Abstract
The patent portfolio affects the research and development (R&D) decisions of artificial intelligence enterprises, and provides rights protection for the enterprise’s product market, which is of great practical significance for the realization of innovation performance. The aim of this paper is to discover how the patent portfolio of artificial intelligence enterprises affects the relationship between R&D intensity and innovation performance. Based on the panel data of 164 listed enterprises in the A-share artificial intelligence concept sector of China, using the panel fixed effect regression method, the impact of R&D intensity on innovation performance was analyzed, and the moderating effect of the three dimensions of the patent portfolio on the two was examined. Studies have shown that the impact of R&D intensity on innovation performance is in an inverted U-shaped relationship. In addition, the diversity characteristics of the patent portfolio have a moderating effect on the relationship between R&D intensity and innovation performance, and when the enterprise is at a high level of diversity, the two have a U-shaped flip relationship. The size of the patent portfolio has a positive impact on innovation performance. The research results have theoretical and practical significance for the implementation of effective R&D management in artificial intelligence enterprise organizations.
1. Introduction
With the continuous and in-depth development of economic globalization and social informatization, a new technological revolution is gaining momentum. As an essential driving force for a new round of technological revolution and industrial transformation, artificial intelligence is profoundly changing the world. According to the “China’s New Generation Artificial Intelligence Technology Industry Development Report” released in 2019, as of February 2019, there were 745 local artificial intelligence enterprises in China, ranking second in the world [1]. According to the “Preliminary Exploration of Chinese Enterprises’ Artificial Intelligence Patent Application Strategy” issued by Tsinghua, it is pointed out that China’s artificial intelligence patent layout has surpassed the United States and Japan, becoming the country with the most patents in the global artificial intelligence field [2]. As a knowledge-intensive enterprise, artificial intelligence enterprises’ research and development (R&D) activities are their primary ways to gain core competitiveness and innovative advantages.
However, whether the increase in R&D intensity can significantly enhance an enterprise’s innovation performance is controversial in academia. Throughout the research results of domestic and foreign scholars, a lot of research has been done on R&D investment and innovation performance. Some scholars believe that the level of innovation input is significantly related to high-tech enterprises’ innovation performance. The level of innovation effort affects enterprises’ innovation performance [3]. Hagedoorn (1989) pointed out that the increase in corporate R&D intensity promoted current innovation performance and promoted the output of new technologies and products [4]. On the contrary, some scholars believe that R&D investment has no significant relationship with innovation performance. Through research on developed countries, such as the United States and Japan, Brown pointed out that the increase in R&D investment in enterprises cannot significantly increase enterprises’ sales revenue [5]. With the deepening of research, scholars pointed out that based on the influence of different factors, the correlation between R&D investment and innovation performance is quite different. Therefore, the study of the relationship between the two by introducing moderating variables can more deeply reveal the relationship between the innovation intensity of different types of enterprises and innovation performance. For example, Currim et al. (2012) pointed out that governance structure significantly enhances the effect of R&D investment on innovation performance [6]. Other scholars use commercialization orientation [7], government subsidies [8], executive compensation, and other factors [9] to investigate the moderating effect of R&D investment and innovation performance.
Few scholars currently use the patent portfolio as a moderating variable to verify the moderating effects between R&D intensity and innovation performance. Patent information is a treasure house of cutting-edge technical information, and the number of patent applications is an important indicator to measure the input and output of enterprise innovation [10]. Vinkler (2010) proposed that patents have an integrated information carrier of technology, economics, and business information, and they play an important role, especially when analyzing the degree of enterprise innovation [11]. Scholars have done related research from the single index of patents, such as the correlation between R&D and patent output, the impact of patent activities on innovation performance, and patents’ mediating role in it [12,13,14]. Under the trend of cumulative innovation, more and more enterprises have begun to implement patent portfolio strategies. The patent portfolio is a key indicator to measure the state of innovation of an enterprise. From a dynamic perspective, the patent portfolio is a combination of an enterprise’s strategy and behavior throughout the entire life cycle of enterprise R&D, production, and marketing based on its strength and the operating conditions of its competitors [15,16]. At present, scholars research mostly on the motivations, behaviors, and related decision-making modes of patent portfolios [17,18]. Jell (2017) pointed out that rising patent application numbers should not be celebrated as signs of increasing innovativeness, but rather should be closely scrutinized as indications of problems in the patent system [19].
As an emerging industry, artificial intelligence has high industry competition pressure and high entry barriers. Only by relying on continuous R&D investment can enterprises survive in fierce competition. However, the same amount of R&D investment does not necessarily bring the same proportion of innovation performance enhancement, especially since patent commercialization and landing face enormous difficulties. To create and maintain a competitive advantage, artificial intelligence enterprises increase R&D investment, enhance external knowledge absorption and transformation capabilities, and continuously transform new knowledge learned from patent portfolios into new results. On the other hand, when the input of influencing factors exceeds a certain threshold, redundant resources will reduce the efficiency of R&D, and innovation performance will be affected by the phenomenon of nonlinear changes. The R&D investment of enterprises has prominent stage characteristics, and the R&D utility at different stages of the scale and diversity of the patent portfolio has significant differences. Therefore, in implementing the patent portfolio strategy, artificial intelligence enterprises cannot blindly increase R&D investment. Only by accurately grasping, the mechanism of action between the two can make the decision-making of corporate R&D intensity more targeted. Therefore, it is necessary to fill in the gap in the relationship between R&D intensity and innovation performance in the field of artificial intelligence, and to expand the contingency theory from the innovative research perspective of using patent portfolio as a moderating variable. Given this, this study takes listed enterprises of stock market (named A-share) in the field of artificial intelligence in China as the research object, constructs a panel regression model, and empirically analyzes the patent portfolio’s moderating effect on the relationship between R&D intensity and innovation performance. On the one hand, this study contributes to expand the application range and field of the theoretical model of the inverted U-shaped curve, responding to and practicing Haans’s call for more standard and stricter inspection methods for U-shaped or inverted U-shaped curves. On the other hand, the research conclusions are conducive to enterprises in artificial intelligence to optimize their investment decisions in innovation and R&D, promote a significant improvement in their innovation capabilities, and improve their market competitiveness and innovation performance.
