traffic volume | + | + | + | ++ | ++ | −− | 12 years 2 |
| Reduce studded tires | ++ | / | ++ | + | − | + | 2+ years 2 | |
| Reduce speed | + | + | + | + | + | ++ | Days | |
| Increase electrical cars | − | ++ | / | − | / | / | 12 years 2 | |
| Pavement | Wear-resistant DGP | + | / | / | + | / | −− | 6+ year 2 |
| Open-graded OGP | − | / | + | − | +/ | − | 2 years 2 | |
| Road Management | Dust binding | (+) | / | / | − | / | − | Hours |
| Road wetting | (+) | / | / | − | − | − | Hours | |
Publisher’s Note: MDPI stays neutral with regard to jurisdictional claims in published maps and institutional affiliations. |
© 2021 by the authors. Licensee MDPI, Basel, Switzerland. This article is an open access article distributed under the terms and conditions of the Creative Commons Attribution (CC BY) license (https://creativecommons.org/licenses/by/4.0/).
Share and Cite
Barr, B.C.; Andradóttir, H.Ó.; Thorsteinsson, T.; Erlingsson, S. Mitigation of Suspendable Road Dust in a Subpolar, Oceanic Climate. Sustainability 2021, 13, 9607. https://doi.org/10.3390/su13179607
Barr BC, Andradóttir HÓ, Thorsteinsson T, Erlingsson S. Mitigation of Suspendable Road Dust in a Subpolar, Oceanic Climate. Sustainability. 2021; 13(17):9607. https://doi.org/10.3390/su13179607
Chicago/Turabian StyleBarr, Brian Charles, Hrund Ólöf Andradóttir, Throstur Thorsteinsson, and Sigurður Erlingsson. 2021. "Mitigation of Suspendable Road Dust in a Subpolar, Oceanic Climate" Sustainability 13, no. 17: 9607. https://doi.org/10.3390/su13179607
APA StyleBarr, B. C., Andradóttir, H. Ó., Thorsteinsson, T., & Erlingsson, S. (2021). Mitigation of Suspendable Road Dust in a Subpolar, Oceanic Climate. Sustainability, 13(17), 9607. https://doi.org/10.3390/su13179607

