Urban Nature: Does Green Infrastructure Relate to the Cultural and Creative Vitality of European Cities?
Abstract
1. Introduction
2. Materials and Methods
2.1. Cultural and Creative Cities Monitor Data
- 1.
- Cities that have been or will be European Capitals of Culture (EcoC) up to 2019, or that have been shortlisted to become an EcoC up to 2021—98 cities;
- 2.
- UNESCO Creative Cities (including the most recent winners in 2015)—excluding overlap with the EcoC, a further 33 cities;
- 3.
- Cities hosting at least two regular international cultural festivals running until at least 2017—a further 59 cities.
2.2. Data Collection from OpenStreetMap
2.3. Pre-Process the Data to Recreate an Indicator for Green Infrastructure
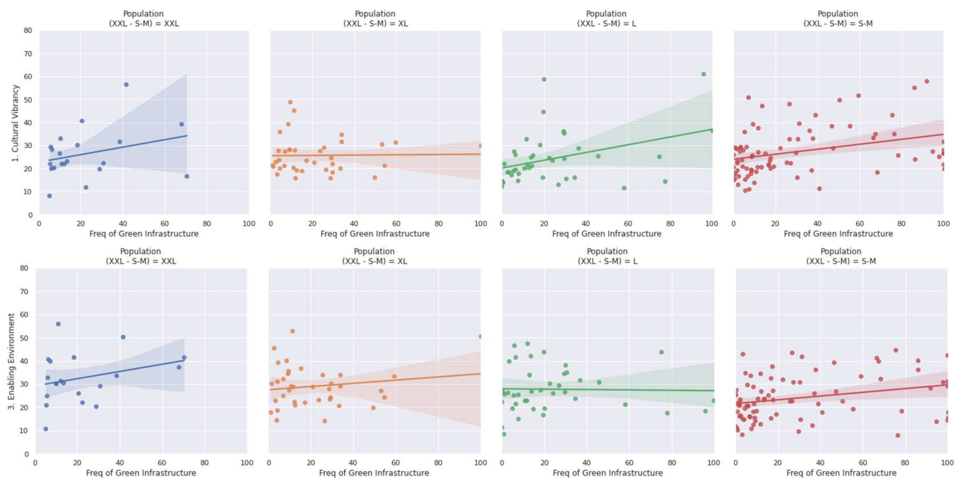
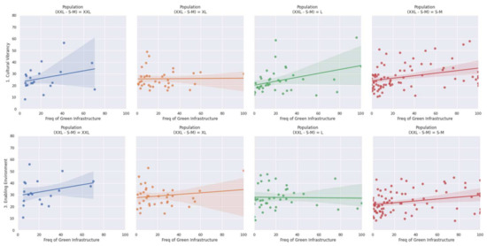
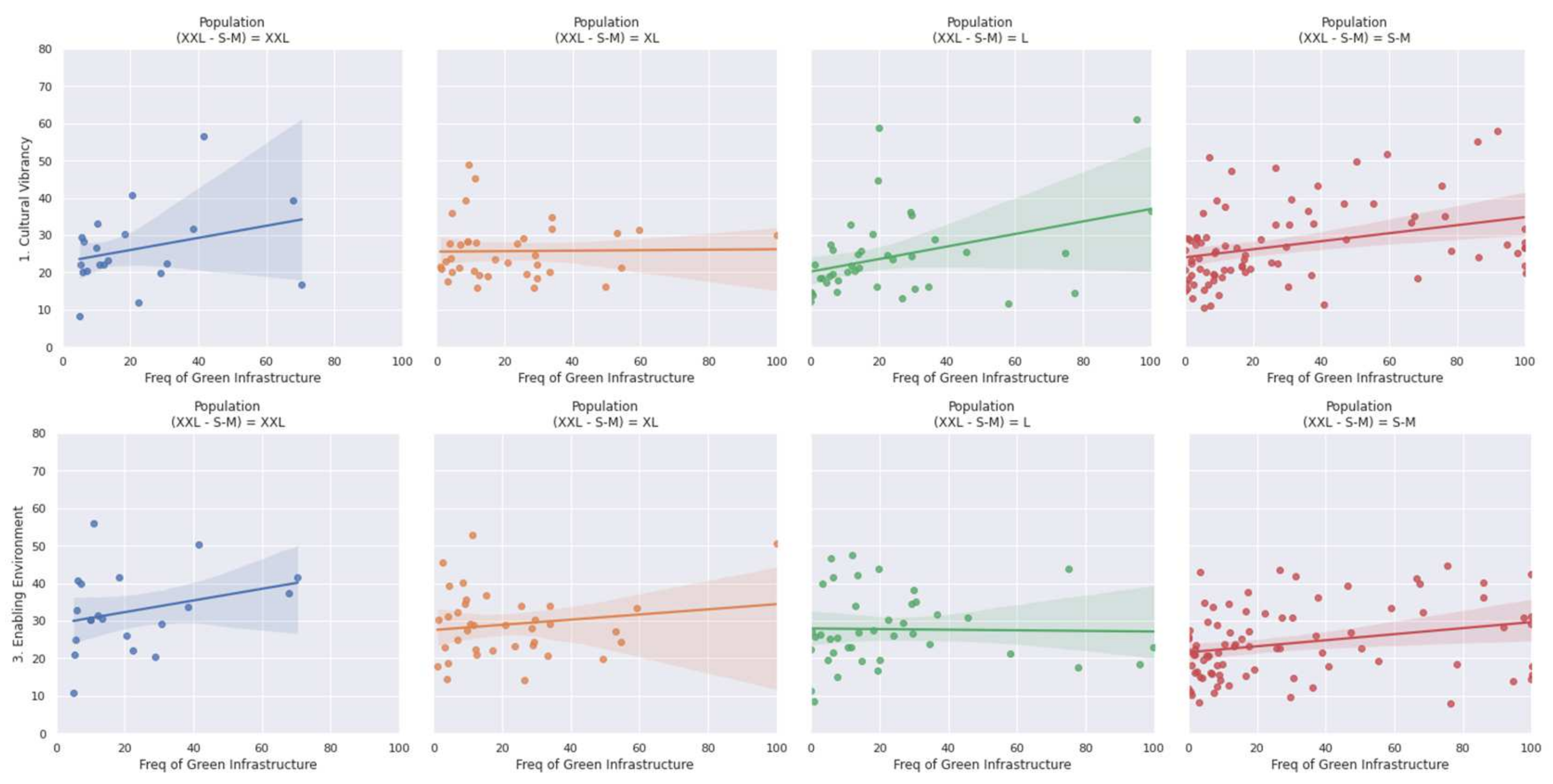
3. Results
4. Discussion
- green spaces (including urban parks and gardens, heritage parks, botanical gardens, community gardens, cemeteries, schoolyards and sports fields, meadows, green strips)
- trees and shrubs (including forests, orchards, vineyards, hedges, shrubs and green fences, street trees)
- green built environment (including green rooves, green walls and façades, green allies, temporary small-scale interventions such as green parklets or green furniture)
- blue spaces (including mangroves, waterbodies, waterways, rivers)
- blue built environment (including rain gardens, wet swales, infiltration basins, vegetated filter strip)
- wildlife (including insect hotels, apiaries, nest boxes, stopover habitat)
- climate (including peak temperature events, floods events, water quality, air quality, pollen concentration)
