Assessment of the Variability of Air Pollutant Concentrations at Industrial, Traffic and Urban Background Stations in Krakow (Poland) Using Statistical Methods
Abstract
1. Introduction
2. Materials and Methods
2.1. Data
- Traffic stations (TS): Krasinski Av. (MpKrakAlKras) and Dietla St. (MpKrakDietla), which are exposed mainly on emissions of air pollutants from road transport;
- Urban background stations (UBS): Bujaka St. (MpKrakBujaka), Osiedle Piastow (MpKrakOsPias), Zloty Rog St. (MpKrakZloRog), Telimeny St. (MpKrakTelime), located in areas representing average for the city exposure of the inhabitants to air pollution;
- Industrial stations (IS): Bulwarowa St. (MpKrakBulwar) and Osiedle Wadow (MpKrakWadow), situated in the area affected by emission from industrial plants in north-eastern part of the city.
- PM10–β-ray attenuation (Bam 1020 fine dust monitor/Met One Instruments, Inc.) or light scattering (Grimm EDM 180 or Fidas® 200 E fine dust monitor);
- NO2–chemiluminescence (the model T200 NO/NO2/NOx analyzer/Teledyne API);
- C6H6–gas chromatograph with a built-in Tenax GR pre-concentration system and PID detector (Syntech Spectras GC955 series 600 BTEX analyzer);
- SO2–UV fluorescence (the model T100 SO2 analyzer/Teledyne API).
2.2. Principles of the Methodology
- Time series of averaged concentrations for each type of AQM station (traffic, urban background, industrial) were taken into account in the analyses and called “station type averages” (STA). In the case when the concentrations of specific pollutant from only one station were available, these data were adopted and considered as the STA;
- Urban background stations are treated as reference stations, i.e., when analyzed records from traffic or industrial stations, they were related to urban background stations.
2.3. Statistical Techniques and Visualisations
3. Results
3.1. Statistical Distribution of 1-Hour Concentrations
3.2. Interdependencies of 1-Hour Concentrations between AQM Station Types
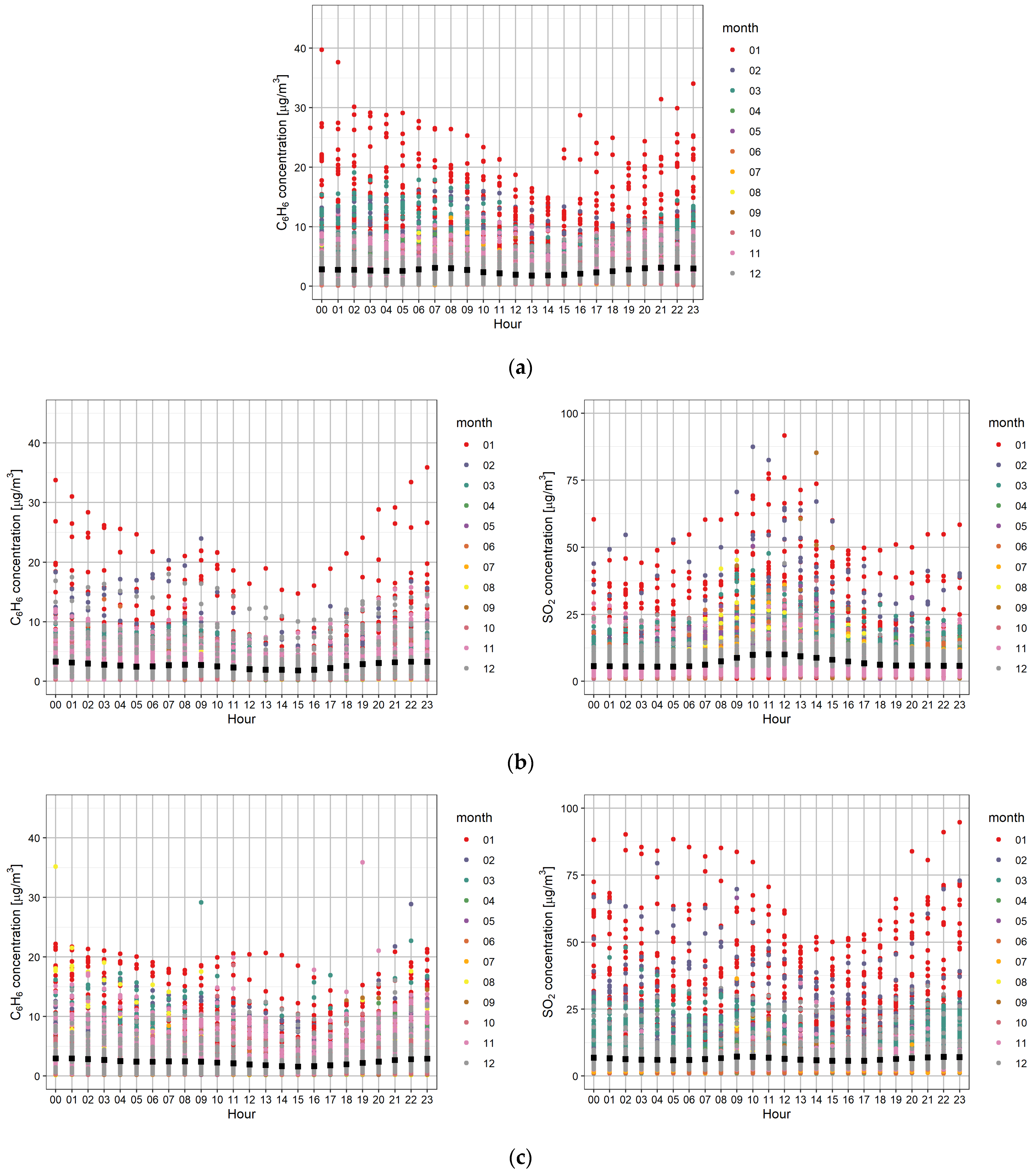
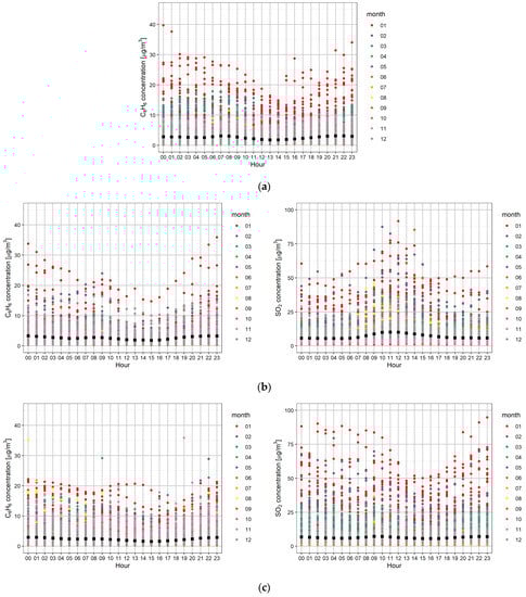
3.3. Temporal Variability of 1-Hour Concentrations and Type Station Ratios
4. Discussion
5. Conclusions
Author Contributions
Funding
Acknowledgments
Conflicts of Interest
Appendix A


Appendix B

References
- De Visscher, A. Air Dispersion Modeling: Foundations and Applications; John Wiley & Sons: Hoboken, NJ, USA, 2013. [Google Scholar]
- Leelőssy, Á.; Molnár, F.; Izsák, F.; Havasi, Á.; Lagzi, I.; Mészáros, R. Dispersion modeling of air pollutants in the atmosphere: A review. Cent. Eur. J. Geosci. 2014, 6, 257–278. [Google Scholar] [CrossRef]
- Thunis, P.; Miranda, A.; Baldasano, J.M.; Blond, N.; Douros, J.; Graff, A.; Janssen, S.; Juda-Rezler, K.; Karvosenoja, N.; Maffeis, G.; et al. Overview of current regional and local scale air quality modelling practices: Assessment and planning tools in the EU. Environ. Sci. Policy 2016, 65, 13–21. [Google Scholar] [CrossRef]
- Pielke, R.A.; Uliasz, M. Use of meteorological models as input to regional and mesoscale air quality models—limitations and strengths. Atmos. Environ. 1998, 32, 1455–1466. [Google Scholar] [CrossRef]
- Juda-Rezler, K. New challenges in air quality and climate modeling. Arch. Environ. Prot. 2010, 36, 3–28. [Google Scholar]
- Gulia, S.; Nagendra, S.S.; Khare, M.; Khanna, I. Urban air quality management-A review. Atmos. Pollut. Res. 2015, 6, 286–304. [Google Scholar] [CrossRef]
- Hopke, P.K. Recent developments in receptor modeling. J. Chemometr. 2003, 17, 255–265. [Google Scholar] [CrossRef]
- Miskell, G.; Salmond, J.; Longley, I.; Dirks, K.N. A novel approach in quantifying the effect of urban design features on local-scale air pollution in central urban areas. Environ. Sci. Technol. 2015, 49, 9004–9011. [Google Scholar] [CrossRef] [PubMed]
- Rybarczyk, Y.; Zalakeviciute, R. Machine learning approaches for outdoor air quality modelling: A systematic review. Appl. Sci. 2018, 8, 2570. [Google Scholar] [CrossRef]
- Masih, A. Machine learning algorithms in air quality modeling. GJESM 2019, 5, 515–534. [Google Scholar] [CrossRef]
- Cai, J.; Ge, Y.; Li, H.; Yang, C.; Liu, C.; Meng, X.; Wang, W.; Niu, C.; Kan, L.; Schikowski, T.; et al. Application of land use regression to assess exposure and identify potential sources in PM2.5, BC, NO2 concentrations. Atmos. Environ. 2020, 223, 117267. [Google Scholar] [CrossRef]
