Next Article in Journal
Global Action on SDGs: Policy Review and Outlook in a Post-Pandemic Era
Next Article in Special Issue
Enhancing Phosphorus Recovery and Dewaterability of Waste Activated Sludge for Combined Effect of Thermally Activated Peroxydisulfate and Struvite Precipitation
Previous Article in Journal
Factors Influencing Young Drivers’ Willingness to Engage in Risky Driving Behavior: Continuous Lane-Changing
 
 
Font Type:
Arial Georgia Verdana
Font Size:
Aa Aa Aa
Line Spacing:
Column Width:
Background:
Article

Preparation of Cellulose/Chitin Blend Materials and Influence of Their Properties on Sorption of Heavy Metals

1
School of Civil Engineering, Wuhan University, Wuhan 430072, China
2
School of Hydraulic Engineering, Wuhan University, Wuhan 430072, China
*
Author to whom correspondence should be addressed.
Sustainability 2021, 13(11), 6460; https://doi.org/10.3390/su13116460
Submission received: 30 April 2021 / Revised: 4 June 2021 / Accepted: 4 June 2021 / Published: 7 June 2021
(This article belongs to the Special Issue Advanced Treatment and Sustainable Utilization of Sewage Water)

Abstract

A series of biodegradable cellulose/chitin materials (beads and membranes) were successfully prepared by mixing cellulose with chitin in an NaOH/thiourea–water system and coagulation in a H2SO4 solution. The effects of chitin content on the materials’ mechanical properties, morphology, structure, and sorption ability for heavy metal ions (Pb2+, Cd2+, and Cu2+) were studied by tensile tests, scanning electron micrographs, Fourier transform infrared spectroscopy, and atomic absorption spectrophotometry. The results revealed that the cellulose/chitin blends exhibited relatively good mechanical properties, a homogeneous, microporous mesh structure, and the existence of strong hydrogen bonds between molecules of cellulose and chitin when the chitin content was less than 30 wt%, which indicated a good compatibility of the cellulose/chitin materials. Furthermore, in the same chitin content range, Pb2+, Cd2+, and Cu2+ can be adsorbed efficiently onto the cellulose/chitin beads at pH0 = 5, and the sorption capacity of the beads is more than that of chitin flakes. This shows that the hydrophilicity and microporous mesh structure of the blends are favorable for the kinetics of sorption. Preparation of environmentally friendly cellulose/chitin blend materials provides a simple and economical way to remove and recover heavy metals, showing a potential application of chitin as a functional material.

1. Introduction

Although the utilization of synthetic polymers extracted from petroleum resources has had a sizable influence on the world economy, the problem of petroleum resource shortages and environmental pollution from the waste of non-biodegradable synthetic polymers, which are mainly derived from petroleum resources, is becoming increasingly serious [1]. Therefore, the importance of research and exploitation of new materials based on natural polymers has been recognized in many countries [2]. Abundant biodegradable polymers in nature such as cellulose, chitin, lignin, starch, and various animal and plant proteins, which possess various functional groups and are available in large quantities, may have potential for the development of new materials by physical or chemical modification. Polymer blending is an easy, simple, and convenient method to develop new materials with excellent properties for practical use. Furthermore, the cost could be greatly reduced when using polymer blending for research and exploitation of new materials [3]. Nowadays, polymer mixtures or blends are widely used materials in modern industry. They represent one of the most rapidly growing areas in polymer material science [4].
Today, the global environmental problem is becoming increasingly serious with rapid population growth, the acceleration of industrialization, and the use of new toxic chemicals. The issue of heavy metal pollution has attracted great attention. Heavy metals are widely used in many industries, such as electroplating, printing and dyeing, oil paints, electrolysis, pesticides, and medicine. Most heavy metals are toxic, carcinogenic, and can be accumulated and transferred in living organisms. Wastewater containing heavy metals, when discharged into aquatic bodies, poses a serious threat to human health and the survival of animals and plants, even if the heavy metals are present in trace quantities [5]. To remove heavy metals from wastewater, various conventional treatment methods have been employed, including chemical precipitation [6], distillation [7], ion exchange [8], adsorption [9], reverse osmosis [10], electrolysis [11], etc. However, these techniques have certain deficiencies such as high cost, low efficiency, high energy requirements, operational complexity, and large-scale generation of sludge or toxic waste materials, which may require special treatment [12]. Hence, environmentally friendly methods with low cost and high efficiency are necessary for removing toxic metals from wastewater. Biosorption of heavy metal ions has been regarded as one of the most reliable and efficient methods. Natural polymer materials that are obtained in great quantities, or certain kinds of waste products from industrial or agricultural processes, including various bacteria [13], yeast [14], fungi [15], algae [16], etc., may have potential as inexpensive biosorbents.
Cellulose is the most abundant natural polymer material in nature and is mainly found in trees, cotton, hemp, cereal plants, and other higher plants. As a biocompatible carrier, cellulose has special properties, such as being non-toxic, safe, hydrophilic, and biodegradable and possessing high chemical stability, good mechanical strength, and low cost [17]. It is widely used in food, medicine, construction, papermaking, wastewater treatment, printing, electronics, and other fields [18,19]. Chitin is the second most abundant resource (after cellulose) in nature, has a similar chemical structure to cellulose, and may be considered cellulose with C-2 hydroxyl replaced by an acetamido. Chitin mainly comes from the exoskeletons of arthropods (shrimp, crabs, and insects) and the cell walls of some fungi, algae, etc. Figure 1 shows the chemical structures of cellulose and chitin.
Chitin and chitosan (deacetylation of chitin) are regarded as good metal ligands. They can form coordination complexes with heavy metal ions. It has been reported that stable complexes are formed between the N-acetyl group in chitin and the heavy metal ions [20]. However, there are some problems with directly applying chitin in flake shape, such as the separation of chitin after sorption, mass loss after regeneration, low strength, and small size, which make it difficult to employ in column utilizations [21]. Furthermore, the solubility of chitin is very low in lots of solvents, and it is extremely brittle, causing limitations in its reactivity and processability for application. In a previous study, a novel aqueous solvent system, NaOH/thiourea–water solution, was successfully developed, which can dissolve cellulose to obtain a transparent solution. Regenerated cellulose membranes obtained in this solution system exhibited good mechanical properties and microporous structure with high porosity [22]. These characteristics can help us to develop cellulose-based bioaffinity functional materials with good performance. In a previous work, cellulose/chitin blend membranes containing 4.6 to 19.3 wt% chitin were prepared, which had a certain degree of compatibility within the experimental weight ratios [23].
In the present work, we aim to prepare cellulose/chitin blend materials (beads and membranes) containing 10 to 70 wt% chitin in an NaOH/thiourea–water solution system. The mechanical properties of the cellulose/chitin membranes were tested, and the morphology and structure of the blend beads were studied by scanning electron microscopy (SEM) and Fourier transform infrared spectroscopy (FTIR). The ability of the cellulose/chitin beads to adsorb Pb2+, Cd2+, and Cu2+ in aqueous solutions was also investigated by atomic absorption spectrophotometry (AAS) and discussed. This work should provide an easy and economical way to potentially apply chitin as a functional material.

