Chemical and Biological Enhancement Effects of Biochar on Wheat Growth and Yield under Arid Field Conditions
Abstract
1. Introduction
2. Materials and Methods
2.1. Experimental Site and Environmental Conditions
2.2. Biochar Production and Characterization
2.3. Experimental Details and Crop Management Practices
2.4. Growth, Development, Light Interception, Radiation Use Efficiency and Final Data Collection and Derivation
2.5. Soil and Plant Nitrogen Analysis
2.6. Statistical Analysis
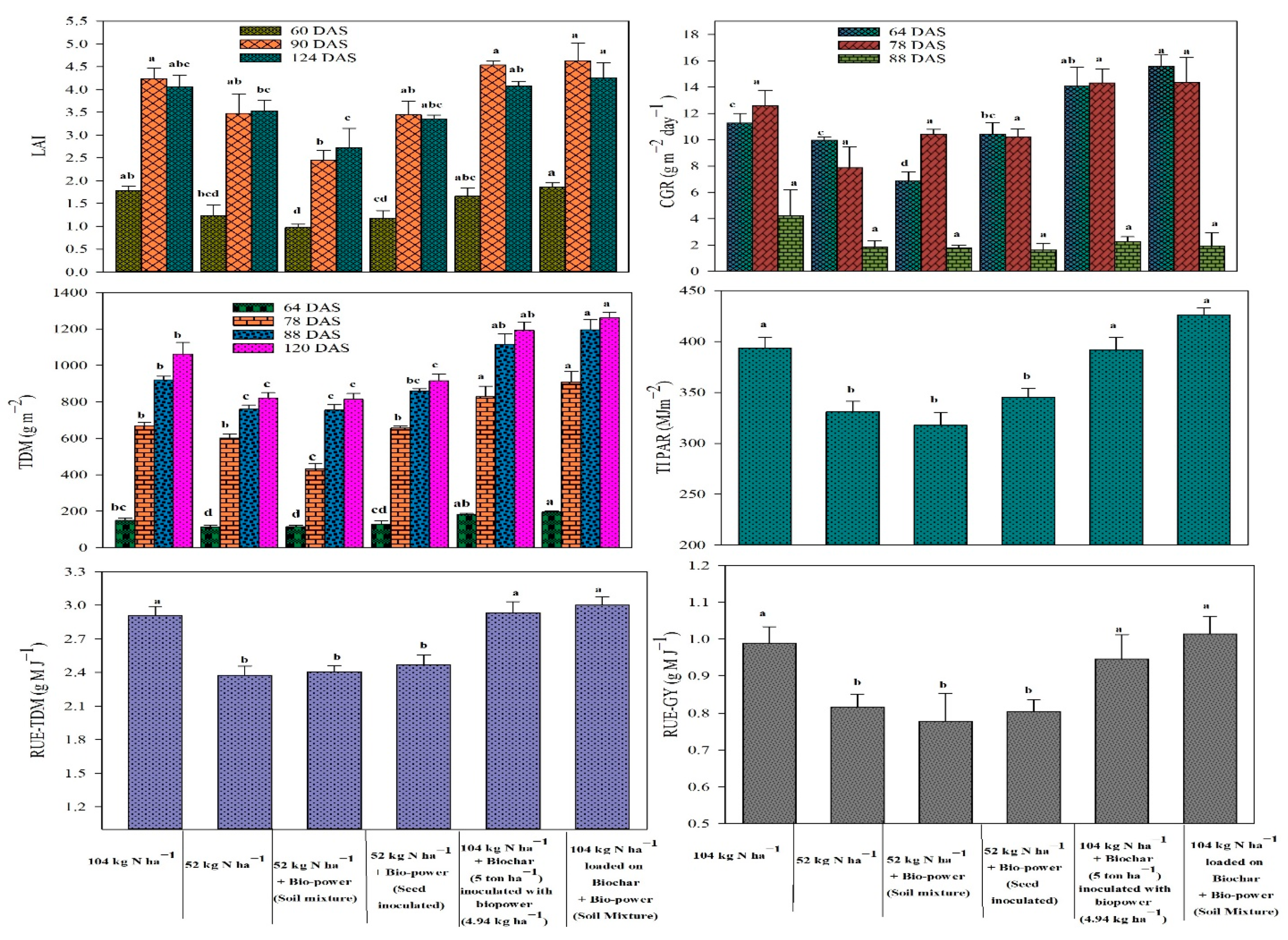
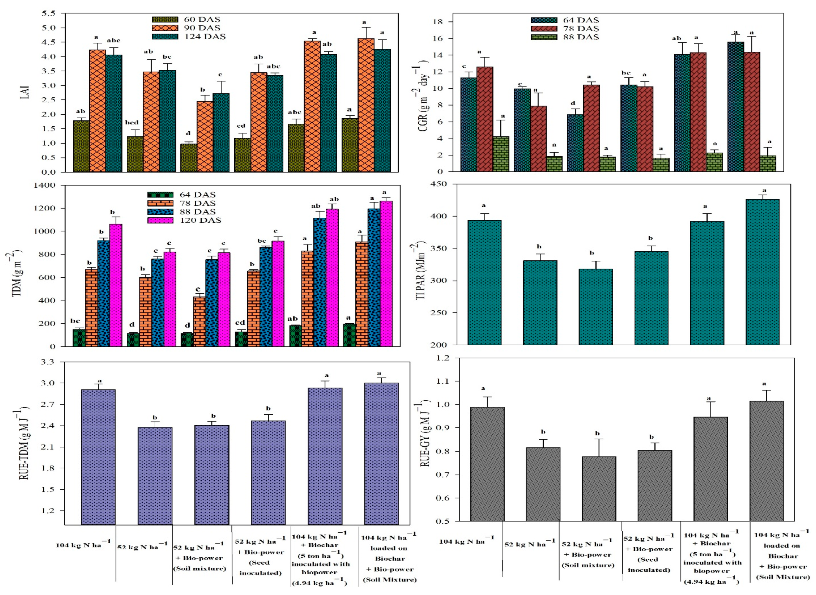
3. Results
3.1. Crop Growth and Development
3.2. Agronomic Yield Attributes and Grain Yield
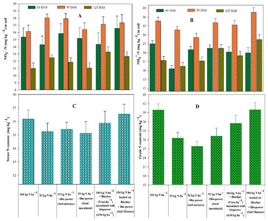
3.3. The Soil Mineral Nitrogen (NH4+, NO3−) during the Crop Growth Period and Plant N at Harvest
4. Discussion
5. Conclusions
Supplementary Materials
Author Contributions
Funding
Institutional Review Board Statement
Informed Consent Statement
Data Availability Statement
Acknowledgments
Conflicts of Interest
References
- Pellegrini, P.; Fernández, R.J. Crop intensification, land use, and on-farm energy-use efficiency during the worldwide spread of the green revolution. Proc. Natl. Acad. Sci. USA 2018, 115, 2335–2340. [Google Scholar] [CrossRef]
- Zhou, J.B.; Chen, Z.J.; Liu, X.J.; Zhai, B.N.; Powlson, D.S. Nitrate accumulation in soil profiles under seasonally open “sunlight greenhouses” in northwest China and potential for leaching loss during summer fallow. Soil Use Manag. 2010, 26, 332–339. [Google Scholar] [CrossRef]
- Hijbeek, R.; Ten Berge, H.F.; Whitmore, A.P.; Barkusky, D.; Schröder, J.J.; Van Ittersum, M.K. Nitrogen fertiliser replacement values for organic amendments appear to increase with N application rates. Nutr. Cycl. Agroecosystems 2018, 110, 105–115. [Google Scholar] [CrossRef]
- Rahman, M.H.; Ahmad, I.; Wang, D.; Fahad, S.; Afzal, M.; Ghaffar, A.; Saddique, Q.; Khan, M.A.; Saud, S.; Hassan, S.; et al. Influence of semi-arid environment on radiation use efficiency and other growth attributes of lentil crop. Environ. Sci. Pollut. Res. 2021, 28, 13697–13711. [Google Scholar] [CrossRef] [PubMed]
- Lehmann, J.; Joseph, S. (Eds.) Biochar for Environmental Management: Science, Technology, and Implementation; Routledge: London, UK, 2015. [Google Scholar]
- Schofield, H.K.; Pettitt, T.R.; Tappin, A.D.; Rollinson, G.K.; Fitzsimons, M.F. Biochar Incorporation Increased Nitrogen and Carbon Retention in a Waste-Derived Soil; Sci. Total. Environ. 2019, 690, 1228–1236. [Google Scholar] [CrossRef]
- Kammann, C.; Ratering, S.; Eckhard, C.; Müller, C. Biochar and hydrochar effects on greenhouse gas (carbon dioxide, nitrous oxide, and methane) fluxes from soils. J. Environ. Qual. 2012, 41, 1052–1066. [Google Scholar] [CrossRef] [PubMed]
- Haider, G.; Koyro, H.W.; Azam, F.; Steffens, D.; Müller, C.; Kammann, C. Biochar but not humic acid product amendment affected maize yields via improving plant-soil moisture relations. Plant Soil 2015, 395, 141–157. [Google Scholar] [CrossRef]