- users experience (quality of nature spaces, distance to natural spaces)
5. Conclusions
Author Contributions
Funding
Data Availability Statement
Acknowledgments
Conflicts of Interest
References
- Venter, Z.S.; Barton, D.N.; Gundersen, V.; Figari, H.; Nowell, M. Urban nature in a time of crisis: Recreational use of green space increases during the COVID-19 outbreak in Oslo, Norway. Environ. Res. Lett. 2020, 15, 104075. [Google Scholar] [CrossRef]
- Day, B.H. The Value of Greenspace Under Pandemic Lockdown. Environ. Resour. Econ. 2020, 76, 1161–1185. [Google Scholar] [CrossRef] [PubMed]
- Kleinschroth, F.; Kowarik, I. COVID-19 crisis demonstrates the urgent need for urban greenspaces. Front. Ecol. Environ. 2020, 18, 318–319. [Google Scholar] [CrossRef] [PubMed]
- Ugolini, F.; Massetti, L.; Calaza-Martínez, P.; Cariñanos, P.; Dobbs, C.; Ostoić, S.K.; Marin, A.M.; Pearlmutter, D.; Saaroni, H.; Šaulienė, I.; et al. Effects of the COVID-19 pandemic on the use and perceptions of urban green space: An international exploratory study. Urban For. Urban Green. 2020, 56, 126888. [Google Scholar] [CrossRef]
- Hanzl, M. Urban forms and green infrastructure—The implications for public health during the COVID-19 pandemic. Cities Health 2020, 1–5. [Google Scholar] [CrossRef]
- Herman, K.; Drozda, Ł. Green Infrastructure in the Time of Social Distancing: Urban Policy and the Tactical Pandemic Urbanism. Sustainability 2021, 13, 1632. [Google Scholar] [CrossRef]
- Lutyens, D. Five Stunning OUTDOOR Spaces for All. BBC 2020. Available online: https://www.bbc.com/culture/article/20200602-five-stunning-outdoor-spaces-for-all (accessed on 26 May 2021).