2. Materials and Methods

2.1. Materials

Cotton linters (cellulose) were provided by Hubei Chemical Fiber Group Ltd., China. The intrinsic viscosity ([η]) of the cellulose at 25 ± 0.1 °C was measured in cadoxen by using viscometry, and the value of viscosity-average molecular weight (Mη) was calculated to be 1.03 × 105 according to the equation [η] = 3.85 × 10−2 Mw0.76 (mL/g) [24]. Chitin flakes was provided by Zhenjiang Yuhuan Co. Ltd., China, and their intrinsic viscosity ([η]) at 25 ± 0.1 °C was tested by using viscometry in N,N-dimethylacetamide (DMAc) containing 5 wt% LiCl. The viscosity-average molecular weight (Mη) of the chitin was 1.4 × 106 in terms of the following equation [η] = 2.4 × 10−2 Mw 0.69 (mL/g) [25]. According to the equation DA (%) = 1 − [(WC/WN − 5.14)/1.72] × 100% from the nitrogen content, where WC/WN is the weight ratio of carbon to nitrogen in chitin, the degree of acetylation (DA) of the chitin was 73% [26]. The chemical reagents used in the experiments were of analytical grade and were supplied by Shanghai Chemical Reagent Co., Ltd., Shanghai, China.

2.2. Preparation of Cellulose/Chitin Membranes

According to previous works, we prepared about 4 wt% cellulose solution and 2 wt% chitin solution [22,23]. Eight grams of cotton linters was dispersed completely in 192 g–6 wt% NaOH/5 wt% thiourea–water solution, and it was then placed below −8 °C for about 8 h. After that, it was thawed with intense agitation at room temperature for 1 h to obtain a 4 wt% transparent cellulose solution. Two grams of chitin flakes was immersed entirely in 30 g–46 wt% NaOH–water solution, and it was then placed below −0 °C for about 10 h. Afterwards, 68 g of ice pieces was added, and the mixture was thawed with strong stirring at room temperature for 1 h to obtain 2 wt% clear chitin solution. A mixture of the cellulose and chitin solutions, containing 0, 10, 20, 30, 40, 50, 60, and 70 wt% chitin, was subjected to uniform mixing and total degassing. Then, the resulting mixture was cast on a glass plate to form a gel layer with a thickness of 0.2–0.3 mm, and immersed soon after in a 5 wt% H2SO4 water solution for coagulation for about 5 min. The resulting membranes were washed in running water, and then dried in air. The ratio of chitin content was calculated according to the following equation:
P   ( % ) = W c h i t i n × 2   w t % W c e l l u l o s e × 4   w t %   + W c h i t i n × 2   w t % × 100   %
where P is the ratio of chitin content in the membrane. Wcellulose and Wchitin are the weight of the cellulose solution and the chitin solution, respectively. Accordingly, the prepared membranes containing 0, 10, 20, 30, 40, 50, 60, and 70 wt% chitin were coded as RCM, M-1, M-2, M-3, M-4, M-5, M-6, and M-7.