- Directive 2008/50/EC of the European Parliament and of the Council of 21 May 2008 on Ambient Air Quality and Cleaner Air for Europe. OJ L 152. 11 June 2008. Available online: https://eur-lex.europa.eu/LexUriServ/LexUriServ.do?uri=OJ:L:2008:152:0001:0044:en:PDF (accessed on 17 May 2021).
- Chan, C.C.; Hwang, J.S. Site representativeness of urban air monitoring stations. J. Air Waste Manag. Assoc. 1996, 46, 755–760. [Google Scholar] [CrossRef]
- Righini, G.; Cappelletti, A.; Cionni, I.; Ciucci, A.; Cremona, G.; Piersanti, A.; Vitali, L.; Ciancarella, L. Methodologies for the evaluation of spatial representativeness of air quality monitoring stations in Italy. EAI 2013, 1–2, 60–68. [Google Scholar]
- Miñarro, M.D.; Bañón, D.; Egea, J.A.; Costa-Gómez, I.; Caracena, A.B. A multi-pollutant methodology to locate a single air quality monitoring station in small and medium-size urban areas. Environ. Pollut. 2020, 266, 115279. [Google Scholar] [CrossRef] [PubMed]
- Li, F.; Zhou, T.; Lan, F. Relationships between urban form and air quality at different spatial scales: A case study from northern China. Ecol. Indic. 2021, 121, 107029. [Google Scholar] [CrossRef]
- Cyrys, J.; Eeftens, M.; Heinrich, J.; Ampe, C.; Armengaud, A.; Beelen, R.; Bellander, T.; Beregszaszi, T.; Birk, M.; Cesaroni, G.; et al. Variation of NO2 and NOx concentrations between and within 36 European study areas: Results from the ESCAPE study. Atmos. Environ. 2012, 62, 374–390. [Google Scholar] [CrossRef]
- Guerreiro, C.B.; Foltescu, V.; De Leeuw, F. Air quality status and trends in Europe. Atmos. Environ. 2014, 98, 376–384. [Google Scholar] [CrossRef]
- Schiavon, M.; Redivo, M.; Antonacci, G.; Rada, E.C.; Ragazzi, M.; Zardi, D.; Giovannini, L. Assessing the air quality impact of nitrogen oxides and benzene from road traffic and domestic heating and the associated cancer risk in an urban area of Verona (Italy). Atmos. Environ. 2015, 120, 234–243. [Google Scholar] [CrossRef]
- Ortolani, C.; Vitale, M. The importance of local scale for assessing, monitoring and predicting of air quality in urban areas. Sustain. Cities Soc. 2016, 26, 150–160. [Google Scholar] [CrossRef]
- Chlebowska-Styś, A.; Sówka, I.; Kobus, D.; Pachurka, Ł. Analysis of concentrations trends and origins of PM10 in selected European cities. E3S Web Conf. 2017, 17, 00013. [Google Scholar] [CrossRef]
- Oleniacz, R.; Gorzelnik, T.; Szulecka, A. A comparative analysis of air pollutant concentrations and inflow trajectories: A case study of selected cities in South-Eastern Poland. E3S Web Conf. 2018, 45, 00060. [Google Scholar] [CrossRef]
- Paraschiv, S.; Paraschiv, L.S. Analysis of traffic and industrial source contributions to ambient air pollution with nitrogen dioxide in two urban areas in Romania. Energy Procedia 2019, 157, 1553–1560. [Google Scholar] [CrossRef]
- Oleniacz, R.; Gorzelnik, T.; Bogacki, M. Impact of urban, suburban and industrial background on air pollution levels of dust substances in North-Eastern part of Krakow (Poland). IOP Conf. Ser. Earth Environ. Sci. 2021, 642, 012013. [Google Scholar] [CrossRef]
- Kim, E.; Hopke, P.K.; Pinto, J.P.; Wilson, W.E. Spatial variability of fine particle mass, components, and source contributions during the regional air pollution study in St. Louis. Environ. Sci. Technol. 2005, 39, 4172–4179. [Google Scholar] [CrossRef] [PubMed]
- Vardoulakis, S.; Gonzalez-Flesca, N.; Fisher, B.E.; Pericleous, K. Spatial variability of air pollution in the vicinity of a permanent monitoring station in central Paris. Atmos. Environ. 2005, 39, 2725–2736. [Google Scholar] [CrossRef]
- Nguyen, H.T.; Kim, K.H. Evaluation of SO2 pollution levels between four different types of air quality monitoring stations. Atmos. Environ. 2006, 40, 7066–7081. [Google Scholar] [CrossRef]
- Azmi, S.Z.; Latif, M.T.; Ismail, A.S.; Juneng, L.; Jemain, A. Trend and status of air quality at three different monitoring stations in the Klang Valley, Malaysia. Air Qual. Atmos. Health 2010, 3, 53–64. [Google Scholar] [CrossRef]