- Honey-Rosés, J.; Anguelovski, I.; Chireh, V.K.; Daher, C.; van den Bosch, C.K.; Litt, J.S.; Mawani, V.; McCall, M.K.; Orellana, A.; Oscilowicz, E.; et al. The impact of COVID-19 on public space: An early review of the emerging questions—Design, perceptions and inequities. Cities Health 2020, 1–17. [Google Scholar] [CrossRef]
- Naumann, S. Design, Implementation and Cost Elements of Green Infrastructure Projects; European Comission: Brussels, Belgium, 2011; p. 142. [Google Scholar]
- Gilbert, O.L. The Ecology of Urban Habitats; Springer: Dordrecht, The Netherlands, 1991; ISBN 978-0-412-45500-1. [Google Scholar]
- Mortberg, U. Red-Listed Forest Bird Species in an Urban Environment—Assessment of Green Space Corridors—ScienceDirect. Available online: https://www-sciencedirect-com.libproxy.ucl.ac.uk/science/article/pii/S0169204600000906?via%3Dihub (accessed on 23 May 2021).
- Payne, S.; Barker, A. Implementing green infrastructure through residential development in the UK. In Handbook on Green Infrastructure; Edward Elgar Publishing: Cheltenham, UK, 2015; pp. 375–394. [Google Scholar]
- Mentens, J.; Raes, D.; Hermy, M. Green roofs as a tool for solving the rainwater runoff problem in the urbanized 21st century? Landsc. Urban Plan. 2006, 77, 217–226. [Google Scholar] [CrossRef]
- Armson, D.; Stringer, P.; Ennos, A.R. The effect of street trees and amenity grass on urban surface water runoff in Manchester, UK. Urban For. Urban Green. 2013, 12, 282–286. [Google Scholar] [CrossRef]
- Frumkin, H. Healthy places: Exploring the evidence. Am. J. Public Health 2003, 93, 1451–1456. [Google Scholar] [CrossRef]
- Hunter, R.F.; Christian, H.; Veitch, J.; Astell-Burt, T.; Hipp, J.A.; Schipperijn, J. The impact of interventions to promote physical activity in urban green space: A systematic review and recommendations for future research. Soc. Sci. Med. 2015, 124, 246–256. [Google Scholar] [CrossRef]
- Ward Thompson, C.; Roe, J.; Aspinall, P.; Mitchell, R.; Clow, A.; Miller, D. More green space is linked to less stress in deprived communities: Evidence from salivary cortisol patterns. Landsc. Urban Plan. 2012, 105, 221–229. [Google Scholar] [CrossRef]
- Coley, R.L.; Sullivan, W.C.; Kuo, F.E. Where Does Community Grow?: The Social Context Created by Nature in Urban Public Housing. Environ. Behav. 1997, 29, 468–494. [Google Scholar] [CrossRef]
- Kuo, F.E.; Sullivan, W.C.; Coley, R.L.; Brunson, L. Fertile Ground for Community: Inner-City Neighborhood Common Spaces. Am. J. Community Psychol. 1998, 26, 823–851. [Google Scholar] [CrossRef]
- Kweon, B.-S.; Sullivan, W.C.; Wiley, A.R. Green Common Spaces and the Social Integration of Inner-City Older Adults. Environ. Behav. 1998, 30, 832–858. [Google Scholar] [CrossRef]
- de Vries, S.; van Dillen, S.M.E.; Groenewegen, P.P.; Spreeuwenberg, P. Streetscape greenery and health: Stress, social cohesion and physical activity as mediators. Soc. Sci. Med. 2013, 94, 26–33. [Google Scholar] [CrossRef]
- Sugiyama, T.; Leslie, E.; Giles-Corti, B.; Owen, N. Associations of neighbourhood greenness with physical and mental health: Do walking, social coherence and local social interaction explain the relationships? J. Epidemiol. Community Health 2008, 62, e9. [Google Scholar] [CrossRef]
- Dinnie, E.; Brown, K.M.; Morris, S. Community, cooperation and conflict: Negotiating the social well-being benefits of urban greenspace experiences. Landsc. Urban Plan. 2013, 118, 103–111. [Google Scholar] [CrossRef]
- Sallis, J.F.; Conway, T.L.; Cain, K.L.; Carlson, J.A.; Frank, L.D.; Kerr, J.; Glanz, K.; Chapman, J.E.; Saelens, B.E. Neighborhood built environment and socioeconomic status in relation to physical activity, sedentary behavior, and weight status of adolescents. Prev. Med. 2018, 110, 47–54. [Google Scholar] [CrossRef]
- Kazmierczak, B.I.; Hendrixson, D.R. Spatial and numerical regulation of flagellar biosynthesis in polarly flagellated bacteria. Mol. Microbiol. 2013, 88, 655–663. [Google Scholar] [CrossRef]
