Next Article in Journal
Analysis on the Trend and Factors of Total Factor Productivity of Agricultural Export Enterprises in China
Previous Article in Journal
Government Environmental Information Disclosure and Environmental Performance: Evidence from China
 
 
Font Type:
Arial Georgia Verdana
Font Size:
Aa Aa Aa
Line Spacing:
Column Width:
Background:
Article

Participatory Varietal Selection for Promising Rice Lines

by
Vina Eka Aristya
1,2,
Y. Andi Trisyono
1,
Jangkung Handoyo Mulyo
1 and
Taryono Taryono
1,3,*
1
Faculty of Agriculture, Universitas Gadjah Mada, Bulaksumur, Sleman, Yogyakarta 55281, Indonesia
2
Assessment Institute for Agricultural Technology of Central Java, Ministry of Agriculture, Bergas, Semarang, Central Java 50552, Indonesia
3
Agrotechnology Innovation Centre, Universitas Gadjah Mada, Berbah, Sleman, Yogyakarta 55573, Indonesia
*
Author to whom correspondence should be addressed.
Sustainability 2021, 13(12), 6856; https://doi.org/10.3390/su13126856
Submission received: 14 April 2021 / Revised: 24 May 2021 / Accepted: 26 May 2021 / Published: 17 June 2021
(This article belongs to the Section Sustainable Agriculture)

Abstract

The purpose of rice breeding is to create varieties that are well adapted, highly productive, and acceptable to farmers. However, rice productivity is limited as a result of combined biotic stresses (pests/diseases). This study combines assessment by farmers with the evaluation by breeders with respect to promising rice lines within a range of environments. The aim is to investigate farmers’ preferences and to characterize the yield of promising rice lines, as well as their resistance to pests/diseases by consulting 120 farmers and breeders. This study used an oversite design replicated three times with thirteen promising lines and two varieties, which were all evaluated at farmers’ fields between December 2019 and May 2020. The Importance Performance Analysis was used to compare line performance and farmers’ expectations. Lines Gamapadi-2 and Gamapadi-4 had the highest acceptability scores based on the farmers’ preferences. The yield performances were evaluated using the Finlay–Wilkinson test and the genotypes were evaluated using environmental models (GGE biplot) to determine the most stable lines to be recommended for large-scale planting. The Finlay–Wilkinson and GGE biplot conclusion analyses also showed that the Gamapadi-2 and Gamapadi-4 lines exhibited high potential yield and stability, as well as indications of specific advantages. The results for both lines in all locations indicated no symptoms of brown planthoppers or bacterial leaf blight due to its absence during the field research. These lines in all age ranges at two sites showed no symptoms of leaf blast.

1. Introduction

Rice (Oryza sativa L.) is the most important staple food of developing countries, including Indonesia. Indonesia is the world’s third largest producer of rice [1]. Central Java is the largest producer of rice in Indonesia. The rice production in 2019 was estimated at 9.66 million tons, with an average rice productivity of over 10 years of 5.69 t/ha. The rice production in the last decade (2010–2019) ranged between 9.4 and 11.5 million tons per year for a harvested area of 1.68–2.01 million ha [2,3,4,5].
There are several requirements for releasing rice varieties in Indonesia, including high potential yield and biotic (pests and diseases) stress resistance [6]. In a formal breeding program, breeders usually select for these specific traits. The ideal genotype has a high average yield and high performance with respect to stability across environments [7]. The selection of lines with a view to yield stability across various environmental conditions is important as part of a rice breeding program [8]. Genotype and environmental interaction effects show that lines respond differently to variations in location, indicating that the verification of rice lines at multiple locations is necessary [9].
Rice breeding is carried out under controlled experimental conditions by researchers, with no consideration of farmers’ preferences. The breeding program can be improved by using Participatory Varietal Selection. Participatory research is employed to test lines that have been developed by breeders, as well as near-finished products from the breeding program, in order to release the best-performing and most promising lines in the area with the cooperation of farmers [10]. This approach has been effective, as it takes into consideration the socio-technological context of the end-users during the evaluation, confirmation, and promotion of new rice lines [11]. Participatory breeding was developed using indigenous knowledge to accelerate the adoption of new varieties. Decentralization provides farmers with the opportunity to influence varieties according to their specific agro-ecological needs and to improve the breeding programs [12,13]. Importance Performance Analysis is also used to complement farmers’ responses to the rice lines. This method is used to compare a rice line’s performance with the expectations of the farmers [14].
A genotype-by-environment analysis presents the full potential of a rice line in a targeted environment. The purposes of adaptation and stability analysis are to identify rice lines that are responsive to environmental variations. The models combine an analysis of the variance of the genotype with major environmental effects, while simultaneously identifying lines with high yield and stability in a wide range of environments [15].
The main challenge in intensifying sustainable rice production is the availability of varieties that are resistant to pests and diseases [16]. The genetic resistance of promising lines is expected to solve problems of pests and disease in the field [17,18]. Rice varieties are commonly prone to brown planthopper (Nilaparvata lugens), leaf blast (Pyricularia oryzae), and bacterial leaf blight (Xanthomonas oryzae PV. Oryzae). Brown planthoppers pose a serious threat to the world’s rice production and transmit viruses that cause stunted growth [19]. They are the main pests of rice in many countries in Asia, including Indonesia [20]. The total scale of Nilaparvata lugens attacks on rice plantations over the years 2013–2018 in Central Java reached 102,968.20 ha. In general, these pests reach their peak of transmission in the months of April–July each year and the most severe transmission occurred in March 2014, with an area of 8798 ha [5,6].
Leaf blast has been identified as a major constraint in realizing the potential yield of rice [21]. Central Java has been affected by Pyricularia oryzae for the last six years, with approximately 719.76 ha of rice fields being affected. The disadvantages due to exposure to this disease occur in the months of January–April each year. This fungus attacked more than 4750 ha of rice fields in February 2016 [5,6].
Bacterial leaf blight disease is another stress factor of rice. The impact of bacterial leaf blight can cause rice yield losses of up to 80% [22,23,24]. The impact of this disease in 2013–2018 reached 80,559.30 ha of land, with attacks of this disease averaging 1118.88 ha per month. Over the past six years, the lowest extent of Xanthomonas oryzae PV. oryzae was found in November 2018 (70 ha) and the most severe was found in February 2017 (5283 ha) [5,6].
The lack of information on variety preference can lead to the low farmer adoption of new varieties [25,26,27,28]. A participatory varietal selection method was employed to extend the management of rice breeding, as well as to explore a range of technological innovations in the assembly of varieties [29,30]. Preferences by stakeholders for new rice lines require further investigation in order to better understand the major aspects of phenotypic performance and to provide recommendations to breeders for the improvement of promising rice lines. This research combines the assessment and preferences of farmers in the field during the day with the evaluation of promising rice lines by breeders, using various genotypes within a range of environments. This study aims to investigate farmers’ preferences and to characterize promising rice lines with respect to yield, as well as their performance with respect to resistance to pests and disease.

2. Materials and Methods

2.1. Study Sites

The participatory varietal selection programs have been implemented in three central rice production areas of Central Java, Indonesia (Banyumas, Klaten, and Batang Regency). The location is chosen to represent rice grown on the lowland, which is affected by major pests/diseases, and also to represent southern, central, and northern parts of Java Island’s rice harvesting areas. They are also chosen because they are logistically viable (Table 1).
The study sites (Banyumas, Klaten, and Batang) showed fluctuated rice production in the last decade. The average rice productions for each are in Banyumas 266,228.8–389,044 t; Klaten 200,824–437,206 t; Batang 154,914.7–222,932.4 t. Between 2010 and 2019, the harvested area ranges from 30,890 to 73,962 ha annually. The average productions of rice yield for 10 years for each area are the following: Banyumas 4.97–5.94 t/ha; Klaten 4.21–6.37 t/ha; Batang 4.02–5.11 t/ha [5,6].

2.2. Materials and Design

Studies were conducted during the wet season (December 2019–May 2020) using thirteen promising lines and two varieties of Oryza sativa L. as research materials. The new rice lines are the advanced breeding lines that are already stable properties-wise. Line numbers 1 to 10 are rice promising lines belonging to the Universitas Gadjah Mada, while line numbers 11 to 13 are a collection belonging to the Ministry of Agriculture. Line numbers 1–4 and 11–13 are obtained through the crossing process which is currently in the advanced generation (>F8). While line numbers 5–10 are obtained through the mutations of local cultivars Rojolele and Mayangsari using gamma rays (>M8) (Table 2).
A total of 120 farmers were involved from three experimental regions. Each genotype was grown and evaluated at the farmer’s field. The seed was sowed in the nursery and transplanted at the age of 15 days. The study in each location (Banyumas, Klaten, and Batang) was conducted in randomized complete block design with three replications. Each line was planted in a plot of 5 × 5 m2 and the plot to plot distance is 0.5 m. Two plants per hole were grown with plant spacing at 0.22 m × 0.22 m. The agronomical practices [31,32,33] were adopted to raise a vigorous crop.
Dominant soil type data were determined by taking a composite soil sample in a zigzag manner to a depth of 20 cm before sowing rice in all locations. The rounding method is used to analyze the content of sand, silt, and lay. Electrometric method was used in defining soil H2O pH. Soil samples were analyzed at the Assessment Institute for Agricultural Technology of Central Java Laboratory. Climatic data (temperature, humidity, wind, and rainfalls) were taken during rice planting in the fields at each location.
The study identified the attributes data on new rice line characteristics, which are estimated by farmers in selecting preferred lines. The attributes data assessed by farmers in three locations are rice productivity, disease resistance, and pest resistance. The levels of farmers’ preferences for rice characteristic attributes are known through scoring (1 = very unimportant; 2 = unimportant; 3 = undecided; 4 = important; 5 = very important) [34].
Yield data were collected according to the rice descriptors and extrapolated to yield per hectare. Data collection techniques were carried out systematically through observation of the plant on all populations [35]. Rice lines were evaluated for resistance to brown planthopper (Nilaparvata lugens), leaf blast (Pyricularia oryzae), and bacterial leaf blight (Xanthomonas oryzae PV. Oryzae). Data were collected at plant age 7, 20, 40, 50, and 78 days and harvested in the field. Observations of genotype responses to pests and diseases refers to a standard evaluation system on each plant population of the line [36,37].