- Henne, S.; Brunner, D.; Folini, D.; Solberg, S.; Klausen, J.; Buchmann, B. Assessment of parameters describing representativeness of air quality in-situ measurement sites. Atmos. Chem. Phys. 2010, 10, 3561–3581. [Google Scholar] [CrossRef]
- Joly, M.; Peuch, V.H. Objective classification of air quality monitoring sites over Europe. Atmos. Environ. 2012, 47, 111–123. [Google Scholar] [CrossRef]
- Mavroidis, I.; Ilia, M. Trends of NOx, NO2 and O3 concentrations at three different types of air quality monitoring stations in Athens, Greece. Atmos. Environ. 2012, 63, 135–147. [Google Scholar] [CrossRef]
- Krynicka, J.; Drzeniecka-Osiadacz, A. Analysis of Variability in PM10 Concentration in the Wrocław Agglomeration. Pol. J. Environ. Stud. 2013, 22, 1091–1099. [Google Scholar]
- Barrero, M.A.; Orza, J.A.G.; Cabello, M.; Cantón, L. Categorisation of air quality monitoring stations by evaluation of PM10 variability. Sci. Total Environ. 2015, 524–525, 225–236. [Google Scholar] [CrossRef] [PubMed]
- Piersanti, A.; Vitali, L.; Righini, G.; Cremona, G.; Ciancarella, L. Spatial representativeness of air quality monitoring stations: A grid model based approach. Atmos. Pollut. Res. 2015, 6, 953–960. [Google Scholar] [CrossRef]
- Zhao, L.; Xie, Y.; Wang, J.; Xu, X. A performance assessment and adjustment program for air quality monitoring networks in Shanghai. Atmos. Environ. 2015, 122, 382–392. [Google Scholar] [CrossRef]
- Li, T.; Zhou, X.C.; Ikhumhen, H.O.; Difei, A. Research on the optimization of air quality monitoring station layout based on spatial grid statistical analysis method. Environ. Technol. 2018, 39, 1271–1283. [Google Scholar] [CrossRef]
- Wang, C.; Zhao, L.; Sun, W.; Xue, J.; Xie, Y. Identifying redundant monitoring stations in an air quality monitoring network. Atmos. Environ. 2018, 190, 256–268. [Google Scholar] [CrossRef]
- Alfoldy, B.; Mahfouz, M.M.K.; Yigiterhan, O.; Safi, M.A.; Elnaiem, A.E.; Giamberini, S. BTEX, nitrogen oxides, ammonia and ozone concentrations at traffic influenced and background urban sites in an arid environment. Atmos. Pollut. Res. 2019, 10, 445–454. [Google Scholar] [CrossRef]
- Munir, S.; Mayfield, M.; Coca, D.; Jubb, S.A. Structuring an integrated air quality monitoring network in large urban areas–Discussing the purpose, criteria and deployment strategy. Atmos. Environ. X 2019, 2, 100027. [Google Scholar] [CrossRef]
- Sówka, I.; Chlebowska-Styś, A.; Pachurka, Ł.; Rogula-Kozłowska, W.; Mathews, B. Analysis of particulate matter concentration variability and origin in selected urban areas in Poland. Sustainability 2019, 11, 5735. [Google Scholar] [CrossRef]
- Govender, P.; Sivakumar, V. Application of k-means and hierarchical clustering techniques for analysis of air pollution: A review (1980–2019). Atmos. Pollut. Res. 2020, 11, 40–56. [Google Scholar] [CrossRef]
- He, H.-D.; Li, M.; Wang, W.-L.; Wang, Z.-Y.; Xue, Y. Prediction of PM2.5 concentration based on the similarity in air quality monitoring network. Build. Environ. 2018, 137, 11–17. [Google Scholar] [CrossRef]
- Žibert, J.; Pražnikar, J. Cluster analysis of particulate matter (PM10) and black carbon (BC) concentrations. Atmos. Environ. 2012, 57, 1–12. [Google Scholar] [CrossRef]
- Almeida-Silva, M.; Faria, T.; Saraga, D.; Maggos, T.; Wolterbeek, H.T.; Almeida, S.M. Source apportionment of indoor PM10 in Elderly Care Centre. Environ. Sci. Pollut. Res. 2016, 23, 7814–7827. [Google Scholar] [CrossRef] [PubMed]
- Battista, G.; Pagliaroli, T.; Mauri, L.; Basilicata, C.; De Lieto Vollaro, R. Assessment of the air pollution level in the city of Rome (Italy). Sustainability 2016, 8, 838. [Google Scholar] [CrossRef]
- Zhao, X.; Gao, Q.; Sun, M.; Xue, Y.; Ma, R.; Xiao, X.; Ai, B. Statistical analysis of spatiotemporal heterogeneity of the distribution of air quality and dominant air pollutants and the effect factors in Qingdao urban zones. Atmosphere 2018, 9, 135. [Google Scholar] [CrossRef]
- Nikolopoulos, D.; Alam, A.; Petraki, E.; Papoutsidakis, M.; Yannakopoulos, P.; Moustris, K.P. Stochastic and Self-Organisation Patterns in a 17-Year PM10 Time Series in Athens, Greece. Entropy 2021, 23, 307. [Google Scholar] [CrossRef]
- Małopolska in a Healthy Atmosphere. Effects of Activities. Available online: https://powietrze.malopolska.pl/en/air-quality-plan/effects-of-activities/ (accessed on 13 March 2021).