The rest of this study is organized as follows. Section 2 presents a review of relevant literature and proposes our research hypotheses. Section 3 introduces the sample source, variable measurement and a more rigorous inverted U-shaped test method. Section 4 describes the result of data and discusses the key empirical results. Section 5 concludes this study and proposes research implications.
2. Literature Review and Hypothesis Development
2.1. R&D Intensity and Innovation Performance
According to the traditional endogenous growth theory, technological innovation is an essential internal factor that promotes the development of enterprises and maintains core competitiveness. The intensity of the R&D investment will directly affect the innovation performance and sustainable growth of enterprises. Wakelin (2001) using enterprise-level data and Cobb–Douglas production function model, believed that enterprise R&D intensity has a significant positive correlation with innovation performance [20]. However, through comparative analysis and research by Chan (2001), there is no significant difference in the rate of return of the stock market for enterprises with or without R&D investment. Hartmann (2006) further pointed out that if the enterprise’s investment in R&D is increased blindly when a certain threshold is exceeded, its innovation performance will not increase by the same proportion [21]. However, due to the staged characteristics of R&D investment, there is a threshold effect and an optimal investment range [22]. Only by maintaining a continuous R&D intensity, can an artificial intelligence enterprise obtain an absolute technological advantage, and then turn the technological advantage into a market advantage. The flow of any resources in the system may lead to omissions in the protection of early-stage R&D achievements, resulting in problems such as longer R&D cycles and higher adjustment costs, thereby affecting the continued growth of the enterprise’s innovation performance. In addition, the data selected in this study are R&D intensity in the field of artificial intelligence. Its innovation performance is somewhat sensitive to current R&D risks. The enterprise is at different stages of development, and each period focuses on specific types of activities to maximize available opportunities. In such a highly competitive and rapidly changing industry, enterprises need to control moderate and timely R&D intensity to cope with possible R&D risks. Based on this, this study proposes the following assumptions:
Hypothesis 1 (H1).
The impact of R&D intensity on innovation performance is in an “inverted U” relationship; that is, as the intensity of R&D continues to increase, innovation performance first increases and then decreases.
2.2. The Impact of Patent Portfolio on R&D Intensity and Innovation Performance
A patent portfolio refers to a collection of effective combinations of several related but different patents [23]. In previous studies, Lee (2015) studied an optimal balance between internal R&D and inbound open innovation, as well as the creation of a financial performance-oriented patent portfolio [24]. Lichtenthaler (2008) studied high-tech enterprises such as Germany and found that the patent portfolio’s quality positively regulates innovation performance [25]. Ma and Jin (2019) pointed out that artificial intelligence enterprises continue to strengthen R&D investment-related activities in an environment of fierce market competition [26]. In the past, R&D decision-making perspectives generally originated from the enterprise’s capital strength, market product demand status, and the uncertainty of the technological environment. With the continuous increase in the intensity of intellectual property protection, the ability to obtain patent data and the evaluation of the effectiveness of patents on corporate R&D activities have been continuously strengthened, and enterprises have paid more attention to using their patent activities and public patent information from competitors to make R&D decisions [27]. As a collection of multiple patents, the patent portfolio plays a significant reference value for decision-making in the R&D activities [28]. Therefore, we study the patent portfolio’s moderating effect between R&D intensity and innovation performance from three dimensions of patent portfolio size, patent portfolio diversity, and patent portfolio average claim.
The patent portfolio behavior of enterprises is first reflected in large-scale patent applications. This kind of scale synergy effect formed by connecting the scope of protection of different patents related to each other makes it easier for enterprises to enhance their overall technological value. This overall technological value can signal to the market that enterprises can transform their R&D into high-value property rights and increase shareholders’ confidence to continue to hold enterprise stocks, thereby enhancing the enterprise’s financing capabilities [29]. Artificial intelligence enterprises form a super-patent network through a large-scale patent portfolio, which reduces the risk of R&D investment, and the enterprise is conducive to obtaining patent litigation protection and external resource support, thereby increasing innovation performance [30]. Based on this, this study proposes the following assumptions:
Hypothesis 2 (H2).
The size of an enterprise’s patent portfolio positively moderates the impact of R&D intensity on innovation performance.
The diversity of patent portfolios is manifested in the diversification of the relationship between the patents in a patent portfolio. More specifically, the protection scope of multiple patent rights in the patent portfolio is different products, depicting the degree of enterprise technology diversification [31]. The advantage of this diversity is that it can help enterprises reduce the risk of uncertainty caused by technological development, market conditions, and competitive dynamics. When the patent stock of enterprises does not reach much higher than the industry level, enterprises relatively focus on core technology areas. That means their R&D investment is pretended to be small and precise so that it is easier for enterprises to produce synergies. Just like Chen and others suggested that pharmaceutical enterprises with a low number of patents should reduce the Herfindahl–Hirschman Index of patents (HHI of patents) in most of their technical fields to further increase their market value [32]. When the enterprise is in a highly diversified patent portfolio, it is relatively focused on adopting strategic and diversified business strategies. As Lin showed, large firms can benefit from a diversified technological portfolio with regard to both financial and innovation performances [33]. Its market performance and the transformation of innovation results require a large amount of R&D investment beyond a certain threshold to provide power support, to better improve the ability of enterprises to identify, acquire, and integrate new knowledge related to their existing technology systems [34]. No matter what level of diversity, it can reduce the high cost of patent litigation caused by patent infringement that may occur in the subsequent R&D and product sales stages. Based on this, this study proposes the following assumptions:
Hypothesis 3 (H3).
The moderating effect of enterprise patent portfolio diversity on R&D intensity and innovation performance is polarized. Low diversity moderates the relationship between the two positively, while high diversity will flip the curve; that is, between R&D intensity and innovation performance, into a ‘U’ relationship.
