Generation Y’s Information Needs Concerning Sharing Rides in Autonomous Mobility on Demand Systems
Abstract
:1. Introduction
1.1. Shared Autonomous Mobility on Demand Systems
1.2. Literature Review
1.3. Research Objectives
- RQ1: How far does the provision of information about fellow travellers affect the willingness to share rides in mobility-on-demand systems?
- RQ2: Which information on fellow passengers (e.g., picture, rating etc.) proves especially relevant for increasing travellers’ willingness to share rides in mobility-on-demand systems?
- RQ3: Do the information needs of travellers increase when no driver is present in autonomous mobility-on-demand systems?
- RQ4: Does the length of the trip influence the relevance of provided information about fellow passengers for travellers’ willingness to share the trip?Figure 1 provides a schematic overview over the research questions and the expected relationships between the variables. The study at hand thereby focuses on a specific potential user group—Generation Y, which comprises persons born between 1981 and 1999, also called millennials [44]. This specific cohort is expected to be more likely to adopt mobility-on-demand like Uber services [32], tend to favor sharing-based service models over private ownership [33] and show greater openness towards autonomous mobility services [21].
2. Materials and Methods
2.1. Study Design
2.2. Procedure
2.3. Data Analysis
2.4. Participants
3. Results
3.1. Refusal Rate of Shared Rides
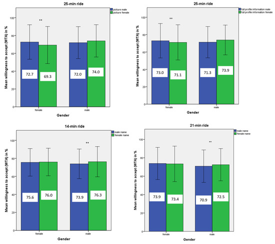
3.2. Willingness to Accept
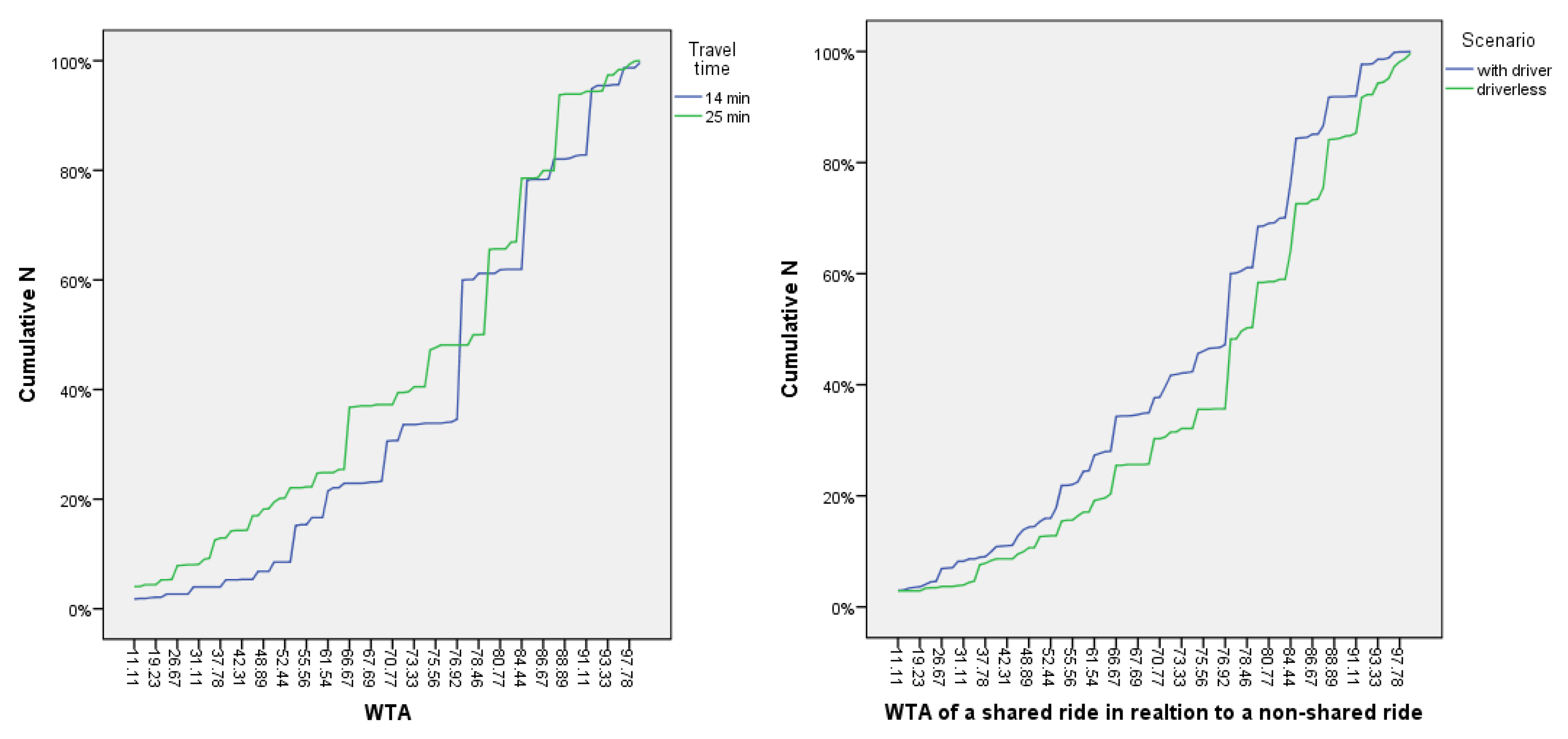
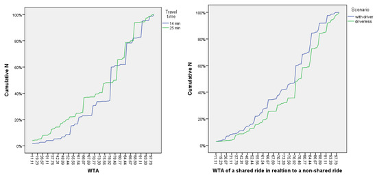
3.3. Cumulative Distribution
4. Discussion
4.1. Summary and Interpretation of Findings
4.2. Limitations and Further Research Needs
5. Conclusions
Author Contributions
Funding
Institutional Review Board Statement
Informed Consent Statement
Data Availability Statement
Conflicts of Interest
References
- SAE International. Taxonomy and Definitions for Terms Related to Driving Automation Systems for On-Road Motor Vehicles J3016_201806. Available online: https://www.sae.org/standards/content/j3016_201806/ (accessed on 18 June 2021).