- Haider, G.; Steffens, D.; Müller, C.; Kammann, C.I. Standard extraction methods may underestimate nitrate stocks captured by field—aged biochar. J. Environ. Qual. 2016, 45, 1196–1204. [Google Scholar] [CrossRef] [PubMed]
- Haider, G.; Steffens, D.; Moser, G.; Müller, C.; Kammann, C.I. Biochar reduced nitrate leaching and improved soil moisture content without yield improvements in a four-year field study. Agric. Ecosyst. Environ. 2017, 237, 80–94. [Google Scholar] [CrossRef]
- Kammann, C.I.; Schmidt, H.P.; Messerschmidt, N.; Linsel, S.; Steffens, D.; Müller, C.; Koyro, H.W.; Conte, P.; Joseph, S. Plant growth improvement mediated by nitrate capture in co-composted biochar. Sci. Rep. 2015, 5, 1–3. [Google Scholar]
- Haider, G.; Joseph, S.; Steffens, D.; Müller, C.; Taherymoosavi, S.; Mitchell, D.; Kammann, C.I. Mineral nitrogen captured in field-aged biochar is plant-available. Sci. Rep. 2020, 10, 1–2. [Google Scholar] [CrossRef] [PubMed]
- Ummenhofer, C.C.; Meehl, G.A. Extreme weather and climate events with ecological relevance: A review. Philos. Trans. R. Soc. B Biol. Sci. 2017, 372. [Google Scholar] [CrossRef] [PubMed]
- GOP. Pakistan Economic Survey 2017–2018; Finance Division, Economic Advisor’s Wing: Islamabad, Pakistan, 2018. [Google Scholar]
- Wang, X.; Zeng, J.; Li, Y.; Rong, X.; Sun, J.; Sun, T.; Li, M.; Wang, L.; Feng, Y.; Chai, R.; et al. Expression of TaWRKY44, a wheat WRKY gene, in transgenic tobacco confers multiple abiotic stress tolerances. Front. Plant Sci. 2015, 6, 615. [Google Scholar] [CrossRef] [PubMed]
- Juknys, R.; Velička, R.; Kanapickas, A.; Kriaučiūnienė, Z.; Masilionytė, L.; Vagusevičienė, I.; Pupalienė, R.; Klepeckas, M.; Sujetovienė, G. Projecting the impact of climate change on phenology of winter wheat in northern Lithuania. Int. J. Biometeorol. 2017, 61, 1765–1775. [Google Scholar] [CrossRef] [PubMed]
- Tao, Z.; Shen, L.; Gu, X.; Wang, Y.; Yu, H.; He, Y. Embryonic epigenetic reprogramming by a pioneer transcription factor in plants. Nature 2017, 551, 124–128. [Google Scholar] [CrossRef] [PubMed]
- Rahman, M.H.; Ahmad, A.; Wang, X.; Wajid, A.; Nasim, W.; Hussain, M.; Ahmad, B.; Ahmad, I.; Ali, Z.; Ishaque, W.; et al. Multi-model projections of future climate and climate change impacts uncertainty assessment for cotton production in Pakistan. Agric. For. Meteorol. 2018, 253, 94–113. [Google Scholar] [CrossRef]
- Glass, A.D. Nitrogen use efficiency of crop plants: Physiological constraints upon nitrogen absorption. Crit. Rev. Plant Sci. 2003, 22, 453–470. [Google Scholar] [CrossRef]
- Davis, M.P.; David, M.B.; Mitchell, C.A. Nitrogen mineralization in soils used for biofuel crops. Commun. Soil Sci. Plant Anal. 2013, 44, 987–995. [Google Scholar] [CrossRef]
- Robertson, G.P.; Vitousek, P.M. Nitrogen in agriculture: Balancing the cost of an essential resource. Annu. Rev. Environ. Resour. 2009, 34, 97–125. [Google Scholar] [CrossRef]