The applicability of patent portfolios is that their interrelated claims can provide enterprises with a network of patent licensing, cross-licensing, and patent litigation strategies to obtain benefits in the process of product development and sales [35]. A broader scope of patent portfolio rights can provide more robust protection and bargaining chips for enterprise products and efficiently call enterprise internal and external knowledge to obtain structural innovation or exploratory innovation [36]. The protection of rights is also a reflection of the protection of innovation performance. Based on this, this study proposes the following assumptions:
Hypothesis 4 (H4).
The average claim of enterprise patent portfolio positively moderates the impact of R&D intensity on innovation performance.
3. Methodology
3.1. Sample and Data
The data in this study comes from the China Stock Market & Accounting Research (CSMAR) database and the Jove eye technology big data platform. CSMAR database provides accounting and market information of listed companies in China. The patent data comes from the Jove eye technology big data platform. The patent query date is 10 October 2019. Considering the integrity and availability of our data, we select 164 enterprises in the A-share artificial intelligence concept stocks of China in 2014–2018 as the initial research sample. According to the research needs, we did the following screening and adjustments to the original data:
- (1)
- Excluding enterprises with missing R&D expenditures and patent portfolio data in 2014–2018.
- (2)
- Excluding enterprises listed after December 31, 2014, in order to ensure business operation and data stability.
- (3)
- Remove the sample of enterprises that were ST or ST* that year. (ST shares refer to stocks that have suffered losses in Chinese listed enterprises for two consecutive years and have been warned of delisting risks. ST* represents the enterprise that has not improved its operations in the third year and is still at a loss.)
Finally, 584 observation data of 145 enterprises were obtained.
3.2. Variables
3.2.1. Dependent Variables
Consider that the R&D investment of artificial intelligence enterprises may be both exploratory R&D investment and utilization R&D investment. Since the effectiveness of exploratory R&D is generally in the long-term, while the effectiveness of utilization innovation is generally manifested in the near future, it is not suitable to use indicators, such as return on assets, to measure innovation performance. The effectiveness of enterprise R&D is not stable, and the Tobin’s Q value can reflect both short-term and long-term performance. Therefore, this study uses Tobin’s Q (TB) as the proxy variable for innovation performance.
Innovation performance (TB). This study draws on Dang and other scholars’ research and uses Tobin’s Q value to measure enterprise innovation performance [37].
3.2.2. Explanatory Variables
R&D intensity (RD). This study draws on the research of Lee et al., in exploring the influence of proactive divestiture on innovation performance, using the ratio of R&D to revenue to measure R&D intensity [38]. After considering the availability and comparability of the data, the authors use the percentage of enterprise R&D expenditure to the enterprise’s operating income to measure the intensity of the enterprise’s R&D.
Patent portfolio. This study draws on the index construction methods of Kok et al. [39], uses a 5-year time window to measure the patent portfolio, and defines the patent portfolio as the aggregate of all invention and utility model patents applied by the enterprise from (i − 4) to i. We get the patent portfolio time range from 2014 to 2018. The three attribute indicators of patent portfolio size, diversity, and scope of rights are defined as follows:
Patent portfolio size (PPS) is the number of all patents included in the entire patent portfolio.
Patent portfolio diversity (PPD), following the approach of Caner et al. [40], uses the improved Herfindahl index (HHI) to measure the diversity of enterprise patent portfolios, which can correct measurement errors caused.
Average claim (AC) represents the legal protection scope of an enterprise’s patent portfolio, expressed by the average number of claims of all patents in the patent portfolio.
where numi represents the number of claims for the i-th patent and N represents the total number of patents.
3.2.3. Control Variables
We included several control variables to exclude any possibility that might alter our explanations in the current study. The following variables have been cautiously selected by reviewing prior researches on R&D intensity, patent portfolio, and innovation performance, which were recognized as relevant. The four variables are as follows.
Enterprise size (ES). According to the research by Liu et al., firm size is considered to be one of the factors that affect innovation performance [41]. The larger the scale of the artificial intelligence enterprise, the broader its knowledge base to a certain extent, which makes it easier for enterprises to acquire new technologies and improve innovation performance. Enterprise size was calculated by taking the logarithms of the total assets.
Enterprise leverage (EL). Dang et al. used leverage ratio as a measure of capital structure and found that capital structure has a positive impact on innovation performance. Enterprise leverage is conducive to improving enterprise governance structure, which in turn promotes innovation performance. The asset–liability ratio calculated enterprise leverage.
This study follows the research of Ma et al., taking the age of the enterprise and the nature of the enterprise as the control variables [42].
Enterprise age (EA). Although artificial intelligence enterprises rely on their cutting-edge technology to gain a competitive advantage, the older the enterprise is, the more it reflects the knowledge base and the accumulation of market resources to a certain extent, which is conducive to improving the innovation performance.
Property nature (PN). The nature of property rights affects enterprise equity incentives, which in turn affects innovation performance. The nature of property rights is a dummy variable. State-owned value is 1, non-state-owned value is 0.
3.3. Methods
3.3.1. Estimation Method
Multivariate statistical regression is a common method of empirical research in econometrics. Generally, the multiple regression equation consists of one explained variable and multiple explanatory variables. The explanatory variables are divided into core explanatory variables and control variables, according to the different research focus. According to the different sample data ranges and characteristics of the variables, different estimation methods are selected to estimate the regression equation. The regression model constructed is linear in nature, but it is also possible to describe the nonlinear change curve by incorporating the square term, etc., into the regression equation. However, this nonlinear feature needs more rigorous methods to test, otherwise the conclusions obtained may be false.
