Assessment of Land Ecological Security and Analysis of Influencing Factors in Chaohu Lake Basin, China from 1998–2018
Abstract
1. Introduction
2. Data and Methodology
2.1. Study Area
2.2. Data Collection
3. Methods
3.1. Land- Use Classification
3.2. Analysis of Land Use Change
3.2.1. Land Use Dynamic Degree Models
3.2.2. Characterizing Land Use Transition
3.3. Assessment of Land Ecological Security
3.3.1. Establishment of the LES Assessment Framework
3.3.2. Determination of the Assessment Unit
3.3.3. Standardization of the Assessment Index
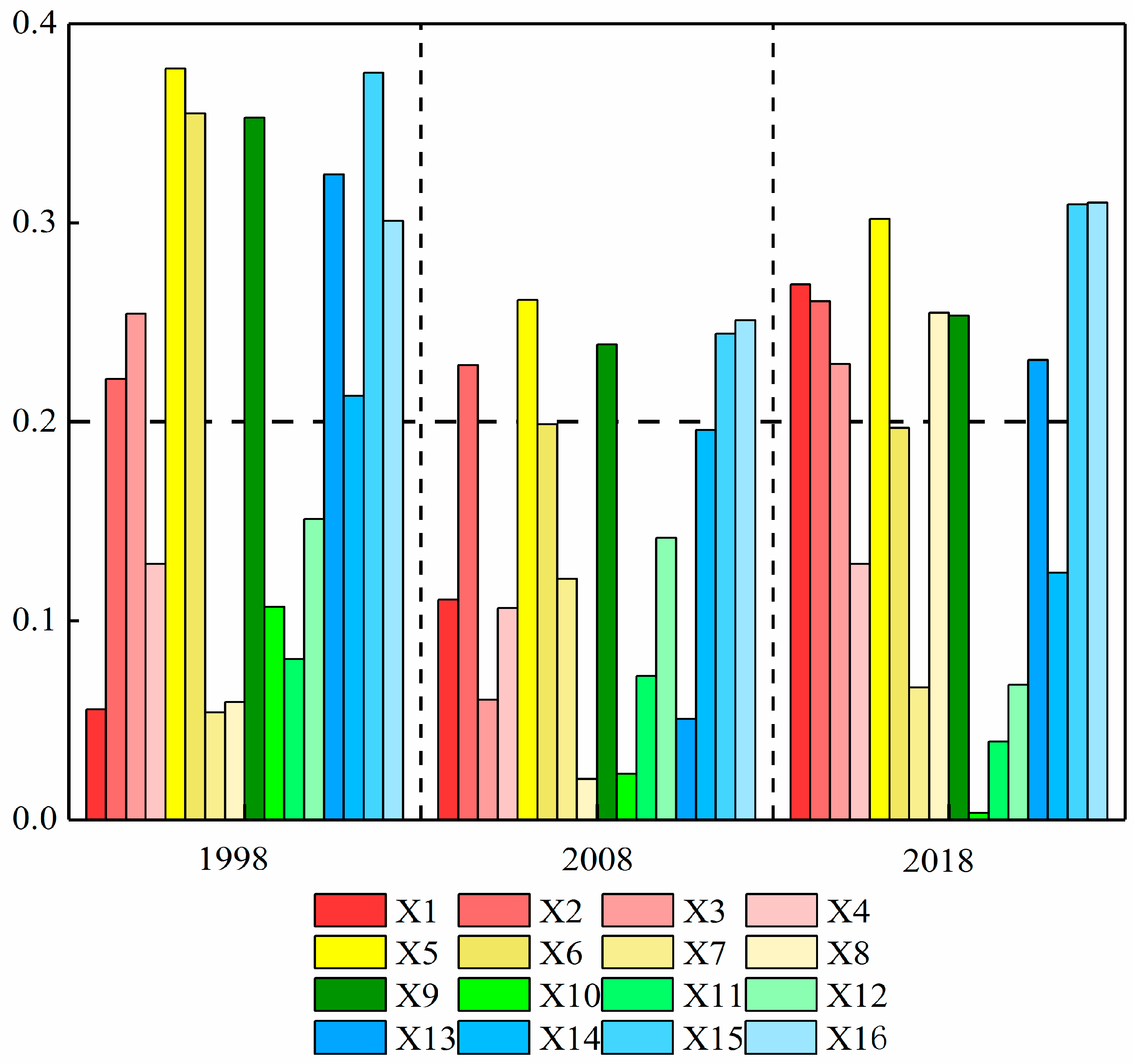
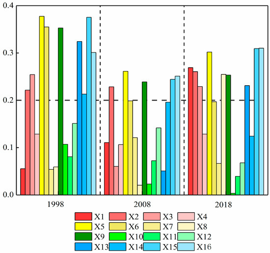
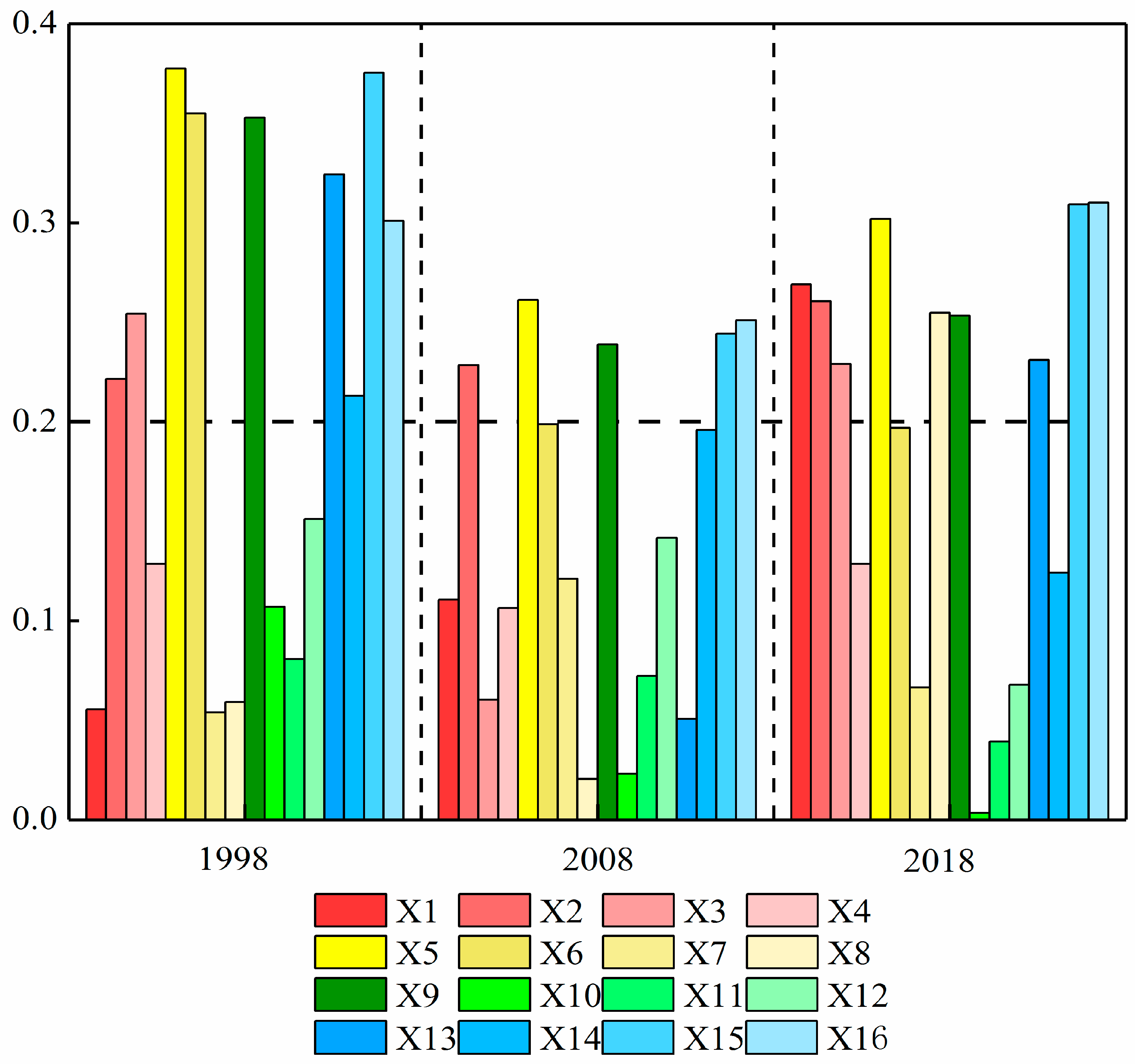
3.3.4. Determination of Index Weight
3.3.5. Calculating Comprehensive LES Index
3.3.6. Definitions of LES Level
3.4. Geographical Detector Analysis
4. Results
4.1. Analysis of Land Use Change
4.1.1. Change in the Quantity of Land Use
4.1.2. Characterizing the Transfer Direction of Land Use
4.1.3. Land Use Change Spatial Map Analysis
4.2. Land Ecological Security Assessment
4.2.1. Overall Characteristics of LES in Municipal Areas
4.2.2. Characteristics of Spatial Structure of LES Based on Grid
4.3. Identification of Influencing Factors of LES
5. Discussion
5.1. Driving Forces of Land Use Change in CLB
5.2. Analysis of the LES Pattern in CLB
5.3. Analysis of Influencing Factors of LES
5.4. Limitations
6. Conclusions
- The significant expansion of urban land led to different degrees of reduction in other land use types. In addition, more significant land use change occurred from 2008 to 2018 compared to 1998–2008 in the CLB. The cropland was the main converted direction of other land use types and urban land was mainly converted from cropland, grassland, and forestland.
- In the CLB (administrative district scale), the LES levels varied throughout the study period. The LES improved significantly in five regions, namely Changfeng, Lujiang, Wuwei, Chaohu and Feixi. However, the LES in other six regions showed different degrees of decline, especially in Hexian and Urban Hefei. At the grid scale, the LES in CLB showed a gradual improvement trend.
- Anthropogenic factors, such as electricity consumption per cropland area, pesticide use per cropland area and anthropogenic disturbance index had stronger impacts on LES than natural factors (e.g., NDVI).
