Effectiveness of Pedestrian Safety Service Provision Using Sensing Technology
Abstract
1. Introduction
2. Literature Review
2.1. Analysis of Pedestrian Traffic Accidents
2.2. Review of Precedent Studies
3. Plan to Configure a Pedestrian Safety System and Provide Services
3.1. Configuration of the Pedestrian Safety System
3.2. Plan to Provide the Services
4. Demonstration Analysis
4.1. Analysis of Demonstration Point Status
4.1.1. Wollang Elementary School
4.1.2. Borim Pharmacy
4.2. Determination of Analysis Scenario and Verification of Collected Data
4.2.1. Determination of Analysis Scenario
4.2.2. Data Verification
4.3. Effect Analysis of Providing the Pedestrian Safety Services
4.3.1. Wollang Elementary School
4.3.2. Borim Pharmacy
4.4. Preliminary Conclusions
5. Conclusions
Author Contributions
Funding
Institutional Review Board Statement
Informed Consent Statement
Data Availability Statement
Conflicts of Interest
References
- The Road Traffic Authority. Statistic Analysis of Traffic Accident; The Road Traffic Authority: Wonju-si, Korea, 2010. [Google Scholar]
- Nilsson, G. Traffic Safety Dimensions and the Power Model to Describe the Effect of Speed on Safety; Bulletin 221; Lund Institute of Technology, Department of Technology and Society, Traffic Engineering: Lund, Switzerland, 2004. [Google Scholar]
- Shin, D.C.; Kim, H.M.; Choi, D.H. A Study on problems and countermeasures for School Zone. In Proceedings of the 34th Conference of KST, Korean Society of Transportation, Suwon-si, Korea, 7 November 1998. [Google Scholar]
- Jang, M.S.; Park, J.Y.; Kim, M.J.; Jeong, D.J. Improvement measures for traffic safety at school zone by roadway and accident characteristics. Korean Soc. Transp. Transp. Technol. Policy 2010, 7, 91–98. [Google Scholar]
- Maycock, G.; Brocklebank, P.; Hall, R. Road Layout Design Standards and Driver Behavior; Transport Research Laboratory Report, No. 332; Transportation Research Board: Crowthome, UK, 1998. [Google Scholar]
- Quimby, A.; Maycock, G.; Palmer, C.; Buttress, S. The Factors That Influence a Drivers’s Choice of Speed; Transport Research Laboratory Report, No. 325; Transportation Research Board: Crowthome, UK, 1999. [Google Scholar]
- Durkin, M.; Pheby, T. Aiming to Be the UK’s First Traffic Calmed City in Traffic Management and Road Safety; PTRC Education and Research Services Ltd.: London, UK, 1992. [Google Scholar]
- Brian, C.T. Impact speed and a pedestrian’s risk of severe injury or death. Accid. Anal. Prev. 2013, 50, 871–878. [Google Scholar]
- Ministry of Land, Infrastructure and Transport. Smart City National Model City Service Roadmap 1.0; Ministry of Land, Infrastructure and Transport: Sejong-si, Korea, 2019.
- IT Glossart. Available online: http://terms.naver.com/entry.nhn?docId=857175&cid=50376&categoryID=50376 (accessed on 3 May 2021).
- Jeon, N.Y.; Kim, S.J.; Choo, S.H.; Lee, H.S. A study on the application of living lab in transportation: Focused on the auto-image sensing signal system for pedestrian. J. Korea Inst. Intell. Transp. Syst. 2018, 17, 1–17. [Google Scholar] [CrossRef]
- Kim, J.H.; Ha, D.I.; Park, M.C.; Song, W.C.; Ha, T.J. Analysis of traffic safety facilities in pedestrian protection area: Focusing on variable speed limit signs and beacons. J. Korea Inst. Intell. Transp. Syst. 2017, 16, 121–133. [Google Scholar] [CrossRef]
- Yoon, Y.I.; Lee, S.B.; Lim, J.B.; Park, K.S.; Moon, J.S. Estimating traffic accident reduction effect of road safety facilities in intersections. J. Korean Soc. Transp. 2017, 35, 129–142. [Google Scholar] [CrossRef]
- Godavarthy, R.P.; Russell, E.R. Study of pedestrian hybrid beacon’s effectiveness for motorists at midblock pedestrian crossings. J. Traffic Transp. Eng. 2016, 6, 531–539. [Google Scholar] [CrossRef]
- Jin, M.S.; Lee, S.K. Pedestrians and drivers behaviour change by installation of crossing safety assistant system. J. Korea Inst. Intell. Transp. Syst. 2016, 15, 85–93. [Google Scholar] [CrossRef]
- Kim, S.O.; Kim, S.Y.; Lee, C.K.; Kim, I.S. A legislative proposal of speed limit in urban area. Korean Soc. Transp. Transp. Technol. Policy 2014, 11, 11–18. [Google Scholar]
- Lee, S.K. Alternative to improve the lighting of crosswalk on rural highways. J. Contents Assoc. 2013, 13, 435–443. [Google Scholar] [CrossRef][Green Version]
- Kim, H.S.; Lee, Y.I. Accident Reduce Effect Analysis of Intersection Installing Scrambled Crosswal. In Proceedings of the 65th Conference of KST, Korean Society of Transportation, Goyang-si, Korea, 20–21 November 2011. [Google Scholar]
- Park, H.W.; Oh, Y.T.; Nam, B. Traffic Safety Facility Quantitative Effect Evaluation Methodology. In Proceedings of the 65th Conference of KST, Korean Society of Transportation, Goyang-si, Korea, 20–21 November 2011. [Google Scholar]
- Park, J.C. Analysis on the Effect for Prevention Facilities on Crosswalk Accident. Master’s Dissertation, Chonnam National University, Gwangju-si, Korea, 2007. [Google Scholar]
- Federal Highway Administration. Safety Effectiveness of the HAWK Pedestrian Crossing Treatment; Report No. FHWA-HRT-10-042; Federal Highway Administration: McLean, VA, USA, 2010.