2.3. Data Analysis

The data analysis attempted to combine preferences of the farmers, yield performance, and stability by breeders. The preferences were to find out the average attribute level of all lines and the Importance Performance Analysis. The yield performance and stability of lines for three locations can be evaluated using the Analysis of Variance, Genotype by Environment Interaction Biplot, and the Average Environment Coordination methods. The analysis was supplemented by observations on the resistance to major rice pets and disease.
Farmers’ assessments on promising rice lines are known by analyzing data of farmers’ average attribute level of all lines. The ranking is evaluated to assess the attributes (rice productivity, disease resistance, and pest resistance) that are most preferred by the farmers [34].
The Importance Performance Analysis (IPA) is applied to a range object. IPA is used to set the crosshairs that create the four relevant quadrants at the mean importance and performance scores provided by the respondents in the Likert scales for promising rice lines [38]. IPA effectively solves the scale-centered method by graphing attributes according to their relative importance and performance. The dispersing of the attributes across the four quadrants gives a clearer illustration of rice lines [39]. IPA can help determine farmers’ stance on rice lines; lines that considered important and having good performance; lines considered important with lower-than-expected performance; lines with higher-than-expected or exceeding expectation; or lines less preferred.
Data on the rice yield according to the line and environment were analyzed by Analysis of Variance (ANOVA) to find the main effects consisting of rice line (G), site (E), and their interactions (G × E). Yield per environment is analyzed to see the mean performance and a decision was made using Duncan’s Multiple Range Test (alpha 0.05). This test was carried out because of the significant differences in the results of the analysis of variance. The data were run using PROC GLM and PROC MIXED with SAS (Statistical Analysis System) [40,41,42,43].
The combined mean performance of lines for three locations was computed for the Genotype and Genotype by Environment Interaction Biplot (GGE biplot analysis). This study seeks to decide and select suitable rice lines in each region’s trials via visual analysis. This practice used a biplot to show line and line-site interactions as factors (G and G × E), which are important in rice evaluation and as sources of variation in their interaction analysis of the site. The GGE biplot software was used for interpreting the G × E interactions through graphs [44,45].
Yield performance can be evaluated using the Average Environment Coordination (AEC) method. AEC technique has been extensively utilized for identifying superior genotypes and visualized graphically. The evaluation of rice lines contributes to identifying trait relationships and for selecting lines for specific traits [46].
Observations of rice for resistance to brown planthoppers (Nilaparvata lugens), leaf blast (Pyricularia oryzae), and bacterial leaf blight (Xanthomonas oryzae PV. Oryzae) were analyzed in accordance with the international standard evaluation system guidelines for rice [36] and the national technical guidelines for observing and reporting on plant pests and the impacts of climate change [37].

3. Results

3.1. Location Characteristics

Banyumas and Batang have dominant alluvial soil types, with the largest percentage of clay compared to silt and sand (5:3:2). Klaten has a regosol type with 48.31% silt, 34.64% sand, and 17.05% clay. The H2O pH of three locations obtained were slightly acidic (5.32 in Klaten and 5.73 in Batang). The experiment was carried out during the rainy season (December 2019–May 2020), with the average minimum and maximum daily air temperature in Banyumas (23.93–31.39 °C), Klaten (22.83–31.07 °C), and Batang (25.07–30.51 °C), respectively. The relative humidity in three locations were almost similar at around 80% per day. The specific average wind speed and rainfalls were different. Batang has the fastest wind speed (12.82 km/h) and the lowest rainfalls (1856 mm/year), compared to the other locations (Table 3).

3.2. Farmers Characteristics

Participatory variety selection is carried out through field meetings before harvest involving 120 farmers from three experimental sites as panelists. The panel consisted of males (77 participants) and females (43 participants), with the average age of 50 years old. Their education levels were at least secondary school (>9.45 years) and generally finished high school (11.12 years). The farmers have a diverse farming experience. Banyumas participants were already farmers for approximately 13.06 years, Klaten for 16.48 years, and Batang for almost 17.61 years. The largest land owned by Batang farmers was 1.35 ha, while Banyumas and Klaten ranged from 0.34–0.61 ha (Table 4).

3.3. Farmers’ Assessments on Promising Rice Lines

The results of farmers interviews carried out in three locations indicated that rice productivity (3.53) was the most important attribute in the selection of rice lines. The second value of farmers’ average attribute was disease resistance (3.27) and the next preferred characteristic was pest resistance (3.24). Resistance to biotic stresses is essentially regarded as a major factor for better-performing varieties. Visual rating to evaluate the acceptability of lines and the respondents’ perception were important for a good line. The ranking is evaluated to assess the attributes that are most preferred by the farmers (Table 5).
IPA is divided into four quadrants. The purpose of the mapping is to determine the priority of improvement to rice line performance attributes. The result in quadrant I shows the existing lines that were considered of good importance and performance by farmers. Quadrant I states that farmers consider the lines as expected. The line’s performances in this environment are maintained so that it can continue to get better. The results of the analysis on three attributes showed for promising rice lines in quadrant I are Gamapadi-2, Gamapadi-4, Inpari 30 Ciherang Sub 1, and Inpari 33. These lines indicated specific advantages for each attribute. Quadrant II consists of rice lines that are considered very important and the main priority for farmers. However, even the maximum performances of these lines were not in line with the expectations of farmers’ and so improvements are required for these lines. In quadrant II, there were no lines that match the criteria (Figure 1).
Rice lines in quadrant III did not have high expectations and so they have lower evaluations on their importance level. Their performances were also ordinary. Quadrant III is an area that contains rice lines with low priority and is considered less critical by farmers and so they are not given the focus on improving characters. Most rice lines are in this quadrant. In the pest and disease resistance attribute, BP 20314d-SKI-16-1-2, Gamapadi-7, Gamapadi-5, Gamapadi-10, Gamapadi-9, BP 30475b-SKI-6-4-3, Gamapadi-6, and BP 20713d-SKI-24-8-2 (in order of lowest result) were shown (Figure 1).
Meanwhile, in attribute productivity, there were Gamapadi-10, BP 30475b-SKI-6-4-3, Gamapadi-5, BP 20314d-SKI-16-1-2, Gamapadi-9, and BP 20713d-SKI-24-8-2. Quadrant IV shows existing lines, which according to farmers are high performing and even tend to exceed desired expectations and so it is considered excessive. This quadrant shows lines that are considered less preferred for farmers. The lines in quadrant IV do not require development. The lines in quadrant IV associated with disease resistance are Gamapadi-3 and Gamapadi-1. The productivity is presented in Gamapadi-7, Gamapadi-6, Gamapadi-8, Gamapadi-3, and Gamapadi-1 (Figure 1).