- Arena, F.; Pau, G.; Collotta, M. A survey on driverless vehicles: From their diffusion to security. J. Internet Serv. Inf. Secur. 2018, 8, 1–19. [Google Scholar]
- Greenblatt, J.B.; Shaheen, S. Automated vehicles, on-demand mobility, and environmental impacts. Curr. Sustain. Energy Rep. 2015, 2, 74–81. [Google Scholar] [CrossRef] [Green Version]
- Trommer, S.; Kolarova, V.; Fraedrich, E.; Kröger, L.; Kickhöfer, B.; Kuhnimhof, T.; Lenz, B.; Phleps, P. Autonomous Driving-The Impact of Vehicle Automation on Mobility Behaviour. Project Report. 2016. Available online: http://www.ifmo.de/publications.html?t=45 (accessed on 18 June 2021).
- ITF/OECD. Urban Mobility System Upgrade. How Shared Self-Driving Cars Could Change City Traffic. Corporate Partnership Board Report. 2015. Available online: https://www.itf-oecd.org/sites/default/files/docs/15cpb_self-drivingcars.pdf (accessed on 10 May 2021).
- Campisi, T.; Severino, A.; Al-Rashid, M.A.; Pau, G. The Development of the Smart Cities in the Connected and Autonomous Vehicles (CAVs) Era: From Mobility Patterns to Scaling in Cities. Infrastructures 2021, 6, 100. [Google Scholar] [CrossRef]
- World Economic Forum. Reshaping Urban Mobility with Autonomous Vehicles Lessons from the City of Boston. 2018. Available online: http://www3.weforum.org/docs/WEF_Reshaping_Urban_Mobility_with_Autonomous_Vehicles_2018.pdf (accessed on 2 April 2021).
- Fraedrich, E.; Beiker, S.; Lenz, B. Transition pathways to fully automated driving and its implications for the sociotechnical system of automobility. Eur. J. Futures Res. 2015, 3. [Google Scholar] [CrossRef] [Green Version]
- ITF/OECD. The Shared-Use City: Managing the Curb. Corporate Partnership Board Report. 2018. Available online: https://www.itf-oecd.org/shared-use-city-managing-curb-0 (accessed on 9 May 2021).
- Lavieri, P.S.; Bhat, C.R. Modeling Individuals’ Willingness to Share Trips with Strangers in an Autonomous Vehicle Future. Technical Report 141, University Transportation Center at the University of Texas at Austin 2018. Available online: http://ctr.utexas.edu/wp-content/uploads/141.pdf (accessed on 9 May 2021).