- Michnej, M.; Zwoliński, T. Objectives and strategies of sustainable urban mobility planning in the city of Krakow. In Transport Development Challenges in the Twenty-First Century. Proceedings of the 2015 TranSopot Conference; Bąk, M., Ed.; Springer Proceedings in Business and Economics; Springer: Cham, Switzerland, 2016; pp. 77–84. [Google Scholar] [CrossRef]
- Bździuch, P.; Bogacki, M. Autobusowy transport publiczny w Krakowie na tle najlepszych światowych systemów komunikacji miejskiej oraz ocena wpływu jego modernizacji na wielkość emisji zanieczyszczeń. Transp. Miej. Reg. 2017, 4, 26–31. (In Polish) [Google Scholar]
- Bogacki, M.; Oleniacz, R.; Rzeszutek, M.; Szulecka, A.; Mazur, M. The impact of intense street cleaning on particulate matter air concentrations: A case study of a street canyon in Krakow (Poland). E3S Web Conf. 2018, 45, 00009. [Google Scholar] [CrossRef]
- Bogacki, M.; Bździuch, P. Urban bus emission trends in the Krakow metropolitan area (Poland) from 2010 to 2015. Transp. Res. D Trans. Environ. 2019, 67, 33–50. [Google Scholar] [CrossRef]
- Bogacki, M.; Bździuch, P. Predicting the spatial distribution of emissions from urban buses based on previously measured data and scenarios for their modernization in the future. Case study: Krakow, Poland. Atmos. Environ. 2019, 199, 1–14. [Google Scholar] [CrossRef]
- Tomasz, J.; Dendys, M.; Tomaszewska, B.; Pająk, L. The Potential of RES in the Reduction of Air Pollution: The SWOT Analysis of Smart Energy Management Solutions for Krakow Functional Area (KrOF). Energies 2020, 13, 1754. [Google Scholar] [CrossRef]
- Blazy, R.; Błachut, J.; Ciepiela, A.; Łabuz, R.; Papież, R. Thermal Modernization Cost and the Potential Ecological Effect—Scenario Analysis for Thermal Modernization in Southern Poland. Energies 2021, 14, 2033. [Google Scholar] [CrossRef]
- Gorzelnik, T.; Oleniacz, R. Analiza zróżnicowania stężeń pyłu zawieszonego PM10 w świetle wyników pomiarów rozbudowanego systemu monitoringu jakości powietrza w Krakowie. In Aktualne Problemy w Inżynierii i Ochronie Atmosfery; Kuropka, J., Gaj, K., Sówka, I., Eds.; Oficyna Wydawnicza Politechniki Wrocławskiej: Wrocław, Poland, 2018; pp. 64–73. (In Polish) [Google Scholar]
- Gorzelnik, T.; Oleniacz, R. Suitability analysis of new air quality monitoring stations in Krakow as related to assessment of spatial and temporal variability of PM10 concentrations. Geomat. Environ. Eng. 2019, 13, 31–45. [Google Scholar] [CrossRef]
- Oleniacz, R.; Bogacki, M.; Rzeszutek, M.; Kot, A. Meteorologiczne determinanty jakości powietrza w Krakowie. In Ochrona Powietrza w Teorii i Praktyce; Konieczyński, J., Ed.; IPIŚ PAN: Zabrze, Poland, 2014; Volume 2, pp. 163–178. (In Polish) [Google Scholar]
- Ćwiek, K.; Majewski, G. The influence of meteorological factors on the development of air pollutants concentration—Cracow case study. Sci. Rev. Eng. Environ. Sci. 2015, 67, 54–66. (In Polish) [Google Scholar]
- Oleniacz, R.; Bogacki, M.; Szulecka, A.; Rzeszutek, M.; Mazur, M. Assessing the impact of wind speed and mixing-layer height on air quality in Krakow (Poland) in the years 2014-2015. J. Civ. Eng. Environ. Arch. 2016, 33, 315–342. [Google Scholar] [CrossRef]
- Szulecka, A.; Oleniacz, R.; Rzeszutek, M. Functionality of openair package in air pollution assessment and modeling—a case study of Krakow. Environ. Prot. Nat. Resour. 2017, 28, 22–27. [Google Scholar] [CrossRef]
- Bokwa, A.; Wypych, A.; Hajto, M.J. Impact of natural and anthropogenic factors on fog frequency and variability in Kraków, Poland in the years 1966–2015. Aerosol Air Qual. Res. 2018, 18, 165–177. [Google Scholar] [CrossRef]
- Jachimowski, A.; Paprocki, M.; Wojnarowska, M. Tackling Air Pollution in Krakow. E3S Web of Conf. 2018, 44, 00053. [Google Scholar] [CrossRef]
- Godłowska, J. Wpływ Warunków Meteorologicznych na Jakość Powietrza w Krakowie. Badania Porównawcze i Próba Podejścia Modelowego; Wydawnictwo IMGW-PIB: Warszawa, Poland, 2019. (In Polish) [Google Scholar]
- Juda-Rezler, K.; Reizer, M.; Oudinet, J.P. Determination and analysis of PM10 source apportionment during episodes of air pollution in Central Eastern European urban areas: The case of wintertime 2006. Atmos. Environ. 2011, 45, 6557–6566. [Google Scholar] [CrossRef]
- Samek, L. Source apportionment of the PM10 fraction of particulate matter collected in Krakow, Poland. Nukleonika 2012, 57, 601–606l. [Google Scholar]
- Reizer, M.; Juda-Rezler, K. Explaining the high PM10 concentrations observed in Polish urban areas. Air Qual. Atmos. Health 2016, 9, 517–531. [Google Scholar] [CrossRef]