- National Highway Traffic Safety Administration. Demonstration of Automated Speed Enforcement in School Zones in Porland, Oregon; Report DOT HS 810 764; U.S. Department of Transportation: Washington, DC, USA, 2006.
- Gates, T.J.; Hawins, H.G.; Ewart, R.T. Effectiveness of a Rear-Facing Flashing beacon in School Speed Limit Sign Assemblies. In Proceedings of the TRB 83rd Annual Meeting, Washington, DC, USA, 11–15 January 2004. [Google Scholar]
- Hyundai Marine & Insurance. Available online: https://blog.hi.co.kr/1747 (accessed on 29 July 2021).
- Korea National Police Agency & Ministry of Land, Infrastructure and Transport. Safety Speed 5030 Design Operation Manual; Korea National Police Agency & Ministry of Land, Infrastructure and Transport: Sejong-si, Korea, 2019.
- KOTSA (Korea Transportation Safety Authority). Available online: http://www.kotsa.or.kr/ind/prt/InqDetNANNewsData.do?bbsCd=203&bbsSn=11949 (accessed on 21 June 2021).










| Year | Number of Accidents | Number of Death Persons (A) | Number of Injured Persons (B) | Number of Casualties (A + B) | ||||||||
|---|---|---|---|---|---|---|---|---|---|---|---|---|
| Total | Pedestrian | Ratio | Total | Pedestrian | Ratio | Total | Pedestrian | Ratio | Total | Pedestrian | Ratio | |
| 2010 | 226,878 | 49,353 | 21.75 | 5505 | 2010 | 36.51 | 352,458 | 50,396 | 14.30 | 357,963 | 52,406 | 14.64 |
| 2011 | 221,711 | 49,701 | 22.42 | 5229 | 1998 | 38.21 | 341,391 | 50,907 | 14.91 | 346,620 | 52,905 | 15.26 |
| 2012 | 223,656 | 50,111 | 22.41 | 5392 | 1977 | 36.67 | 344,565 | 51,462 | 14.94 | 349,957 | 53,439 | 15.27 |
| 2013 | 215,354 | 49,130 | 22.81 | 5092 | 1928 | 37.86 | 328,711 | 50,235 | 15.28 | 333,803 | 52,163 | 15.63 |
| 2014 | 232,552 | 50,315 | 21.64 | 4762 | 1843 | 38.70 | 337,497 | 51,590 | 15.29 | 342,259 | 53,433 | 15.61 |
| 2015 | 232,035 | 50,980 | 21.97 | 4621 | 1764 | 38.17 | 350,400 | 52,270 | 14.92 | 355,021 | 54,034 | 15.22 |
| 2016 | 220,917 | 48,489 | 21.95 | 4292 | 1662 | 38.72 | 331,720 | 49,745 | 15.00 | 336,012 | 51,407 | 15.30 |
| 2017 | 216,335 | 46,728 | 21.60 | 4185 | 1617 | 38.64 | 322,829 | 47,827 | 14.81 | 327,014 | 49,444 | 15.12 |
| 2018 | 217,148 | 45,248 | 20.84 | 3781 | 1443 | 38.16 | 323,037 | 46,456 | 14.38 | 326,818 | 47,899 | 14.66 |
| 2019 | 229,600 | 46,150 | 20.10 | 3349 | 1271 | 37.95 | 341,712 | 47,406 | 13.87 | 345,061 | 48,677 | 14.11 |
| Average annual rate of change | 0.13 | −0.74 | −0.87 | −5.37 | −4.97 | 0.43 | −0.34 | −0.68 | −0.33 | −0.41 | −0.82 | −0.41 |
| Division | Number of Accidents and Number of Casualties | % of Accidents and Number of Casualties | |||||||||||
|---|---|---|---|---|---|---|---|---|---|---|---|---|---|