- Thomopoulos, N.; Givoni, M. The autonomous car—A blessing or a curse for the future of low carbon mobility? An exploration of likely vs. desirable outcomes. Eur. J. Futures Res. 2015, 3, 1–14. [Google Scholar] [CrossRef] [Green Version]
- Tirachini, H.; Gómez-Lobo, A. Does ridesourcing increase or decrease vehicle kilometers traveled (VKT)? A simulation approach for the case of Santiago, Chile. Working paper. Univ. De Chile 2017. [Google Scholar] [CrossRef]
- Beiker, S. Implementation of an Automated Mobility-on-Demand System. In Autonomous Driving; Maurer, M., Gerdes, J., Lenz, B., Winner, H.H., Eds.; Springer: Berlin/Heidelberg, Germany, 2016; pp. 277–295. [Google Scholar]
- Mourad, A.; Puchinger, J.; Chu, C. Owning or sharing autonomous vehicles: Comparing different ownership and usage scenarios. Eur. Transp. Res. Rev. 2019, 11, 1–20. [Google Scholar] [CrossRef] [Green Version]
- Dandl, F.; Hyland, M.; Bogenberger, K.; Mahmassani, H.S. Evaluating the impact of spatio-temporal demand forecast aggregation on the operational performance of shared autonomous mobility fleets. Transportation 2019, 46, 1975–1996. [Google Scholar] [CrossRef]
- Bösch, P.M.; Becker, F.; Becker, H.; Axhausen, K.W. Cost-based analysis of autonomous mobility services. Transp. Policy 2017, 64, 76–91. [Google Scholar] [CrossRef]
- COWI; PTV Group. The Oslo study—How Autonomous Cars May Change Transport in Cities. Report. 2019. Available online: https://www.cowi.com/about/news-and-press/new-report-how-self-driving-transport-will-affect-the-oslo-region (accessed on 9 May 2021).
- Shen, Y.; Zhang, H.; Zhao, J. Integrating shared autonomous vehicle in public transportation system: A supply-side simulation of the first-mile service in Singapore. Transp. Res. Part A Policy Pract. 2018, 113, 125–136. [Google Scholar] [CrossRef]
- Spieser, K.; Treleaven, K.; Zhang, R.; Frazzoli, E.; Morton, D.; Pavone, M. Toward a systematic approach to the design and evaluation of automated mobility-on-demand systems: A case study in Singapore. In Road Vehicle Automation; Meyer, G., Beiker, S., Eds.; Springer: Berlin/Heidelberg, Germany, 2015; pp. 229–245. [Google Scholar]
- König, A.; Bonus, T.; Grippenkoven, J. Analyzing Urban Residents’ Appraisal of Ridepooling Service Attributes with Conjoint Analysis. Sustainability 2018, 10, 3711. [Google Scholar] [CrossRef] [Green Version]
- Fraedrich, E.; Cyganski, R.; Wolf, I.; Lenz, B. User Perspectives on Autonomous Driving: A Use-Case-Driven Study in Germany; Technical Report: Arbeitsberichte 187; Geographisches Institut, Humboldt University: Berlin, Germany, 2016. [Google Scholar]
- Salonen, A.O.; Haavisto, N. Towards Autonomous Transportation. Passengers’ Experiences, Perceptions and Feelings in a Driverless Shuttle Bus in Finland. Sustainability 2019, 11, 588. [Google Scholar] [CrossRef] [Green Version]
- Krueger, R.; Rashidi, T.H.; Rose, J.M. Preferences for shared autonomous vehicles. Transp. Res. Part C Emerg. Technol. 2016, 69, 343–355. [Google Scholar] [CrossRef]
- Guo, J.; Susilo, Y.; Antoniou, C.; Pernestål Brenden, A. Influence of Individual Perceptions on the Decision to Adopt Automated Bus Services. Sustainability 2020, 12, 6484. [Google Scholar] [CrossRef]
- Herrenkind, B.; Nastjuk, I.; Brendel, A.B.; Trang, S.; Kolbe, L.M. Young people’s travel behavior–Using the life-oriented approach to understand the acceptance of autonomous driving. Transp. Res. Part D Transp. Environ. 2019, 74, 214–233. [Google Scholar] [CrossRef]
- Wicki, M.; Guidon, S.; Becker, F.; Axhausen, K.W.; Bernauer, T. How technology commitment affects willingness to use AVs: Results from realistic mode choice experiment for a self-driving shuttle service. In Proceedings of the 19th Swiss Transport Research Conference (STRC 2019), Ascona, Switzerland, 15–17 May 2019. [Google Scholar]