- Mowen, A.J.; Rung, A.L. Park-based social capital: Are there variations across visitors with different socio-demographic characteristics and behaviours? Leisure/Loisir 2016, 40, 297–324. [Google Scholar] [CrossRef]
- Shanahan, D.F.; Bush, R.; Gaston, K.J.; Lin, B.B.; Dean, J.; Barber, E.; Fuller, R.A. Health Benefits from Nature Experiences Depend on Dose. Sci. Rep. 2016, 6, 28551. [Google Scholar] [CrossRef]
- Holtan, M.T.; Dieterlen, S.L.; Sullivan, W.C. Social Life Under Cover: Tree Canopy and Social Capital in Baltimore, Maryland. Environ. Behav. 2015, 47, 502–525. [Google Scholar] [CrossRef]
- Ulmer, J.M.; Wolf, K.L.; Backman, D.R.; Tretheway, R.L.; Blain, C.J.; O’Neil-Dunne, J.P.; Frank, L.D. Multiple health benefits of urban tree canopy: The mounting evidence for a green prescription. Health Place 2016, 42, 54–62. [Google Scholar] [CrossRef]
- Jibril, J.D.; Elfartas, H.O. Contextual Predictors of Urban Park Utilisation among Malaysian Ethnic Groups. Available online: https://tuengr.com/V09/197M.pdf (accessed on 24 May 2021).
- Sullivan, W.C.; Kuo, F.E.; Depooter, S.F. The Fruit of Urban Nature: Vital Neighborhood Spaces. Environ. Behav. 2004, 36, 678–700. [Google Scholar] [CrossRef]
- Cohen, D.A.; Inagami, S.; Finch, B. The built environment and collective efficacy. Health Place 2008, 14, 198–208. [Google Scholar] [CrossRef]
- Cattell, V.; Dines, N.; Gesler, W.; Curtis, S. Mingling, observing, and lingering: Everyday public spaces and their implications for well-being and social relations. Health Place 2008, 14, 544–561. [Google Scholar] [CrossRef]
- Hale, R.; Calosi, P.; McNeill, L.; Mieszkowska, N.; Widdicombe, S. Predicted levels of future ocean acidification and temperature rise could alter community structure and biodiversity in marine benthic communities. Oikos 2011, 120, 661–674. [Google Scholar] [CrossRef]
- Mangadu, T.; Kelly, M.; Orezzoli, M.C.E.; Gallegos, R.; Matharasi, P. Best practices for community gardening in a US-Mexico border community. Health Promot. Int. 2017, 32, 1001–1014. [Google Scholar] [CrossRef] [PubMed][Green Version]
- Noone, S.; Jenkins, N. Digging for Dementia: Exploring the experience of community gardening from the perspectives of people with dementia. Aging Ment. Health 2018, 22, 881–888. [Google Scholar] [CrossRef]
- Kingsley, J.Y.; Townsend, M.; Henderson-Wilson, C. Cultivating health and wellbeing: Members’ perceptions of the health benefits of a Port Melbourne community garden. Leis. Stud. 2009, 28, 207–219. [Google Scholar] [CrossRef]
- Huang, S.-C.L. A study of outdoor interactional spaces in high-rise housing. Landsc. Urban Plan. 2006, 78, 193–204. [Google Scholar] [CrossRef]
- Gobster, P.H. Urban parks as green walls or green magnets? Interracial relations in neighborhood boundary parks. Landsc. Urban Plan. 1998, 41, 43–55. [Google Scholar] [CrossRef]
- Montalto, V.; Tacao Moura, C.J.; Alberti, V.; Panella, F.; Saisana, M. The Cultural and Creative Cities Monitor: 2019 Edition; EUR 29797 EN; Publications Office of the European Union: Luxembourg, 2019; ISBN 978-92-76-08807-3. [Google Scholar]
- Bauduceau, N.; Berry, P.; Cecchi, C.; Elmqvist, T.; Fernandez, M.; Hartig, T.; Krull, W.; Mayerhofer, E.N.S.; Noring, L.; Raskin-Delisle, K.; et al. Towards an EU Research and Innovation Policy Agenda for Nature-Based Solutions & Re-Naturing Cities: Final Report of the Horizon 2020 Expert Group on ‘Nature-Based Solutions and Re-Naturing Cities’; Publications Office of the European Union: Brussels, Belgium, 2015. [Google Scholar] [CrossRef]
- European Commission Evaluating the Impact of Nature-Based Solutions: A Handbook for Practitioners. Available online: https://ec.europa.eu/info/news/evaluating-impact-nature-based-solutions-handbook-practitioners-2021-may-06_en (accessed on 24 May 2021).