- Roberts, K.G.; Gloy, B.A.; Joseph, S.; Scott, N.R.; Lehmann, J. Life cycle assessment of biochar systems: Estimating the energetic, economic, and climate change potential. Environ. Sci. Technol. 2010, 44, 827–833. [Google Scholar] [CrossRef] [PubMed]
- Schimel, J.P.; Bennett, J. Nitrogen mineralization: Challenges of a changing paradigm. Ecology 2004, 85, 591–602. [Google Scholar] [CrossRef]
- Wang, S.; Shan, J.; Xia, Y.; Tang, Q.; Xia, L.; Lin, J.; Yan, X. Different effects of biochar and a nitrification inhibitor application on paddy soil denitrification: A field experiment over two consecutive rice-growing seasons. Sci. Total. Environ. 2017, 593, 347–356. [Google Scholar] [CrossRef] [PubMed]
- Zhang, Z.; Gao, S.; Chu, C. Improvement of nutrient use efficiency in rice: Current toolbox and future perspectives. Theor. Appl. Genet. 2020, 133, 1365–1384. [Google Scholar] [CrossRef] [PubMed]
- Azimi, S.M.; Farnia, A.; Shaban, M.; Lak, M. Effect of different biofertilizers on Seed yield of barley (Hurdeom vulgar L.), Bahman cultivar. Int. J. Adv. Biol. Biomed. Res. 2013, 1, 538–546. [Google Scholar]
- Dal Cortivo, C.; Ferrari, M.; Visioli, G.; Lauro, M.; Fornasier, F.; Barion, G.; Panozzo, A.; Vamerali, T. Effects of seed-applied biofertilizers on rhizosphere biodiversity and growth of common wheat (Triticum aestivum L.) in the field. Front. Plant Sci. 2020, 11, 72. [Google Scholar] [CrossRef] [PubMed]
- Gupta, G.; Parihar, S.S.; Ahirwar, N.K.; Snehi, S.K.; Singh, V. Plant growth promoting rhizobacteria (PGPR): Current and future prospects for development of sustainable agriculture. J. Microb. Biochem. Technol. 2015, 7, 96–102. [Google Scholar]
- Igiehon, N.O.; Babalola, O.O. Biofertilizers and sustainable agriculture: Exploring arbuscular mycorrhizal fungi. Appl. Microbiol. Biotechnol. 2017, 101, 4871–4881. [Google Scholar] [CrossRef]
- Nadeem, S.M.; Naveed, M.; Zahir, Z.A.; Asghar, H.N. Plant–microbe interactions for sustainable agriculture: Fundamentals and recent advances. Plant Microbe Symbiosis Fundam. Adv. 2013, 51–103. [Google Scholar] [CrossRef]
- Zeffa, D.M.; Perini, L.J.; Silva, M.B.; de Sousa, N.V.; Scapim, C.A.; Oliveira, A.L.; Amaral Júnior, A.T.; Azeredo Goncalves, L.S. Azospirillum brasilense promotes increases in growth and nitrogen use efficiency of maize genotypes. PLoS ONE 2019, 14, e0215332. [Google Scholar] [CrossRef]
- Vejan, P.; Abdullah, R.; Khadiran, T.; Ismail, S.; Nasrulhaq Boyce, A. Role of plant growth promoting rhizobacteria in agricultural sustainability—A review. Molecules 2016, 21, 573. [Google Scholar] [CrossRef]
- Sarfraz, R.; Hussain, A.; Sabir, A.; Fekih, I.B.; Ditta, A.; Xing, S. Role of biochar and plant growth promoting rhizobacteria to enhance soil carbon sequestration—A review. Environ. Monit. Assess. 2019, 191, 1–3. [Google Scholar] [CrossRef] [PubMed]