2.3. Preparation of Cellulose/Chitin Beads

The cellulose/chitin beads were obtained by uniform mixing of 4 wt% transparent cellulose solution and 2 wt% clear chitin solution according to the above procedure. A mixture of cellulose and chitin solutions, containing 0, 10, 20, 30, 40, 50, 60, and 70 wt% chitin, was prepared by stirring and degassing. The resulting mixture was injected into a cylinder to extrude a fiber with a diameter of 0.3 mm. The fibers obtained were coagulated in a 5 wt% H2SO4 solution for 5 min and then washed using distilled water. After that, the fibers were cut into small beads with length ranging from 0.3 mm to 2.0 mm. In this way, the cellulose/chitin beads were prepared. The beads were stored in a refrigerator before use. Accordingly, the beads obtained containing 0, 10, 20, 30, 40, 50, 60, and 70 wt% chitin were coded as RC, B-1, B-2, B-3, B-4, B-5, B-6, and B-7.

2.4. Characterization

The tensile strength (σb) and elongation at breaking (εb) of the cellulose/chitin membranes (RCM, M-1, M-2, M-3, M-4, M-5, M-6, M-7) in dry and wet states were determined by a universal electronic tensile testing machine (CMT 6503, Shenzhen new Sansi Test Machine Co., Ltd., Shenzhen, China) according to ISO 6239-1993 (E). The test conditions were as follows: 10 mm of sample width, 70 mm of sample length (50 mm between the grips), 5 mm/min of elongation rate. The wet cellulose/chitin membranes were tested soon after by placing them in water for 1 h. The water resistivity of the membranes was calculated in terms of the following equation:
R b = [ σ b   ( wet ) / σ b   ( dry ) ] × 100 %
where Rb is the water resistivity of the membrane. σb (dry) and σb (wet) are the tensile strength (σb) of membranes in dry state and in wet state.
The morphology of the cellulose beads (RC), the chitin flakes, and the cellulose/chitin beads (B-1, B-2, B-3, B-4, B-5) was investigated by scanning electron micrographs on a scanning electron microscope (SEM, Hitachi S-570, Hitachi. Ltd., Tokyo, Japan). The samples were prepared for the SEM experiments by the following steps. The wet samples were frozen in liquid nitrogen, snapped immediately, and then freeze-dried under a vacuum. The cross-section and surface of resulting samples were coated with gold, watched carefully, and photographed.
Fourier transform infrared spectroscopy (FTIR) of the cellulose beads (RC), the chitin flakes, and the cellulose/chitin beads (B-1, B-2, B-3, B-4, B-5) was recorded by a FITR spectrometer (FITR, Perkin-Elmer 1600, PerkinElmer Co., Ltd., Waltham, MA, USA). The samples for FTIR measurement were dried under a vacuum for a day and then cut into powder. The test specimens were prepared by the KBr-disk method.

2.5. Static Sorption

The efficiency of sorption for heavy metal ions in water solutions depends largely upon the initial metal ion concentration. Therefore, the sorption ability of the cellulose/chitin beads for heavy metal ions in water solution was investigated as a function of initial metal ion concentration in this study.
The concentrations of heavy metal ions in the solutions were measured by using an atomic absorption spectrophotometer (AAS, Perkin-Elmer AAS 800, PerkinElmer Co., Ltd., Waltham, Mass., USA). The Pb2+, Cd2+, and Cu2+ stock solutions of 1.0 mg/mL were obtained by dissolving Pb(NO3)2, CdCl2·2.5H2O, and CuCl2·2H2O in distilled water. Then, suitable solution concentrations of the heavy metal ions were obtained by diluting the stock solution (Pb2+, Cd2+, Cu2+). The experiments were performed in some 250 mL conical flask with cover, which contained 0.1 L solution with different concentrations of heavy metal ions. The same amount of sorbents (0.1 g) was added into each conical flask with cover. In order to minimize evaporation of the solution, all the conical flasks were sealed with a cap. The tests were carried out at pH0 = 5 and room temperature for 24 h. The amount of sorption qe (mmol/g), which is the uptake of heavy metal ions adsorbed at equilibrium, was calculated as follows:
q e = ( c 0 c e ) V m
where c0 (mmol/L) and ce (mmol/L) are the initial and the equilibrium concentrations of heavy metal ions, respectively. V (L) is the solution volume, and m (g) is the mass of the sorbents.