- Deal, G. Communication from the Commission to the European Parliament, the European Council, the Council, the European Economic and Social Committee and the Committee of the Regions. 2018. Available online: https://op.europa.eu/en/publication-detail/-/publication/b828d165-1c22-11ea-8c1f-01aa75ed71a1/language-en (accessed on 28 May 2021).
- Balaban, O. Chapter 5—Smart cities as drivers of a green economy. In Handbook of Green Economics; Acar, S., Yeldan, E., Eds.; Academic Press: Cambridge, MA, USA, 2019; pp. 69–92. ISBN 978-0-12-816635-2. [Google Scholar]
- Mashhadi, A.; Quattrone, G.; Capra, L. The Impact of Society on Volunteered Geographic Information: The Case of OpenStreetMap. In OpenStreetMap in GIScience; Jokar Arsanjani, J., Zipf, A., Mooney, P., Helbich, M., Eds.; Lecture Notes in Geoinformation and Cartography; Springer International Publishing: Cham, Switzerland, 2015; pp. 125–141. ISBN 978-3-319-14279-1. [Google Scholar]
- Jokar Arsanjani, J.; Mooney, P.; Zipf, A.; Schauss, A. Quality Assessment of the Contributed Land Use Information from OpenStreetMap Versus Authoritative Datasets. In OpenStreetMap in GIScience: Experiences, Research, and Applications; Jokar Arsanjani, J., Zipf, A., Mooney, P., Helbich, M., Eds.; Lecture Notes in Geoinformation and Cartography; Springer International Publishing: Cham, Switzerland, 2015; pp. 37–58. ISBN 978-3-319-14280-7. [Google Scholar]
- Feltynowski, M.; Kronenberg, J.; Bergier, T.; Kabisch, N.; Łaszkiewicz, E.; Strohbach, M.W. Challenges of urban green space management in the face of using inadequate data. Urban For. Urban Green. 2018, 31, 56–66. [Google Scholar] [CrossRef]
- Le Texier, M.; Schiel, K.; Caruso, G. The provision of urban green space and its accessibility: Spatial data effects in Brussels. PLoS ONE 2018, 13, e0204684. [Google Scholar] [CrossRef]
- Ludwig, C.; Hecht, R.; Lautenbach, S.; Schorcht, M.; Zipf, A. Mapping Public Urban Green Spaces Based on OpenStreetMap and Sentinel-2 Imagery Using Belief Functions. ISPRS Int. J. Geo Inf. 2021, 10, 251. [Google Scholar] [CrossRef]
- Taylor, B.T.; Fernando, P.; Bauman, A.E.; Williamson, A.; Craig, J.C.; Redman, S. Measuring the quality of public open space using Google Earth. Am. J. Prev. Med. 2011, 40, 105–112. [Google Scholar] [CrossRef]


| D4.1 Green Infrastructure | ||||
|---|---|---|---|---|
| All Cities | European Capital of Culture | UNESCO Creative City | Festival City | |
| n = 184 | n = 95 | n = 57 | n = 32 | |
| C3 Index | 0.21 *** | 0.22 | 0.08 | 0.27 |
| 1. Cultural Vibrancy | 0.31 *** | 0.40 | 0.06 | 0.21 |
| 2. Creative Economy | 0.04 | 0.01 | −0.08 | 0.18 |
| 3. Enabling Environment | 0.15 ** | 0.10 | 0.28 | 0.26 |
| D1.1 Cultural Venues and Facilities | 0.32 *** | 0.44 | −0.01 | 0.14 |
| D1.2 Cultural Participation and Attractiveness | 0.21 *** | 0.24 | 0.11 | 0.24 |