- Samek, L.; Stegowski, Z.; Furman, L.; Styszko, K.; Szramowiat, K.; Fiedor, J. Quantitative assessment of PM2.5 sources and their seasonal variation in Krakow. Water Air Soil Pollut. 2017, 228, 290. [Google Scholar] [CrossRef]
- Samek, L.; Stegowski, Z.; Furman, L.; Fiedor, J. Chemical content and estimated sources of fine fraction of particulate matter collected in Krakow. Air Qual. Atmos. Health 2017, 10, 47–52. [Google Scholar] [CrossRef] [PubMed]
- Samek, L.; Stegowski, Z.; Styszko, K.; Furman, L.; Zimnoch, M.; Skiba, A.; Rozanski, K.; Konduracka, E. Seasonal variations of chemical composition of PM2.5 fraction in the urban area of Krakow, Poland: PMF source attribution. Air Qual. Atmos. Health 2020, 13, 89–96. [Google Scholar] [CrossRef]
- Tobler, A.K.; Skiba, A.; Canonaco, F.; Močnik, G.; Rai, P.; Chen, G.; Bartyzel, J.; Zimnoch, M.; Styszko, K.; Nęcki, J.; et al. Characterization of NR-PM1 and source apportionment of organic aerosol in Krakow, Poland. Atmos. Chem. Phys. 2021, 1–22, preprint. [Google Scholar] [CrossRef]
- Larsen, B.R.; Junninen, H.; Monster, J.; Viana, M.; Tsakovski, P.; Duvall, R.M.; Norris, G.; Querol, X. The Krakow receptor modelling intercomparison exercise. In JRC Scientific and Technical Reports; EUR 23621 EN 2008; EC: Luxembourg, 2008; Available online: https://www.researchgate.net/profile/Bo_Larsen2/publication/236969986_The_Krakow_receptor_modelling_inter-comparison_exercise/links/00b7d51a866ed00228000000/The-Krakow-receptor-modelling-inter-comparison-exercise.pdf (accessed on 31 December 2020).
- Junninen, H.; Monster, J.; Rey, M.; Cancelinha, J.; Douglas, K.; Duane, M.; Forcina, V.; Muller, A.; Lagler, F.; Marelli, L.; et al. Quantifying the impact of residential heating on the urban air quality in a typical European coal combustion region. Environ. Sci. Technol. 2009, 43, 7964–7970. [Google Scholar] [CrossRef] [PubMed]
- Bokwa, A. Environmental impacts of long-term air pollution changes in Kraków, Poland. Pol. J. Environ. Stud. 2008, 17, 673–686. [Google Scholar]
- Choi, H.; Melly, S.; Spengler, J. Intraurban and Longitudinal Variability of Classical Pollutants in Kraków, Poland, 2000–2010. Int. J. Environ. Res. Public Health 2015, 12, 4967–4991. [Google Scholar] [CrossRef] [PubMed]
- Merklinger-Gruchala, A.; Kapiszewska, M. Association between PM10 air pollution and birth weight after full-term pregnancy in Krakow city 1995–2009—trimester specificity. Ann. Agric. Environ. Med. 2015, 22, 265–270. [Google Scholar] [CrossRef] [PubMed]
- Samek, L. Overall human mortality and morbidity due to exposure to air pollution. Int. J. Occup. Med. Environ. Health 2016, 29, 417–426. [Google Scholar] [CrossRef] [PubMed]
- Gruszecka-Kosowska, A. Assessment of the Kraków inhabitants’ health risk caused by the exposure to inhalation of outdoor air contaminants. Stoch. Environ. Res. Risk. Assess. 2018, 32, 485–499. [Google Scholar] [CrossRef]
- Kobus, D.; Nych, A.; Sówka, I. Analysis of PM10 high concentration episodes in Warsaw, Krakow and Wroclaw in the years 2005–2017 with application of selected elements of information systems. E3S Web Conf. 2018, 44, 00070. [Google Scholar] [CrossRef]
- Petryk, A. Epidemiology of Selected Diseases Related to Air Pollution in Krakow. J. Ecol. Eng. 2018, 19. [Google Scholar] [CrossRef]
- Slama, A.; Śliwczyński, A.; Woźnica-Pyzikiewicz, J.; Zdrolik, M.; Wiśnicki, B.; Kubajek, J.; Turżańska-Wieczorek, O.; Studnicki, M.; Wierzba, W.; Franek, E. The short-term effects of air pollution on respiratory disease hospitalizations in 5 cities in Poland: Comparison of time-series and case-crossover analyses. Environ. Sci. Pollut. Res. 2020, 27, 24582–24590. [Google Scholar] [CrossRef]
- Traczyk, P.; Gruszecka-Kosowska, A. The Condition of Air Pollution in Kraków, Poland, in 2005–2020, with Health Risk Assessment. Int. J. Environ. Res. Public Health 2020, 17, 6063. [Google Scholar] [CrossRef]
- Wilczyńska-Michalik, W.; Michalik, M. Air pollution in Krakow: A glance into the future from a historical perspective. Acta Geobalcanica 2017, 3, 79–82. [Google Scholar] [CrossRef]
- Wilczyńska-Michalik, W.; Różańska, A.; Bulanda, M.; Chmielarczyk, A.; Pietras, B.; Michalik, M. Physicochemical and microbiological characteristics of urban aerosols in Krakow (Poland) and their potential health impact. Environ. Geochem. Health 2021. [Google Scholar] [CrossRef]