Author Contributions
Funding
Institutional Review Board Statement
Informed Consent Statement
Data Availability Statement
Acknowledgments
Conflicts of Interest
Appendix A


References
- Chai, J.; Wang, Z.; Zhang, H. Integrated evaluation of coupling coordination for land use change and ecological security: A case study in Wuhan city of Hubei province, China. Int. J. Environ. Res. Public Health 2017, 14, 1435. [Google Scholar] [CrossRef] [PubMed]
- Vörösmarty, C.J.; McIntyre, P.B.; Gessner, M.O.; Dudgeon, D.; Prusevich, A.; Green, P.; Glidden, S.; Bunn, S.E.; Sullivan, C.A.; Liermann, C.R.; et al. Global threats to human water security and river biodiversity. Nature 2010, 467, 555–561. [Google Scholar] [CrossRef] [PubMed]
- Čuček, L.; Klemeš, J.J.; Varbanov, P.S.; Kravanja, Z. Significance of environmental footprints for evaluating sustainability and security of development. Clean Technol. Environ. Policy 2015, 17, 2125–2141. [Google Scholar] [CrossRef]
- Chen, H.S. Evaluation and Analysis of Eco-Security in Environmentally Sensitive Areas Using an Emergy Ecological Footprint. Int. J. Environ. Res. Public Health 2017, 14, 136. [Google Scholar] [CrossRef] [PubMed]
- Zhao, C.R.; Zhou, B.; Su, X. Evaluation of urban eco-security-A case study of Mianyang City, China. Sustainability 2014, 6, 2281–2299. [Google Scholar] [CrossRef]
- Ezeonu, I.C.; Ezeonu, F.C. The environment and global security. Environmentalist 2000, 20, 41–48. [Google Scholar] [CrossRef]
- Huang, Q.; Wang, R.; Ren, Z.; Li, J.; Zhang, H. Regional ecological security assessment based on long periods of ecological footprint analysis. Resour. Conserv. Recycl. 2007, 51, 24–41. [Google Scholar] [CrossRef]
- Geneletti, D.; Beinat, E.; Chung, C.J.F.; Fabbri, A.G.; Scholten, H.J. Accounting for uncertainty factors in biodiversity impact assessment: Lessons from a case study. Environ. Impact Assess. Rev. 2003, 23, 471–487. [Google Scholar] [CrossRef]
- Spring, U.O. The future of humanity: Human, gender and ecological security. Peace Confl. J. Peace Psychol. 2000, 6, 229–235. [Google Scholar] [CrossRef]
- Yu, G.; Zhang, S.; Yu, Q.; Fan, Y.; Zeng, Q.; Wu, L.; Zhou, R.R.; Nan, N.; Zhao, P. Assessing ecological security at the watershed scale based on RS/GIS: A case study from the Hanjiang River Basin. Stoch. Environ. Res. Risk Assess. 2014, 28, 307–318. [Google Scholar] [CrossRef]
- Feng, Y. Modeling dynamic urban land-use change with geographical cellular automata and generalized pattern search-optimized rules. Int. J. Geogr. Inf. Sci. 2017, 31, 1198–1219. [Google Scholar] [CrossRef]
- Xu, L.; Yin, H.; Li, Z.; Li, S. Land Ecological Security Evaluation of Guangzhou, China. Int. J. Environ. Res. Public Health 2014, 11, 10537–10558. [Google Scholar] [CrossRef] [PubMed]
- Feng, Y.; Yang, Q.; Tong, X.; Chen, L. Evaluating land ecological security and examining its relationships with driving factors using GIS and generalized additive model. Sci. Total Environ. 2018, 633, 1469–1479. [Google Scholar] [CrossRef] [PubMed]
- Travis, C.C.; Morris, J.M. The Emergence of Ecological Risk Assessment1. Risk Anal. 1992, 12, 167–168. [Google Scholar] [CrossRef]
- Sun, B.; Tang, J.; Yu, D.; Song, Z.; Wang, P. Ecosystem health assessment: A PSR analysis combining AHP and FCE methods for Jiaozhou Bay, China1. Ocean Coast. Manag. 2019, 168, 41–50. [Google Scholar] [CrossRef]
- Shepherd, K.D.; Shepherd, G.; Walsh, M.G. Land health surveillance and response: A framework for evidence-informed land management. Agric. Syst. 2015, 132, 93–106. [Google Scholar] [CrossRef]
- Sutton, P.C.; Anderson, S.J.; Costanza, R.; Kubiszewski, I. The ecological economics of land degradation: Impacts on ecosystem service values. Ecol. Econ. 2016, 129, 182–192. [Google Scholar] [CrossRef]
- Wang, Y.; Pan, J. Building ecological security patterns based on ecosystem services value reconstruction in an arid inland basin: A case study in Ganzhou District, NW China. J. Clean. Prod. 2019, 241, 118337. [Google Scholar] [CrossRef]
- Nuissl, H.; Haase, D.; Lanzendorf, M.; Wittmer, H. Environmental impact assessment of urban land use transitions-A context-sensitive approach. Land Use Policy 2009, 26, 414–424. [Google Scholar] [CrossRef]
- Ojoyi, M.M.; Mutanga, O.; Odindi, J.; Kahinda, J.M.M.; Abdel-Rahman, E.M. Implications of land use transitions on soil nitrogen in dynamic landscapes in Tanzania. Land Use Policy 2017, 64, 95–100. [Google Scholar] [CrossRef]
- Liu, Y.; Hou, X.; Li, X.; Song, B.; Wang, C. Assessing and predicting changes in ecosystem service values based on land use/cover change in the Bohai Rim coastal zone. Ecol. Indic. 2020, 111, 106004. [Google Scholar] [CrossRef]
- Juanita, A.D.; Ignacio, P.; Jorgelina, G.A.; Cecilia, A.S.; Carlos, M.; Francisco, N. Assessing the effects of past and future land cover changes in ecosystem services, disservices and biodiversity: A case study in Barranquilla Metropolitan Area (BMA), Colombia. Ecosyst. Serv. 2019, 37, 100915. [Google Scholar] [CrossRef]