3. Results and Discussion

The effect of chitin content (Wchitin) on the tensile strength (σb) and elongation at breaking (εb) of the membranes in dry state is shown in Figure 2.
The results show that the tensile strength (σb) and elongation at breaking (εb) of the membranes increased with an increase in chitin content (Wchitin) in the range of 0–10 wt% in dry state. When the Wchitin was more than 10 wt%, the σb and εb values of the membranes were 72.41 MPa and 5.41%, even higher than that of the RC membranes prepared under the same conditions, which were 52.83 MPa and 2.01%, respectively. These results suggest that there is a strong interaction between molecules of chitin and cellulose in the blend membranes. As the Wchitin was more than 10 wt%, the σb values decreased gradually in dry state. The εb values decreased with an increase in Wchitin in the range of 10–20 wt%, and then remained nearly constant as the Wchitin was more than 20 wt%. In the range of 0–30 wt% chitin content, the tensile strength of the membranes was relatively high, exhibiting good mechanical properties. However, in the range of chitin content from 0 wt% to 70 wt%, the tensile strength of the blend membranes decreased with an increase in the chitin content in wet state (Table 1).
When the content of chitin was more than 30 wt%, the tensile strength of blend membranes in wet state decreased quickly. Therefore, the mechanical properties of the blend membranes are optimal when the chitin content is less than 30 wt%.
Scanning electron micrograph (SEM) images of the chitin flakes, the cellulose beads, and the cellulose/chitin blend beads with different chitin contents are shown in Figure 3.
The surface and cross-section of the chitin flakes present a dense and almost non-porous structure, which makes it difficult for the chitin flakes to adsorb heavy metal ions. The surface and cross-section of the cellulose beads and the cellulose/chitin beads display a microporous mesh structure, which is apparently different from the structure of the chitin flakes. It has been reported that cellulose membranes prepared from an NaOH/thiourea–water solution system exhibited a homogeneous porous network structure and a relatively narrow pore size [27]. However, Figure 3 shows that the pore size of the cellulose beads is smaller than that of the cellulose/chitin blend beads, and there is a rapid increase in pore size in the cellulose/chitin blend beads with an increase in the chitin content. When the content of chitin is less than 30 wt%, the surface and cross-section of the cellulose/chitin beads show a homogeneous microporous mesh structure, suggesting good compatibility of the blending beads and a relatively high specific surface area. However, when the content of chitin is more than 30 wt%, the cross-section and surface of the cellulose/chitin blend beads show a non-homogeneous loose mesh structure, indicating a certain level of phase separation of the blending beads. Therefore, the cellulose/chitin blend beads exhibit a microporous, homogeneous mesh structure when the chitin content is less than 30 wt%, which is consistent with the results of the tensile test.