- Styszko, K.; Samek, L.; Szramowiat, K.; Korzeniewska, A.; Kubisty, K.; Rakoczy-Lelek, R.; Kistler, M.; Giebl, A.K. Oxidative potential of PM10 and PM2.5 collected at high air pollution site related to chemical composition: Krakow case study. Air Qual. Atmos. Health 2017, 10, 1123–1137. [Google Scholar] [CrossRef]
- Adamiec, E. Chemical fractionation and mobility of traffic-related elements in road environments. Environ. Geochem. Health 2017, 39, 1457–1468. [Google Scholar] [CrossRef] [PubMed]
- Kicińska, A.; Bożęcki, P. Metals and mineral phases of dusts collected in different urban parks of Krakow and their impact on the health of city residents. Environ. Geochem. Health 2018, 40, 473–488. [Google Scholar] [CrossRef]
- Kapusta, P.; Stanek, M.; Szarek-Łukaszewska, G.; Godzik, B. Long-term moss monitoring of atmospheric deposition near a large steelworks reveals the growing importance of local non-industrial sources of pollution. Chemosphere 2019, 230, 29–39. [Google Scholar] [CrossRef] [PubMed]
- Kotowski, T.; Motyka, J.; Knap, W.; Bielewski, J. 17-Year study on the chemical composition of rain, snow and sleet in very dusty air (Krakow, Poland). J. Hydrol. 2020, 582, 124543. [Google Scholar] [CrossRef]
- Bartocha, A.; Rosicki, M. Experiences in dispersion modelling in the development of an air quality management system in Krakow. Int. J. Environ. Pollut. 2015, 58, 112–123. [Google Scholar] [CrossRef]
- Oleniacz, R.; Rzeszutek, M.; Bogacki, M. Assessment of chemical transformation modules for secondary inorganic aerosol formation in CALPUFF model. Proc. ECOpole 2016, 10, 57–66. [Google Scholar]
- Oleniacz, R.; Rzeszutek, M.; Bogacki, M. Impact of use of chemical transformation modules in CALPUFF on the results of air dispersion modelling. Ecol. Chem. Eng. S 2016, 23, 605–620. [Google Scholar] [CrossRef]
- Oleniacz, R.; Rzeszutek, M. Intercomparison of the CALMET/CALPUFF modeling system for selected horizontal grid resolutions at a local scale: A case study of the MSWI Plant in Krakow, Poland. Appl. Sci. 2018, 8, 2301. [Google Scholar] [CrossRef]
- Rzeszutek, M.; Bogacki, M. Ocena modelu dyspersji zanieczyszczeń powietrza OSPM: Studium przypadku, Polska, Kraków. Ann. Set Environ. Prot. 2016, 18, 351–362. [Google Scholar]
- Bogacki, M.; Mazur, M.; Oleniacz, R.; Rzeszutek, M.; Szulecka, A. Re-entrained road dust PM10 emission from selected streets of Krakow and its impact on air quality. E3S Web Conf. 2018, 28, 01003. [Google Scholar] [CrossRef]
- Rzeszutek, M.; Bogacki, M.; Bździuch, P.; Szulecka, A. Improvement assessment of the OSPM model performance by considering the secondary road dust emissions. Transp. Res. D Trans. Environ. 2019, 68, 137–149. [Google Scholar] [CrossRef]
- Bogacki, M.; Oleniacz, R.; Rzeszutek, M.; Bździuch, P.; Szulecka, A.; Gorzelnik, T. Assessing the Impact of Road Traffic Reorganization on Air Quality: A Street Canyon Case Study. Atmosphere 2020, 11, 695. [Google Scholar] [CrossRef]
- Struzewska, J.; Kaminski, J.W. Impact of urban parameterization on high resolution air quality forecast with the GEM–AQ model. Atmos. Chem. Phys. 2012, 12, 10387–10404. [Google Scholar] [CrossRef]
- Pawul, M.; Śliwka, M. Application of artificial neural networks for prediction of air pollution levels in environmental monitoring. J. Ecol. Eng. 2016, 17, 190–196. [Google Scholar] [CrossRef][Green Version]
- Szulecka, A.; Mazur, M. Application of the Statistical Error and Quantitative Performance Measures in the Evaluation Process of Short-Term Air Quality Forecasts for Krakow (Poland). Geomat. Environ. Eng. 2016, 10, 87–99. [Google Scholar] [CrossRef]
- Skrobacki, Z.; Dabek, L.E.; Lagowski, P. Modelling and Forecasting of SO2 Concentration in Atmospheric Air–A Case Study of the City of Krakow. IOP Conf. Ser. Mater. Sci. Eng. 2019, 471, 102057. [Google Scholar] [CrossRef]
- Chief Inspectorate for Environmental Protection. Air Quality Portal. Available online: http://powietrze.gios.gov.pl/pjp/archives (accessed on 31 March 2020).
- Voivodeship Inspectorate of Environmental Protection in Krakow. Air Quality Monitoring System. Available online: http://monitoring.krakow.pios.gov.pl (accessed on 31 March 2020).
- Carr, D.; Pebesma, E. Package ‘Hexbin’, Version 1.27.2. Available online: https://cran.r-project.org/web/packages/hexbin/hexbin.pdf (accessed on 31 December 2020).
- R Core Team. R: A Language and Environment for Statistical Computing; R Foundation for Statistical Computing: Vienna, Austria; Available online: https://www.R-project.org/ (accessed on 31 December 2020).