- Wu, Y.; Tao, Y.; Yang, G.; Ou, W.; Pueppke, S.; Sun, X.; Chen, G.; Tao, Q. Impact of land use change on multiple ecosystem services in the rapidly urbanizing Kunshan City of China: Past trajectories and future projections. Land Use Policy 2019, 85, 419–427. [Google Scholar] [CrossRef]
- Xu, C.; Pu, L.; Zhu, M.; Li, J.; Chen, X.; Wang, X.; Xie, X. Ecological security and ecosystem services in response to land use change in the coastal area of Jiangsu, China. Sustainability 2016, 8, 816. [Google Scholar] [CrossRef]
- Su, S.; Chen, X.; DeGloria, S.D.; Wu, J. Integrative fuzzy set pair model for land ecological security assessment: A case study of Xiaolangdi Reservoir Region, China. Stoch. Environ. Res. Risk Assess. 2010, 24, 639–647. [Google Scholar] [CrossRef]
- Su, S.; Li, D.; Yu, X.; Zhang, Z.; Zhang, Q.; Xiao, R.; Zhi, J.; Wu, J. Assessing land ecological security in Shanghai (China) based on catastrophe theory. Stoch. Environ. Res. Risk Assess. 2011, 25, 737–746. [Google Scholar] [CrossRef]
- Yang, Y.; Cai, Z. Ecological security assessment of the Guanzhong Plain urban agglomeration based on an adapted ecological footprint model. J. Clean. Prod. 2020, 260, 120973. [Google Scholar] [CrossRef]
- Li, Z.T.; Li, M.; Xia, B.C. Spatio-temporal dynamics of ecological security pattern of the Pearl River Delta urban agglomeration based on LUCC simulation. Ecol. Indic. 2020, 114, 106319. [Google Scholar] [CrossRef]
- Shen, Y.; Cao, H.; Tang, M.; Deng, H. The human threat to river ecosystems at the watershed scale: An ecological security assessment of the songhua river basin, Northeast China. Water 2017, 9, 219. [Google Scholar] [CrossRef]
- Ma, L.; Bo, J.; Li, X.; Fang, F.; Cheng, W. Identifying key landscape pattern indices influencing the ecological security of inland river basin: The middle and lower reaches of Shule River Basin as an example. Sci. Total Environ. 2019, 674, 424–438. [Google Scholar] [CrossRef]
- Neri, A.C.; Dupin, P.; Sánchez, L.E. A pressure-state-response approach to cumulative impact assessment. J. Clean. Prod. 2016, 126, 288–298. [Google Scholar] [CrossRef]
- Newton, A.; Weichselgartner, J. Hotspots of coastal vulnerability: A DPSIR analysis to find societal pathways and responses. Estuar. Coast. Shelf Sci. 2014, 140, 123–133. [Google Scholar] [CrossRef]
- Lu, Y.; Wang, X.; Xie, Y.; Li, K.; Xu, Y. Integrating Future Land Use Scenarios to Evaluate the Spatio-Temporal Dynamics of Landscape Ecological Security. Sustainability 2016, 8, 1242. [Google Scholar] [CrossRef]
- Han, B.; Liu, H.; Wang, R. Urban ecological security assessment for cities in the Beijing-Tianjin-Hebei metropolitan region based on fuzzy and entropy methods. Ecol. Modell. 2015, 318, 217–225. [Google Scholar] [CrossRef]
- Gao, P.P.; Li, Y.P.; Sun, J.; Li, H.W. Coupling fuzzy multiple attribute decision-making with analytic hierarchy process to evaluate urban ecological security: A case study of Guangzhou, China. Ecol. Complex. 2018, 34, 23–34. [Google Scholar] [CrossRef]
- Li, Z.T.; Yuan, M.J.; Hu, M.M.; Wang, Y.F.; Xia, B.C. Evaluation of ecological security and influencing factors analysis based on robustness analysis and the BP-DEMALTE model: A case study of the Pearl River Delta urban agglomeration. Ecol. Indic. 2019, 101, 595–602. [Google Scholar] [CrossRef]
- Li, X.; Tian, M.; Wang, H.; Wang, H.; Yu, J. Development of an ecological security evaluation method based on the ecological footprint and application to a typical steppe region in China. Ecol. Indic. 2014, 39, 153–159. [Google Scholar] [CrossRef]
- Liu, C.; Wu, X.; Wang, L. Analysis on land ecological security change and affect factors using RS and GWR in the Danjiangkou Reservoir area, China. Appl. Geogr. 2019, 105, 1–14. [Google Scholar] [CrossRef]
- Lyu, R.; Clarke, K.C.; Zhang, J.; Feng, J.; Jia, X.; Li, J. Spatial correlations among ecosystem services and their socio-ecological driving factors: A case study in the city belt along the Yellow River in Ningxia, China. Appl. Geogr. 2019, 108, 64–73. [Google Scholar] [CrossRef]
- Feng, Q.; Zhao, W.; Fu, B.; Ding, J.; Wang, S. Ecosystem service trade-offs and their influencing factors: A case study in the Loess Plateau of China. Sci. Total Environ. 2017, 607–608, 1250–1263. [Google Scholar] [CrossRef]
- Qiao, J.; Yu, D.; Wu, J. How do climatic and management factors affect agricultural ecosystem services? A case study in the agro-pastoral transitional zone of northern China. Sci. Total Environ. 2018, 613–614, 314–323. [Google Scholar] [CrossRef] [PubMed]
- Ivits, E.; Cherlet, M.; Mehl, W.; Sommer, S. Estimating the ecological status and change of riparian zones in Andalusia assessed by multi-temporal AVHHR datasets. Ecol. Indic. 2009, 9, 422–431. [Google Scholar] [CrossRef]