| D2.1 Creative and Knowledge-based Jobs | 0.14 ** | 0.13 | −0.13 | 0.30 |
| D2.2 Intellectual Property and Innovation | 0.12 * | 0.15 | 0.19 | 0.09 |
| D2.3 New Jobs in Creative Sectors | −0.11 | −0.17 | −0.09 | −0.02 |
| D3.1 Human Capital and Education | 0.22 ** | 0.17 | 0.27 | 0.37 |
| D3.2 Openness, Tolerance and Trust | 0.02 | −0.03 | 0.18 | 0.06 |
| D3.3 Local and International Connections | 0.02 | 0.04 | −0.03 | 0.05 |
| D3.4 Quality of Governance | 0.18 ** | 0.18 | 0.31 | 0.23 |
| D4.1 Green Infrastructure | |||||
|---|---|---|---|---|---|
| All Cities | XXL Cities | XL Cities | L Cities | S–M Cities | |
| n = 184 | n = 20 | n = 39 | n = 41 | n = 84 | |
| C3 Index | 0.21 *** | 0.19 | 0.07 | 0.23 | 0.36 |
| 1. Cultural Vibrancy | 0.31 *** | 0.30 | 0.01 | 0.38 | 0.34 |
| 2. Creative Economy | 0.04 | 0.00 | 0.05 | 0.06 | 0.22 |
| 3. Enabling Environment | 0.15 ** | 0.29 | 0.16 | −0.02 | 0.28 |
| D1.1 Cultural Venues and Facilities | 0.32 *** | 0.16 | 0.04 | 0.42 | 0.33 |
| D1.2 Cultural Participation and Attractiveness | 0.21 *** | 0.39 | 0.00 | 0.29 | 0.24 |
| D2.1 Creative and Knowledge-based Jobs | 0.14 ** | −0.03 | −0.14 | 0.24 | 0.33 |
| D2.2 Intellectual Property and Innovation | 0.12 * | 0.11 | 0.00 | 0.23 | 0.20 |
| D2.3 New Jobs in Creative Sectors | −0.11 | −0.02 | 0.19 | −0.26 | −0.09 |
| D3.1 Human Capital and Education | 0.22 ** | 0.10 | 0.36 | 0.20 | 0.31 |
| D3.2 Openness, Tolerance and Trust | 0.02 | 0.26 | 0.02 | −0.19 | 0.09 |
| D3.3 Local and International Connections | 0.02 | 0.20 | −0.29 | 0.00 | 0.19 |
| D3.4 Quality of Governance | 0.18 ** | 0.46 | 0.06 | −0.01 | 0.28 |
Publisher’s Note: MDPI stays neutral with regard to jurisdictional claims in published maps and institutional affiliations. |
© 2021 by the authors. Licensee MDPI, Basel, Switzerland. This article is an open access article distributed under the terms and conditions of the Creative Commons Attribution (CC BY) license (https://creativecommons.org/licenses/by/4.0/).
Share and Cite
Kumar, V.; Vuilliomenet, A. Urban Nature: Does Green Infrastructure Relate to the Cultural and Creative Vitality of European Cities? Sustainability 2021, 13, 8052. https://doi.org/10.3390/su13148052
Kumar V, Vuilliomenet A. Urban Nature: Does Green Infrastructure Relate to the Cultural and Creative Vitality of European Cities? Sustainability. 2021; 13(14):8052. https://doi.org/10.3390/su13148052
Chicago/Turabian StyleKumar, Vishal, and Aude Vuilliomenet. 2021. "Urban Nature: Does Green Infrastructure Relate to the Cultural and Creative Vitality of European Cities?" Sustainability 13, no. 14: 8052. https://doi.org/10.3390/su13148052
APA StyleKumar, V., & Vuilliomenet, A. (2021). Urban Nature: Does Green Infrastructure Relate to the Cultural and Creative Vitality of European Cities? Sustainability, 13(14), 8052. https://doi.org/10.3390/su13148052