3.4. The Yield of Promising Rice Lines

The lines tested in a multi-location and as a condition for specific adaptation are particularly important in rice breeding as it is more sustainable to fit new lines adapted to more favorable conditions. The experiments have also investigated the interactions between rice lines and locations. The Combined Analysis of Variance (ANOVA) for yield indicates that the interaction, site, and rice line variance were highly significant (p < 0.01). The highly significant interaction issue suggests that lines are selected for adaptation to specific locations. This type of interaction can help the rice breeder to select a specific line for each environment. The yield means of fifteen lines are 5788.38 kg/ha (Table 6).
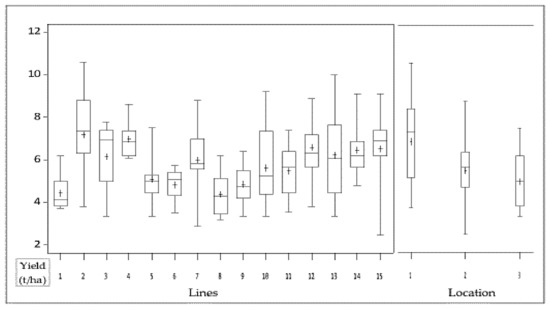
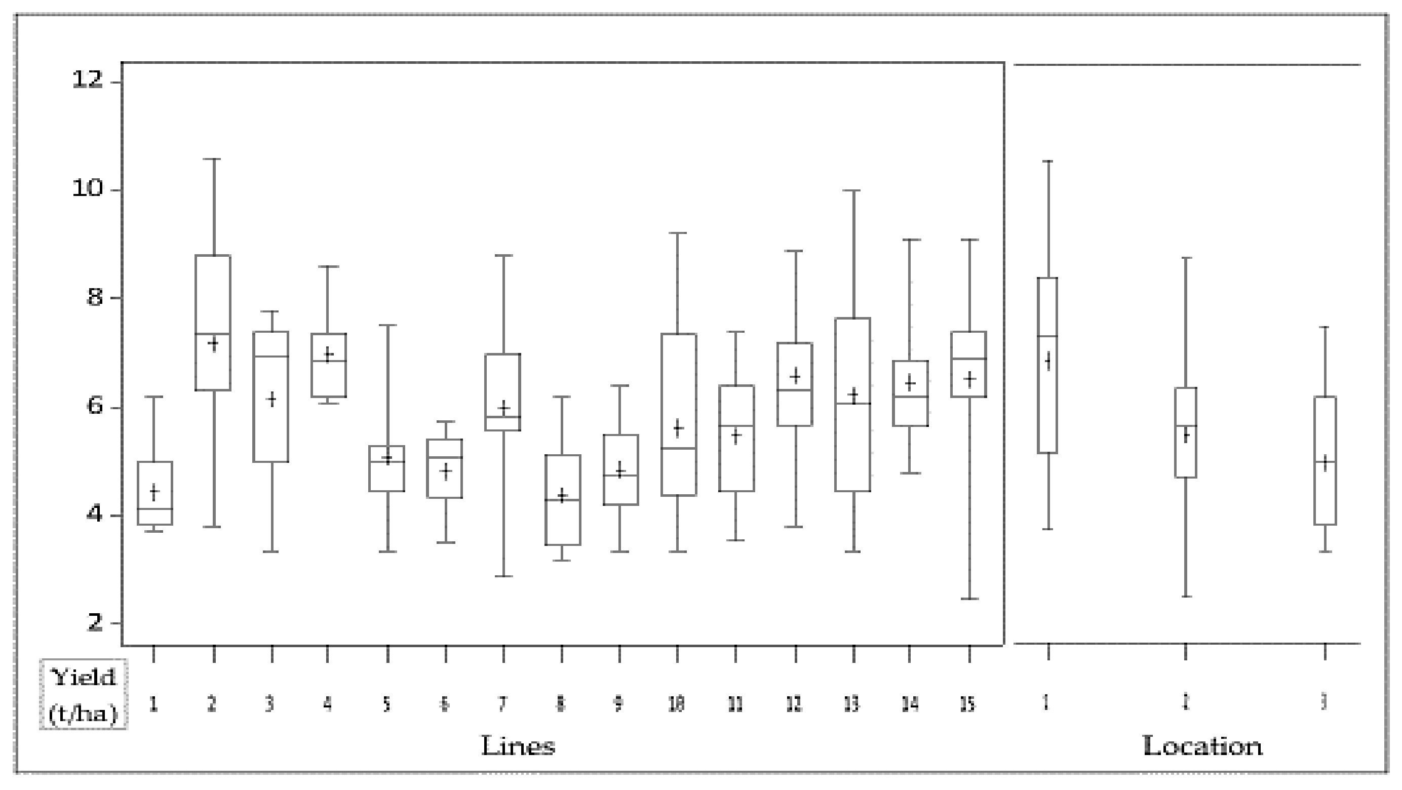
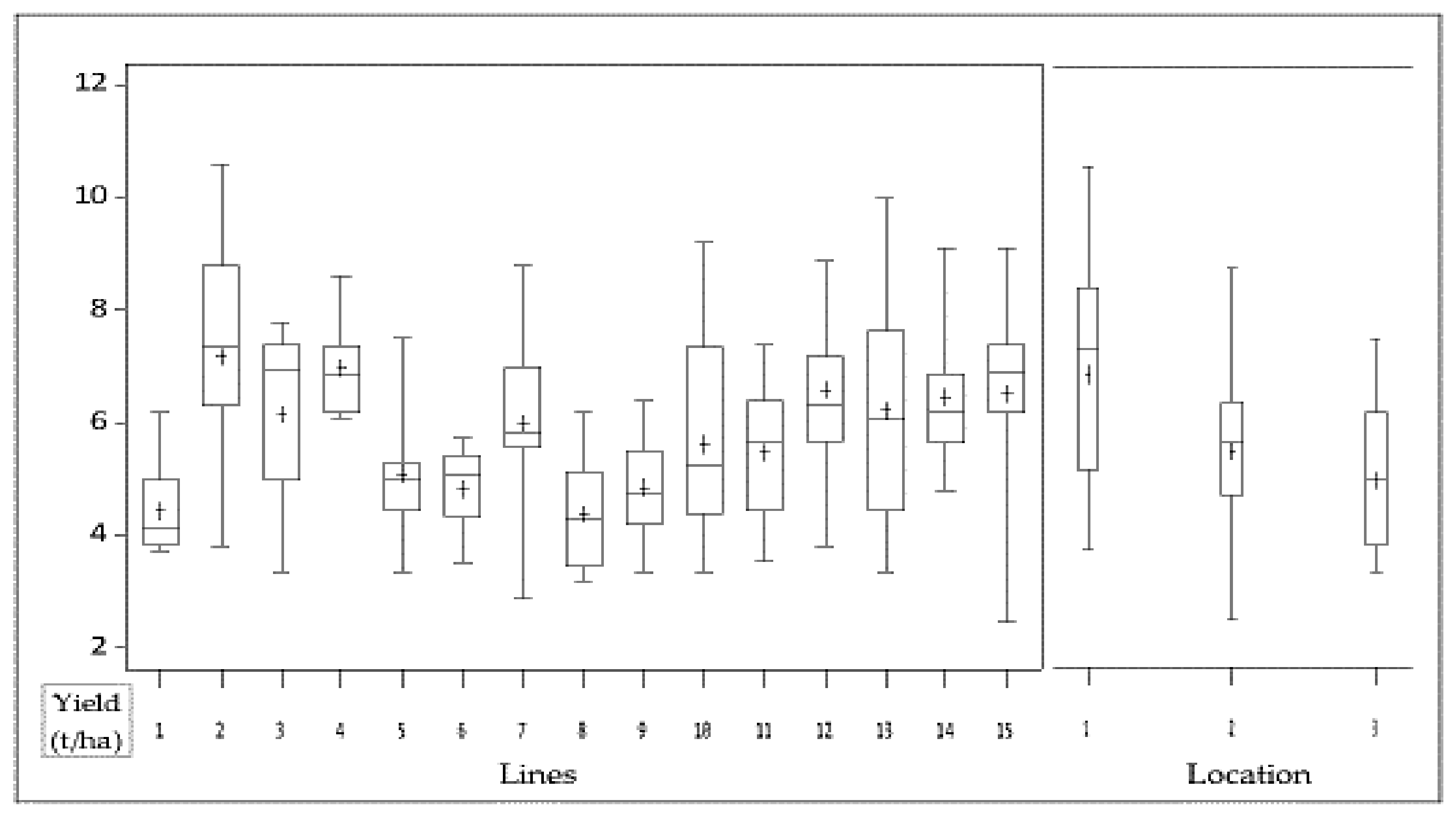
The rice lines were tested simultaneously at Banyumas, Klaten, and Batang, resulting in various maximum and minimum yields. The highest yield was obtained by Gamapadi-2 as high as 10.60 t/ha while the lowest was Inpari 30 Ciherang Sub 1 (2.46 t/ha). The widest interquartile range is known on BP 30475b-SKI-6-4-3 and the lowest on Gamapadi-5. The best average rice productivity will potentially be obtained by Gamapadi-2 (7.18 t/ha) and the one with the least potential will be Gamapadi-1 (4.44 t/ha). All lines in three locations showed the best average potential in Banyumas (6.88 t/ha). Rice productivity in Klaten is 5.50 t/ha and in Batang it is 4.98 t/ha (Figure 2).
Mean yield of promising rice line at Banyumas is 6.88 t/ha, best yield on Gamapadi-2 (8.91 t/ha), and the lowest yield was Gamapadi-1 (3.86 t/ha). Klatens’ rice productivity is 5.50 t/ha, with the largest mean yield by Gamapadi-2 (7.74 t/ha) and the lowest by 20713d-SKI-24-8-2 (4.28 t/ha), while in Batang the one with the greatest potential for harvesting was Gamapadi-4 (6.72 t/ha) and, on the other hand, Gamapadi-9 (3.75 t/ha) was not profitable. Generally, there is a diverse yield of promising rice lines. Gamapadi-2 and Gamapadi-4 had a potential yield of 7.18 and 6.98 t/ha, respectively. The increase was 11.11% and 7.97%, respectively, which are significantly higher than national commercial varieties (Inpari 33) (Table 7).
Finlay–Wilkinson’s analysis was used to estimate the generated potential yield association with stability and the inclusion of the interaction between phenotype and environmental factors. Generally, Gamapadi-2 (7.74 t/ha) indicated the highest productivity and Gamapadi-10 (4.28 t/ha) possessed the lowest productivity in Klaten. The best result in Batang was Gamapadi-4 (6.72 t/ha) and it is significantly different to the other locations. Overall, the best values at all locations for each were: Gamapadi-2 (7.18 t/ha), Gamapadi-4 (6.98 t/ha), and BP 20314d-SKI-16-1-2 (6.59 t/ha), respectively. Gamapadi-9 (3.75 t/ha) possessed the lowest productivity in all three locations (Figure 3).
Based on the results of the Genetic-Genetic by Environment Biplot (GGE biplot) analysis, Gamapadi-2 is suitable for Banyumas and Klaten, while Gamapadi-7 and Inpari-33 are suitable for Batang. The GGE biplot study displays the singular values for the first principal component (PC1) and the second principal component (PC2) because the contribution of the diversity (total Eigenvalues) PC1 and PC2 can explain the diversity of the original data, which is more than 85%. The GGE biplot showed that the first two principal components (PC1 and PC2) referred to primary and secondary effects from environment-centered yield data to singular value decomposition. Within the sector, there is a genotype vertex if it is connected with the connection line and it will form a polygon. These genotypes were 15 promising rice lines on three locations, which possess a distance biplot point (Figure 4).
The Average Environment Coordination (AEC) showed the stability of lines; if the vector distances of the lines were further away from the origin of the biplot, the Genotype × Environment effect will be greater and will reduce stability. The ordinate also divided the genotypes that had high yields and low yields. Gamapadi-2 generally showed the most stable lines and had the highest mean yield in various locations and were categorized as the recommended genotypes for large-scale planting. This promising rice line is the best genotype in all environments because the genotype has the closest distance to the biplot point (Figure 5).
The ideal line is a genotype that has a high average yield and high stability. The ideal rice is a genotype with a large PC1 score (high mean value) and a small PC2 absolute score (high stability). Ideal lines do not truly exist but they can be used as a recommendation to evaluate a line. If made into a graph, the ideal line is in the first concentric circle. The desired line is in the second concentric circle. Lines that are in the third concentric circle and so on are less desirable genotypes because they possess imperfect yields. The ideal genotype was not found in this study, but Gamapadi-2, BP 20314d-SKI-16-1-2, and BP 30475b-SKI-6-4-3 almost displayed desired characteristics (Figure 6).