We use the software of Stata 16.0 to deal with the whole empirical process, including correlation analysis and regression analysis. This research involves two types of estimation methods, one is the panel fixed effect regression method, and the other is the stepwise regression method. Considering that the sample data in this study are panel data and the dependent variable and the core explanatory variable are continuous variables, the panel model is used for model estimation. In general, panel models are divided into fixed effects models and random effects models. Accordingly, we use Hausmann’s test to determine whether a fixed-effect model or a random-effect model should be used. When a suitable estimation model is selected, the stepwise regression method is used to test the significance of each variable in turn. The basic idea of stepwise regression is to introduce new variables one by one, each time a new variable is introduced, whether to eliminate the selected variable is considered until no more new variables are introduced. This method not only ensures that the equation can retain significant variables, but also eliminates non-significant variables. For example, first put the control variable in the regression equation to test its influence on the dependent variable, and then add the explanatory variable to further understand the influence of the core explanatory variable on the dependent variable. As shown in the models (1), (2), and (3) in Table 4.
3.3.2. Estimation Analysis
In order to test the non-linear relationship between R&D intensity and innovation performance, we set the following panel model:
Among them, yit is the dependent variable TB, xit is the explanatory variable RD, xit2 is the quadratic term of the explanatory variable, α1 and α2 are the regression coefficients of the explanatory variable RD and its squared term, zit’ is the vector of the control variable, β is the regression coefficient vector, μi is the individual effect variable that does not change with time, and εit is the error term. This study follows the steps of the inverted U-shaped curve test proposed by Haans et al. [43]: ① the explanatory variable coefficient α1 is significantly positive and its square term coefficient α2 is significantly negative; ② assume that XL and XH are the minimum and the maximum value, then the slope at XL is significantly positive, while the slope at XH is significantly negative; ③ the inflection point of the curve falls within the range of R&D intensity.
This study sets up the following models with interaction terms to test the moderating effect:
Among them, mit is the moderating variable, and the meaning of the remaining variables is consistent with the Formula (6). It should be noted that, before explanatory variables and moderator variables form interaction terms, they need to be centralized; that is, the observed value of each variable minus the mean value of the variable. The moderating effect analysis of the inverted U-shaped curve follows the three criteria proposed by Haans: ① whether, the position of the inflection point moves; ② how, the shape of the curve changes, whether it is steeper or smoother; ③ whether the curve flips. Take the derivative of Formula (7) and make its derivative value equal to 0 to get the position of the inflection point: it can be seen that the position of the inflection point is not only affected by α1, α2, α3, α4, but is also related to the magnitude of the moderating variable mit; and the change of the curve shape is only determined by the coefficient of the quadratic term α4.
4. Results
4.1. Descriptive Statistics
The R&D intensity (RD) of different enterprises fluctuates wildly, which shows that diverse enterprises adopt different innovation strategies in response to their conditions and environmental changes, including exploratory innovation and open innovation. The patent portfolio size fluctuates particularly sharply, with the standard deviation (SD) reaching about four times the average. In order to eliminate the influence of extreme values, the authors performed Winsorize treatment on some continuous variables at a 1% level. The distribution of the processed variables is shown in Table 1. Table 2 lists the correlation coefficient and significance level of each variable, from which we can get: (1) innovation performance (TB) and explanatory variables are significantly related, indicating the rationality of variable selection. (2) The correlation coefficient between R&D intensity (RD) and innovation performance (TB) is significantly positive (0.376), which initially shows the positive return of R&D intensity on innovation performance. (3) The correlation between the two variables does not exceed the critical value of 0.7, and the variance inflation factor (VIF) of the entire model is less than 10 (as shown in Table 3), indicating that there is no multicollinearity problem.
Table 1.
Descriptive statistics of variables.
Table 2.
Pearson correlation coefficient matrix.
Table 3.
Variance inflation factor test.
4.2. Regression Analysis
Before performing stepwise regression analysis, we must first determine whether the type of panel effects model is a fixed effects model or a random effects model. According to the test steps described above, the Chi-square value of the Hausmann test result is 52.56 and the P value is 0.000. This result strongly rejects the assumption that unobservable individual effects are not related to all explanatory variables; that is, it should be used fixed effects model, not random effects model.
In this study, fixed effects regression is carried out on models (1)–(6) (regression results are shown in Table 4). The model (1) is the benchmark group, and the model (2) adds the first-order term of R&D intensity (RD) to the model (1). The coefficient of the first-term term is significantly positive (0.0483). That means the higher the intensity of R&D investment, the higher the level of enterprise dual innovation performance. The difference is that the above research sample is a listed enterprise in the automotive industry. With the increase in R&D intensity, enterprises are more inclined to use utilization innovation, and the main body of this study is a listed enterprise in the field of artificial intelligence. The complexity of technology and environment decide that its R&D investment is more inclined to exploratory innovation, and the impact of R&D intensity on its innovation performance needs further consideration.
Table 4.
Regression results.
The square term of R&D intensity (RD) is added to the model (3), and the increment R2 shows that model (3) is more explanatory than the model (2). We use the more stringent inverted U inspection standard to verify the following: first, the coefficient of the first term is significantly positive (0.0569) and the coefficient of the square term is significantly negative (−0.000865). Second, the slope of the curve is significantly positive at the left end of the RD value range (0.06967), the right end is significantly negative (−0.056). Finally, the inflection point of the curve (32.884) is within the range of RD [0.55–43.06]. Thus, this study observed a complete inverted U-shaped curve. It shows that R&D intensity (RD) and enterprise performance (TB) do not show a simple linear increasing relationship, but a typical inverted U-shaped relationship (as shown in Figure 1). This result validates the hypothesis 1 in this study.
Figure 1.
Inverted U-shaped relationship between RD and TB.
Model (4) adds patent portfolio size (PPS) and the interaction term of patent portfolio size and R&D intensity, and its square term based on model (3). The incremental R2 test shows that the explanatory power ratio of the model (4) is more robust than (3). It can be seen that the size of the patent portfolio has a positive impact on innovation performance. Large-scale patents can improve the overall technical value of the portfolio and help enterprises gain market advantage. The scale of the patent portfolio and the quadratic coefficient of R&D investment is not significant, indicating that the scale of the patent portfolio has not played a moderating role. The inverted U-shaped impact of the R&D intensity on innovation performance is not affected by the size of its patent portfolio, that is the size of the patent portfolio will enhance innovation performance, but it does not change the relationship between R&D intensity and innovation performance.