- Arabi, Z.; Eghtedaey, H.; Gharehchmaghloo, B.; Faraji, A. Effects of biochar and bio-fertilizer on yield and qualitative properties of soybean and some chemical properties of soil. Arab. J. Geosci. 2018, 11, 1–9. [Google Scholar] [CrossRef]
- Cornelissen, G.; Pandit, N.R.; Taylor, P.; Pandit, B.H.; Sparrevik, M.; Schmidt, H.P. Emissions and char quality of flame-curtain" Kon Tiki" Kilns for Farmer-Scale charcoal/biochar production. PLoS ONE 2016, 11, e0154617. [Google Scholar] [CrossRef] [PubMed]
- Watson, D.J. The physiological basis of variation in yield. Adv. Agron. 1947, 4, 101–145. [Google Scholar]
- Hunt, R. Plant Growth Analysis; Edward Arnold: London, UK, 1978; pp. 26–38. [Google Scholar]
- Solarova, J.; Gardner, F.P.; Pearce, R.B.; Mitchell, R.L. Physiology of Crop Plants. Biol. Plant 1987, 29, 21. [Google Scholar] [CrossRef]
- Monteith, J.L. Plant growth analysis, radiation use efficiency. Philos. Trans. R. Soc. Ann. Bot. 1977, 14, 21–25. [Google Scholar]
- Monteith, J.L.; Elston, J.F. Performance and productivity of foliage in field. In The Growth and Functioning of Leaves; Dale, J.E., Milthorpe Camb, F.L., Eds.; Cambridge University Press: London, UK, 1983; pp. 499–518. [Google Scholar]
- Pradhan, S.; Sehgal, V.K.; Bandyopadhyay, K.K.; Panigrahi, P.; Parihar, C.M.; Jat, S.L. Radiation interception, extinction coefficient and use efficiency of wheat crop at various irrigation and nitrogen levels in a semi-arid location. Indian J. Plant Physiol. 2018, 23, 416–425. [Google Scholar] [CrossRef]
- Yunusa, I.A.; Siddique, K.H.; Belford, R.K.; Karimi, M.M. Effect of canopy structure on efficiency of radiation interception and use in spring wheat cultivars during the pre-anthesis period in a Mediterranean-type environment. Field Crop. Res. 1993, 35, 113–122. [Google Scholar] [CrossRef]
- Muurinen, S.; Peltonen-Sainio, P. Radiation-use efficiency of modern and old spring cereal cultivars and its response to nitrogen in northern growing conditions. Field Crop. Res. 2006, 96, 363–373. [Google Scholar] [CrossRef]
- Angstrom, A. Solar and terrestrial radiation. Report to the international commission for solar research on actinometric investigations of solar and atmospheric radiation. Q. J. R. Meteorol. Soc. 1924, 50, 121–126. [Google Scholar] [CrossRef]
- Monteith, J.L.; Unsworth, M.H. Principles of Environmental Physics; Hodder and Stoughton: London, UK, 1990. [Google Scholar]
- Monteith, J.L. Solar radiation and productivity in tropical ecosystems. J Appl. Ecol. 1977, 9, 747–766. [Google Scholar] [CrossRef]
- FAO Panel of Experts on Pesticide Residues; WHO Expert Group on Pesticide Residues. Pesticides Residues in Food, 1977 Evaluations: The Monographs: Data and Recommendations of the Joint Meeting of the FAO Panel of Experts on Pesticide Residues and the Environment and the WHO Expert Group of Pesticide Residues, Geneva, 6–15 December 1977; Food Agriculture Organization: Rome, Italy, 1978. [Google Scholar]