- Madigan, R.; Louw, T.; Dziennus, M.; Graindorge, T.; Ortega, E.; Graindorge, M.; Merat, N. Acceptance of Automated Road Transport Systems (ARTS): An adaptation of the UTAUT model. Transp. Res. Procedia 2016, 14, 2217–2226. [Google Scholar] [CrossRef] [Green Version]
- Epprecht, N.; Von Wirth, T.; Stünzi, C.; Blumer, Y.B. Anticipating transitions beyond the current mobility regimes: How acceptability matters. Futures 2014, 60, 30–40. [Google Scholar] [CrossRef]
- Roche-Cerasi, I. Public acceptance of driverless shuttles in Norway. Transp. Res. Part F Traffic Psychol. Behav. 2019, 66, 162–183. [Google Scholar] [CrossRef]
- Nordhoff, S.; de Winter, J.; Madigan, R.; Merat, N.; van Arem, B.; Happee, R. User acceptance of automated shuttles in Berlin-Schöneberg: A questionnaire study. Transp. Res. Part F Traffic Psychol. Behav. 2018, 58, 843–854. [Google Scholar] [CrossRef] [Green Version]
- König, A.; Grippenkoven, J. Travelers’ Willingness to Share Rides in Autonomous Mobility on Demand Systems Depending on Travel Distance and Detour Factor. Travel Behav. Soc. 2020, 21, 188–202. [Google Scholar] [CrossRef]
- Alemi, F.; Circella, G.; Handy, S.; Mokhtarian, P. What influences travelers to use Uber? Exploring the factors affecting the adoption of on-demand ride services in California. Travel Behav. Soc. 2018, 13, 88–104. [Google Scholar] [CrossRef]
- Lavieri, P.S.; Garikapati, V.M.; Bhat, C.R.; Pendyala, R.M.; Astroza, S.; Dias, F.F. Modeling individual preferences for ownership and sharing of autonomous vehicle technologies. Transp. Res. Rec. J. Transp. Res. Board 2017, 2665, 1–10. [Google Scholar] [CrossRef] [Green Version]
- Salonen, A.O. Passenger’s subjective traffic safety, in-vehicle security and emergency management in the driverless shuttle bus in Finland. Transp. Policy 2018, 61, 106–110. [Google Scholar] [CrossRef]
- Polydoropoulou, A.; Tsouros, I.; Thomopoulos, N.; Pronello, C.; Elvarsson, A.; Sigþórsson, H.; Dadashzadeh, N.; Stojmenova, K.; Sodnik, J.; Neophytou, S.; et al. Who Is Willing to Share Their AV? Insights about Gender Differences among Seven Countries. Sustainability 2021, 13, 4769. [Google Scholar] [CrossRef]
- Shaheen, S.; Stocker, A.; Mundler, M. Online and app-based carpooling in France: Analyzing users and practices—A study of BlaBlaCar. In Disrupting Mobility; Springer: Berlin/Heidelberg, Germany, 2017; pp. 181–196. [Google Scholar]
- Amirkiaee, S.Y.; Evangelopoulos, N. Why do people rideshare? An experimental study. Transp. Res. Part F 2018, 55, 9–24. [Google Scholar] [CrossRef]
- Morales Sarriera, J.; Escovar Álvarez, G.; Blynn, K.; Alesbury, A.; Scully, T.; Zhao, J. To share or not to share: Investigating the social aspects of dynamic ridesharing. Transp. Res. Rec. J. Transp. Res. Board 2017, 2605, 109–117. [Google Scholar] [CrossRef] [Green Version]
- Nielsen, J.R.; Hovmøller, H.; Blyth, P.L.; Sovacool, B.K. Of “white crows” and “cash savers:” A qualitative study of travel behavior and perceptions of ridesharing in Denmark. Transp. Res. Part A Policy Pract. 2015, 78, 113–123. [Google Scholar] [CrossRef]
- Carol, S.; Eich, D.; Keller, M.; Steiner, F.; Storz, K. Who can ride along? Discrimination in a German carpooling market. Popul. Space Place 2019, 25, e2249. [Google Scholar] [CrossRef]
- Chaube, V.; Kavanaugh, A.L.; Perez-Quinones, M.A. Leveraging social networks to embed trust in rideshare programs. In Proceedings of the 2010 43rd Hawaii International Conference on System Sciences (HICSS), Honolulu, HI, USA, 5–8 January 2010. [Google Scholar]
- Bansal, P.; Kockelman, K.M. Forecasting Americans’ long-term adoption of connected and autonomous vehicle technologies. Transp. Res. Part A Policy Pract. 2017, 95, 49–63. [Google Scholar] [CrossRef]
- Siddiqi, Z.; Buliung, R. Dynamic ridesharing and information and communications technology: Past, present and future prospects. Transp. Plan. Technol. 2013, 36, 479–498. [Google Scholar] [CrossRef]