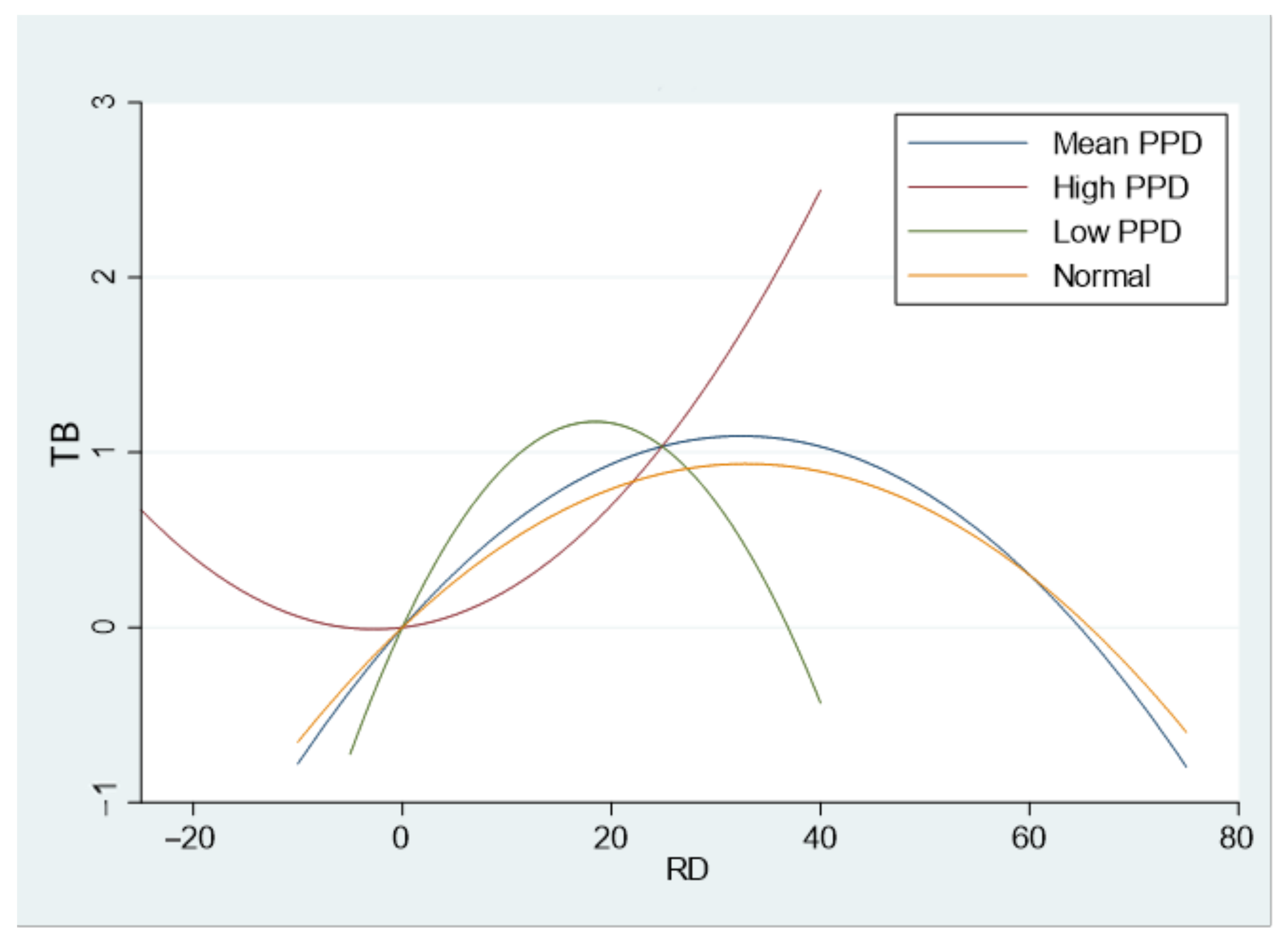
In the model (5), the regression coefficients of the interaction term of R&D intensity and patent portfolio diversity (RD × PPD) and the interaction term of the square of R&D intensity and patent portfolio diversity (RD2 × PPD) are significant. It indicates that the patent portfolio’s diversity characteristics have a moderating effect on the inverted U shape of R&D intensity and innovation performance. The incremental R2 test results also show that model (5) is more explanatory than the model (3). Accordance with the standards of Haans et al., the change of the inflection point position and the change in the curve’s steepness is judged in turn. In the judgment of the inflection point position, this study takes medium patent portfolio diversity (mean 0.735), lower patent portfolio diversity (mean- Standard deviation 0.549), and higher patent portfolio diversity (mean + standard deviation 0.921) three particular values. Under the premise that the moderating variable is given, the inflection point under the medium patent portfolio diversity is RDM = 32.399. Compared with the original, the inverted U-shaped curve has a higher vertex that positively moderates the impact of R&D intensity on innovation performance.
In contrast, the inflection point at the lower level of the diversity of the patent portfolio is RDL = 18.441, and the position of the inflection point moves to the left. The regression coefficient of RD2 × PPD is 0.013, which is inconsistent with the direction of the RD2 coefficient (−0.0106), so when the diversity level of the patent portfolio is low, the curve is steeper, as shown in Figure 2; meanwhile, the position of the inflection point is higher. However, when a higher level of patent portfolio diversity is introduced, the curve is reversed, and the observed impact of R&D intensity on innovation performance is not a complete U-shaped curve. It remains only half of the right side of the curve; with the improvement of R&D intensity, innovation performance has continuous improvement. We may explain the phenomenon as follows:
Figure 2.
PPD’s moderating effect on RD and TB.
When the diversity of the enterprise’s patent portfolio is low, it means that the enterprise adopts a relatively focused technology diversification strategy. Only prioritizing the technology in critical areas can obtain greater synergy and profitability than the diversity of medium patent portfolios. Furthermore, the cost of knowledge integration and utilization is small, thereby increasing market returns.