3.5. Pest and Disease Resistance of Promising Rice Lines

The response of all lines to the brown planthopper in the field were almost the same value in all phases of plant growth and locations (score 0). All rice lines showed no symptoms of damage. This means that there were probably no populations of Nilaparvata lugens and low pest virulence during the experiment in the field (Figure 7a).
The study revealed that the most promising rice lines were highly resistant against leaf blast disease. The reaction of promising rice lines to leaf blast at Banyumas, Klaten, and Batang at 7, 20, 40, and 50 DAP showed no infection or symptoms of leaf blast. Rice lines at 78 DAP (days after planting) and harvest in Batang represented weakness against spotting in the form of needlepoint or several millimeters, but not elliptical in shape from Pyricularia oryzae. Some lines (Gamapadi-2, Gamapadi-3, Gamapadi-4, Gamapadi-8, BP 20713d-SKI-24-8-2, Inpari 33, and Inpari 30 Ciherang Sub 1) showed elliptical patches, which were 2–20 mm in size, and leaf surface area infected by 2% of this disease. Gamapadi-7, Gamapadi-9, and Gamapadi-10 in Batang also informed of leaf blast attacks and the surface areas of the infected leaves were >10–<50%. Gamapadi-9 and Inpari 30 Ciherang Sub 1 in Banyumas showed leaf blast susceptibility at 78 DAP and at harvest. Five rice lines were found highly resistant to leaf blast in all locations and all plant ages (Gamapadi-1, Gamapadi-5, Gamapadi-6, BP 20314d-SKI-16-1-2, and BP 30475b-SKI-6-4-3. They can further be utilized as the released variety for multiple crop improvement programs (Figure 7b).
Fifteen rice lines that reacted against bacterial leaf blight revealed that none of the genotypes showed infection/symptoms at 7, 20, 40, and 50 DAP. They were immune to Xanthomonas oryzae PV. Oryzae (Xoo), especially rice lines at the age of 78 DAP and harvest. Gamapadi-1, Gamapadi-2, Gamapadi-4, and Gamapadi-6 in Banyumas, Klaten, and Batang showed >1–<5% areas of symptoms on leaf surfaces. The rice from Gamapadi-3, Gamapadi-5, Gamapadi-7, and Gamapadi-8 in Klaten was affected by Xoo. Inpari 33 aged 78 DAP and, at harvest time in Banyumas, was also affected by Xanthomonas. BP 30475b-SKI-6-4-3 aged 78 DAP when harvested in Batang was affected by Xoo; the areas of symptoms on leaf surface were >5–<25%. Gamapadi-3, Gamapadi-5, Gamapadi-8, BP 20713d-SKI-24-8-2, and BP 30475b-SKI-6-4-3 were affected by bacterial leaf blight (areas of symptoms on leaf surface were >25–<50%) at 78 DAP in Klaten. Gamapadi-10 in Batang at the 78 DAP and at harvest also experienced the same thing. Gamapadi-9 at 78 DAP, BP 20314d-SKI-16-1-2, and Inpari 30 Ciherang Sub 1 at harvest in Klaten showed the most severe symptoms of this disease, while the symptom areas on the leaf surface were >50–<75% (Figure 7c).

4. Discussion

4.1. Farmers’ Assessments on Promising Rice Lines

The participatory approach which highlighted farmers’ preference data was quantified as feedback to enhance the research in rice breeding. This opened up opportunities for farmers’ choice. The cooperation between breeders and farmers becomes an active partnership in plant breeding [47].
The opened up opportunities consisted in well-adapted rice varieties, high productivity, and farmer’s choice. Participatory methods are needed to widen the impact of a range of technology innovations in agriculture and plant breeding management. The growing scarcity of resources for research increased the demands to provide evidence that participatory methods are justified by the results. Participatory research and farmers’ preferences of new rice lines aim to know and understand the characteristics of rice that are important for farmer adoption.
The respondents of this study came from diverse gender, age, education, and farming experience. In fact, they also possess different areas of land. This is the ideal expected proportion to describe information about the needs of certain rice varieties. It is necessary to present diverse respondents to investigate consumer preferences, including distinctness in socio-economic characteristics at the same time, and places where actual decisions were made to better elicit their true preferences [48]. Farmers’ preferences did not vary too much in terms rice productivity, disease resistance, and pest resistance.
The gender imbalance can limit the potential of this sector. The age of the actors involved in the rice production process also affects productivity. The younger farmer has the ability to work harder, invest in new technologies, include new varieties, and improve rice production. Levels of education can increase the potential advantages of new technologies and interventions to ensure the effective promotion of rice varieties. Furthermore, differences in age, education, and farm size, also influenced the adoption and farmers’ acceptability of new rice varieties [49,50,51].
The total preference level and phenotypic performance data showed Gamapadi-2 and Gamapadi-4 were the most preferred for breeding and were to be released as commercial varieties. Farmer’s preference variations in the promising rice lines are revealed in all locations. The diversity of preferences reflected in the three locations is an important capital in the efforts to increase genetic diversity in the field. It is hoped that farmers can continue to grow their preferred lines or varieties according to their individual tastes and to share their seeds with other farmers. The attribute rice data represented that rice productivity was the most important characteristic according to farmers. This result suggests that rice breeders develop new lines that meet farmers’ needs.
Participation also has an important role in increasing the genetic diversity of rice in the field. Additionally, the participation of farmers with the information channel for the diffusion of seeds of superior varieties of rice in other farmers’ land is beneficial [52,53,54]. Research by Lacoste et al. (2012) [17] showed that the diffusion strategy of superior varieties through a participatory approach was able to significantly increase the number of farmers adopting different varieties.
The control strategy for brown planthopper and Xoo disease is by the breeding plants’ genetic resistance and developing environmentally-friendly rice cultivation [55,56,57]. The sources of resistance Pyricularia oryzae which were identified from genetic resources can be explored in future multiple resistance rice breeding programs [58,59]. The rice cultivars that had resistance to Xoo will be useful as genetic sources in breeding programs to overcome existing bacterial blight disease.
The use of the Importance Performance Analysis (IPA) method served to find out which attributes are still underperforming or which must be maintained. From here, proposals can be determined to improve important attributes, but performance is still too poor to improve service quality according to what is expected and will have an impact on farmer satisfaction with rice lines. According to the farmers’ preferences, Gamapadi-2 and Gamapadi-4 are expected to be released as commercial lines and adopted by farmers because they have liked it even before it became a variety. Compared to the two, the other lines get various values from 120 respondents who participated in the observation.

4.2. The Yield of Promising Rice Lines

The magnitude of the role of genetic and environmental factors in determining the level of phenotypes can be estimated from variance analysis with a certain design. The interactions between genotype and environment are very important in rice breeding. This interaction provides different diversity between genotypes at certain locations. The lines that have good diversity in one location do not necessarily display good performance in another location tested.
Evaluation of promising rice lines on various environmental conditions was performed with statistical GGE biplot. This is a combined analysis model that showed the effects of the genotype plus the interaction between genotype and environment [60]. The analysis was conducted to observe stable rice lines at three locations. GGE biplot graphic demonstrated visual information referring to the evaluation on rice lines, location, and their interactions.
The GGE biplot method can indicate adaptability and the suitability of rice lines. The straight line from the biplot points vertically across the connection on each side and divides the biplot line into sectors in which each sector has a line vertex. It results in five sectors. Two sectors contain the environment and the rest sectors do not contain the environment [61]. Research showed Gamapadi-2 is the most stable of the lines and has the highest mean yield in various locations and is categorized as the recommended genotype for wide-scale planting. Gamapadi-2 possesses the closest distance from the biplot point. The GGE biplot can classify the line into four categories and show yield performance and adaptability in each area. The vertex genotype is the best in the environment that is in the same vector and so each vertex is the genotype that has the best local adaptation in each mega-environment. The stability of the rice lines in all environments presented high grain yield. The interaction between genotype and environment causes the rice to indicate crop ability on each different location [62].
The Average Environment Coordination (AEC) ordinate method can indicate the stability of rice lines [63]. The image with one arrow passing the midpoint of the environment (the origin of the biplot) is the AEC abscissa depicting the mean line results for all environments. The small circle in the AEC line represents the environmental mean. The direction of the AEC abscissa arrow is drawn past the origin of the biplot and the circle of environmental means. Meanwhile, the perpendicular line from the abscissa of the AEC is the ordinate of the AEC. Absis AEC following the direction of the arrow indicates the greater effect of the genotype. Gamapadi-2 showed the most stable lines, has the highest mean yield in various locations, and is categorized as the recommended genotype for wide-scale planting. The GGE biplot focused scaling showed the ideal lines were Gamapadi-2, BP 20314d-SKI-16-1-2, and BP 30475b-SKI-6-4-3. The genotypes have a high average yield and stability [8].