Fourier transform infrared spectroscopy (FTIR) spectra are a helpful tool to distinguish functional groups in a molecule, as each specific chemical bond often has a unique energy absorption band, and we can obtain structural and bond information on a complex to study the strength and the fraction of hydrogen bonding and compatibility. If two polymers are not completely miscible, the FTIR spectra of the blends are only the simple overlying of the spectra of the two polymers. In addition, if the polymers are miscible, there should be significant differences between the IR spectrum of the blend and the co-addition of the spectra of two components. These differences would be derived from chemical interactions resulting in band shifts, intensity changes, and broadening [28].
Figure 4 shows FTIR spectra (400–4000 cm−1) of the RC beads, the chitin flakes, and the cellulose/chitin blend beads with different chitin contents.
Generally, the –OH stretching vibration sited at around 3436 cm−1 is the major peak of regenerated cellulose [29], and there are three major peaks of α-chitin, which are the –OH stretching vibration sited at around 3446 cm−1, the –NH stretching vibration sited at around 3260 cm−1, and the three sharp bands in the C=O region sited at around 1660 cm−1 (amide I), 1623 cm−1, and 1557 cm−1 (amide II), respectively [30]. Compared with the IR spectra of the cellulose beads and the chitin flakes, it can be found that the –OH bands were broadened and moved to a lower wave number, the –NH bands vanished, and only two sharp bands of amide appeared on the IR spectra of the cellulose/chitin blend beads. The results indicate that relatively strong interactions have occurred between cellulose and chitin in the cellulose/chitin blend beads, which is mainly caused by intermolecular hydrogen bonds. A good compatibility of the blends is reflected by the occurrence of strong intermolecular hydrogen bonding. The FTIR results agree with the conclusion from SEM of the blends.
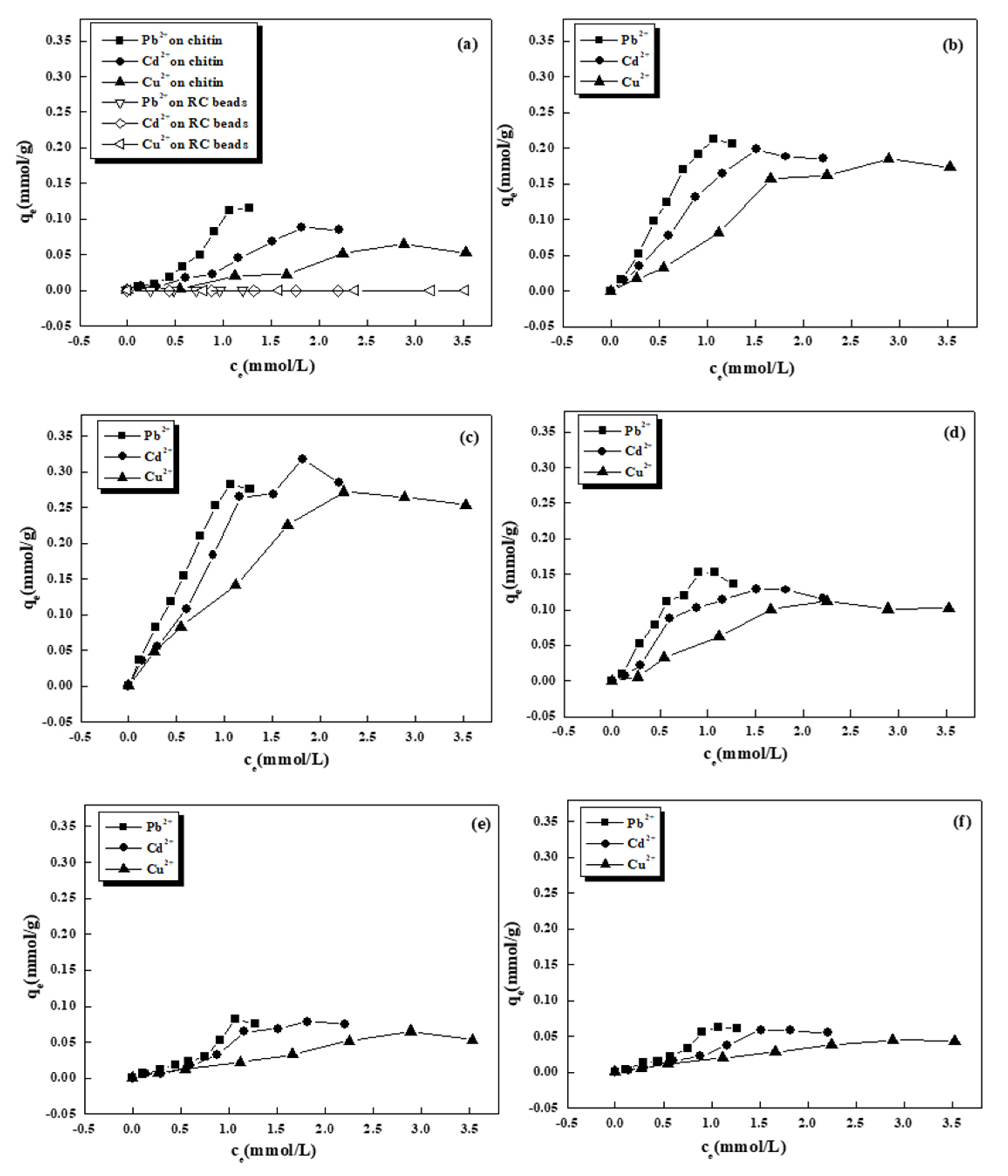
To study the influence of the chitin content on the sorption ability of cellulose/chitin beads for heavy metal ions in water solutions, static sorption experiments of single sorption for heavy metal ions on the cellulose beads, the chitin flakes, and the cellulose/chitin beads with different chitin contents were carried out. The results are given in Figure 5, where the cellulose beads exhibited little sorption ability for these heavy metal ions.
Nevertheless, for the cellulose/chitin beads, the equilibrium adsorption capacity (qe) of these heavy metal ions increased with an increase in the chitin content in the range of 0–20 wt%. When the chitin content was over 20 wt%, the qe values decreased. In particular, when the chitin content was in the range of 0–30 wt%, the qe values of cellulose/chitin blend beads for Pb2+, Cd2+, and Cu2+ were higher than that of chitin flakes, which were 0.121 mmol/g (Pb2+), 0.079 mmol/g (Cd2+), and 0.062 mmol/g (Cu2+) at pH0 = 5. The hydrophilic cellulose skeleton is beneficial for the kinetics of sorption [17]. In addition, the homogeneous and microporous mesh structure of cellulose/chitin blend beads increases the specific surface areas, which can also improve the adsorption capacity. However, when the content of chitin was more than 30 wt%, the qe values of cellulose/chitin blend beads for these heavy metal ions were even lower than that of the chitin flakes. The reason for this is that as the content of chitin is higher, the specific surface areas of the beads obviously decrease due to the large porous size structure caused by phase separation, which can be clearly seen in the SEM images and corresponds to the tensile test results.