- Ali, A.; de Bie, C.A.J.M.; Skidmore, A.K.; Scarrott, R.G.; Hamad, A.; Venus, V.; Lymberakis, P. Mapping land cover gradients through analysis of hyper-temporal NDVI imagery. Int. J. Appl. Earth Obs. Geoinf. 2013, 23, 301–312. [Google Scholar] [CrossRef]
- Gislason, P.O.; Benediktsson, J.A.; Sveinsson, J.R. Random Forests for land cover classification. Pattern Recognit. Lett. 2006, 27, 294–300. [Google Scholar] [CrossRef]
- Breiman, L.; Friedman, J.H.; Olshen, R.A.; Stone, C.J. Classification and Regression Trees; Routledge: London, UK, 2017; ISBN 9781315139470. [Google Scholar]
- Breiman, L. Summary for Policymakers. In Climate Change 2013—The Physical Science Basis; Intergovernmental Panel on Climate Change; Cambridge University Press: Cambridge, UK, 2001; pp. 1–30. ISBN 9788578110796. [Google Scholar]
- Cui, Y.; Li, L.; Chen, L.; Zhang, Y.; Cheng, L.; Zhou, X.; Yang, X. Land-Use Carbon Emissions Estimation for the Yangtze River Delta Urban Agglomeration Using 1994–2016 Landsat Image Data. Remote Sens. 2018, 10, 1334. [Google Scholar] [CrossRef]
- Macarof, P.; Statescu, F. Comparasion of NDBI and NDVI as Indicators of Surface Urban Heat Island Effect in Landsat 8 Imagery: A Case Study of Iasi. Present Environ. Sustain. Dev. 2017, 11, 141–150. [Google Scholar] [CrossRef]
- Wang, Y.; Huang, F.; Wei, Y. Water body extraction from LANDSAT ETM+ image using MNDWI and K-T transformation. In Proceedings of the International Conference on Geoinformatics, Kaifeng, Henan Province, China, 20–22 June 2013. [Google Scholar]
- Li, L.; Solana, C.; Canters, F.; Kervyn, M. Testing random forest classification for identifying lava flows and mapping age groups on a single Landsat 8 image. J. Volcanol. Geotherm. Res. 2017, 345, 109–124. [Google Scholar] [CrossRef]
- Liu, J.; Liu, M.; Zhuang, D.; Zhang, Z.; Deng, X. Study on spatial pattern of land-use change in China during 1995–2000. Sci. China Ser. D Earth Sci. 2003, 46, 373–384. [Google Scholar] [CrossRef]
- Wang, Z.; Chai, J.; Li, B. The Impacts of Land Use Change on Residents’ Living Based on Urban Metabolism: A Case Study in Yangzhou City of Jiangsu Province, China. Sustainability 2016, 8, 1004. [Google Scholar] [CrossRef]
- Song, W.; Deng, X. Land-use/land-cover change and ecosystem service provision in China. Sci. Total Environ. 2017, 576, 705–719. [Google Scholar] [CrossRef]
- Zhao, Z.; Feng, J. Spatio-temporal analysis of land use changes using remote sensing in Horqin sandy land, China. Sens. Rev. 2019, 39, 844–856. [Google Scholar] [CrossRef]
- Geng, Y.; Ma, Y.; Wang, Z. Transfer matrix-based analysis of impact of land cover change on urban rain flood. J. Nat. Disasters 2017, 11. [Google Scholar] [CrossRef]
- Gao, S.; Sun, H.; Zhao, L.; Wang, R.; Xu, M.; Cao, G. Dynamic assessment of island ecological environment sustainability under urbanization based on rough set, synthetic index and catastrophe progression analysis theories. Ocean Coast. Manag. 2019, 178, 104790. [Google Scholar] [CrossRef]
- Chen, H.S.; Liu, W.Y.; Hsieh, C.M. Integrating Ecosystem Services and Eco-Security to Assess Sustainable Development in Liuqiu Island. Sustainability 2017, 9, 1002. [Google Scholar] [CrossRef]
- Whitall, D.; Bricker, S.; Ferreira, J.; Nobre, A.M.; Simas, T.; Silva, M. Assessment of eutrophication in estuaries: Pressure-state-response and nitrogen source apportionment. Environ. Manag. 2007, 40, 678–690. [Google Scholar] [CrossRef]
- Yang, Y.; Song, G.; Lu, S. Assessment of land ecosystem health with Monte Carlo simulation: A case study in Qiqihaer, China. J. Clean. Prod. 2020, 250, 119522. [Google Scholar] [CrossRef]
- Wolfslehner, B.; Vacik, H. Evaluating sustainable forest management strategies with the Analytic Network Process in a Pressure-State-Response framework. J. Environ. Manag. 2008, 88, 1–10. [Google Scholar] [CrossRef]
- Chen, W.; Chi, G.; Li, J. The spatial association of ecosystem services with land use and land cover change at the county level in China, 1995–2015. Sci. Total Environ. 2019, 669, 459–470. [Google Scholar] [CrossRef]
- Li, H.; Zhao, Y.; Zheng, F. The framework of an agricultural land-use decision support system based on ecological environmental constraints. Sci. Total Environ. 2020, 717, 137149. [Google Scholar] [CrossRef]
- Wu, Y.; Zhang, T.; Zhang, H.; Pan, T.; Ni, X.; Grydehøj, A.; Zhang, J. Factors influencing the ecological security of island cities: A neighborhood-scale study of Zhoushan Island, China. Sustain. Cities Soc. 2020, 55, 102029. [Google Scholar] [CrossRef]
- Liu, G.; Wang, J.; Li, S.; Li, J.; Duan, P. Dynamic Evaluation of Ecological Vulnerability in a Lake Watershed Based on RS and GIS Technology. Polish J. Environ. Stud. 2019, 28, 1785–1798. [Google Scholar] [CrossRef]