- Capasso da Silva, D.; Astroza, S.; Batur, I.; Khoeini, S.; Magassy, T.B.; Pendyala, R.M.; Bhat, C.R. Are Millennials Really All That Different Than Generation X? An Analysis of Factors Contributing to Differences in Vehicle Miles of Travel; Technical Paper; Department of Civil, Architectural and Environmental Engineering, The University of Texas at Austin: Austin, TX, USA, 2019. [Google Scholar]
- Louviere, J.J.; Flynn, T.N.; Carson, R.T. Discrete choice experiments are not conjoint analysis. J. Choice Model. 2010, 3, 57–72. [Google Scholar] [CrossRef] [Green Version]
- Chang, L.Y.; Lin, D.J.; Huang, C.H.; Chang, K.K. Analysis of contributory factors for driving under the influence of alcohol: A stated choice approach. Transp. Res. Part F Traffic Psychol. Behav. 2013, 18, 11–20. [Google Scholar] [CrossRef]
- Gkartzonikas, C.; Gkritza, K. What have we learned? A review of stated preference and choice studies on autonomous vehicles. Transp. Res. Part C Emerg. Technol. 2019, 98, 323–337. [Google Scholar] [CrossRef]
- Kyriakidis, M.; Happee, R.; de Winter, J.C. Public opinion on automated driving: Results of an international questionnaire among 5000 respondents. Transp. Res. Part F Traffic Psychol. Behav. 2015, 32, 127–140. [Google Scholar] [CrossRef]
- Grutters, J.P.; Kessels, A.G.; Dirksen, C.D.; Van Helvoort-Postulart, D.; Anteunis, L.J.; Joore, M.A. Willingness to accept versus willingness to pay in a discrete choice experiment. Value Health 2008, 11, 1110–1119. [Google Scholar] [CrossRef] [Green Version]
- Ma, D.S.; Correll, J.; Wittenbrink, B. The Chicago face database: A free stimulus set of faces and norming data. Behav. Res. Methods 2015, 47, 1122–1135. [Google Scholar] [CrossRef] [PubMed] [Green Version]
- Leiner, D.J. SoSci Survey (Version 3.3.21) [Computer Software]. 2021. Available online: https://www.soscisurvey.de (accessed on 18 June 2020).
- Bolton, R.N.; Parasuraman, A.; Hoefnagels, A.; Migchels, N.; Kabadayi, S.; Gruber, T.; Solnet, D. Understanding Generation Y and their use of social media: A review and research agenda. J. Serv. Manag. 2013, 24, 245–267. [Google Scholar] [CrossRef] [Green Version]
- Federal Statistical Office. Einkommen, Konsum, Lebensbedingungen. Statistisches Jahrbuch 2019. Available online: https://www.destatis.de/DE/Themen/Querschnitt/Jahrbuch/jb-einkommenKonsumLeben.pdf?__blob=publicationFile (accessed on 29 May 2021).
- Bates, D.; Mächler, M.; Bolker, B.; Walker, S. Fitting linear mixed-effects models using lme4. J. Stat. Softw. 2015, arXiv:1406.5823. [Google Scholar] [CrossRef]
- Stroup, W.W. Generalized Linear Mixed Models: Modern Concepts, Methods and Applications; CRC Press: Boca Raton, FL, USA, 2012. [Google Scholar]
- Snijders, T.; Bosker, R. Multilevel Analysis. An Introduction to Basic and Advanced Multilevel Modeling; Sage: London, UK, 2012. [Google Scholar]
- Gargiulo, E.; Giannantonio, R.; Guercio, E.; Borean, C.; Zenezini, G. Dynamic ride sharing service: Are users ready to adopt it? Procedia Manuf. 2015, 3, 777–784. [Google Scholar] [CrossRef] [Green Version]
- Alessandrini, A.; Alfonsi, R.; Delle Site, P.; Stam, D. Users’ preferences towards automated road public transport: Results from European surveys. Transp. Res. Procedia 2014, 3, 139–144. [Google Scholar] [CrossRef] [Green Version]
- Tussyadiah, I.P.; Zach, F.J.; Wang, J. Attitudes Toward Autonomous on Demand Mobility System: The Case of Self-Driving Taxi. Inf. Commun. Technol. Tour. 2017, 755–766. [Google Scholar] [CrossRef]
- Schudy, S.; Utikal, V. ‘You Must Not Know about Me’-On the Willingness to Share Personal Data. Munich Discussion Paper No. 2ß015-15. Department of Economics, University of Munich, 2015. Available online: http://epub.ub.uni-muenchen.de/25264/ (accessed on 21 March 2019).