4.3. Pest and Disease Resistance of Promising Rice Lines

The requirement for superior rice lines includes biotic (pests and diseases) resistance. Pest and disease are disrupting crops, obstacles, and reducing potential production. Brown planthopper is one of the major rice pests. They directly destroy crops by sucking up plant fluids that cause dry plants and hopper burn.
Nirlava lugens indirectly becomes a vector of spreading rice ragged stunt virus and grassy stunt virus. The enhanced insect-resistant rice line is a key component of the required response to increased rice quality [64]. The explosion of brown planthopper happened in several rice-growing areas in Asia. Excessive use of insecticides is also a factor in the occurrence of brown planthopper explosions and the population is continuously increasing [65,66].
The distribution of major pests and diseases at the three study sites (Banyumas, Klaten, and Batang) for the last decade has also fluctuated. Nilaparvata lugens in 2017–2018 has caused and influenced lower productivity on 8385 ha of productive rice fields at Banyumas (7291 ha), Klaten (823 ha), and Batang (271 ha). In fact, Banyumas (July 2017) paralysis occurred in more than 2768 ha of rice fields, although in 2018 this pest attack was controlled to below 170 ha (September 2018 in Banyumas) [5,6]. Research in Central Java shows that the response of all lines to brown planthopper in the field were almost the same value in all phases of plant growth (score 0). It can be hopeful for the development of resistant rice lines.
Bacterial blight is the most destructive disease of rice. The bacterium Xanthomonas oryzae PV. oryzae causes yellowing, drying of leaves, and wilting at the seedling stage. Furthermore, blight lesions give a striped appearance on the leaves and field patches infested with whitish and ragged appearance [58]. In terms of the major constraints in rice, incidences related to this disease, in 2017 and 2018, reached 3131 ha in Banyumas, Klaten, and Batang. The peak of this disease in three locations generally occurs from January to April every year. The most damaged areas were located in Klaten (1293 ha). Over the past two years (2017–2018), Banyumas and Batang have also been affected by this disease (1187 and 651 ha, respectively) [5,6].
The fungus Pyricularia oryzae can cause leaf blast disease and serious damage to rice leaves. Blast has been identified from different regions of the country. This pathogen can decrease the potential yield of rice and is active during wet season (January–April). This fungus leaf blast attacks more than 827 ha within two years (2017–2018) in Banyumas (150 ha), Klaten (527 ha), and Batang (150 ha). [5,6]. The symptoms of Pyricularia oryzae in susceptible rice lines are marked with gray spots surrounded by dark green to dark brown colors and tapered borders. In humid conditions, the lesions develop rapidly to cover the entire surface of the leaf.
Field research was conducted during the rainy season, data in three locations showed temperatures ranging 22.83–31.39 °C, relative humidity conditions were almost similar at around 80%, fastest wind speed (>9.61 km/h) and high rainfalls (1856–6158 mm) (Table 3). This affected the reaction of rice lines to leaf blasts. Gamapadi-9 in Klaten and Gamapadi-9 and Gamapadi-10 in Batang performed a surface area of infected leaves ranged >10–<50%. The climatic situation is causing the symptoms of bacterial leaf blight in Klaten, with area of symptoms on leaf surfaces >50–<75% (BP 20314d-SKI-16-1-2 and Inpari 30 Ciherang Sub 1). The impact on plants affected by this disease showed that rice productivity of promising rice lines is not profitable. Gamapadi-9 (3.75 t/ha) possess the lowest productivity in Batang and a poor average yield (4.86 t/ha) in all locations.
In contrast, Gamapadi-2 possess the highest yield (10.60 t/ha). Gamapadi-2 at Banyumas (8.91 t/ha) and Klaten (7.74 t/ha) also showed the best average productivity compared to other lines, while Gamapadi-4 in Batang has the highest yield (6.72 t/ha) with an average of 6.98 t/ha from all study locations. Gamapadi-2 and Gamapadi-4 both have the potential for resistance to brown planthopper and both showed no symptoms of damage and no populations were found. The reaction of promising rice lines Gamapadi-2 and Gamapadi-4 to leaf blast also indicates that the majority possess no infections. Both lines showed the potential for no symptoms of bacterial leaf blight during the initial phase of growth. This Xoo constraint affects all lines at the age of 78 and harvests, but Gamapadi-2 and Gamapadi-4 only indicated areas of symptoms on leaf surfaces >1–<5%.
The characteristics of rice resistance are important because they determine the willingness of farmers to plant the new varieties. The most critical criteria in predicting acceptable lines were based on visual observation. Preferences are created from a set of characteristics that are known and relatively valued by consumers [67].
Participation can be efficacious for the evaluation of the nature of rice lines, for the identification of acceptable lines, and the supplementation of breeders’ observations. Rice breeding needs to set goals regarding variety characteristics and farmers’ criteria. It is an opportunity of the visiting program to view demonstration plots and to understand farmers’ preferences for different varietal characteristics.

5. Conclusions

Participatory Varietal Selection combines the perspectives of farming households and concern from breeders in assembling promising rice lines. The participatory approach highlighted the farmers’ preferences as feedback to enhance the rice breeding. The methods open up opportunities to realize the farmer level’s most preferred lines, to assist in quick release, and is hopefully adopted right on target. Rice farmers’ perceptions showed that lines Gamapadi-2 and Gamapadi-4 have become the farmer’s choice with the highest value in preference level. The combined analysis of variance for the yield indicates that factors such as interaction, site and line, and variances were highly significant. The GGE analysis also showed that the lines Gamapadi-2 and Gamapadi-4 are superior and stable lines in various locations. Both yields were regarded as ideal lines, are significantly higher (11.11% and 7.97%) than the released variety, and possess biotic stress resistance. Lines Gamapadi-2 and Gamapadi-4 represented the most stable, the highest yield, the most recommended genotypes to be converted into commercial varieties, and the most recommended to be planted on a wide scale.

Author Contributions

Main author, V.E.A.; supporting author, T., Y.A.T. and J.H.M.; conceptualization, V.E.A., T., Y.A.T. and J.H.M.; performed research and analyzed data, V.E.A.; wrote the original manuscript and draft preparation, V.E.A.; wrote, reviewed, and edited, V.E.A., T., Y.A.T. and J.H.M. All authors have read and agreed to the published version of the manuscript.

Funding

This research was funded by Ministry of Research and Technology/National Agency for Research and Innovation and the DAAD (German Academic Exchange Service)—SEARCA (Southeast Asian Regional Center for Graduate Study and Research in Agriculture) In-Country/In-Region Scholarship Programs.

Institutional Review Board Statement

Not applicable.

Informed Consent Statement

Informed consent was obtained from all subjects involved in the study.

Data Availability Statement

The data presented in this study are available upon request from the corresponding author. The data are not publicly available yet but will be in due course.

Acknowledgments

Thanks to Universitas Gadjah Mada for facilitating the research process. The authors would like to thank Setyo Budiyanto, Nurciptono, Endang Rohman, Sri Ngatini, Ngadimin, Warsito (AIAT of Central Java), Anas Anggoro Cahyo Edy (Agriculture and Plantation Service of Central Java), Kristiana Hardaning Utami (Klaten Agricultural Office), Biya Santosa, and Rahmadi for the excellent cooperation during the study. We acknowledge our farmers in Central Java (Banyumas, Klaten, and Batang) for their generous support in the implementation of this research. Taufan Alam and Gilang Wirakusuma (Universitas Gadjah Mada) for their help in running GGE biplot and IPA. Acknowledgments to the anonymous reviewers for their helpful comments to improve the manuscript.

Conflicts of Interest

The authors declare no conflict of interest. The funders had no role in the design of the study; in the collection, analyses, or interpretation of data; in the writing of the manuscript or in the decision to publish the results.