4. Conclusions

In this study, a series of cellulose/chitin blend materials (beads and membranes) with different chitin contents have been successfully prepared by mixing cellulose with chitin in a 6 wt% NaOH/5 wt% thiourea–water solution and coagulation in a 5 wt%H2SO4 water solution. The tensile strength (σb) and elongation at breaking (εb) of the membranes increased with an increase in the chitin content (Wchitin) in the range of 0–10 wt%, and then decreased when the Wchitin was over 10 wt% in dry state. In particular, when Wchitin was 10 wt%, the σb and εb values of the membranes were 72.41 MPa and 5.41%, even higher than that of the RC membranes prepared under the same conditions, which were 52.83 MPa and 2.01%, respectively. This suggests that a relatively strong interaction occurs between molecules of chitin and cellulose in the blends. The mechanical properties of the cellulose/chitin membranes are optimal as the chitin content is less than 30 wt%. The SEM images indicated that the porosity and pore size of the cellulose/chitin beads rapidly increased with the increase in chitin content. When the chitin content is less than 30 wt%, the cellulose/chitin blend beads exhibit a homogeneous, dense, microporous mesh structure, which indicates a good compatibility and a relatively larger specific surface area of the blend materials. However, when the Wchitin is over 30 wt%, the blend beads exhibit a non-homogeneous loose mesh structure, showing a certain level of phase separation of the blend materials. The IR spectra revealed that stronger hydrogen bonding existed between molecules of cellulose and chitin in the cellulose/chitin blend beads, especially when the Wchitin was 10 wt%, displaying a good compatibility of the blend materials. The static sorption experiments of single sorption for heavy metal ions (Pb2+, Cd2+, Cu2+) in water solutions showed that the equilibrium adsorption capacity (qe) of these heavy metal ions increased with an increase in the Wchitin in the range of 0–20 wt%, and then the qe values decreased when the Wchitin was over 20 wt%. The cellulose/chitin beads exhibited good sorption ability for heavy metal ions (Pb2+, Cd2+, Cu2+), when the Wchitin was less than 30 wt%, even higher than that of chitin flakes. This could be explained by the hydrophilicity and microporous mesh structure of the cellulose/chitin beads potentially promoting sorption. The cellulose/chitin blend materials possess good mechanical properties, miscibility, larger specific surface area, and higher affinity for heavy metal ions in the chitin content range of 0–30 wt%. Therefore, in future studies, the mechanisms regarding miscibility of cellulose and chitin could be further researched. Moreover, the sorption properties and mechanisms of cellulose/chitin blend beads containing about 20 wt% chitin for more kinds of heavy metal ions could be explored for potential applications of chitin and cellulose. Preparation of cellulose/chitin materials by blending cellulose with chitin provides a simple and economical way to remove and recover heavy metals from wastewater.

Author Contributions

Conceptualization, D.Z.; methodology, D.Z. and H.W.; formal analysis, D.Z.; investigation, S.G.; writing—original draft preparation, D.Z.; writing—review and editing, D.Z. and H.W.; visualization, D.Z. and H.W. All authors have read and agreed to the published version of the manuscript.

Funding

This research received no external funding.

Institutional Review Board Statement

Not applicable.

Informed Consent Statement

Not applicable.

Data Availability Statement

Not applicable.

Acknowledgments

The authors would like to thank the referees and journal editors for their constructive and valuable feedback.

Conflicts of Interest

The authors declare that they have no conflict of interest.