When enterprises are at a high level of patent portfolio diversity, their patent stocks are usually much higher than the industry average, and the scale and diversity effects of technology clusters. It can enable enterprises to cope with the uncertainty brought about by technological development, market conditions, and competitive dynamics. More R&D investment can bring more options, thereby reducing organizational risk and positively affecting the innovation performance. Specifically, high-level R&D investment can help store a large number of innovative knowledge assets, thereby enhancing the discovery and use of product market opportunities, which, in turn, increases enterprises’ ability to obtain a competitive advantage. Consequently, the relationship between R&D intensity and innovation performance shows a growing trend.
Model (6) adds the interaction term of R&D intensity and patent portfolio average claim (RD × AC) and the interaction term of the square of R&D intensity and patent portfolio average claim (RD2 × AC) based on model (3). In model (6), R2 has increased, and the coefficient of the interaction term of the square of R&D intensity and the average claim of patent portfolio is significant, but the first term in the inverted U-shaped relationship between R&D intensity and innovation performance is not significant. The R&D intensity’s square coefficient is significantly positive, which is inconsistent with the verification results of the previous hypothesis. However, only the square term is significant for its interaction term, which shows that its moderating effect on the two is not apparent. Therefore, the moderate effect hypothesis of the average claim of patent portfolio has not been verified.
4.3. Robustness Test
In order to exclude the endogenous nature of R&D intensity, this study attempts to use the instrumental variable method and the generalized method of moments (GMM method) to estimate the impact of R&D intensity on the innovation performance. According to the practice of previous scholars, the size of the enterprise’s board of directors (board) is selected as the instrumental variable of R&D intensity [44]. The first stage regression results show that the board of directors’ size is significantly related to the intensity of R&D, indicating that it is an excellent instrumental variable. Heteroscedasticity exists, and the two-stage regression results of the instrumental variable method are not ideal. The regression results estimated using the GMM method (see Table 5) show that after excluding the endogenous nature of R&D intensity, the inverted U-shaped relationship between R&D intensity and innovation performance is still robust.
Table 5.
Robustness test results.
5. Conclusions and Implications
5.1. Conclusions
Based on the data of A-share artificial intelligence sector of Shenzhen and Shanghai in 2014–2018, this study explores the impact of R&D intensity on enterprises innovation performance and the moderating role of the patent portfolio between them. We have found that excessive R&D intensity will bring pressure and resistance to enterprise innovation, making it counterproductive after reaching a certain threshold. However, as the patent portfolio becomes more diversified, this obstacle will no longer exist. These experiences from Chinese artificial intelligence enterprises tell the world that R&D management decisions need to match the enterprises’ patent portfolio strategy in order to bring substantial growth in innovation performance. The specific conclusions are as follows:
Our first finding is that there is an inverted U-shaped relationship between the R&D intensity of artificial intelligence enterprises and innovation performance. Increasing the R&D intensity of enterprises has promoted the birth of new technologies or new products and signaled to the market that enterprises would win more future competitive advantages, thereby significantly increasing the enterprise’s innovation performance. With the continuous increase in R&D intensity, enterprises face challenges in making innovation decisions. The risk of technological and environmental uncertainty rises sharply. When it reaches a certain level (i.e., turning point 32.884 in this study), the risk of R&D investment will exceed the expected return. The anticipated return of innovation performance to this uncertainty will decrease. This conclusion is similar to Pan et al.’s research and draws the inverted U-shaped curve relationship that affects the innovation performance of enterprises [45].
Our second finding indicates that the diversity of patent portfolios moderates the relationship between R&D intensity and innovation performance. From the data results in this study, the patent portfolios diversity of artificial intelligence enterprises has a flipping effect on the R&D intensity and innovation performance. Low diversity means that enterprises adopting focused technologies can help increase innovation performance. The curve moves up to the left, which means that lower R&D intensity can bring higher market returns, reflecting the substantial competitive amount of technology specificity. This conclusion is in line with Subramanian et al.’s research on the technological diversity of small enterprises. They believe core technological coherence amplifies the benefits and mitigates the costs of technological diversity [46]. When a strategic and highly diversified patent portfolio is adopted, the influence curve of R&D intensity on innovation performance will be reversed, turning into a positive U-shaped curve. Moreover, showing a growing trend within the effective range, as R&D intensity continues to increase, the innovation performance will continue to grow, reflecting the internal mechanism of a great, diversified enterprise’s demand for technological diversity. This finding coincides with the research of Kook et al. They believe that enterprises should not diversify between related technical fields, but should focus on specific technologies to enhance their competitive advantage. However, for enterprises with sufficient resources, the ever-increasing technological diversification between unrelated technical fields plays a key role in the innovation performance [47]. That is, R&D capabilities should be adjusted dynamically in compliance with the change of enterprise’s the degree of the patent portfolio diversification.
Our third finding identifies the moderating effect of the size of the patent portfolio and average claim of the patent portfolio is not apparent. The data in this study only shows that the larger the patent portfolio scale, the more positive effect on the innovation performance of artificial intelligence enterprises. This is consistent with the results obtained by the patent portfolio comprehensive evaluation index system constructed by scholars such as Guo [48]. In other words, the vast number of patents of the enterprise is the optimistic basis of the market advantages.
However, the average claim of patent portfolio is only significant in the coefficient of the quadratic term. The possible reason is that, on the one hand, the difference in the enterprise size in the sample data causes the regression result to focus on the quadratic term, and the initial term is not significant. On the other hand, the limited amount of sample data available in the industry makes this result unsatisfactory.