- Lu, S.; Qin, F.; Chen, N.; Yu, Z.; Xiao, Y.; Cheng, X.; Guan, X. Spatiotemporal differences in forest ecological security warning values in Beijing: Using an integrated evaluation index system and system dynamics model. Ecol. Indic. 2019, 104, 549–558. [Google Scholar] [CrossRef]
- Zhang, F.; Liu, X.; Zhang, J.; Wu, R.; Ma, Q.; Chen, Y. Ecological vulnerability assessment based on multi-sources data and SD model in Yinma River Basin, China. Ecol. Modell. 2017, 349, 41–50. [Google Scholar] [CrossRef]
- Song, G.; Chen, Y.; Tian, M.; Lv, S.; Zhang, S.; Liu, S. The ecological vulnerability evaluation in southwestern mountain region of China based on GIS and AHP method. Procedia Environ. Sci. 2010, 2, 465–475. [Google Scholar] [CrossRef]
- Khodaparast, J.; Fosso, O.B.; Molinas, M. Real Time Phasor Estimation Based on Recursive Prony with Several Channels of One PMU. In Proceedings of the IEEE PES Innovative Smart Grid Technologies Conference Europe (ISGT-Europe), Sarajevo, Bosnia-Herzegovina, 21–25 October 2018. [Google Scholar]
- Achour, Y.; Boumezbeur, A.; Hadji, R.; Chouabbi, A.; Cavaleiro, V.; Bendaoud, E.A. Landslide susceptibility mapping using analytic hierarchy process and information value methods along a highway road section in Constantine, Algeria. Arab. J. Geosci. 2017, 10, 194. [Google Scholar] [CrossRef]
- Jayawickrama, H.M.M.M.; Kulatunga, A.K.; Mathavan, S. Fuzzy AHP based Plant Sustainability Evaluation Method. Procedia Manuf. 2017, 571–578. [Google Scholar] [CrossRef]
- Thewes, M.; Kamarianakis, S. Multi-criteria decision making of construction methods using the analytical hierarchy process based on fuzzy scales. In Proceedings of the 13th World Confernece of ACUUS: Advances in Underground Space Development, ACUUS 2012, Marina Bay Sands, Singapore, 7–9 November 2012. [Google Scholar]
- Luu, C.; Von Meding, J.; Kanjanabootra, S. Assessing flood hazard using flood marks and analytic hierarchy process approach: A case study for the 2013 flood event in Quang Nam, Vietnam. Nat. Hazards 2018, 90, 1031–1050. [Google Scholar] [CrossRef]
- Chen, Y.; Bouferguene, A.; Al-Hussein, M. Analytic Hierarchy Process–Simulation Framework for Lighting Maintenance Decision-Making Based on the Clustered Network. J. Perform. Constr. Facil. 2018, 32, 04017114. [Google Scholar] [CrossRef]
- Zhao, C.; Pan, T.; Dou, T.; Liu, J.; Liu, C.; Ge, Y.; Zhang, Y.; Yu, X.; Mitrovic, S.; Lim, R. Making global river ecosystem health assessments objective, quantitative and comparable. Sci. Total Environ. 2019, 667, 500–510. [Google Scholar] [CrossRef]
- Shi, Y.; Li, J.; Xie, M. Evaluation of the ecological sensitivity and security of tidal flats in Shanghai. Ecol. Indic. 2018, 85, 729–741. [Google Scholar] [CrossRef]
- Hu, M.; Li, Z.; Yuan, M.; Fan, C.; Xia, B. Spatial differentiation of ecological security and differentiated management of ecological conservation in the Pearl River Delta, China. Ecol. Indic. 2019, 104, 439–448. [Google Scholar] [CrossRef]
- Liu, Y.; Li, T.; Zhao, W.; Wang, S.; Fu, B. Landscape functional zoning at a county level based on ecosystem services bundle: Methods comparison and management indication. J. Environ. Manag. 2019, 249, 109315. [Google Scholar] [CrossRef] [PubMed]
- Brewer, C.A.; Pickle, L. Evaluation of Methods for Classifying Epidemiological Data on Choropleth Maps in Series. Ann. Assoc. Am. Geogr. 2002, 92, 662–681. [Google Scholar] [CrossRef]
- Mărgărint, M.C.; Grozavu, A.; Patriche, C.V. Assessing the spatial variability of coefficients of landslide predictors in different regions of Romania using logistic regression. Nat. Hazards Earth Syst. Sci. 2013, 13, 3339–3355. [Google Scholar] [CrossRef]
- Feng, Y.; Liu, Y.; Liu, Y. Spatially explicit assessment of land ecological security with spatial variables and logistic regression modeling in Shanghai, China. Stoch. Environ. Res. Risk Assess. 2017, 31, 2235–2249. [Google Scholar] [CrossRef]
- Wang, J.; Li, X.; Christakos, G.; Liao, Y.; Zhang, T.; Gu, X.; Zheng, X. Geographical Detectors-Based Health Risk Assessment and its Application in the Neural Tube Defects Study of the Heshun Region, China. Int. J. Geogr. Inf. Sci. 2010, 24, 107–127. [Google Scholar] [CrossRef]
- Zhu, L.; Meng, J.; Zhu, L. Applying Geodetector to disentangle the contributions of natural and anthropogenic factors to NDVI variations in the middle reaches of the Heihe River Basin. Ecol. Indic. 2020, 117, 106545. [Google Scholar] [CrossRef]
- Tang, C.; Yang, C.; Cai, R.S.; Ye, H.; Duan, L.; Zhang, Z.; Shi, Z.; Lin, K.; Song, J.; Huang, X.; et al. Analysis of the relationship between electromagnetic radiation characteristics and urban functions in highly populated urban areas. Sci. Total Environ. 2019, 654, 535–540. [Google Scholar] [CrossRef]
- Hu, S.; Li, L.; Chen, L.; Cheng, L.; Yuan, L.; Huang, X.; Zhang, T. Estimation of Soil Erosion in the Chaohu Lake Basin through Modified Soil Erodibility Combined with Gravel Content in the RUSLE Model. Water 2019, 11, 1806. [Google Scholar] [CrossRef]