References

  1. Food and Agriculture Organization of the United Nations (FAO). Rice Market Monitor. 2018. Available online: http://www.fao.org/3/I9243EN/i9243en.pdf (accessed on 31 January 2020).
  2. The Central Bureau of Statistics. Harvested Area, Production, and Rice Productivity by Province, 2018–2019. 2020. Available online: https://www.bps.go.id/dynamictable/2019/04/15/1608/luas-panen-produksi-dan-produktivitas-padi-menurut-provinsi-2018.html (accessed on 3 June 2020).
  3. USDA (United States Department of Agriculture). Commodity Intelligence Report. 2019. Available online: https://ipad.fas.usda.gov/highlights/2019/05/Indonesia/index.pdf (accessed on 20 August 2019).
  4. Ministry of Agriculture. Data Five Last Year. 2019. Available online: https://www.pertanian.go.id/home/?show=page&act=view&id=61 (accessed on 3 June 2020).
  5. The Central Bureau of Statistics Central Java. Harvested Area, Productivity, and Production of Paddy by Regency/Municipality in Central Java Province, 2018 and 2019. 2020. Available online: https://jateng.bps.go.id/statictable/2020/06/19/1817/luas-panen-produktivitas-dan-produksi-padi1-menurut-kabupaten-kota-di-provinsi-jawa-tengah-2018-dan-2019.html (accessed on 22 June 2020).
  6. Cruz, C.V.; Castilla, N.; Suwarno, S.; Hondrade, E.; Hondrade, R.; Paris, T.; Elazegui, F. Rice disease management in the uplands of Indonesia and the Philippines. In Natural Resource Management for Proverty Reduction and Environmental Sustainability in Fragile Rice-Based Systems; Haefele, S.M., Ismail, A.M., Eds.; Limited Proceedings No 15; IRRI: Manila, Philippines, 2009; pp. 10–18. [Google Scholar]
  7. Karimizadeh, R.; Mohammadi, M.; Sabaghni, N.; Mahmoodi, A.A.; Roustami, B.; Seyyedi, F.; Akbari, F. GGE Biplot Analysis of Yield Stability in Multi-Environment Trials of Lentil Genotypes under Rainfed Condition. Not. Sci. Biol. 2013, 5, 256–262. [Google Scholar] [CrossRef]
  8. Piepho, H.P.; Nazir, M.F.; Qamar, M.; Rattu, A.U.R.; Din, R.U.; Hussain, M.; Ahmad, G.; Subhan, F.E.; Ahmad, J.; Abdullah; et al. Stability Analysis for a Countrywide Series of Wheat Trials in Pakistan. Crop Sci. 2016, 56, 2465–2475. [Google Scholar] [CrossRef]
  9. Xu, F.F.; Tang, F.F.; Shao, Y.F.; Chen, Y.L.; Tong, C.; Bao, J.S. Genotype × Environment Interaction for Agronomic Traits of Rice Revealed by Association Mapping. Rice Sci. 2014, 21, 133–141. [Google Scholar] [CrossRef]
  10. Singh, D.P.; Singh, A.K.; Singh, A. Chapter 24—Participatory plant breeding. In Plant Breeding and Cultivar Development; Singh, D.P., Singh, A.K., Singh, A., Eds.; Academic Press: London, UK, 2021; pp. 483–495. [Google Scholar] [CrossRef]
  11. Burman, D.; Maji, B.; Singh, S.; Mandal, S.; Sarangi, S.K.; Bandyopadhyay, B.K.; Bal, A.R.; Sharma, D.K.; Krishnamurthy, S.L.; Singh, H.N.; et al. Participatory evaluation guides the development and selection of farmers’ preferred rice varieties for salt- and flood-affected coastal deltas of South and Southeast Asia. Field Crops Res. 2018, 220, 67–77. [Google Scholar] [CrossRef] [PubMed]
  12. Ceccarelli, S.; Grando, S. Participatory plant breeding: Who did it, who does it and where? Exp. Agric. 2020, 56, 1–11. [Google Scholar] [CrossRef]
  13. Fatondji, B.Y.; Adoukonou-Sagbadja, H.; Sognigbe, N.; Gandonou, C.; Vodouhè, R.S. Farmers’ preferences for varietal traits, their knowledge and perceptions in traditional management of drought constraints in rice cropping in Benin: Implications for rice breeding. J. Agric. Sci. 2020, 12, 56–77. [Google Scholar] [CrossRef]
  14. Pak, R.J. Combination of importance-performance analysis and response surface methodology for enhancing satisfaction. Int. J. Qual. Reliab. Manag. 2016, 33, 780–792. [Google Scholar] [CrossRef]
  15. Castilla, N.P.; Stuart, A.M.; Makara, O.; Sathya, K.; Somany, S.; Kumar, V.; Hadi, B.A.R. Characterization of cropping practices, pest constraints, and yield variation in irrigated lowland rice of Cambodia. Crop Prot. 2020, 135, 104906. [Google Scholar] [CrossRef]
  16. Gallet, R.; Bonnot, F.; Milazzo, J.; Tertois, C.; Adreit, H.; Ravigné, V.; Tharreau, D.; Fournier, E. The variety mixture strategy assessed in a GXG experiment with rice and the blast fungus Magnaporthe oryzae. Front Genet. 2014, 4, 1–11. [Google Scholar] [CrossRef] [PubMed]
  17. Lacoste, M.; Williams, R.; Erskine, W.; Nesbitt, H.; Pereira, L.; Marçal, A. Varietal diffusion in marginal seed systems: Participatory trials initiate change in East Timor. J. Crop. Improv. 2012, 26, 468–488. [Google Scholar] [CrossRef]
  18. Kuruma, R.W.; Sheunda, P.; Kahwaga, C.M. Yield stability and farmer preference of cowpea (Vigna unguiculata) lines in semi-arid Eastern Kenya. Afrika Focus 2019, 32, 65–82. [Google Scholar] [CrossRef]
  19. Heong, K.L. Situation of Planthoppers in Asia; International Rice Research Institute: Los Banos, Philippines, 2009; pp. 191–220. [Google Scholar]
  20. Liu, S.H.; Yang, B.J.; Liu, S.; Ding, Z.P.; Liu, Z.W.; Tang, J. Effects of sublethal dose of imidacloprid and pymetrozine on relative biological fitness of brown planthopper, Nilaparvata lugens. J. Rice Sci. 2012, 26, 361–364. [Google Scholar] [CrossRef]
  21. Singh, R.; Sunder, S.; Dodan, D.S. Evaluation of scented rice genotypes to blast and its management with fungicides. J. Mycol. Plant Pathol. 2004, 34, 280–281. [Google Scholar]
  22. Akhtar, M.A.; Zakria, M.; Abbasi, F.M. Trends in occurrence of bacterial blight of rice in Pakistan. Pak. J. Phytopathol. 2004, 6, 69–71. [Google Scholar]
  23. Perumalsamy, S.; Bharani, M.; Sudha, M.; Nagarajan, P.; Arul, L.; Sarawathi, R.; Balasubramaninan, P.; Ramalingam, J. Functional marker-assisted selection for bacterial leaf blight resistance genes in rice (Oryza sativa L.). Plant Breed. 2010, 129, 400–406. [Google Scholar] [CrossRef]
  24. Sombunjitt, S.; Sriwongchai, T.; Kuleung, C.; Hongtrakul, V. Searching for and analysis of bacterial blight resistance genes from Thailand rice germplasm. Agric. Nat. Resour. 2017, 51, 365–375. [Google Scholar] [CrossRef]
  25. Aristya, V.E.; Taryono; Trisyono, Y.A.; Mulyo, J.H. Stakeholder preferences on major characteristics of promising rice lines. IOP Conf. Ser. Earth Environ. Sci. 2021, 686, 012056. [Google Scholar] [CrossRef]
  26. Atlin, G.N.; Cooper, M.; Bjørnstad, A. A comparison of formal and participatory breeding approaches using selection theory. Euphytica 2001, 122, 463–475. [Google Scholar] [CrossRef]
  27. Almekinders, C.; Elings, A. Collaboration of farmers and breeders: Participatory crop improvement in perspective. Euphytica 2001, 122, 425–438. [Google Scholar] [CrossRef]
  28. Singh, Y.P.; Nayak, A.K.; Sharma, D.K.; Gautam, R.K.; Singh, R.K.; Singh, R.; Mishra, V.K.; Paris, T.; Ismail, A.M. Farmers’ participatory varietal selection: A sustainable crop improvement approach for the 21st century. Agroecol. Sustain. Food Syst. 2013, 38, 427–444. [Google Scholar] [CrossRef]
  29. Greene, W.H. Econometric Analysis; Prentice-Hall, Upper Saddle River: New Jersey, NJ, USA, 1997. [Google Scholar]
  30. Bellon, M.R.; Smale, M.; Aguirre, A.; Taba, S.; Aragón, F.; Díaz, J.; Castro, H. Identifying Appropriate Germplasm for Participatory Breeding: An Example from the Central Valleys of Oaxaca, Mexico; CIMMYT Economics Working Paper 00-03; International Maize and Wheat Improvement Center (CIMMYT): Mexico City, Mexico, 2000; 15p. [Google Scholar]
  31. IRRI (International Rice Research Institute). Rice: A Practical Guide to Nutrient Management, 2nd ed.; International Rice Research Institute: Los Banos, Philippines, 2007; 89p. [Google Scholar]
  32. IRRI (International Rice Research Institute). Step to Successful Rice Production; International Rice Research Institute: Los Banos, Philippines, 2015; 27p. [Google Scholar]
  33. IRRI (International Rice Research Institute). Step-by-Step Production. 2019. Available online: http://www.knowledgebank.irri.org/step-by-step-production (accessed on 11 January 2019).
  34. Mattson, D.E. Statistics-Difficult Concepts Understandable Explanations; Bolchazy-Carducci Pub. Inc.: Rome, Italy, 1986; pp. 281–283. [Google Scholar]