- Carslaw, D.C.; Ropkins, K. openair—An R package for air quality data analysis. Environ. Model. Softw. 2012, 27–28, 52–61. [Google Scholar] [CrossRef]
- Wickham, H. ggplot2: Elegant Graphics for Data Analysis; Springer: New York, NY, USA, 2016. [Google Scholar]
- Bogacki, M.; Oleniacz, R.; Szulecka, A. Ocena ekspozycji budynku wielorodzinnego na wpływ emisji benzenu ze stacji paliw oraz transportu drogowego w okresie letnim. In Powietrze Atmosferyczne Jakość—Zagrożenia—Ochrona; Gaj, K., Kuropka, J., Eds.; Oficyna Wydawnicza Politechniki Wrocławskiej: Wrocław, Poland, 2016; pp. 50–61. (In Polish) [Google Scholar]
- Thorsson, S.; Eliasson, I. Passive and active sampling of benzene in different urban environments in Gothenburg, Sweden. Water Air Soil Pollut. 2006, 173, 39–56. [Google Scholar] [CrossRef]
- Atabi, F.; Moattar, F.; Mansouri, N.; Alesheikh, A.A.; Mirzahosseini, S.A.H. Assessment of variations in benzene concentration produced from vehicles and gas stations in Tehran using GIS. Int. J. Environ. Sci. Technol. 2013, 10, 283–294. [Google Scholar] [CrossRef]
- Notario, A.; Gutiérrez-Álvarez, I.; Adame, J.A. Atmospheric benzene measurements in the main metropolitan and industrial areas of Spain from 2014 to 2017. Atmos. Res. 2020, 238, 104896. [Google Scholar] [CrossRef]
- Karakitsios, S.P.; Delis, V.K.; Kassomenos, P.A.; Pilidis, G.A. Contribution to ambient benzene concentrations in the vicinity of petrol stations: Estimation of the associated health risk. Atmos. Environ. 2007, 41, 1889–1902. [Google Scholar] [CrossRef]
- Atkinson, R. Atmospheric chemistry of VOCs and NOx. Atmos. Environ. 2000, 34, 2063–2101. [Google Scholar] [CrossRef]
- Motta, F.; Ghigo, G.; Tonachini, G. Oxidative degradation of benzene in the troposphere. Theoretical mechanistic study of the formation of unsaturated dialdehydes and dialdehyde epoxides. J. Phys. Chem. A 2002, 106, 4411–4422. [Google Scholar] [CrossRef]
- Ng, N.L.; Kroll, J.H.; Chan, A.W.H.; Chhabra, P.S.; Flagan, R.C.; Seinfeld, J.H. Secondary organic aerosol formation from m-xylene, toluene, and benzene. Atmos. Chem. Phys. 2007, 7, 3909–3922. [Google Scholar] [CrossRef]
- Denning, A.S.; Fung, I.Y.; Randall, D. Latitudinal gradient of atmospheric CO2 due to seasonal exchange with land biota. Nature 1995, 376, 240–243. [Google Scholar] [CrossRef]
- Chen, B.; Chen, J.M.; Liu, J.; Chan, D.; Higuchi, K.; Shashkov, A. A vertical diffusion scheme to estimate the atmospheric rectifier effect. J. Geophys. Res. Atmos. 2004, 109. [Google Scholar] [CrossRef]










| Station Type | Station Name Abbreviation | Start Year of Measurements | Pollutants Monitored Continuously in the Years 2017–2018 | ||||
|---|---|---|---|---|---|---|---|
| PM10 | NO2 | C6H6 | SO2 | Other Substances 1 | |||
| Traffic (TS) | MpKrakAlKras | 1991 | + | + | + | – | PM2.5, NO, CO, |
| MpKrakDietla | 2016 | + | + | – | – | NO | |
| Urban background (UBS) | MpKrakBujaka | 2010 | + | + | + | + | PM2.5, NO, O3 |
| MpKrakOsPias | 2016 | + | – | – | – | – | |
| MpKrakZloRog | 2016 | + | – | – | – | – | |
| MpKrakTelime | 2017 2 | + | – | – | – | – | |
| Industrial (IS) | MpKrakBulwar | 1997 | + | + | + | + | PM2.5, NO, CO |
| MpKrakWadow | 2017 | + | – | – | – | – | |
| Variable | PM10_ TS | PM10_ UBS | PM10_ IS | NO2_ TS | NO2_ UBS | NO2_ IS | C6H6_ TS | C6H6_ UBS | C6H6_ IS | SO2_ UBS | SO2_ IS |
|---|---|---|---|---|---|---|---|---|---|---|---|
| PM10_TS | 0.0 | 52.6 | 52.3 | 70.0 | 73.5 | 62.6 | 66.9 | 68.4 | 82.5 | 85.8 | 81.0 |
| PM10_UBS | 52.6 | 0.0 | 47.5 | 68.4 | 83.6 | 61.7 | 60.2 | 64.4 | 75.2 | 75.1 | 76.7 |
| PM10_IS | 52.3 | 47.5 | 0.0 | 65.2 | 75.4 | 61.5 | 63.0 | 62.2 | 75.6 | 80.2 | 75.4 |
| NO2_TS | 70.0 | 68.4 | 65.2 | 0.0 | 46.4 | 44.7 | 41.9 | 42.3 | 64.8 | 57.8 | 59.5 |
| NO2_UBS | 73.5 | 83.6 | 75.4 | 46.4 | 0.0 | 57.9 | 62.5 | 61.0 | 81.3 | 79.0 | 71.2 |
| NO2_IS | 62.6 | 61.7 | 61.5 | 44.7 | 57.9 | 0.0 | 25.1 | 29.2 | 49.1 | 51.3 | 52.3 |