- Cataldo, D.A.; Maroon, M.; Schrader, L.E.; Youngs, V.L. Rapid colorimetric determination of nitrate in plant tissue by nitration of salicylic acid. Commun. Soil Sci. Plant Anal. 1975, 6, 71–80. [Google Scholar] [CrossRef]
- Ali, M.A.; Louche, J.; Legname, E.; Duchemin, M.; Plassard, C. Pinus pinaster seedlings and their fungal symbionts show high plasticity in phosphorus acquisition in acidic soils. Tree Physiol. 2009, 29, 1587–1597. [Google Scholar] [CrossRef] [PubMed]
- Qayyum, M.F.; Steffens, D.; Reisenauer, H.P.; Schubert, S. Kinetics of carbon mineralization of biochars compared with wheat straw in three soils. J. Environ. Qual. 2012, 41, 1210–1220. [Google Scholar] [CrossRef] [PubMed]
- SAS Institute Inc. SAS® 9.4 Guide to Software Updates; SAS Institute Inc.: Cary, NC, USA, 2013. [Google Scholar]
- Cybulak, M.; Sokołowska, Z.; Boguta, P. Impact of biochar on physicochemical properties of haplic luvisol soil under different land use: A plot experiment. Agronomy 2019, 9, 531. [Google Scholar] [CrossRef]
- Thies, J.E.; Rillig, M.C. Characteristics of biochar: Biological properties. Biochar for environmental management: Sci. Technol. 2009, 1, 85–105. [Google Scholar]
- Danish, S.; Zafar-ul-Hye, M.; Hussain, M.; Shaaban, M.; Núñez-delgado, A. Rhizobacteria with ACC-Deaminase Activity Improve Nutrient Uptake, Chlorophyll Contents and Early Seedling Growth of Wheat under PEG- Induced Osmotic Stress. Int. J. Agric. Biol. 2019, 21, 1212–1220. [Google Scholar]
- Danish, S.; Zafar-ul-Hye, M. Co-application of ACC-deaminase producing PGPR and timber-waste biochar improves pigments formation, growth and yield of wheat under drought stress. Sci. Rep. 2019, 9, 5999. [Google Scholar] [CrossRef]
- Zafar-ul-Hye, M.; Zahra, M.B.; Danish, S.; Abbas, M.; Rehim, A.; Akbar, M.N.; Iftikhar, A.; Gul, M.; Nazir, I.; Abid, M.; et al. Multi-strain inoculation with pgpr producing acc deaminase is more effective than single-strain inoculation to improve wheat (Triticum aestivum) growth and yield. Phyton (B. Aires) 2020, 89, 405–413. [Google Scholar] [CrossRef]
- Danish, S.; Zafar-ul-Hye, M. Combined role of ACC deaminase producing bacteria and biochar on cereals productivity under drought. Phyton (B. Aires) 2020, 89, 217–227. [Google Scholar] [CrossRef]
- Ahmed, N.; Ahsen, S.; Ali, M.A.; Hussain, M.B.; Hussain, S.B.; Rasheed, M.K.; Butt, B.; Irshad, I.; Danish, S. Rhizobacteria and silicon synergy modulates the growth, nutrition and yield of mungbean under saline soil. Pak. J. Bot. 2020, 52, 9–15. [Google Scholar] [CrossRef]
- Danish, S.; Kiran, S.; Fahad, S.; Ahmad, N.; Ali, M.A.; Tahir, F.A.; Rasheed, M.K.; Shahzad, K.; Li, X.; Wang, D.; et al. Alleviation of chromium toxicity in maize by Fe fortification and chromium tolerant ACC deaminase producing plant growth promoting rhizobacteria. Ecotoxicol. Environ. Saf. 2019, 185, 109706. [Google Scholar] [CrossRef]