- Qi, Y.; Hu, S.; Huo, S.; Xi, B.; Zhang, J.; Wang, X. Spatial distribution and historical deposition behaviors of perfluoroalkyl substances (PFASs) in sediments of Lake Chaohu, a shallow eutrophic lake in Eastern China. Ecol. Indic. 2015, 57, 1–10. [Google Scholar] [CrossRef]
- Wang, C.; Jiang, Q.; Shao, Y.; Sun, S.; Xiao, L.; Guo, J. Ecological environment assessment based on land use simulation: A case study in the Heihe River Basin. Sci. Total Environ. 2019, 697, 133928. [Google Scholar] [CrossRef] [PubMed]
- Liang, W.; Zhengfu, B.; Hongquan, C. Land ecological security assessment for Yancheng city based on catastrophe theory. Earth Sci. Res. J. 2015, 18, 181–187. [Google Scholar] [CrossRef]
- Tsou, J.; Gao, Y.; Zhang, Y.; Genyun, S.; Ren, J.; Li, Y. Evaluating Urban Land Carrying Capacity Based on the Ecological Sensitivity Analysis: A Case Study in Hangzhou, China. Remote Sens. 2017, 9, 529. [Google Scholar] [CrossRef]
- Li, S.; Xiao, W.; Zhao, Y.; Xu, J.; Da, H.; Lv, X. Quantitative Analysis of the Ecological Security Pattern for Regional Sustainable Development: Case Study of Chaohu Basin in Eastern China. J. Urban Plan. Dev. 2019, 145, 1–18. [Google Scholar] [CrossRef]
- Guo, R.; Wu, T.; Liu, M.; Huang, M.; Stendardo, L.; Zhang, Y. The Construction and Optimization of Ecological Security Pattern in the Harbin-Changchun Urban Agglomeration, China. Int. J. Environ. Res. Public Health 2019, 16, 1190. [Google Scholar] [CrossRef] [PubMed]
- Li, S.; de Haan, J.; Scholtens, B. Sudden stops of international fund flows: Occurrence and magnitude. Rev. Int. Econ. 2019, 27, 468–497. [Google Scholar] [CrossRef]
- Mao, X.; Meng, J.; Xiang, Y. Cellular automata-based model for developing land use ecological security patterns in semi-arid areas: A case study of Ordos, Inner Mongolia, China. Environ. Earth Sci. 2013, 70, 269–279. [Google Scholar] [CrossRef]
- Pope, R.; Wu, J. Characterizing air pollution patterns on multiple time scales in urban areas: A landscape ecological approach. Urban Ecosyst. 2014, 17, 855–874. [Google Scholar] [CrossRef]
- Popkova, E.G.; Shakhovskaya, L.S.; Abramov, S.A.; Natsubidze, A.S. Ecological clusters as a tool of improving the environmental safety in developing countries. Environ. Dev. Sustain. 2016, 18, 1049–1057. [Google Scholar] [CrossRef]
- Kuang, B.; Lu, X.; Zhou, M.; Chen, D. Provincial cultivated land use efficiency in China: Empirical analysis based on the SBM-DEA model with carbon emissions considered. Technol. Forecast. Soc. Chang. 2020, 151, 119874. [Google Scholar] [CrossRef]
- Spatari, S.; Yu, Z.; Montalto, F.A. Life cycle implications of urban green infrastructure. Environ. Pollut. 2011, 159, 2174–2179. [Google Scholar] [CrossRef] [PubMed]










| Year | Sensor | Acquisition Date (Path/Row) |
|---|---|---|
| 1998 | TM | 1998-4-19 (121/38), 1998-4-28 (120/38) |
| 2008 | TM | 2008-5-16 (121/38), 2009-4-26 (120/38) |
| 2018 | OLI | 2018-4-10 (121/38), 2018-4/19 (120/38) |
| Index | Data Sources |
|---|---|
| Per capita cropland area | Socio-economic development Statistics Bulletins and land use data |
| Pesticide use per cropland area | |
| Fertilizer use per cropland area | |
| Economic density | Statistical yearbook |
| Land use intensity | Land use data |
| Anthropogenic disturbance index | |
| Grain yield per capita | Statistical yearbook |
| Mechanization degree of the agricultural area | Socio-economic development Statistics Bulletins and land use data |
| Electricity consumption per cropland area | |
| Slope | DEM |
| Proportion of water area | Land use data |
| NDVI | Remote sensing images |
| Per capita GDP | Statistical yearbook |
| Proportion of tertiary industry | |
| Per capita net income of farmers | |
| Afforestation area |
| Target Layer | Project Layer | Number | Index Layer | Unit | Index Attribute | References |
|---|---|---|---|---|---|---|
| Land Ecological Security (LES) | Pressure | X1 | Per capita cropland area | hm2/capita | + | [30,35] |
| X2 | Pesticide use per cropland area | kg/hm2 | − | [59] | ||
| X3 | Fertilizer use per cropland area | kg/hm2 | − | [30,59] | ||
| X4 | Economic density | yuan/km2 | − | [59] | ||
| X5 | Land use intensity | / | − | [61] | ||
| X6 | Anthropogenic disturbance index | / | − | [36] | ||
| State | X7 | Grain yield per capita | kg/capita | + | [26] | |
| X8 | Mechanization degree of the agricultural area | Kw/hm2 | + | [62] | ||
| X9 | Electricity consumption per cropland area | Kw h/hm2 | + | [63] | ||
| X10 | Slope | / | − | [38,64] | ||
| X11 | Proportion of water area | % | + | [36] | ||
| X12 | NDVI | / | + | [30,36] | ||
| Response | X13 | Per capita GDP | yuan | + | [34,36] | |
| X14 | Proportion of tertiary industry | % | + | [35,36] | ||
| X15 | Per capita net income of farmers | yuan | + | [59,64] | ||
| X16 | Afforestation area | hm2 | + | [30,65] |
