Settling Analyses and Investigations of Clayey Sediments to Storage in Geotubes
Abstract
:1. Introduction
2. Materials and Methods
2.1. Materials
2.2. Preparation of Samples
2.3. Density Measurements
2.4. Batch Settling Tests
2.5. Dynamic Light Scattering and -Potential
2.6. DSC–TG Measurements
3. Results and Discussion
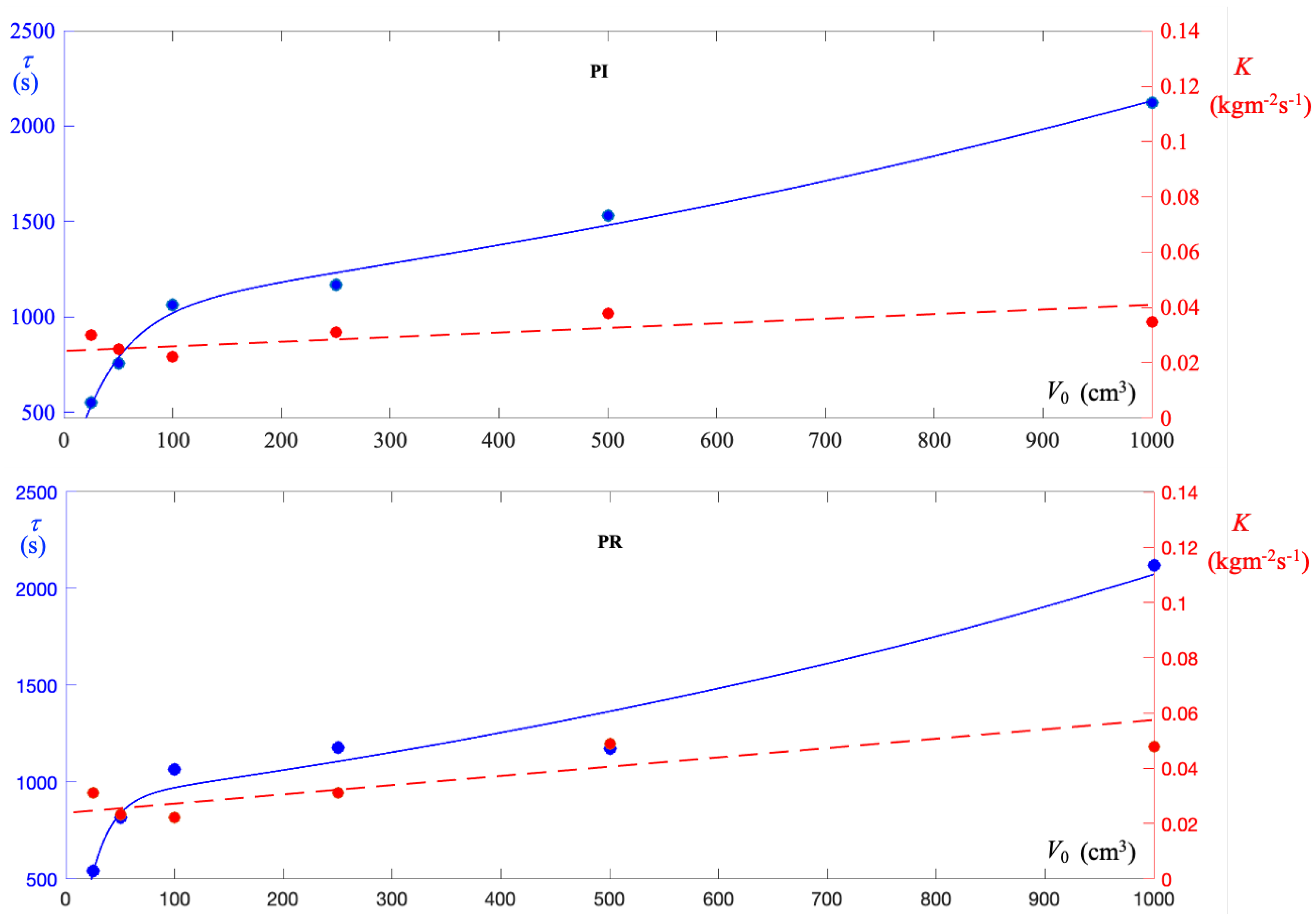
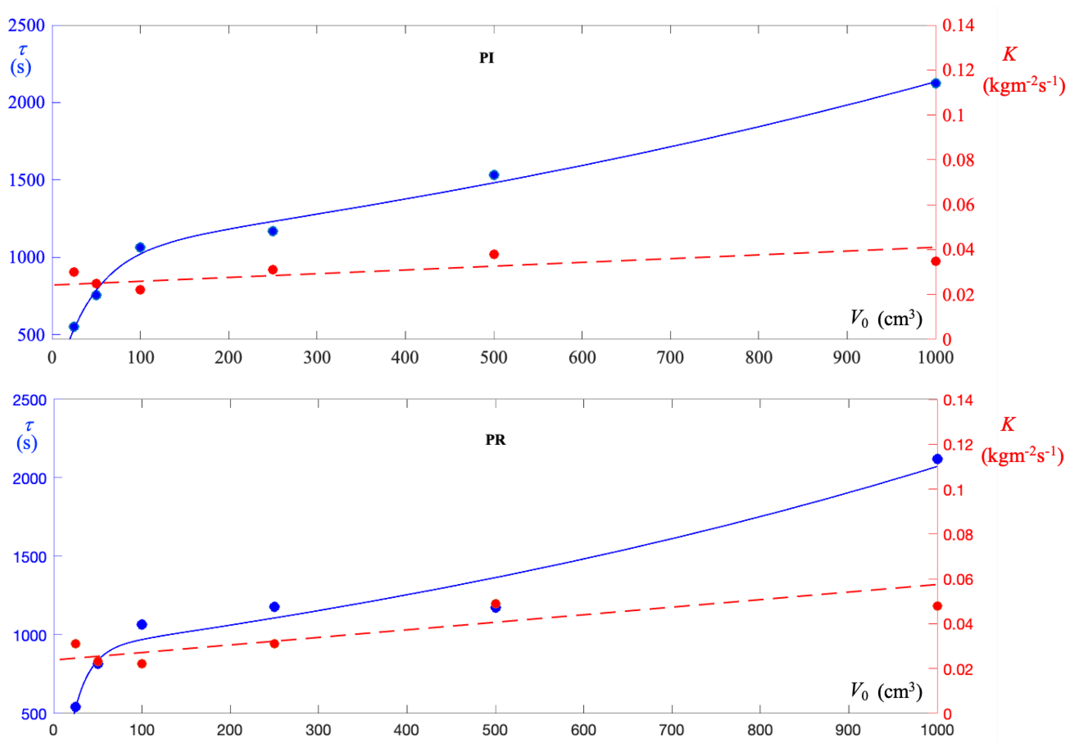
Settling Measurements
4. Conclusions
Author Contributions
Funding
Acknowledgments
Conflicts of Interest
References
- Ahmad, A.; El-Shafie, A.; Razali, S.F.M.; Mohamad, Z.S. Reservoir optimization in water resources: A review. Water Resour. Manag. 2014, 28, 3391–3405. [Google Scholar] [CrossRef]
- De Vincenzo, A.; Molino, B.; Viparelli, R.; Caramuscio, P. A methodological approach for estimating turbidity in a river. Int. J. Sed. Res. 2011, 26, 112–119. [Google Scholar] [CrossRef]
- De Vincenzo, A.; Molino, A.J.; Molino, B.; Scorpio, V. Reservoir rehabilitation: The new methodological approach of Economic Environmental Defence. Int. J. Sed. Res. 2017, 32, 288–294. [Google Scholar] [CrossRef]
- Sheehan, C.; Harrington, J. An environmental and economic analysis for geotube coastal structures retaining dredge material . Resour. Conserv. Recycl. 2012, 61, 91–102. [Google Scholar] [CrossRef]
- Parab, S.R.; Chodankar, D.S.; Shirgaunkar, R.M.; Fernandes, M.; Parab, A.B.; Aldonkar, S.S.; Savoikar, P.P. Geotubes for beach erosion control in Goa. Int. J. Earth Sci. Eng 2011, 4, 1013–1016. [Google Scholar]
- Molino, B.; Bufalo, G.; De Vincenzo, A.; Ambrosone, L. Semiempirical Model for Assessing Dewatering Process by Flocculation of Dredged Sludge in an Artificial Reservoir. Appl. Sci. 2020, 10, 3051. [Google Scholar] [CrossRef]