5.2. Managerial Implications
The research results provide some suggestions for the development of enterprise R&D management. First, we were able to find out that the degree of R&D intensity in artificial intelligence does matter. Artificial intelligence enterprises should adopt appropriate R&D investment and establish R&D risk management strategies to ensure the enhancement of innovation performance. On the one hand, artificial intelligence enterprises tend to invest in exploratory R&D. To obtain market opportunities and competitive advantages; they continue to increase R&D investment. The enterprise’s internal capabilities continue to grow, and the innovation performance of the enterprise is enhanced; on the other hand, the enterprise’s absorptive capacity and knowledge integration capabilities are limited. The excessive investment will inevitably face R&D risks, such as long cycle and low efficiency. Therefore, artificial intelligence enterprises should weigh the dynamics of the industry’s technological environment and their absorptive capacity, adopt appropriate risk management and control, and avoid “wasteful behavior” where investment exceeds the threshold.
Second, we argue that artificial intelligence enterprises should combine the phase characteristics of the patent portfolios’ diversification strategy to formulate their R&D intensity. According to the product life cycle, when patents are at a low or medium level of diversification, the enterprise’s R&D decisions should serve the product development of its competitive advantage technology. When the competitive advantage achieves more significant results, the enterprise has more strength to acquire diverse patents. It is necessary to continuously increase R&D investment to achieve the value realization of the diversified strategy.
Third, we must optimize the scale effect of patent portfolios of artificial intelligence enterprises and establish patent portfolios between enterprises. Strengthen the supporting research on internal patents of enterprises and set the application of significant corporate strategic patent portfolios [49]. Moreover, establish patent cooperation between enterprises to form core enterprises and other enterprises’ patent technology exchange and collaboration, then promote the joint application of patents and realize the function of enterprise knowledge integration. A large-scale patent portfolio can circumvent the knowledge rights required by the patent jungle phenomenon. The scale advantage can resist the impact of the external environment on the enterprise.
5.3. Theoretical Implications
The research makes some contribution to future research in innovation management. First, we enriched and deepened the research on the relationship between patent portfolio on R&D intensity and innovation performance. Aiming at the current dilemma of high R&D investment by artificial intelligence enterprises and its serious difficulty in transformation, this study guides enterprises to invest scientifically in R&D based on the characteristics of different patent portfolio stages instead of blindly increasing R&D investment intensity. This study makes up for the lack of existing empirical literature.
Second, we proposed the flip effect of patent portfolio diversity on the inverted U-shaped curve relationship between R&D intensity and innovation performance. When the artificial intelligence enterprise is in low diversity, the effect of R&D intensity on innovation performance shows an inverted U-shaped relationship. When in high diversity, the curve flips into a positive U-shaped curve, establishing a continuous growth trend within the effective range. Due to the theoretical controversy of existing scholars on the U-shaped curve test, we follow the more rigorous test method advocated by Haans. After constructing the moderating effect model, we discussed moderating variables’ influence on the inverted U-shaped curve separately. The impact of the shape (steeper or flattened) and the position of the inflection point (moving to the left or right) continues the essential theoretical and methodological foundation laid by scholars such as Jia [50] for the discussion of related issues. Moreover, we capture from theory and data the phenomenon that the curve may flip when the moderating variable changes within the value range, scientifically explain the influence of the patent portfolio moderating effect, and provide new research ideas for the academic study of management theory. Meanwhile, in the future research field of innovation performance or other research fields that are applicable to the results of the inverted U-shaped curve, we also advocate and call attention to the influence of the change of the moderating variable on the change of the curve shape when the moderating variable is introduced.
Author Contributions
Conceptualization, Y.D. and Z.W.; methodology, Y.D. and Z.W.; software, Z.W.; investigation, Z.W.; data curation, Z.W. and X.X.; writing—original draft preparation, Y.D. and Z.W.; writing—review and editing, Y.D. and T.L.; supervision, Y.D. All authors have read and agreed to the published version of the manuscript.
Funding
The authors appreciate the support form the Key Projects of the National Natural Science Foundation of China (Project No. 71503061); the National Social Science Foundation of China (Project No. 16CGL010); the Fundamental Research Funds for Heilongjiang Philosophy and social Science (Project No. 19GLB083); MOE Project of Humanities and Social Sciences (Project No. 14YJC630025).
Institutional Review Board Statement
Not applicable.
Informed Consent Statement
Not applicable.
Data Availability Statement
The data presented in this study are available on request from the corresponding author.
Conflicts of Interest
The authors declare no conflict of interest.
References
- Liu, G. China’s new generation artificial intelligence technology industry development report. In Proceedings of the 3th World Intelligence Congress, Tianjin, China, 18 May 2019; Available online: http://www.nkear.com//News/201905/201905151532556.htm (accessed on 18 June 2020).