- Riggs, W. Painting the fence: Social norms as economic incentives to non-automotive travel behavior. Travel Behav. Soc. 2017, 7, 26–33. [Google Scholar] [CrossRef]
- Avineri, E.; Waygood, E.O.D. Applying goal framing to enhance the effect of information on transport-related CO2 emissions. In Proceedings of the 9th Biennial Conference on Environmenal Psychology, Eindhoven, The Netherlands, 26–28 September 2011. [Google Scholar]








| Sociodemographic Variable | Characteristics | n (%) |
|---|---|---|
| Size of residence (number of inhabitants) | <5.000 | 17 (11.0) |
| 5.000–50.000 | 19 (12.3) | |
| 50.000–500.000 | 72 (46.8) | |
| > 500.000 | 45 (29.2) | |
| Missing | 1 (0.6) | |
| Highest educational level | Secondary school certificate | 1 (0.6) |
| High school graduation | 42 (27.3) | |
| Vocational training | 9 (5.8) | |
| University degree | 98 (57.1) | |
| PhD-degree | 2 (1.3) | |
| Missing | 1 (0.6) | |
| Job status | Full-Time | 49 (31.8) |
| Part-Time | 10 (6.5) | |
| In education | 88 (57.1) | |
| Temporary out of work | 1 (0.6) | |
| Unemployed | 1 (0.6) | |
| Missing | 5 (3.2) | |
| Net household income | <1.000 € | 57 (37.0) |
| 1.000–1.500 € | 25 (16.2) | |
| 1.500–2.000 € | 17 (11.0) | |
| 2.000–3.000 € | 32 (20.8) | |
| >3.000 € | 15 (9.7) | |
| Missing | 8 (5.2) | |
| Share of transport mode (at last once a week) | Car | 24 (15.6) |
| Bus | 35 (22.7) | |
| Tram/subway | 49 (31.8) | |
| Train | 24 (15.6) | |
| Bike | 75 (48.7) |
| Level of Quality of Information | ||||||||||
|---|---|---|---|---|---|---|---|---|---|---|
| BSS | N_F | N_M | P_F | P_M | R | F_F | F_M | Total | ||
| Share of rejected shared rides in % | 14 min | 1.9 (0.14) | 1.9 (0.14) | 4.5 (0.21) | 1.3 (0.11) | 2.6 (0.16) | 0.6 (0.08) | 0.0 (0.00) | 0.6 (0.08) | 1.7 (0.13) |
| 25 min | 5.2 (0.22) | 1.3 (0.11) | 7.1 (0.26) | 1.9 (0.14) | 3.2 (0.18) | 3.9 (0.19) | 3.2 (0.18) | 3.2 (0.18) | 3.7 (0.19) | |
| Model 1 | Model 2–Interaction Model | |||||||||
|---|---|---|---|---|---|---|---|---|---|---|
| Predictors | ß | exp(ß) | SE | z-value | p | ß | exp(ß) | SE | z-value | p |
| Intercept | −8.895 | <0.001 | 1.071 | −8.307 | <0.001 ** | −10.304 | <0.001 | 1.12 | −9.167 | <0.001 ** |
| Travel time | 0.104 | 1.109 | 0.032 | 3.204 | 0.001 ** | 0.138 | 1.148 | 0.041 | 3.393 | <0.001 ** |
| Automation (with driver = 0) | −0.597 | 0.550 | 0.901 | −0.662 | 0.508 | − | − | − | − | |
| Dummy_name | −0.032 | 0.969 | 0.477 | −0.067 | 0.947 | 2.800 | 16.44 | 1.242 | 2.254 | 0.024 ** |
| Dummy_picture | −0.770 | 0.463 | 0.509 | −1.518 | 0.129 | − | − | − | − | − |
| Dummy_rating | −1.206 | 0.299 | 0.585 | −2.062 | 0.039 ** | −0.927 | 0.396 | 0.555 | −1.67 | 0.095 * |
| Dummy_full profile | −1.222 | 0.295 | 0.537 | −2.276 | 0.023 ** | −0.898 | 0.407 | 0.459 | −1.958 | 0.050 * |