| While Crossing | Walking on Street | Walking on Roadside | Walking on Sidewalk | Others | Sum | While Crossing | Walking on Street | Walking on Roadside | Walking on Sidewalk | Others | Sum | ||
| 2010 | No. of accidents | 21,788 | 5591 | 4237 | 2913 | 14,824 | 49,353 | 44.15 | 11.33 | 8.59 | 5.90 | 30.04 | 100.00 |
| Casualties | 23,145 (1063) | 5853 (263) | 4510 (145) | 3152 (83) | 15,746 (456) | 52,406 (2010) | 44.16 (52.89) | 11.17 (13.08) | 8.61 (7.21) | 6.01 (4.13) | 30.05 (22.69) | 100.00 (100.00) | |
| 2011 | No. of accidents | 20,205 | 4585 | 4093 | 2579 | 18,239 | 49,701 | 40.65 | 9.23 | 8.24 | 5.19 | 36.70 | 100.00 |
| Casualties | 21,530 (1028) | 4829 (212) | 4318 (121) | 2816 (66) | 19,412 (571) | 52,905 (1998) | 40.70 (51.45) | 9.13 (10.61) | 8.16 (6.06) | 5.32 (3.30) | 36.69 (28.58) | 100.00 (100.00) | |
| 2012 | No. of accidents | 19,537 | 3904 | 3577 | 2399 | 20,694 | 50,111 | 38.99 | 7.79 | 7.14 | 4.79 | 41.30 | 100.00 |
| Casualties | 20,876 (1003) | 4138 (174) | 3793 (94) | 2622 (83) | 22,010 (623) | 53,439 (1977) | 39.07 (50.73) | 7.74 (8.80) | 7.10 (4.75) | 4.91 (4.20) | 41.19 (31.51) | 100.00 (100.00) | |
| 2013 | No. of accidents | 18,165 | 3335 | 3119 | 2216 | 22,295 | 49,130 | 36.97 | 6.79 | 6.35 | 4.51 | 45.38 | 100.00 |
| Casualties | 19,374 (922) | 3501 (162) | 3280 (89) | 2385 (58) | 23,623 (697) | 52,163 (1928) | 37.14 (47.82) | 6.71 (8.40) | 6.29 (4.62) | 4.57 (3.01) | 45.29 (36.15) | 100.00 (100.00) | |
| 2014 | No. of accidents | 17,544 | 3059 | 2872 | 2188 | 24,652 | 50,315 | 34.87 | 6.08 | 5.71 | 4.35 | 49.00 | 100.00 |
| Casualties | 18,721 (883) | 3207 (146) | 3030 (80) | 2410 (45) | 26,065 (689) | 53,433 (1843) | 35.04 (47.91) | 6.00 (7.92) | 5.67 (4.34) | 4.51 (2.44) | 48.78 (37.38) | 100.00 (100.00) | |
| 2015 | No. of accidents | 21,913 | 4377 | 4567 | 2668 | 17,455 | 50,980 | 42.98 | 8.59 | 8.96 | 5.23 | 34.24 | 100.00 |
| Casualties | 23,347 (954) | 4606 (183) | 4762 (134) | 2876 (47) | 18,443 (446) | 54,034 (1764) | 43.21 (54.08) | 8.52 (10.37) | 8.81 (7.60) | 5.32 (2.66) | 34.13 (25.28) | 100.00 (100.00) | |
| 2016 | No. of accidents | 26,823 | 3622 | 3544 | 1627 | 12,873 | 48,489 | 55.32 | 7.47 | 7.31 | 3.36 | 26.55 | 100.00 |
| Casualties | 28,516 (1085) | 3799 (146) | 3692 (65) | 1757 (31) | 13,643 (335) | 51,407 (1662) | 55.47 (65.28) | 7.39 (8.78) | 7.18 (3.91) | 3.42 (1.87) | 26.54 (20.16) | 100.00 (100.00) | |
| 2017 | No. of accidents | 25,381 | 3747 | 3017 | 1621 | 12,962 | 46,728 | 54.32 | 8.02 | 6.46 | 3.47 | 27.74 | 100.00 |
| Casualties | 26,975 (974) | 3907 (193) | 3143 (68) | 1756 (36) | 13,663 (346) | 49,444 (1617) | 54.56 (60.24) | 7.90 (11.94) | 6.36 (4.21) | 3.55 (2.23) | 27.63 (21.4) | 100.00 (100.00) | |