- Danish, S.; Zafar-ul-Hye, M.; Fahad, S.; Saud, S.; Brtnicky, M.; Hammerschmiedt, T.; Datta, R. Drought stress alleviation by ACC deaminase producing Achromobacter xylosoxidans and Enterobacter cloacae, with and without timber waste biochar in maize. Sustainability 2020, 12, 6286. [Google Scholar] [CrossRef]
- Woolf, D.; Amonette, J.E.; Street-Perrott, F.A.; Lehmann, J.; Joseph, S. Sustainable biochar to mitigate global climate change. Nat. Commun. 2010, 1, 1–9. [Google Scholar] [CrossRef]
- Steinbeiss, S.; Gleixner, G.; Antonietti, M. Effect of biochar amendment on soil carbon balance and soil microbial activity. Soil. Biol. Biochem. 2009, 41, 1301–1310. [Google Scholar] [CrossRef]
- Van Zwieten, L.; Kimber, S.; Morris, S.; Chan, K.Y.; Downie, A.; Rust, J.; Joseph, S.; Cowie, A. Effects of biochar from slow pyrolysis of papermill waste on agronomic performance and soil fertility. Plant Soil 2010, 327, 235–246. [Google Scholar] [CrossRef]
- Akhtar, S.S.; Li, G.; Andersen, M.N.; Liu, F. Biochar enhances yield and quality of tomato under reduced irrigation. Agric. Water Manag. 2014, 138, 37–44. [Google Scholar] [CrossRef]
- Asadi, M.; Kumar, B.; Behranginia, A.; Rosen, B.A.; Baskin, A.; Repnin, N.; Pisasale, D.; Phillips, P.; Zhu, W.; Haasch, R.; et al. Robust carbon dioxide reduction on molybdenum disulphide edges. Nat. Commun. 2014, 5, 1–8. [Google Scholar] [CrossRef] [PubMed]
- Schulz, H.; Glaser, B. Effects of biochar compared to organic and inorganic fertilizers on soil quality and plant growth in a greenhouse experiment. J. Plant Nutr. Soil Sci. 2012, 175, 410–422. [Google Scholar] [CrossRef]
- Namgay, T.; Singh, B.; Singh, B.P. Influence of biochar application to soil on the availability of As, Cd, Cu, Pb, and Zn to maize (Zea mays L.). Soil Res. 2010, 48, 638–647. [Google Scholar] [CrossRef]
- Chan, K.Y.; Van Zwieten, L.; Meszaros, I.; Downie, A.; Joseph, S. Agronomic values of greenwaste biochar as a soil amendment. Soil Res. 2008, 45, 629–634. [Google Scholar] [CrossRef]
- Lehmann, J.; da Silva, J.P.; Steiner, C.; Nehls, T.; Zech, W.; Glaser, B. Nutrient availability and leaching in an archaeological Anthrosol and a Ferralsol of the Central Amazon basin: Fertilizer, manure, and charcoal amendments. Plant Soil 2003, 249, 343–357. [Google Scholar] [CrossRef]
- Zhang, D.; Yan, M.; Niu, Y.; Liu, X.; van Zwieten, L.; Chen, D.; Bian, R.; Cheng, K.; Li, L.; Joseph, S.; et al. Is current biochar research addressing global soil constraints for sustainable agriculture? Agric. Ecosyst. Environ. 2016, 226, 25–32. [Google Scholar] [CrossRef]
- Knowles, O.A.; Robinson, B.H.; Contangelo, A.; Clucas, L. Biochar for the mitigation of nitrate leaching from soil amended with biosolids. Sci. Total Environ. 2011, 409, 3206–3210. [Google Scholar] [CrossRef] [PubMed]
- Tariq, M.; Khan, F.; Shah, A.H.; Fahad, S.; Wahid, F.; Ali, J.; Adnan, M.; Ahmad, M.; Irfan, M.; Zafar-ul-Hye, M. Effect of micronutrients foliar supplementation on the production and eminence of plum (Prunus domestica L.). Qual. Assur. Saf. Crop. Foods 2020, 12, 32–40. [Google Scholar]