| Project Layer | Index Layer | Weight | ||
|---|---|---|---|---|
| 1998 | 2008 | 2018 | ||
| Pressure | Per capita cropland land area | 0.0672 | 0.0812 | 0.0848 |
| The pesticide use per cropland area | 0.0666 | 0.0675 | 0.0529 | |
| The fertilizer use per cropland area | 0.0505 | 0.0555 | 0.0681 | |
| Economic density | 0.0148 | 0.0164 | 0.0162 | |
| Land use intensity | 0.1172 | 0.1252 | 0.1213 | |
| Anthropogenic disturbance index | 0.1169 | 0.1249 | 0.1210 | |
| State | Grain yield per capita | 0.0159 | 0.0153 | 0.0144 |
| Degree of agricultural mechanization | 0.0565 | 0.0807 | 0.0784 | |
| Electricity consumption per cropland area | 0.0998 | 0.1109 | 0.0765 | |
| Slope | 0.0172 | 0.0174 | 0.0174 | |
| Proportion of water area | 0.0469 | 0.0498 | 0.0556 | |
| NDVI | 0.0553 | 0.0575 | 0.0675 | |
| Response | Per capita GDP | 0.1422 | 0.0728 | 0.0578 |
| Proportion of tertiary industry | 0.0413 | 0.0317 | 0.0479 | |
| Per capita net income of farmers | 0.0321 | 0.0331 | 0.0314 | |
| Afforestation area | 0.0595 | 0.0600 | 0.0887 |
| Levels of LES | 1998 | 2008 | 2018 | Features of the Ecosystem |
|---|---|---|---|---|
| Very secure | 0.545–0.748 | 0.529–0.690 | 0.539–0.697 | Quite stable ecosystem, relatively primitive and good environment, high vegetation coverage. |
| Relatively secure | 0.441–0.545 | 0.460–0.529 | 0.484–0.539 | Relatively stable ecosystem, slight pollution, and high vegetation coverage. |
| Middle | 0.386–0.441 | 0.413–0.460 | 0.436–0.484 | Stable ecosystem, medium vegetation, and serious pollution. |
| Relatively insecure | 0.336–0.386 | 0.353–0.413 | 0.372–0.436 | Relatively unstable ecosystem, heavy pollution, and low vegetation coverage. |
| Very insecure | 0.188–0.336 | 0.213–0.353 | 0.231–0.372 | Unstable ecosystem, high-density built-up area with serious pollution, and no vegetation coverage. |
| Land Use Types | Area (km2) | Area of Change (km2) | ||||
|---|---|---|---|---|---|---|
| 1998 | 2008 | 2018 | 1998–2008 | 2008–2018 | 1998–2018 | |
| Cropland | 12,854.94 | 13,168.51 | 12,459.93 | 313.57 | −708.58 | −395.01 |
| Grassland | 723.14 | 810.92 | 781.06 | 87.78 | −29.86 | 57.92 |
| Forestland | 2963.52 | 2600.20 | 2864.26 | −363.32 | 264.06 | −99.26 |
| Urban land | 2251.11 | 2543.08 | 2993.21 | 291.97 | 450.12 | 742.09 |
| Water area | 1418.97 | 1165.55 | 1210.91 | −253.42 | 45.36 | −208.06 |
| Other land-use | 179.05 | 102.48 | 81.37 | −76.57 | −21.11 | −97.68 |
| Period | 1998–2008 | 2008–2018 | 1998–2018 |
|---|---|---|---|
| LC (%) | 1.31 | 1.42 | 0.78 |
| 1998 | 2018 | |||||
|---|---|---|---|---|---|---|
| Cropland | Grassland | Forestland | Urban Land | Other Land-Use | Water Area | |
| Cropland | 9839.73 | 447.04 | 586.37 | 1222.81 | 111.56 | 252.42 |
| Grassland | 478.23 | 88.27 | 140.77 | 51.06 | 21.32 | 1.41 |
| Forestland | 605.60 | 91.33 | 2080.07 | 64.96 | 16.24 | 6.05 |
| Urban land | 1813.51 | 87.27 | 141.37 | 892.55 | 27.86 | 30.65 |
| Other land-use | 49.74 | 8.60 | 13.02 | 7.20 | 2.05 | 0.76 |
| Water area | 68.13 | 0.63 | 1.92 | 12.53 | 0.01 | 1127.69 |
| Level | Percentage (%) | ||
|---|---|---|---|
| 1998 | 2008 | 2018 | |
| Very secure | 2.96 | 5.40 | 12.54 |
| Relatively secure | 14.26 | 27.54 | 33.08 |
| Middle | 27.80 | 21.11 | 28.62 |
| Relatively insecure | 35.93 | 36.73 | 15.88 |
| Very insecure | 19.05 | 9.22 | 9.87 |
| Total | 100.00 | 100.00 | 100.00 |
Publisher’s Note: MDPI stays neutral with regard to jurisdictional claims in published maps and institutional affiliations. |
© 2021 by the authors. Licensee MDPI, Basel, Switzerland. This article is an open access article distributed under the terms and conditions of the Creative Commons Attribution (CC BY) license (http://creativecommons.org/licenses/by/4.0/).
Share and Cite
Wen, M.; Zhang, T.; Li, L.; Chen, L.; Hu, S.; Wang, J.; Liu, W.; Zhang, Y.; Yuan, L. Assessment of Land Ecological Security and Analysis of Influencing Factors in Chaohu Lake Basin, China from 1998–2018. Sustainability 2021, 13, 358. https://doi.org/10.3390/su13010358
Wen M, Zhang T, Li L, Chen L, Hu S, Wang J, Liu W, Zhang Y, Yuan L. Assessment of Land Ecological Security and Analysis of Influencing Factors in Chaohu Lake Basin, China from 1998–2018. Sustainability. 2021; 13(1):358. https://doi.org/10.3390/su13010358
Chicago/Turabian StyleWen, Mingxin, Ting Zhang, Long Li, Longqian Chen, Sai Hu, Jia Wang, Weiqiang Liu, Yu Zhang, and Lina Yuan. 2021. "Assessment of Land Ecological Security and Analysis of Influencing Factors in Chaohu Lake Basin, China from 1998–2018" Sustainability 13, no. 1: 358. https://doi.org/10.3390/su13010358
APA StyleWen, M., Zhang, T., Li, L., Chen, L., Hu, S., Wang, J., Liu, W., Zhang, Y., & Yuan, L. (2021). Assessment of Land Ecological Security and Analysis of Influencing Factors in Chaohu Lake Basin, China from 1998–2018. Sustainability, 13(1), 358. https://doi.org/10.3390/su13010358