| C6H6_TS | 66.9 | 60.2 | 63.0 | 41.9 | 62.5 | 25.1 | 0.0 | 19.7 | 46.0 | 41.0 | 48.0 |
| C6H6_UBS | 68.4 | 64.4 | 62.2 | 42.3 | 61.0 | 29.2 | 19.7 | 0.0 | 46.6 | 43.5 | 42.5 |
| C6H6_IS | 82.5 | 75.2 | 75.6 | 64.8 | 81.3 | 49.1 | 46.0 | 46.6 | 0.0 | 45.5 | 56.6 |
| SO2_UBS | 85.8 | 75.1 | 80.2 | 57.8 | 79.0 | 51.3 | 41.0 | 43.5 | 45.5 | 0.0 | 52.5 |
| SO2_IS | 81.0 | 76.7 | 75.4 | 59.5 | 71.2 | 52.3 | 48.0 | 42.5 | 56.6 | 52.5 | 0.0 |
| Variable | PM10_ TS | PM10_ UBS | PM10_ IS | NO2_ TS | NO2_ UBS | NO2_ IS | C6H6_ TS | C6H6_ UBS | C6H6_ IS | SO2_ UBS | SO2_ IS |
|---|---|---|---|---|---|---|---|---|---|---|---|
| PM10_TS | 0.0 | 27.2 | 32.2 | 55.8 | 56.3 | 57.4 | 39.4 | 47.6 | 48.6 | 61.8 | 66.1 |
| PM10_UBS | 27.2 | 0.0 | 24.9 | 61.8 | 57.0 | 61.4 | 41.7 | 42.0 | 48.4 | 58.7 | 70.5 |
| PM10_IS | 32.2 | 24.9 | 0.0 | 61.5 | 60.7 | 58.2 | 41.8 | 42.1 | 39.7 | 57.2 | 66.5 |
| NO2_TS | 55.8 | 61.8 | 61.5 | 0.0 | 47.3 | 44.6 | 61.5 | 71.1 | 69.9 | 75.1 | 71.1 |
| NO2_UBS | 56.3 | 57.0 | 60.7 | 47.3 | 0.0 | 40.5 | 59.6 | 63.7 | 67.9 | 72.1 | 78.1 |
| NO2_IS | 57.4 | 61.4 | 58.2 | 44.6 | 40.5 | 0.0 | 58.5 | 68.8 | 66.3 | 69.6 | 70.1 |
| C6H6_TS | 39.4 | 41.7 | 41.8 | 61.5 | 59.6 | 58.5 | 0.0 | 49.3 | 48.7 | 61.6 | 69.0 |
| C6H6_UBS | 47.6 | 42.0 | 42.1 | 71.1 | 63.7 | 68.8 | 49.3 | 0.0 | 41.1 | 59.5 | 70.8 |
| C6H6_IS | 48.6 | 48.4 | 39.7 | 69.9 | 67.9 | 66.3 | 48.7 | 41.1 | 0.0 | 65.1 | 67.1 |
| SO2_UBS | 61.8 | 58.7 | 57.2 | 75.1 | 72.1 | 69.6 | 61.6 | 59.5 | 65.1 | 0.0 | 60.5 |
| SO2_IS | 66.1 | 70.5 | 66.5 | 71.1 | 78.1 | 70.1 | 69.0 | 70.8 | 67.1 | 60.5 | 0.0 |
| Variable Pair | Results of the Student’s t-Test (T-Statistic) | |
|---|---|---|
| without Transformation | after Box-Cox Transformation | |
| PM10_TS & PM10_UBS | 92.07 | 424.81 |
| PM10_TS & PM10_IS | 96.60 | 293.70 |
| PM10_UBS & PM10_IS | 25.75 | −133.62 |
| NO2_TS & NO2_UBS | 127.63 | 382.93 |
| NO2_TS & NO2_IS | 167.46 | 380.62 |
| NO2_UBS & NO2_IS | 36.20 | −7.29 |
| C6H6_TS &C6H6_UBS | 16.38 | 31.02 |
| C6H6_TS &C6H6_IS | 35.62 | 69.21 |
| C6H6_UBS &C6H6_IS | 8.31 | 16.96 |
| SO2_UBS & SO2_IS | −17.57 | −78.32 |
| Variable Pair | Z 1 | p |
|---|---|---|
| PM10_TS & PM10_UBS | 91.22 | 0.00 |
| PM10_TS & PM10_IS | 93.91 | 0.00 |
| PM10_UBS & PM10_IS | 32.15 | 0.00 |
| NO2_TS & NO2_UBS | 98.46 | 0.00 |
| NO2_TS & NO2_IS | 109.82 | 0.00 |
| NO2_UBS & NO2_IS | 30.43 | 0.00 |
| C6H6_TS &C6H6_UBS | 21.39 | 0.00 |
| C6H6_TS &C6H6_IS | 56.28 | 0.00 |
| C6H6_UBS &C6H6_IS | 23.50 | 0.00 |
| SO2_UBS & SO2_IS | 32.97 | 0.00 |
Publisher’s Note: MDPI stays neutral with regard to jurisdictional claims in published maps and institutional affiliations. |
© 2021 by the authors. Licensee MDPI, Basel, Switzerland. This article is an open access article distributed under the terms and conditions of the Creative Commons Attribution (CC BY) license (https://creativecommons.org/licenses/by/4.0/).
Share and Cite
Oleniacz, R.; Gorzelnik, T. Assessment of the Variability of Air Pollutant Concentrations at Industrial, Traffic and Urban Background Stations in Krakow (Poland) Using Statistical Methods. Sustainability 2021, 13, 5623. https://doi.org/10.3390/su13105623
Oleniacz R, Gorzelnik T. Assessment of the Variability of Air Pollutant Concentrations at Industrial, Traffic and Urban Background Stations in Krakow (Poland) Using Statistical Methods. Sustainability. 2021; 13(10):5623. https://doi.org/10.3390/su13105623
Chicago/Turabian StyleOleniacz, Robert, and Tomasz Gorzelnik. 2021. "Assessment of the Variability of Air Pollutant Concentrations at Industrial, Traffic and Urban Background Stations in Krakow (Poland) Using Statistical Methods" Sustainability 13, no. 10: 5623. https://doi.org/10.3390/su13105623
APA StyleOleniacz, R., & Gorzelnik, T. (2021). Assessment of the Variability of Air Pollutant Concentrations at Industrial, Traffic and Urban Background Stations in Krakow (Poland) Using Statistical Methods. Sustainability, 13(10), 5623. https://doi.org/10.3390/su13105623