| 2018 | No. of accidents | 18,390 | 4742 | 3196 | 2194 | 16,726 | 45,248 | 40.64 | 10.48 | 7.06 | 4.85 | 36.97 | 100.00 |
| Casualties | 19,589 (794) | 4944 (205) | 3339 (69) | 2371 (41) | 17,656 (334) | 47,899 (1443) | 40.9 (55.02) | 10.32 (14.21) | 6.97 (4.78) | 4.95 (2.84) | 36.86 (23.15) | 100.00 (100.00) | |
| 2019 | No. of accidents | 18,101 | 4765 | 2705 | 2335 | 18,244 | 46,150 | 39.22 | 10.33 | 5.86 | 5.06 | 39.53 | 100.00 |
| Casualties | 19,229 (652) | 4944 (180) | 2817 (41) | 2504 (37) | 19,183 (361) | 48,677 (1271) | 39.5 (51.30) | 10.16 (14.16) | 5.79 (3.23) | 5.14 (2.91) | 39.41 (28.40) | 100.00 (100.00) | |
| Average annual rate of change | No. of accidents | −2.04 | −1.76 | −4.86 | −2.43 | 2.33 | −0.74 | - | |||||
| Casualties | −2.04 (−5.29) | −1.86 (−4.13) | −5.09 (−13.09) | −2.52 (−8.59) | 2.22 (−2.56) | −0.82 (−4.97) | |||||||
| Classification | Details |
|---|---|
| Smart crosswalk | Protect pedestrians through pedestrian detection system and vehicle detection system at crosswalks |
| School zone safety services | Provide students with safety through vehicle speed control and crosswalk safety services in school zones |
| Smart road surface information sign service | Display traffic sign information on the road surface near the crosswalk, providing it to pedestrians who intend to cross the crosswalk with their head down while using a smartphone |
| No. | Device & Sensor | Specifications | Image |
|---|---|---|---|
| ① | Pedestrian detection (Thermal imaging camera) |
| ![]() |
| ② | Vehicle detection (Radar sensor) |
| ![]() |
| ③ | Provide information (for driver/vehicle) |
Weight: 2.3 kg LED Color: Red Exterior/Internal Material: Aluminum Operation temperature: −20–75 °C | ![]() |
Weight: 2.2 kg LED: 1 W per LED, 3 LEDs per side Color: Yellow Top plate/Bottom Plate material: Stainless 304/die-cast aluminum alloy Operation temperature: −40–75 °C | ![]() | ||
| Provide information (for pedestrian) |
LED Color: Yellow, Green, Red Specification: High-brightness 5Φ LED Case size: 400 mm × 800 mm × 60 mm | ![]() | |
Maximum input: RMS 15 W Play band: 400–15,000 Hz Size: 87 mm × 87 mm × 32 mm Amplifier output: RMS 15 W mono | ![]() | ||
Android only Interlocking with external sensor signal Smartphone sound, light, alarm pop-up control | ![]() |
| Division | System | |
|---|---|---|
| Information collecting |
| |
| Information processing |
| |
| Information providing | Pedestrians |
[Hearing]: Speaker notification information [Touch sensation]: Output a vibration and alerting messages by smartphone App. |
| Vehicles (Drivers) |
[Road electrical sign]: Small Variable Message Sign (VMS) providing notifications and alerts | |