- Covelli, C.; Cimorelli, L.; Pagliuca, D.; Danila, N.; Molino, B.; Pianese, D. Assessment of erosion in river basins: A distributed model to estimate the sediment production over watersheds by a 3-Dimensional LS Factor in RUSLE Model. Hydrology 2020, 7, 13. [Google Scholar] [CrossRef] [Green Version]
- Messina, F.; Ferone, C.; Molino, A.J.; Roviello, G.; Colangelo, F.; Molino, B.; Cioffi, R. Synergistic recycling of calcined clayey sediments and water potabilization sludge as geopolymer precursors: Upscaling from binders to precast paving cement-free bricks. Construc. Build. Mat. 2017, 133, 14–26. [Google Scholar] [CrossRef]
- Molino, B.; De Vincenzo, A.; Ferone, C.; Messina, F.; Colangelo, F.; Cioffi, R. Recycling of clay sediments for geopolymer binder production. A new perspective for reservoir management in the framework of Italian legislation: The Occhito reservoir case study. Materials 2014, 8, 5603–5616. [Google Scholar] [CrossRef] [PubMed]
- Yastrebinskii, R.N.; Cherkashina, N.I.; Doroganov, V.A.; Yastrebinskaya, A.V. Effect of additives on dispersed system structure formation. Refract. Ind. Ceram. 2020, 10, 562–564. [Google Scholar]
- Bagarani, M.; De Vincenzo, A.; Ievoli, C.; Molino, B. The Reuse of Sediments Dredged from Artificial Reservoirs for Beach Nourishment: Technical and Economic Feasibility. Sustainability 2020, 12, 6820. [Google Scholar] [CrossRef]
- Cimorelli, L.; Covelli, C.; De Vincenzo, A.; Pianese, D.; Molino, B. Sedimentation in reservoirs: Evaluation of return periods related to operational failures of water supply reservoirs with Monte Carlo simulation. J. Water Resour. Plan. Manag. 2021, 147, 04020096. [Google Scholar] [CrossRef]
- Bufalo, G.; Costagliola, C.; Mosca, M.; Ambrosone, L. Thermal analysis of milling products and its implications in self-ignition. J. Therm. Anal. Calorim. 2014, 115, 1989–1998. [Google Scholar] [CrossRef]