References

  1. Vogl, O.; Jaycox, G.D. ‘Trends in Polymer Science’: Polymer science in the 21st century. Prog. Polym. Sci. 1999, 24, 3–6. [Google Scholar] [CrossRef]
  2. Scott, G. ‘Green’ polymers. Polym. Degrad. Stab. 2000, 68, 1–7. [Google Scholar] [CrossRef]
  3. Sawatari, C.; Kondo, T. Interchain Hydrogen Bonds in Blend Membranes of Poly(vinyl alcohol) and Its Derivatives with Poly(ethylene oxide). Macromolecules 1999, 32, 1949–1955. [Google Scholar] [CrossRef]
  4. Lipatov, Y.S. Polymer blends and interpenetrating polymer networks at the interface with solids. Prog. Polym. Sci. 2002, 27, 1721–1801. [Google Scholar] [CrossRef]
  5. Abdullah, N.; Yusof, N.; Lau, W.J. Recent trends of heavy metal removal from water/wastewater by membrane technologies. J. Ind. Eng. Chem. 2019, 76, 17–38. [Google Scholar] [CrossRef]
  6. Chen, Q.; Yao, Y.; Li, X. Comparison of heavy metal removals from aqueous solutions by chemical precipitation and characteristics of precipitates. J. Water Process. Eng. 2018, 26, 289–300. [Google Scholar] [CrossRef]
  7. Guo, X.; Zhou, Y.; Zha, G. A novel method for extracting metal Ag and Cu from high value-added secondary resources by vacuum distillation. Sep. Purif. Technol. 2020, 242, 116787. [Google Scholar] [CrossRef]
  8. Ntimbani, R.N.; Simate, G.S.; Ndlovu, S. Removal of copper ions from dilute synthetic solution using staple ion exchange fibres: Dynamic studies. J. Environ. Chem. Eng. 2016, 4, 3143–3150. [Google Scholar] [CrossRef]
  9. Jumina; Priastomo, Y.; Setiawan, H.R.; Mutmainah; Kurniawan, Y.S.; Ohto, K. Simultaneous removal of lead (II), chromium (III), and copper (II) heavy metal ions through an adsorption process using C-phenylcalix[4] pyrogallolarene material. J. Environ. Chem. Eng. 2020, 8, 103971. [Google Scholar] [CrossRef]
  10. Li, Y.; Xu, Z.; Liu, S. Molecular simulation of reverse osmosis for heavy metal ions using functionalized nanoporous graphenes. Comput. Mater. Sci. 2017, 139, 65–74. [Google Scholar] [CrossRef]
  11. Nemati, M.; Hosseini, S.M.; Shabanian, M. Novel electrodialysis cation exchange membrane prepared by 2-acrylamido-2-methylpropane sulfonic acid; heavy metal ions removal. J. Hazard. Mater. 2017, 337, 90–104. [Google Scholar] [CrossRef] [PubMed]
  12. Priyadarshanee, M.; Das, S. Biosorption and removal of toxic heavy metals by metal tolerating bacteria for bioremediation of metal contamination: A comprehensive review. J. Environ. Chem. Eng. 2021, 9, 104686. [Google Scholar] [CrossRef]
  13. Choińska-Pulita, A.; Sobolczyk-Bednarek, J.; Łabab, W. Optimization of copper, lead and cadmium biosorption onto newly isolated bacterium using a Box-Behnken design. Ecotoxicol. Environ. Saf. 2018, 149, 275–283. [Google Scholar] [CrossRef] [PubMed]
  14. Trama-Freitas, B.; Freitas, J.C.; Martins, R.C. A study of bio-hybrid silsesquioxane/yeast: Biosorption and neuronal toxicity of lead. J. Biotechnol. 2017, 264, 43–50. [Google Scholar] [CrossRef] [PubMed][Green Version]
  15. Bano, A.; Hussain, J.; Akbar, A. Biosorption of heavy metals by obligate halophilic fungi. Chemosphere 2018, 199, 218–222. [Google Scholar] [CrossRef]
  16. Trana, H.T.; Vu, N.D.; Matsukawa, M. Heavy metal biosorption from aqueous solutions by algae inhabiting rice paddies in Vietnam. J. Environ. Chem. Eng. 2016, 4, 2529–2535. [Google Scholar] [CrossRef]
  17. Gemeiner, P.; Polakovic, M.; Mislovicova, D.; Stefuca, V. Cellulose as a (bio)affinity carrier: Properties, design and applications. J. Chromatogr. B 1998, 715, 245–271. [Google Scholar] [CrossRef]
  18. Löbmann, K.; Svagan, A.J. Cellulose nanofibers as excipient for the delivery of poorly soluble drugs. Int. J. Pharm. 2017, 533, 285–297. [Google Scholar] [CrossRef] [PubMed]
  19. Navarro, R.R.; Sumi, K. Mercury removal from wastewater using porous cellulose carrier modified with polyethyleneimine. Water Res. 1996, 30, 2488–2494. [Google Scholar] [CrossRef]
  20. Chui, V.D.; Mok, K.W.; Ng, C.Y.; Luong, B.P.; Ma, K.K. Removal and recovery of copper (II) chromium (III), and nickel (II) from solutions using crude shrimp chitin packed in small columns. Environ. Int. 1996, 22, 463–468. [Google Scholar] [CrossRef]
  21. Yan, G.Y.; Viraraghavan, T. Heavy metal removal in a biosorption column by immobilized M. rouxii biomass. Bioresour. Technol. 2001, 78, 243–249. [Google Scholar] [CrossRef]
  22. Zhang, L.; Ruan, D.; Gao, S. Dissolution and regeneration of cellulose in NaOH/thiourea aqueous solution. J. Ploym. Sci. B Polym. Phys. 2002, 40, 1521–1529. [Google Scholar] [CrossRef]
  23. Zhang, L.; Guo, J.; Du, Y. Morphology and Properties of Cellulose/Chitin Blends Membranes from NaOH/Thiourea Aqueous Solution. J. Appl. Polym. Sci. 2002, 86, 2025–2032. [Google Scholar] [CrossRef]
  24. Brow, W.; Wiskstön, R. Viscosity-molecular weight relationship for cellulose in cadoxen and hydrodynamic interpretation. Eur. Polym. J. 1965, 1, 1–10. [Google Scholar] [CrossRef]