| Division | Location | Day or Night | Date and Time Band |
|---|---|---|---|
| Before service provided | Wollang Elementary School | Day | 22 October 2019, 13:50–14:50 |
| Night | 22 October 2019, 20:50–22:04 | ||
| Borim Pharmacy | Day | 22 October 2019, 16:06–17:14 | |
| Night | 22 October 2019, 18:04–18:56 | ||
| After services provided | Wollang Elementary School | Day | 14 November 2019, 14:11–15:25 |
| Night | 14 November 2019, 19:46–20:40 | ||
| Borim Pharmacy | Day | 15 November 2019, 10:00–11:00 | |
| Night | 14 November 2019, 18:06–19:03 |
| Division | Details |
|---|---|
| Scenario 1 | Targeting the entire investigation data, from which the error data has been removed |
| Scenario 2 | Targeting the vehicles that reduced their speed while approaching from point 2 to point 1, when considering the data in scenario 1 |
| Division | Location | Daytime or Night-Time | Data Collected | Speed Error Data | Data Collection Time Error (Point 2 > Point 1) | Final Data |
|---|---|---|---|---|---|---|
| Before service provided | Wollang Elementary School | Daytime | 337 | 0 | 0 | 337 |
| Night-time | 213 | 0 | 2 | 211 | ||
| Borim Pharmacy | Daytime | 213 | 0 | 1 | 212 | |
| Night-time | 150 | 0 | 0 | 150 | ||
| After service provided | Wollang Elementary School | Daytime | 296 | 0 | 1 | 295 |
| Night-time | 202 | 1 | 5 | 197 | ||
| Borim Pharmacy | Daytime | 143 | 0 | 4 | 139 | |
| Night-time | 202 | 1 | 11 | 190 |
| - | Wollang Elementary School | Borim Pharmacy | ||||||
|---|---|---|---|---|---|---|---|---|
| Day | Night | Day | Night | |||||
| Survey Point 1 | Survey Point 2 | Survey Point 1 | Survey Point 2 | Survey Point 1 | Survey Point 2 | Survey Point 1 | Survey Point 2 | |
| t-statistic | 3.97 | 3.32 | 3.39 | 3.63 | 0.14 | −2.98 | 2.46 | 1.42 |
| p-value | 8.3 × 10−5 | 9.7 × 10−4 | 7.5 × 10−4 | 3.2 × 10−4 | 8.9 × 10−1 | 3.2 × 10−3 | 1.4 × 10−2 | 1.6 × 10−1 |
| - | Scenario 1 | Scenario 2 | ||||||||||
|---|---|---|---|---|---|---|---|---|---|---|---|---|
| Ave. Speed | Std. Deviation | Min. Speed | Max. Speed | No. of Samples | Ave. Speed | Std. Deviation | Min. Speed | Max. Speed | No. of Samples | |||
| Before service (A) | Day | Point 1 | 24.01 | 5.80 | 3.32 | 39.67 | 337 | 23.07 | 6.02 | 3.32 | 39.67 | 213 |
| Point 2 | 25.29 | 5.80 | 6.00 | 40.75 | 26.71 | 5.21 | 13.85 | 40.75 | ||||
| Night | Point 1 | 24.94 | 6.89 | 5.65 | 46.26 | 211 | 24.40 | 7.10 | 5.65 | 43.03 | 142 | |
| Point 2 | 26.09 | 6.88 | 4.71 | 43.21 | 27.46 | 6.13 | 12.75 | 43.21 | ||||
| After service (B) | Day | Point 1 | 21.67 | 8.58 | 3.29 | 60.23 | 295 | 19.31 | 7.95 | 3.29 | 37.23 | 177 |
| Point 2 | 23.47 | 7.68 | 3.54 | 49.92 | 25.05 | 5.94 | 12.39 | 49.92 | ||||