- Izhar Shafi, M.; Adnan, M.; Fahad, S.; Wahid, F.; Khan, A.; Yue, Z.; Danish, S.; Zafar-ul-Hye, M.; Brtnicky, M.; Datta, R. Application of Single Superphosphate with Humic Acid Improves the Growth, Yield and Phosphorus Uptake of Wheat (Triticum aestivum L.) in Calcareous Soil. Agronomy 2020, 10, 1224. [Google Scholar] [CrossRef]
- Guo, M.; Uchimiya, S.M.; He, Z. Agricultural and environmental applications of biochar: Advances and barriers. Agricultural and Environ. Appl. Biochar Adv. Barriers 2016, 63, 495–504. [Google Scholar]
- Zafar-ul-Hye, M.; Tahzeeb-ul-Hassan, M.; Abid, M.; Fahad, S.; Brtnicky, M.; Dokulilova, T.; Datta, R.; Danish, S. Author Correction: Potential role of compost mixed biochar with rhizobacteria in mitigating lead toxicity in spinach. Sci. Rep. 2020, 10. [Google Scholar] [CrossRef] [PubMed]
- Dong, X.; Guan, T.; Li, G.; Lin, Q.; Zhao, X. Long-term effects of biochar amount on the content and composition of organic matter in soil aggregates under field conditions. J. Soils Sediments 2016, 16, 1481–1497. [Google Scholar] [CrossRef]
- Shahzad, K.; Abid, M.; Sintim, H.Y. Wheat productivity and economic implications of biochar and inorganic nitrogen application. Agron. J. 2018, 110, 2259–2267. [Google Scholar] [CrossRef]
- Ghafoor, I.; Habib-ur-Rahman, M.; Ali, M.; Afzal, M.; Ahmed, W.; Gaiser, T.; Ghaffar, A. Slow-release nitrogen fertilizers enhance growth, yield, NUE in wheat crop and reduce nitrogen losses under an arid environment. Environ. Sci. Pollut. Res. 2021. [Google Scholar] [CrossRef] [PubMed]
- Ekielski, A.; Mishra, P.K. Lignin for Bioeconomy: The Present and Future Role of Technical Lignin. Int. J. Mol. Sci. 2021, 22, 63. [Google Scholar] [CrossRef] [PubMed]
- Zafar-ul-Hye, M.; Naeem, M.; Danish, S.; Fahad, S.; Datta, R.; Abbas, M.; Rahi, A.A.; Brtnicky, M.; Holátko, J.; Tarar, Z.H.; et al. Alleviation of Cadmium Adverse Effects by Improving Nutrients Uptake in Bitter Gourd through Cadmium Tolerant Rhizobacteria. Environments 2020, 7, 54. [Google Scholar] [CrossRef]
- Haider, I.; Raza, M.A.S.; Iqbal, R.; Aslam, M.U.; Habib-ur-Rahman, M.; Raja, S.; Khan, M.T.; Aslam, M.M.; Waqas, M.; Ahmad, S. Potential effects of biochar application on mitigating the drought stress implications on wheat (Triticum aestivum L.) under various growth stages. J. Saudi Chem. Soc. 2020, 24, 974–981. [Google Scholar] [CrossRef]
- Perveen, S.; Ahmad, S.; Skalicky, M.; Hussain, I.; Habibur-Rahman, M.; Ghaffar, A.; Shafqat Bashir, M.; Batool, M.; Hassan, M.M.; Brestic, M.; et al. Assessing the Potential of Polymer Coated Urea and Sulphur Fertilization on Growth, Physiology, Yield, Oil Contents and Nitrogen Use Efficiency of Sunflower Crop under Arid. Environ. Agron. 2021, 11, 269. [Google Scholar] [CrossRef]