  35. Bioversity International; IRRI; WARDA. Descriptors for Wild and Cultivated Rice (Oryza spp.); Bioversity International: Rome, Italy; International Rice Research Institute:: Los Banos, Philippines; WARDA Africa Rice Cente: Cotonou, Benin, 2007; 64p. [Google Scholar]
  36. IRRI (International Rice Research Institute). Standard Evaluation System for Rice, 4nd ed.; International Rice Research Institute: Los Banos, Philippines, 1996; 52p. [Google Scholar]
  37. Ministry of Agriculture. Technical Guidelines for Observing and Reporting on Plant Pests and the Impacts of Climate Change; Ministry of Agriculture: Jakarta, Indonesia, 2018; 139p.
  38. Azzopardi, E.; Nash, R. A critical evaluation of importance–performance analysis. Tour. Manag. 2013, 35, 222–233. [Google Scholar] [CrossRef]
  39. Keith, S.J.; Boley, B.B. Importance-performance analysis of local resident greenway users: Findings from Three Atlanta BeltLine Neighborhoods. Urban Urban Green. 2019, 44, 126426. [Google Scholar] [CrossRef]
  40. Singh, R.K.; Chaudhary, B.D. Biometrical Methods in Quantitative Genetics Analysis; Kalyani Publishers Indiana: New Delhi, India, 1977; 304p. [Google Scholar]
  41. Steel, R.; Torrie, J. Principles and Procedures of Statistics a Biometrical Approach, 2nd ed.; Mc Graw-Hill Inc.: New York, NY, USA, 1980; pp. 471–472. [Google Scholar]
  42. Mocanda, M.P.; Gabriels, D.; Cornelis, W.M. Data-Driven Analysis of Soil Quality Parameters using Limited Data. Geoderma 2014, 235–236, 271–278. [Google Scholar] [CrossRef]
  43. SAS Institute Inc. Base SAS® 9.4. Procedures Guide: Statistical Procedures, 2nd ed.; SAS Institute Inc.: Cary, NC, USA, 2013. [Google Scholar]
  44. Gabriel, K.R. The Biplot Graphic Display of Matrices with Application to Principal Component Analysis. Biometrica 1971, 58, 453–467. [Google Scholar] [CrossRef]
  45. Yan, W. GGEbiplot. 2021. Available online: http://www.ggebiplot.com/biplot.htm (accessed on 7 May 2020).
  46. Srivastava, A.K.; Saxena, D.R.; Saabale, P.R.; Raghuvanshi, K.S.; Anandani, V.P.; Singh, R.K.; Sharma, O.P.; Wasinikar, A.R.; Sahni, S.; Varshney, R.K.; et al. Delineation of Genotype-by-Environment interactions for identification and validation of resistant genotypes in chickpea to Fusarium wilt using GGE biplot. Crop Prot. 2020, 144, 105571. [Google Scholar] [CrossRef]
  47. Manzanilla, D.O.; Paris, T.R.; Vergara, G.V.; Ismail, A.M.; Pandey, S.; Labios, R.V.; Tatlonghari, G.T.; Acda, R.D.; Chi, T.T.N.; Duoangsila, K.; et al. Submergence risks and farmers’ preferences: Implications for breeding Sub1 rice in Southeast Asia. Agr. Syst. 2011, 104, 335–347. [Google Scholar] [CrossRef]
  48. Asuming-Brempong, S.; Gyasi, K.O.; Marfo, K.A.; Diagne, A.; Wiredu, A.N.; Asuming, B.A.; Haleegoah, J.; Frimpong, B.N. The exposure and adoption of New Rice for Africa (NERICAs) among Ghanaian rice farmers: What is the evidence? Afr. J. Agric. Res. 2011, 6, 5911–5917. [Google Scholar] [CrossRef]
  49. Akudugu, M.A.; Guo, E.; Dadzie, S.K. Adoption of modern agricultural production technologies by farm households in Ghana: What factors influence their decisions? Biol. Agric. Healthcare 2012, 2, 1–14. [Google Scholar]
  50. Asante, M.D.; Asante, B.O.; Acheampong, G.K.; Offei, S.K.; Gracen, V.; Adu-Dapaah, H.; Danquah, E.Y. Farmer and consumer preferences for rice in the Ashanti region of Ghana: Implications for rice breeding in West Africa. JPBCS 2013, 5, 229–238. [Google Scholar]
  51. Ghimire, R.; Wen-Chi, H.; Shrestha, R.B. Factors affecting adoption of improved rice varieties among rural farm households in Central Nepal. Rice Sci. 2015, 22, 35–43. [Google Scholar] [CrossRef]
  52. Bottreall, D.G.; Schoenly, K.G. Resurrecting the ghost of green revolution past: The brown planthopper as a recurring threat to high-yielding rice production in tropical Asia. J. Asia-Pasific Entomol. 2012, 15, 122–140. [Google Scholar] [CrossRef]
  53. Cheng, X.; Zhu, L.; He, G. Toward understanding of molecular interaction between rice and brown planthopper. Mol Plant. 2013, 6, 621–634. [Google Scholar] [CrossRef]
  54. Londingkene, J.A.; Trisyono, Y.A.; Witjaksono; Martono, E. Resistance to imidacloprid and effect of three synergists on the resistance level of brown planthopper. AIP Conf. Proc. 2016, 1755, 140008. [Google Scholar] [CrossRef]
  55. Islam, M.R.; Alam, M.S.; Khan, A.I.; Hossain, I.; Adam, L.R.; Daayf, F. Analyses of genetic diversity of bacterial blight pathogen, Xanthomonas oryzae pv. oryzae using IS1112 in Bangladesh. Comptes Rendus Biol. 2016, 339, 399–407. [Google Scholar] [CrossRef]
  56. Ghazanfar, M.U.; Habib, A.; Sahi, S.T. Screening of rice germplasm against Pyricularia oryzae the cause of rice blast disease. Pak. J. Phytopathol. 2009, 21, 41–44. [Google Scholar]
  57. Kumar, S.; Singh, S.S.; Singh, A.K.; Elanchezhian, R.; Sangale, U.R.; Sundaram, P.K. Evaluation of rice genotypes for resistance to blast disease under rainfed lowland ecosystem. J. Plant Dis. Sci. 2012, 7, 175–178. [Google Scholar]
  58. Veasey, E.A.; da Silva, E.F.; Schammass, E.A.; Oliveira, G.C.X.; Ando, A. Morphoagronomic genetic diversity in American Wild Rice Species. Braz. Arch. Biol. Technol. 2008, 51, 95–104. [Google Scholar] [CrossRef][Green Version]
  59. Do-Nascimento, W.F.; da-Silva, E.F.; Veasey, E.A. Agro-morphological characterization of upland rice accessions. Sci. Agric. 2011, 68, 652–660. [Google Scholar] [CrossRef]
  60. Yan, W.; Kang, M.S. GGE Biplot Analysis: A Graphical Tool for Breeders, Geneticists, and Agronomists; CRC Press: Boca Raton, FL, USA; London, UK; New York, NY, USA, 2003. [Google Scholar]
  61. Jaruchai, W.; Monkham, T.; Chankaew, S.; Suriharn, B.; Sanitchon, J. Evaluation of stability and yield potential of upland rice genotypes in North and Northeast Thailand. J. Integr. Agric. 2018, 17, 28–36. [Google Scholar] [CrossRef]
  62. Takai, T.; Lumanglas, P.; Simon, E.V.; Arai-Sanoh, Y.; Asai, H.; Kobayashi, N. Identifying key traits in high-yielding rice cultivars for adaptability to both temperate and tropical environments. Crop J. 2019, 7, 685–693. [Google Scholar] [CrossRef]
  63. Samonte, S.O.P.B.; Tabien, R.E.; Wilson, L.T. Parental Selection in Rice Cultivar Improvement. Rice Sci. 2013, 20, 45–51. [Google Scholar] [CrossRef]
  64. Smith, C.M. Conventional breeding of insect-resistant crop plants: Still the best way to feed the world population. Curr. Opin. Insect. Sci. 2021, 45, 7–13. [Google Scholar] [CrossRef] [PubMed]
  65. Qiu, Y.; Guo, J.; Jing, S.; Tang, M.; Zhu, L.; He, G. Identification of antibiosis and tolerance in rice varieties carrying brown planthopper resistance genes. Entomol. Exp. Appl. 2011, 141, 224–231. [Google Scholar] [CrossRef]
  66. Ali, M.P.; Huang, D.; Nachman, G.; Ahmed, N.; Begum, M.A.; Rabbi, M.F. Will Climate Change Affect Outbreak Patterns of Planthoppers in Bangladesh? PLoS ONE 2014, 9, e91678. [Google Scholar] [CrossRef]
  67. Rahman, M.A.; Thant, A.A.; Win, M.; Tun, M.S.; Moet Moet, P.; Thu, A.M.; Win, K.T.; Myint, T.; Myint, O.; Tuntun, Y.; et al. Participatory varietal selection (PVS): A “bottom-up” breeding approach helps rice farmers in the Ayeyarwady Delta, Myanmar. SABRAO J. Breed. Genet. 2015, 47, 299–314. [Google Scholar]
Figure 1. Importance Performance Analysis (IPA) for promising rice lines.
Figure 1. Importance Performance Analysis (IPA) for promising rice lines.
Sustainability 13 06856 g001
Figure 2. The yield of promising rice lines (Lines: 1 = Gamapadi-1; 2 = Gamapadi-2; 3 = Gamapadi-3; 4 = Gamapadi-4; 5 = Gamapadi-5; 6 = Gamapadi-6; 7 = Gamapadi-7; 8 = Gamapadi-8; 9 = Gamapadi-9; 10 = Gamapadi-10; 11 = BP 20713d-SKI-24-8-2; 12 = BP 20314d-SKI-16-1-2; 13 = BP 30475b-SKI-6-4-3; 14 = Inpari 33; 15 = Inpari 30 Ciherang Sub 1. Location: 1 = Banyumas; 2 = Klaten; 3 = Batang).
Figure 2. The yield of promising rice lines (Lines: 1 = Gamapadi-1; 2 = Gamapadi-2; 3 = Gamapadi-3; 4 = Gamapadi-4; 5 = Gamapadi-5; 6 = Gamapadi-6; 7 = Gamapadi-7; 8 = Gamapadi-8; 9 = Gamapadi-9; 10 = Gamapadi-10; 11 = BP 20713d-SKI-24-8-2; 12 = BP 20314d-SKI-16-1-2; 13 = BP 30475b-SKI-6-4-3; 14 = Inpari 33; 15 = Inpari 30 Ciherang Sub 1. Location: 1 = Banyumas; 2 = Klaten; 3 = Batang).
Sustainability 13 06856 g002