  25. Terbojevich, M.; Carraro, C.; Cosani, A.; Morsano, E. Solution studies of the chitin-lithium chloride-N,N-DI-methylacetamide system. Carbohydr. Res. 1988, 180, 73–86. [Google Scholar] [CrossRef]
  26. Xu, J.; Stephen, P.M.; Richard, A.G. Chitosan membranes acylation and effects on biodegradability. Macromolecules 1996, 29, 3436–3440. [Google Scholar] [CrossRef]
  27. Ruan, D.; Zhang, L.; Mao, Y.; Zeng, M.; Li, X. Microporous membranes prepared from cellulose in NaOH/thiourea aqueous solution. J. Membr. Sci. 2004, 241, 265–274. [Google Scholar] [CrossRef]
  28. Dong, J.; Ozaki, Y. FTIR and FT-Raman Studies of Partially Miscible Poly (methy1 methacrylate)/Poly (4-vinylphenol) Blends in Solid States. Macromolecules 1997, 30, 286–292. [Google Scholar] [CrossRef]
  29. Otto, E.; Spurlin, M. (Eds.) Cellulose and Cellulose Derivatives, 2nd ed.; Interscience: New York, NY, USA, 1954; Volume II. [Google Scholar]
  30. Gow, N.A.R.; Gooday, G.W.; Russell, G.D.; Wilson, M.J. Infrared and X-ray diffraction data on chitins of variable structure. Carbohydr. Res. 1987, 165, 105–110. [Google Scholar] [CrossRef]
Figure 1. Chemical structures of cellulose and chitin.
Figure 1. Chemical structures of cellulose and chitin.
Sustainability 13 06460 g001
Figure 2. Effect of chitin content (Wchitin) on the tensile strength (σb, ) and elongation at breaking (εb, ) of the membranes in dry state.
Figure 2. Effect of chitin content (Wchitin) on the tensile strength (σb, ) and elongation at breaking (εb, ) of the membranes in dry state.
Sustainability 13 06460 g002
Figure 3. SEM photographs: surface (a) and cross-section (b) of the chitin flakes; surface (c) and cross-section (d) of the cellulose beads; surface (e) and cross-section (f) of the cellulose/chitin beads B-1; surface (g) and cross-section (h) of B-2; surface (i) and cross-section (j) of B-3; surface (k) and cross-section (l) of B-4; surface (m) and cross-section (n) of B-5.
Figure 3. SEM photographs: surface (a) and cross-section (b) of the chitin flakes; surface (c) and cross-section (d) of the cellulose beads; surface (e) and cross-section (f) of the cellulose/chitin beads B-1; surface (g) and cross-section (h) of B-2; surface (i) and cross-section (j) of B-3; surface (k) and cross-section (l) of B-4; surface (m) and cross-section (n) of B-5.
Sustainability 13 06460 g003
Figure 4. FTIR spectra of the cellulose beads (a), the chitin flakes (b), and the cellulose/chitin blend beads B-1 (c), B-2 (d), B-3 (e), B-4 (f), and B-5 (g).
Figure 4. FTIR spectra of the cellulose beads (a), the chitin flakes (b), and the cellulose/chitin blend beads B-1 (c), B-2 (d), B-3 (e), B-4 (f), and B-5 (g).
Sustainability 13 06460 g004
Figure 5. Experimental data of single sorption for heavy metal ions on the chitin flakes, the cellulose beads (a), and the cellulose/chitin blend beads B-1 (b), B-2 (c), B-3 (d), B-4 (e), and B-5 (f) at pH0 = 5.0 and room temperature.
Figure 5. Experimental data of single sorption for heavy metal ions on the chitin flakes, the cellulose beads (a), and the cellulose/chitin blend beads B-1 (b), B-2 (c), B-3 (d), B-4 (e), and B-5 (f) at pH0 = 5.0 and room temperature.
Sustainability 13 06460 g005
Table 1. The mechanical properties of the membranes.
Table 1. The mechanical properties of the membranes.
Samplesσb (MPa)R (%)ε (%)
DryWetDryWet
RCM52.8328.3853.722.011.43
M-172.417.8110.785.411.29
M-240.736.0914.951.031.18
M-332.551.075.220.961.17
M-425.560.762.970.991.25
M-513.040.675.141.040.99
M-69.760.787.991.031.1
M-76.230.213.371.020.9
Publisher’s Note: MDPI stays neutral with regard to jurisdictional claims in published maps and institutional affiliations.

Share and Cite

MDPI and ACS Style

Zhou, D.; Wang, H.; Guo, S. Preparation of Cellulose/Chitin Blend Materials and Influence of Their Properties on Sorption of Heavy Metals. Sustainability 2021, 13, 6460. https://doi.org/10.3390/su13116460

AMA Style

Zhou D, Wang H, Guo S. Preparation of Cellulose/Chitin Blend Materials and Influence of Their Properties on Sorption of Heavy Metals. Sustainability. 2021; 13(11):6460. https://doi.org/10.3390/su13116460

Chicago/Turabian Style

Zhou, Dao, Hongyu Wang, and Shenglian Guo. 2021. "Preparation of Cellulose/Chitin Blend Materials and Influence of Their Properties on Sorption of Heavy Metals" Sustainability 13, no. 11: 6460. https://doi.org/10.3390/su13116460

APA Style

Zhou, D., Wang, H., & Guo, S. (2021). Preparation of Cellulose/Chitin Blend Materials and Influence of Their Properties on Sorption of Heavy Metals. Sustainability, 13(11), 6460. https://doi.org/10.3390/su13116460

Note that from the first issue of 2016, this journal uses article numbers instead of page numbers. See further details here.

Article Metrics

Back to TopTop