| Night | Point 1 | 22.69 | 6.53 | 5.29 | 40.08 | 197 | 21.88 | 6.39 | 5.29 | 39.67 | 111 | |
| Point 2 | 23.61 | 6.95 | 4.57 | 41.07 | 26.00 | 5.06 | 11.60 | 41.07 | ||||
| Difference (B-A) | Day | Point 1 | −2.34 (−9.76%) | - | −3.76 (−16.30%) | - | ||||||
| Point 2 | −1.82 (−7.18%) | −1.66 (−6.22%) | ||||||||||
| Night | Point 1 | −2.26 (−9.05%) | −2.52 (−10.31%) | |||||||||
| Point 2 | −2.49 (−9.53%) | −1.46 (−5.30%) | ||||||||||
| - | Scenario 1 | Scenario 2 | ||||||
|---|---|---|---|---|---|---|---|---|
| Vehicles | Point 1 (C) | Point 2 (D) | Diff. (D-C) | Vehicles | Point 1 (C′) | Point 2 (D′) | Diff. (D′-C′) | |
| Before service (A) | 548 (Day 337 + Night 221) | 24.37 | 25.60 | −1.23 (−4.80%) | 355 (Day 213 + Night 142) | 23.60 | 27.01 | −3.40 (−12.61%) |
| After service (B) | 492 (Day 295 + Night 197) | 22.07 | 23.53 | −1.45 (−6.17%) | 288 (Day 177 + Night 111) | 20.30 | 25.42 | −5.11 (−20.12%) |
| Diff (B-A) | - | −2.29 (−9.42%) | −2.07 (−8.10%) | - | - | −3.30 (−13.99%) | −1.59 (−5.90%) | - |
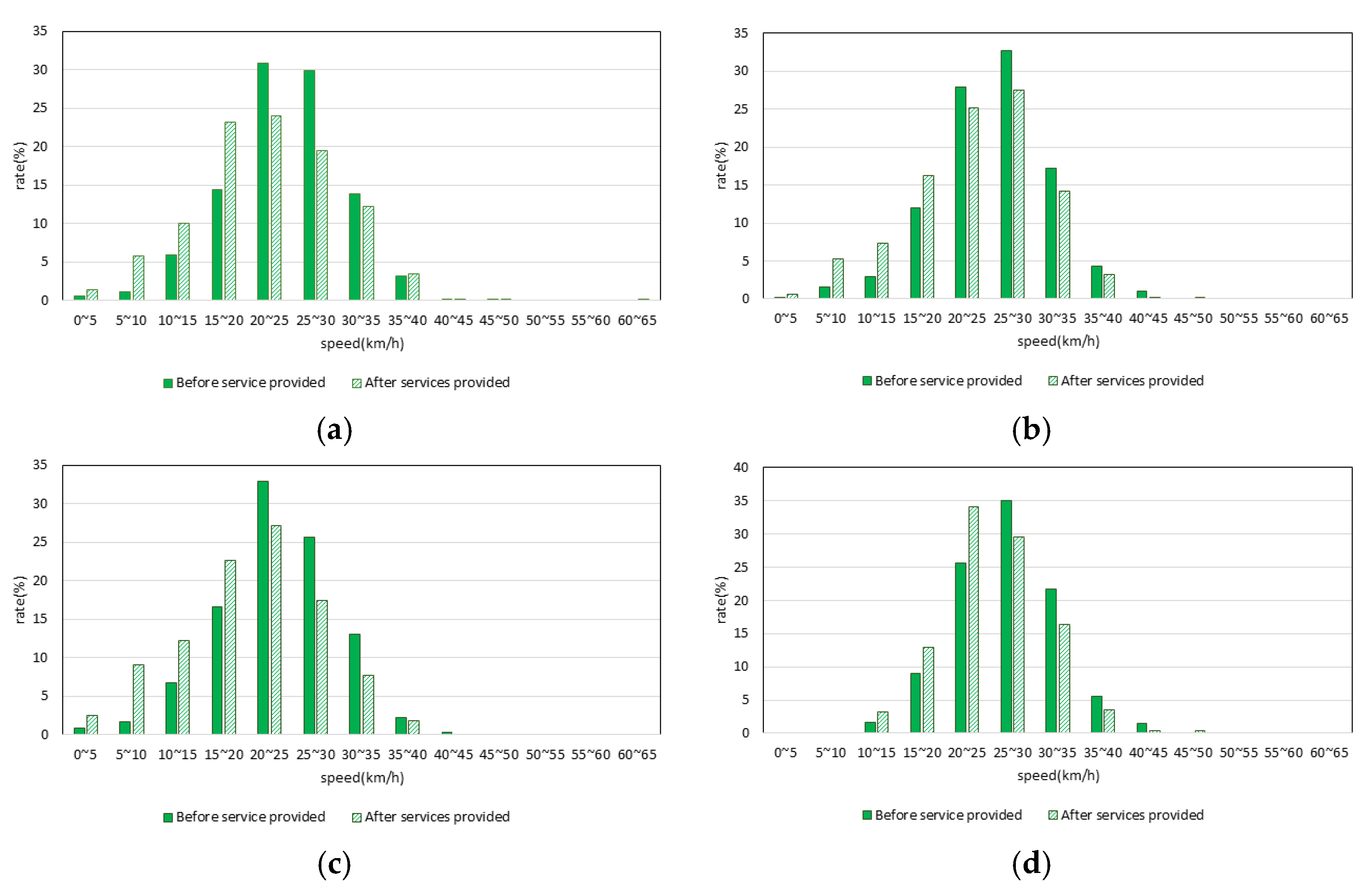
| Speed | Scenario 1 | Scenario 2 | ||||||||||||||
|---|---|---|---|---|---|---|---|---|---|---|---|---|---|---|---|---|
| Before Service | After Service | Before Service | After Service | |||||||||||||
| Point 1 | Point 2 | Point 1 | Point 2 | Point 1 | Point 2 | Point 1 | Point 2 | |||||||||
| Vehicle | % | Vehicle | % | Vehicle | % | Vehicle | % | Vehicle | % | Vehicle | % | Vehicle | % | Vehicle | % | |
| 0~5 | 3 | 0.55 | 1 | 0.18 | 7 | 1.42 | 3 | 0.61 | 3 | 0.85 | 0 | 0.00 | 7 | 2.43 | 0 | 0.00 |
| 5~10 | 6 | 1.09 | 9 | 1.64 | 28 | 5.69 | 26 | 5.28 | 6 | 1.69 | 0 | 0.00 | 26 | 9.03 | 0 | 0.00 |
| 10~15 | 32 | 5.84 | 16 | 2.92 | 49 | 9.96 | 36 | 7.32 | 24 | 6.76 | 6 | 1.69 | 35 | 12.15 | 9 | 3.13 |
| 15~20 | 79 | 14.42 | 66 | 12.04 | 114 | 23.17 | 80 | 16.26 | 59 | 16.62 | 32 | 9.01 | 65 | 22.57 | 37 | 12.85 |
| 20~25 | 169 | 30.84 | 153 | 27.92 | 118 | 23.98 | 124 | 25.20 | 117 | 32.96 | 91 | 25.63 | 78 | 27.08 | 98 | 34.03 |
| 25~30 | 164 | 29.93 | 179 | 32.66 | 96 | 19.51 | 135 | 27.44 | 91 | 25.63 | 124 | 34.93 | 50 | 17.36 | 85 | 29.51 |
| 30~35 | 76 | 13.87 | 94 | 17.15 | 60 | 12.20 | 70 | 14.23 | 46 | 12.96 | 77 | 21.69 | 22 | 7.64 | 47 | 16.32 |
| 35~40 | 17 | 3.10 | 24 | 4.38 | 17 | 3.46 | 16 | 3.25 | 8 | 2.25 | 20 | 5.63 | 5 | 1.74 | 10 | 3.47 |
| 40~45 | 1 | 0.18 | 6 | 1.09 | 1 | 0.20 | 1 | 0.20 | 1 | 0.28 | 5 | 1.41 | 0 | 0.00 | 1 | 0.35 |
| 45~50 | 1 | 0.18 | 0 | 0.00 | 1 | 0.20 | 1 | 0.20 | 0 | 0.00 | 0 | 0.00 | 0 | 0.00 | 1 | 0.35 |
| 50~55 | 0 | 0.00 | 0 | 0.00 | 0 | 0.00 | 0 | 0.00 | 0 | 0.00 | 0 | 0.00 | 0 | 0.00 | 0 | 0.00 |