Figure 3. Finlay–Wilkinson analysis (Lines: 1 = Gamapadi-1; 2 = Gamapadi-2; 3 = Gamapadi-3; 4 = Gamapadi-4; 5 = Gamapadi-5; 6 = Gamapadi-6; 7 = Gamapadi-7; 8 = Gamapadi-8; 9 = Gamapadi-9; 10 = Gamapadi-10; 11 = BP 20713d-SKI-24-8-2; 12 = BP 20314d-SKI-16-1-2; 13 = BP 30475b-SKI-6-4-3; 14 = Inpari 33; 15 = Inpari 30 Ciherang Sub 1).
Figure 3. Finlay–Wilkinson analysis (Lines: 1 = Gamapadi-1; 2 = Gamapadi-2; 3 = Gamapadi-3; 4 = Gamapadi-4; 5 = Gamapadi-5; 6 = Gamapadi-6; 7 = Gamapadi-7; 8 = Gamapadi-8; 9 = Gamapadi-9; 10 = Gamapadi-10; 11 = BP 20713d-SKI-24-8-2; 12 = BP 20314d-SKI-16-1-2; 13 = BP 30475b-SKI-6-4-3; 14 = Inpari 33; 15 = Inpari 30 Ciherang Sub 1).
Sustainability 13 06856 g003
Figure 4. GGE biplot polygon with which-won-where pattern in the lines and the environment.
Figure 4. GGE biplot polygon with which-won-where pattern in the lines and the environment.
Sustainability 13 06856 g004
Figure 5. AEC result based on environment focused scaling of mean yield and genotype stability.
Figure 5. AEC result based on environment focused scaling of mean yield and genotype stability.
Sustainability 13 06856 g005
Figure 6. GGE biplot based on genotype focused scaling.
Figure 6. GGE biplot based on genotype focused scaling.
Sustainability 13 06856 g006
Figure 7. (a). Reaction of promising rice lines to brown planthopper (Nilaparvata lugens): Sustainability 13 06856 i001 = No symptoms of damage, no population found. (b). Reaction of promising rice lines to leaf blast (Pyricularia oryzae): Sustainability 13 06856 i002 = No infection/symptoms; Sustainability 13 06856 i003 = Spotting in the form of a needle point or several mm but not elliptical in shape; Sustainability 13 06856 i004 = Elliptical patches, size 2–20 mm, leaf surface area infected by 2%; Sustainability 13 06856 i005 = Surface area of infected leaves >2–<10%; Sustainability 13 06856 i006 = Surface area of infected leaves >10–<50%. (c). Reaction of promising rice lines to bacterial leaf blight (Xanthomonas oryzae pv. oryzae): Sustainability 13 06856 i007 = No infection/symptoms; Sustainability 13 06856 i008 = Area of symptoms on leaf surface >1–<5%; Sustainability 13 06856 i009 = Area of symptoms on leaf surface >5–<25%; Sustainability 13 06856 i010 = Area of symptoms on leaf surface >25–<50%; Sustainability 13 06856 i011 = Area of symptoms on leaf surface >50–<75%. dap = days after planting; A = Banyumas; B = Klaten; C = Batang.
Figure 7. (a). Reaction of promising rice lines to brown planthopper (Nilaparvata lugens): Sustainability 13 06856 i001 = No symptoms of damage, no population found. (b). Reaction of promising rice lines to leaf blast (Pyricularia oryzae): Sustainability 13 06856 i002 = No infection/symptoms; Sustainability 13 06856 i003 = Spotting in the form of a needle point or several mm but not elliptical in shape; Sustainability 13 06856 i004 = Elliptical patches, size 2–20 mm, leaf surface area infected by 2%; Sustainability 13 06856 i005 = Surface area of infected leaves >2–<10%; Sustainability 13 06856 i006 = Surface area of infected leaves >10–<50%. (c). Reaction of promising rice lines to bacterial leaf blight (Xanthomonas oryzae pv. oryzae): Sustainability 13 06856 i007 = No infection/symptoms; Sustainability 13 06856 i008 = Area of symptoms on leaf surface >1–<5%; Sustainability 13 06856 i009 = Area of symptoms on leaf surface >5–<25%; Sustainability 13 06856 i010 = Area of symptoms on leaf surface >25–<50%; Sustainability 13 06856 i011 = Area of symptoms on leaf surface >50–<75%. dap = days after planting; A = Banyumas; B = Klaten; C = Batang.
Sustainability 13 06856 g007
Table 1. Description of the study sites.
Table 1. Description of the study sites.
LocationRepresented (Java Island)N LatitudeE LongitudeAltitude (m. asl)
BanyumasSouthern7°32′16″109°6′21″34
KlatenCentral7°37′27″110°36′27″260
BatangNorthern6°53′57″109°45′19″26
Table 2. Promising rice lines and test varieties in three locations.
Table 2. Promising rice lines and test varieties in three locations.
NoLinesNoLines
Advanced lines:9Gamapadi-9
1Gamapadi-110Gamapadi-10
2Gamapadi-211BP 20713d-SKI-24-8-2
3Gamapadi-312BP 20314d-SKI-16-1-2
4Gamapadi-413BP 30475b-SKI-6-4-3
5Gamapadi-5 Released lines:
6Gamapadi-614Inpari 33
7Gamapadi-715Inpari 30 Ciherang Sub 1
8Gamapadi-8
Table 3. Soil and climate data of Batang, Klaten, and Banyumas.
Table 3. Soil and climate data of Batang, Klaten, and Banyumas.
LocationSoil DataClimatic Data
Soil TypeSand (%)Silt (%)Clay (%)H2O pH Temperature (°C/day)Humidity (%/day)Wind (km/h)Rainfalls (mm/year)
BanyumasAlluvial11.2036.7852.025.6223.93–31.3980.269.616158
KlatenRegosol34.6448.3117.055.3222.83–31.0780.0710.072454
BatangAlluvial20.3825.8553.775.7325.07–30.5180.6812.821856
Table 4. Characteristics of farmers.
Table 4. Characteristics of farmers.
LocationMaleFemaleAge (Year)Education (Year)Farming Experience (Year)Land Tenure (ha)
n%n%
Banyumas3271.111328.8947.6212.1813.060.34
Klaten1756.671343.3354.1712.1916.480.61
Batang2862.221737.7850.899.4517.611.35
Mean (Total)(77)64.17(43)35.8350.5211.1215.850.82
Table 5. Value of farmers’ average attribute.
Table 5. Value of farmers’ average attribute.
RegencyThe Attributes Data
Rice ProductivityDisease ResistancePest Resistance
Banyumas3.663.383.36
Klaten3.373.092.98
Batang3.523.273.30
Mean3.533.273.24
Note: The higher value indicates the lines most favored by farmers. Range scoring (1 = very unimportant to 5 = very important).
Table 6. Analysis of variance of promising rice lines productivity.
Table 6. Analysis of variance of promising rice lines productivity.
Source of VariationDFSum of SquaresMean SquareF Value
Locations28737.243,686 **45.49
Rep (Locations)616,539.22756.5 *2.87
Lines14104,3887456.3 **7.76
Locations x Lines28108,295.43867.7 **4.03
Error8480,663.6960.3
Total134397,258.1
R-SquareC VRoot MSEYield Mean
0.7969516.92941979.93845788.38
** Significance at p ≤ 0.01 and * significance at p > 0.05.
Table 7. Mean yield (t/ha) of promising rice line tested in three locations.
Table 7. Mean yield (t/ha) of promising rice line tested in three locations.
LinesBanyumasKlatenBatangMean
Gamapadi-13.86e(A)5.12bc(A)4.33c-e(A)4.44f
Gamapadi-28.91a(A)7.74a(B)4.90b–e(B)7.18a
Gamapadi-37.59a-c(A)6.87ab(A)4.05de(B)6.17a–d
Gamapadi-47.57a-c(A)6.65a-c(A)6.72a(A)6.98ab
Gamapadi-54.57de(A)5.64a-c(A)5.09b–e(A)5.10d-f
Gamapadi-64.51de(A)4.78bc(A)5.17a-e(A)4.82ef
Gamapadi-77.73ab(A)4.42c(B)5.86a-d(AB)6.01b-d
Gamapadi-84.23e(A)4.94bc(A)3.97e(A)4.38f
Gamapadi-95.99cd(A)4.83bc(AB)3.75e(B)4.86ef
Gamapadi-107.98ab(A)4.28c(B)4.61c-e(B)5.62c-e
BP 20713d-SKI-24-8-26.93bc(A)5.19bc(AB)4.29cde(B)5.47d-f
BP 20314d-SKI-16-1-28.14ab(A)6.40a-c(AB)5.23a–e(B)6.59a-c
BP 30475b-SKI-6-4-38.67ab(A)5.93a-c(B)4.07de(B)6.23a-c
Inpari 338.13ab(A)5.17bc(B)6.09abc(B)6.46a-c
Inpari 30 Ciherang Sub 18.46ab(A)4.58bc(B)6.52ab(AB)6.52a-c
Mean6.88A5.50B4.98C-
Note: Means with the same lowercase letters in the same column or the same capital letters in the same row are not significantly different based on DMRT (alpha 0.05).
Publisher’s Note: MDPI stays neutral with regard to jurisdictional claims in published maps and institutional affiliations.

Share and Cite

MDPI and ACS Style

Aristya, V.E.; Trisyono, Y.A.; Mulyo, J.H.; Taryono, T. Participatory Varietal Selection for Promising Rice Lines. Sustainability 2021, 13, 6856. https://doi.org/10.3390/su13126856

AMA Style

Aristya VE, Trisyono YA, Mulyo JH, Taryono T. Participatory Varietal Selection for Promising Rice Lines. Sustainability. 2021; 13(12):6856. https://doi.org/10.3390/su13126856

Chicago/Turabian Style

Aristya, Vina Eka, Y. Andi Trisyono, Jangkung Handoyo Mulyo, and Taryono Taryono. 2021. "Participatory Varietal Selection for Promising Rice Lines" Sustainability 13, no. 12: 6856. https://doi.org/10.3390/su13126856

APA Style

Aristya, V. E., Trisyono, Y. A., Mulyo, J. H., & Taryono, T. (2021). Participatory Varietal Selection for Promising Rice Lines. Sustainability, 13(12), 6856. https://doi.org/10.3390/su13126856

Note that from the first issue of 2016, this journal uses article numbers instead of page numbers. See further details here.

Article Metrics

Back to TopTop