| Gender information (male = 0) | −1.079 | 0.340 | 0.389 | −2.776 | 0.006 ** | −0.932 | 0.394 | 0.46 | −2.024 | 0.043 ** |
| Dummy_name × Gender information | −1.364 | 0.256 | 0.796 | −1.714 | 0.087 * | |||||
| Dummy_name × travel distance | −0.113 | 0.893 | 0.070 | −1.621 | 0.105 | |||||
| −2LLog | −196.5 | −193.3 | ||||||||
| AIC | 411.0 | 404.5 | ||||||||
| BIC | 463.3 | 456.8 | ||||||||
| Model 1 | Model 2–Interaction Model | |||||||||
|---|---|---|---|---|---|---|---|---|---|---|
| Predictors | ß | exp(ß) | SE | t | p | ß | exp(ß) | SE | t | p |
| Intercept | 76.317 | 1.393 | 2.312 | 33.014 | <0.001 ** | 76.777 | 2.207 | 2.177 | 35.28 | <0.001 ** |
| Travel time | −0.519 | 0.519 | 0.059 | −8.756 | <0.001 ** | −0.519 | 0.595 | 0.054 | −9.606 | <0.001 ** |
| Automation (with driver = 0) | 5.093 | 162.88 | 2.751 | 1.851 | 0.066 * | 5.093 | 162.88 | 2.751 | 1.851 | 0.066 * |
| Dummy_name | −0.435 | 0.647 | 1.084 | −0.401 | 0.698 | −1.765 | 0.171 | 0.915 | −1.929 | 0.005 ** |
| Dummy_picture | 0.370 | 1.448 | 1.084 | 0.341 | 0.741 | − | − | − | − | |
| Dummy_rating | 1.154 | 3.171 | 1.187 | 0.972 | 0.356 | 0.694 | 2.001 | 0.915 | 0.759 | 0.448 |
| Dummy_full profile | 1.587 | 4.889 | 1.084 | 1.464 | 0.178 | 1.447 | 4.250 | 0.709 | 2.042 | 0.041 ** |
| Gender information (male = 0) | 1.459 | 4.302 | 0.685 | 2.129 | 0.062 * | 0.819 | 2.268 | 0.709 | 1.157 | 0.247 |
| Dummy_name × Gender information | 2.379 | 10.794 | 1.294 | 1.840 | 0.066 * | |||||
| −2LLog | −9923.2 | −9921.6 | ||||||||
| AIC | 19,868 | 19,865 | ||||||||
| BIC | 19,932 | 19,929 | ||||||||
Publisher’s Note: MDPI stays neutral with regard to jurisdictional claims in published maps and institutional affiliations. |
© 2021 by the authors. Licensee MDPI, Basel, Switzerland. This article is an open access article distributed under the terms and conditions of the Creative Commons Attribution (CC BY) license (https://creativecommons.org/licenses/by/4.0/).
Share and Cite
König, A.; Wirth, C.; Grippenkoven, J. Generation Y’s Information Needs Concerning Sharing Rides in Autonomous Mobility on Demand Systems. Sustainability 2021, 13, 8095. https://doi.org/10.3390/su13148095
König A, Wirth C, Grippenkoven J. Generation Y’s Information Needs Concerning Sharing Rides in Autonomous Mobility on Demand Systems. Sustainability. 2021; 13(14):8095. https://doi.org/10.3390/su13148095
Chicago/Turabian StyleKönig, Alexandra, Christina Wirth, and Jan Grippenkoven. 2021. "Generation Y’s Information Needs Concerning Sharing Rides in Autonomous Mobility on Demand Systems" Sustainability 13, no. 14: 8095. https://doi.org/10.3390/su13148095
APA StyleKönig, A., Wirth, C., & Grippenkoven, J. (2021). Generation Y’s Information Needs Concerning Sharing Rides in Autonomous Mobility on Demand Systems. Sustainability, 13(14), 8095. https://doi.org/10.3390/su13148095