| 55~60 | 0 | 0.00 | 0 | 0.00 | 0 | 0.00 | 0 | 0.00 | 0 | 0.00 | 0 | 0.00 | 0 | 0.00 | 0 | 0.00 |
| 60~65 | 0 | 0.00 | 0 | 0.00 | 1 | 0.20 | 0 | 0.00 | 0 | 0.00 | 0 | 0.00 | 0 | 0.00 | 0 | 0.00 |
| Total | 548 | 100 | 548 | 100 | 492 | 100 | 492 | 100 | 355 | 100 | 355 | 100 | 288 | 100 | 288 | 100 |
| ≤30 | 453 | 82.66 | 424 | 77.37 | 412 | 83.74 | 404 | 82.11 | 300 | 84.51 | 253 | 71.27 | 261 | 90.63 | 229 | 79.51 |
| - | Scenario 1 | Scenario 2 | ||||||||||
|---|---|---|---|---|---|---|---|---|---|---|---|---|
| Ave. Speed | Std. Deviation | Min. Speed | Max. Speed | No. of Samples | Ave. Speed | Std. Deviation | Min. Speed | Max. Speed | No. of Samples | |||
| Before service (A) | Day | Point 1 | 29.56 | 6.01 | 14.47 | 43.33 | 212 | 29.56 | 5.98 | 14.47 | 43.33 | 194 |
| Point 2 | 34.09 | 6.11 | 9.15 | 48.31 | 34.79 | 5.40 | 20.34 | 48.31 | ||||
| Night | Point 1 | 29.53 | 6.38 | 9.08 | 52.59 | 150 | 29.41 | 6.36 | 9.08 | 52.59 | 143 | |
| Point 2 | 35.12 | 6.19 | 10.90 | 58.23 | 35.38 | 6.03 | 10.90 | 58.23 | ||||
| After service (B) | Day | Point 1 | 29.47 | 5.97 | 11.44 | 42.97 | 139 | 29.67 | 5.85 | 11.44 | 42.97 | 135 |
| Point 2 | 36.19 | 6.71 | 11.36 | 51.30 | 36.70 | 5.97 | 25.88 | 51.30 | ||||
| Night | Point 1 | 27.74 | 7.01 | 3.51 | 44.87 | 190 | 27.59 | 7.06 | 3.51 | 44.87 | 183 | |
| Point 2 | 34.16 | 6.24 | 17.02 | 50.56 | 34.31 | 6.26 | 17.02 | 50.56 | ||||
| Difference (B-A) | Day | Point 1 | −0.09 (−0.31%) | - | 0.11 (0.39%) | - | ||||||
| Point 2 | 2.10 (6.17%) | 1.91 (5.50%) | ||||||||||
| Night | Point 1 | −1.79 (−6.06%) | −1.82 (−6.19%) | |||||||||
| Point 2 | −0.96 (−2.74%) | −1.06 (−3.01%) | ||||||||||
| - | Scenario 1 | Scenario 2 | ||||||
|---|---|---|---|---|---|---|---|---|
| Vehicles | Point 1 (C) | Point 2 (D) | Diff. (D-C) | Vehicles | Point 1 (C′) | Point 2 (D′) | Diff. (D′-C′) | |
| Before service (A) | 362 (Day 212 + Night 150) | 29.55 | 34.51 | −4.97 (−14.39%) | 337 (Day 194 + Night 143) | 29.50 | 35.04 | −5.54 (−15.82%) |
| After service (B) | 329 (Day 139 + Night 190) | 28.47 | 35.02 | −6.55 (−18.69%) | 318 (Day 135 + Night 183) | 28.47 | 35.33 | −6.85 (−19.40%) |
| Diff. (B-A) | - | −1.08 (−3.65%) | 0.50 (1.46%) | - | - | −1.02 (−3.46%) | 0.29 (0.82%) | - |
| Speed | Scenario 1 | Scenario 2 | ||||||||||||||
|---|---|---|---|---|---|---|---|---|---|---|---|---|---|---|---|---|
| Before Service | After Service | Before Service | After Service | |||||||||||||
| Point 1 | Point 2 | Point 1 | Point 2 | Point 1 | Point 2 | Point 1 | Point 2 | |||||||||
| Vehicle | % | Vehicle | % | Vehicle | % | Vehicle | % | Vehicle | % | Vehicle | % | Vehicle | % | Vehicle | % | |
| 0~5 | 0 | 0.00 | 0 | 0.00 | 1 | 0.30 | 0 | 0.00 | 0 | 0.00 | 0 | 0.00 | 1 | 0.31 | 0 | 0.00 |