- Rahman, M.H.U.; Ahmad, A.; Wajid, A.; Hussain, M.; Rasul, F.; Ishaque, W.; Islam, M.A.; Shelia, V.; Awais, M.; Ullah, A.; et al. Application of CSM-CROPGRO-Cotton model for cultivars and optimum planting dates: Evaluation in changing semi-arid climate. Field Crop. Res. 2019, 238. [Google Scholar] [CrossRef]
- Ahmad, S.; Ghaffar, A.; Rahman, M.H.U.; Hussain, I.; Iqbal, R.; Haider, G.; Khan, M.A.; Ikram, R.M.; Hussnain, H.; Bashir, M.S. Effect of Application of Biochar, Poultry and Farmyard Manures in Combination with Synthetic Fertilizers on Soil Fertility and Cotton Productivity under Arid Environment. Commun. Soil Sci. Plant Anal. 2021, 1–14. [Google Scholar] [CrossRef]
- Khan, A.; Fahad, S.; Khan, A.; Saud, S.; Adnan, M.; Wahid, F.; Noor, M.; Nasim, W.; Hammad, H.M.; Bakhat, H.F.; et al. Managing tillage operation and manure to restore soil carbon stocks in wheat–maize cropping system. Agron. J. 2019, 111, 2600–2609. [Google Scholar] [CrossRef]








| Parameters | Unit | Value |
|---|---|---|
| Ash content (550 °C) | % (w/w) | 35.4 |
| Hydrogen | % (w/w) | 0.7 |
| Carbon | % (w/w) | 54.5 |
| Total Nitrogen | % (w/w) | 0.79 |
| Oxygen | % (w/w) | 9.1 |
| Carbon (organic) | % (w/w) | 53.4 |
| pH in CaCl2 | 9.6 | |
| Conductivity | µS/cm | 6460 |
Publisher’s Note: MDPI stays neutral with regard to jurisdictional claims in published maps and institutional affiliations. |
© 2021 by the authors. Licensee MDPI, Basel, Switzerland. This article is an open access article distributed under the terms and conditions of the Creative Commons Attribution (CC BY) license (https://creativecommons.org/licenses/by/4.0/).
Share and Cite
Khan, Z.; Rahman, M.H.u.; Haider, G.; Amir, R.; Ikram, R.M.; Ahmad, S.; Schofield, H.K.; Riaz, B.; Iqbal, R.; Fahad, S.; et al. Chemical and Biological Enhancement Effects of Biochar on Wheat Growth and Yield under Arid Field Conditions. Sustainability 2021, 13, 5890. https://doi.org/10.3390/su13115890
Khan Z, Rahman MHu, Haider G, Amir R, Ikram RM, Ahmad S, Schofield HK, Riaz B, Iqbal R, Fahad S, et al. Chemical and Biological Enhancement Effects of Biochar on Wheat Growth and Yield under Arid Field Conditions. Sustainability. 2021; 13(11):5890. https://doi.org/10.3390/su13115890
Chicago/Turabian StyleKhan, Zarmeena, Muhammad Habib ur Rahman, Ghulam Haider, Rabia Amir, Rao Muhammad Ikram, Shakeel Ahmad, Hannah Kate Schofield, Bilal Riaz, Rashid Iqbal, Shah Fahad, and et al. 2021. "Chemical and Biological Enhancement Effects of Biochar on Wheat Growth and Yield under Arid Field Conditions" Sustainability 13, no. 11: 5890. https://doi.org/10.3390/su13115890
APA StyleKhan, Z., Rahman, M. H. u., Haider, G., Amir, R., Ikram, R. M., Ahmad, S., Schofield, H. K., Riaz, B., Iqbal, R., Fahad, S., Datta, R., Baazeem, A., Sabagh, A. E., & Danish, S. (2021). Chemical and Biological Enhancement Effects of Biochar on Wheat Growth and Yield under Arid Field Conditions. Sustainability, 13(11), 5890. https://doi.org/10.3390/su13115890