- Yuan, P.; Tan, D.; Annabi-Bergaya, F.; Yan, W.; Liu, D.; Liu, Z. From platy kaolinite to aluminosilicate nanoroll via one-step delamination of kaolinite: Effect of the temperature of intercalation. Appl. Clay Sci. 2013, 83, 68–76. [Google Scholar] [CrossRef]
- Stetefeld, J.; McKenna, S.A.; Patel, T.R. Dynamic light scattering: A practical guide and applications in biomedical sciences. Biophys. Rev. 2016, 8, 409–427. [Google Scholar] [CrossRef] [PubMed]
- Venditti, F.; Bufalo, G.; Lopez, F.; Ambrosone, L. Pollutants adsorption from aqueous solutions: The role of the mean lifetime. Chem. Eng. Sci. 2011, 23, 5922–5929. [Google Scholar] [CrossRef]






Publisher’s Note: MDPI stays neutral with regard to jurisdictional claims in published maps and institutional affiliations. |
© 2021 by the authors. Licensee MDPI, Basel, Switzerland. This article is an open access article distributed under the terms and conditions of the Creative Commons Attribution (CC BY) license (https://creativecommons.org/licenses/by/4.0/).
Share and Cite
Perna, M.; De Vincenzo, A.; Di Nunzio, G.; Molino, B.; Ambrosone, L. Settling Analyses and Investigations of Clayey Sediments to Storage in Geotubes. Sustainability 2021, 13, 8475. https://doi.org/10.3390/su13158475
Perna M, De Vincenzo A, Di Nunzio G, Molino B, Ambrosone L. Settling Analyses and Investigations of Clayey Sediments to Storage in Geotubes. Sustainability. 2021; 13(15):8475. https://doi.org/10.3390/su13158475
Chicago/Turabian StylePerna, Marco, Annamaria De Vincenzo, Giuseppe Di Nunzio, Bruno Molino, and Luigi Ambrosone. 2021. "Settling Analyses and Investigations of Clayey Sediments to Storage in Geotubes" Sustainability 13, no. 15: 8475. https://doi.org/10.3390/su13158475
APA StylePerna, M., De Vincenzo, A., Di Nunzio, G., Molino, B., & Ambrosone, L. (2021). Settling Analyses and Investigations of Clayey Sediments to Storage in Geotubes. Sustainability, 13(15), 8475. https://doi.org/10.3390/su13158475