| 5~10 | 1 | 0.28 | 1 | 0.28 | 4 | 1.22 | 0 | 0.00 | 1 | 0.30 | 0 | 0.00 | 4 | 1.26 | 0 | 0.00 |
| 10~15 | 2 | 0.55 | 1 | 0.28 | 7 | 2.13 | 1 | 0.30 | 2 | 0.59 | 1 | 0.30 | 7 | 2.20 | 0 | 0.00 |
| 15~20 | 18 | 4.97 | 6 | 1.66 | 18 | 5.47 | 8 | 2.43 | 16 | 4.75 | 0 | 0.00 | 17 | 5.35 | 6 | 1.89 |
| 20~25 | 51 | 14.09 | 11 | 3.04 | 58 | 17.63 | 6 | 1.82 | 47 | 13.95 | 9 | 2.67 | 56 | 17.61 | 6 | 1.89 |
| 25~30 | 129 | 35.64 | 51 | 14.09 | 98 | 29.79 | 49 | 14.89 | 123 | 36.50 | 44 | 13.06 | 95 | 29.87 | 44 | 13.84 |
| 30~35 | 99 | 27.35 | 123 | 33.98 | 96 | 29.18 | 99 | 30.09 | 94 | 27.89 | 118 | 35.01 | 93 | 29.25 | 98 | 30.82 |
| 35~40 | 47 | 12.98 | 115 | 31.77 | 37 | 11.25 | 91 | 27.66 | 39 | 11.57 | 111 | 32.94 | 35 | 11.01 | 89 | 27.99 |
| 40~45 | 12 | 3.31 | 38 | 10.50 | 10 | 3.04 | 57 | 17.33 | 12 | 3.56 | 38 | 11.28 | 10 | 3.14 | 57 | 17.92 |
| 45~50 | 1 | 0.28 | 12 | 3.31 | 0 | 0.00 | 12 | 3.65 | 1 | 0.30 | 12 | 3.56 | 0 | 0.00 | 12 | 3.77 |
| 50~55 | 2 | 0.55 | 2 | 0.55 | 0 | 0.00 | 6 | 1.82 | 2 | 0.59 | 2 | 0.59 | 0 | 0.00 | 6 | 1.89 |
| 55~60 | 0 | 0.00 | 2 | 0.55 | 0 | 0.00 | 0 | 0.00 | 0 | 0.00 | 2 | 0.59 | 0 | 0.00 | 0 | 0.00 |
| 60~65 | 0 | 0.00 | 0 | 0.00 | 0 | 0.00 | 0 | 0.00 | 0 | 0.00 | 0 | 0.00 | 0 | 0.00 | 0 | 0.00 |
| Total | 362 | 100 | 362 | 100 | 329 | 100 | 329 | 100 | 337 | 100 | 337 | 100 | 318 | 100 | 318 | 100 |
| ≤50 | 360 | 99.45 | 358 | 98.90 | 329 | 100 | 323 | 98.18 | 335 | 99.41 | 333 | 98.81 | 318 | 100 | 312 | 98.11 |
Publisher’s Note: MDPI stays neutral with regard to jurisdictional claims in published maps and institutional affiliations. |
© 2021 by the authors. Licensee MDPI, Basel, Switzerland. This article is an open access article distributed under the terms and conditions of the Creative Commons Attribution (CC BY) license (https://creativecommons.org/licenses/by/4.0/).
Share and Cite
Hong, K.-M.; Son, S.-H.; Kim, J.-H. Effectiveness of Pedestrian Safety Service Provision Using Sensing Technology. Sustainability 2021, 13, 9333. https://doi.org/10.3390/su13169333
Hong K-M, Son S-H, Kim J-H. Effectiveness of Pedestrian Safety Service Provision Using Sensing Technology. Sustainability. 2021; 13(16):9333. https://doi.org/10.3390/su13169333
Chicago/Turabian StyleHong, Ki-Man, Sang-Hoon Son, and Jong-Hoon Kim. 2021. "Effectiveness of Pedestrian Safety Service Provision Using Sensing Technology" Sustainability 13, no. 16: 9333. https://doi.org/10.3390/su13169333
APA StyleHong, K.-M., Son, S.-H., & Kim, J.-H. (2021). Effectiveness of Pedestrian Safety Service Provision Using Sensing Technology. Sustainability, 13(16), 9333. https://doi.org/10.3390/su13169333