- Wan, J. A Preliminary Study on the Patent Application Strategy of Artificial Intelligence in Chinese Enterprises. China Invent. Pat. 2019, 16, 37–43. (In Chinese) [Google Scholar]
- Duysters, G.; Hagedoorn, J. Do company strategies and structures converge in global markets? Evidence from the computer industry. J. Int. Bus. Stud. 2001, 32, 347–356. [Google Scholar] [CrossRef][Green Version]
- Hagedoorn, J. The Dynamic Analysis of Innovation and Diffusion; Pinter Publishers: London, UK, 1989. [Google Scholar]
- Brown, M.G.; Svenson, R.A. Measuring R&D productivity. Res. Technol. Manag. 1998, 2, 30–35. [Google Scholar]
- Currim, I.S.; Lim, J.; Kim, J.W. You get what you pay for: The effect of top executives’ compensation on advertising and I&D spending decisions and stock market return. J. Mark. 2012, 76, 33–48. [Google Scholar]
- Lin, B.W.; Lee, Y.K.; Hung, S.C. R&D intensity and commercialization orientation effects on financial performance. J. Bus. Res. 2006, 59, 679–685. [Google Scholar]
- Xu, J.; Wang, X.H.; Liu, F. Government Subsidies, R&D investment and innovation performance: Analysis from pharmaceutical sector in China. Technol. Anal. Strateg. Manag. 2020. [Google Scholar] [CrossRef]
- Hall, B.H.; Oriani, R. Does the market value R&D investment by Europe firms? Evidence from a panel of manufacturing firms in France, Germany and Italy. Int. J. Ind. Organ. 2006, 24, 971–993. [Google Scholar]
- Huang, W.C.; Lai, C.C.; Chen, P.H. International R&D funding and patent collateral in an R&D-based growth model. Int. Rev. Econ. Financ. 2017, 51, 545–561. [Google Scholar]
- Vinkler, P. Indicators are the essence of scientometrics and bib-liometrics. Scientometrics 2010, 85, 861–866. [Google Scholar] [CrossRef]
- Blazsek, S.; Escribano, A. Patent propensity, R&D and market competition: Dynamic spillovers of innovation leaders and followers. J. Econ. 2016, 191, 145–163. [Google Scholar]
- Lee, J.M.; Joo, S.H.; Kim, Y. The complementary effect of intellectual property protection mechanisms on product innovation performance. R D Manag. 2018, 48, 320–330. [Google Scholar] [CrossRef]
- Lin, C.H.; Chang, C.C. A patent-based study of the relationships among technological portfolio, ambidextrous innovation, and firm performance. Technol. Anal. Strateg. Manag. 2015, 27, 1193–1211. [Google Scholar] [CrossRef]
- Grimaldi, M.; Cricelli, L.; Di, G.M. The patent portfolio value analysis: A new framework to leverage patent information for strategic technology planning. Technol. Forecast. Soc. Chang. 2015, 94, 286–302. [Google Scholar] [CrossRef]
- Grimaldi, M.; Cricelli, L.; Rogo, F. Valuating and analyzing the patent portfolio: The patent portfolio value index. Eur. J. Innov. Manag. 2018, 21, 174–202. [Google Scholar] [CrossRef]
- Caviggioli, F.; Colombelli, A.; De Marco, A. How venture capitalists evaluate young innovative company patent portfolios: Empirical evidence from Europe. Int. J. Entrep. Behav. Res. 2020, 1, 1–27. [Google Scholar]
- Siebert, R.; Graevenitz, G.V. Jostling for advantage or not: Choosing between patent portfolio races and ex ante licensing. J. Econ. Behav. Organ. 2010, 73, 225–245. [Google Scholar] [CrossRef]
- Jell, F.; Henkel, J.; Wallin, M.W. Offensive Patent Portfolio Races. Long Range Plan. 2017, 50, 531–549. [Google Scholar] [CrossRef]
- Wakelin, K. Productivity growth and R&D expenditure in UK manufacturing firms. Res. Policy 2001, 30, 1079–1090. [Google Scholar]
- Hartmann, G.C.; Myers, M.B.; Rosenbloom, R.S. Planning your firm’s R&D investment. Res. Technol. Manag. 2006, 49, 25–36. [Google Scholar]
- Lee, C.Y.; Wu, H.L.; Pao, H.W. How does R&D intensity influence firm explorativeness? Evidence of R&D active firms in four advanced countries. Technovation 2014, 34, 582–593. [Google Scholar]
- Blind, K.; Cremers, K.; Mueller, E. The influence of strategic patenting on companies’ patent portfolios. Res. Policy 2009, 38, 428–436. [Google Scholar] [CrossRef]
- Lee, B.; Cho, H.H.; Shin, J. The relationship between inbound open innovation patents and financial performance: Evidence from global information technology companies. Asian J. Technol. Innov. 2015, 23, 289–303. [Google Scholar] [CrossRef]
- Lichtenthaler, U. The Role of Corporate Technology Strategy and Patent Portfolios in low-Medium- and High- Technology Firms. Res. Policy 2009, 38, 559–569. [Google Scholar] [CrossRef]
- Ma, Z.; Jin, Q. Success factors for product innovation in China’s manufacturing sector: Strategic choice and environment constraints. Int. Stud. Manag. Organ. 2019, 49, 213–231. [Google Scholar] [CrossRef]
- Wu, J.; Ma, Z.; Liu, Z. A contingent view of institutional environment, firm capability, and innovation performance of emerging multinational enterprises. Ind. Mark. Manag. 2019, 82, 148–157. [Google Scholar] [CrossRef]
- Kim, G.; Lee, J.; Jang, D.; Park, S. Technology Clusters Exploration for Patent Portfolio through Patent Abstract Analysis. Sustainability 2016, 8, 1252. [Google Scholar] [CrossRef]
- Grimpe, C.; Hussinger, K. Resource complementarity and value capture in firm acquisitions: The role of intellectual property rights. Strateg. Manag. J. 2014, 35, 1762–1780. [Google Scholar] [CrossRef]
- Cockburn, I.M.; MacGarvie, M.J.; Muller, E. Patent thickets, licensing and innovative performance. Ind. Corp. Chang. 2010, 19, 899–925. [Google Scholar] [CrossRef]
- Zheng, S.L.; Bian, X.K.; Zhu, G.K.; Zhang, Y. Research on the Relationship between Patent Portfolio and Innovation Performance Based on Knowledge Integration. J. Intell. 2019, 38, 191–199. (In Chinese) [Google Scholar]
- Chen, Y.S.; Chang, K.C. The relationship between a firm’s patent quality and its market value—The case of US pharmaceutical industry. Technol. Forecast. Soc. Chang. 2010, 77, 20–33. [Google Scholar] [CrossRef]
- Lin, C.; Chang, C.C. The effect of technological diversification on organizational performance: An empirical study of S&P 500 manufacturing firms. Technol. Forecast. Soc. Chang. 2015, 90, 575–586. [Google Scholar]
- Lin, B.W.; Chen, C.J.; Wu, H.L. Patent portfolio diversity, technology strategy, and firm value. IEEE Trans. Eng. Manag. 2006, 53, 17–26. [Google Scholar]
- Wagner, S.; Wakeman, S. What do patent-based measures tell us about product commercialization? Evidence from the pharmaceutical industry. Res. Policy 2016, 45, 1091–1102. [Google Scholar] [CrossRef]
- Harhoff, D.; Scherer, F.M.; Vopel, K. Citations, familysize, opposition and the value of patent rights. Res. Policy 2003, 32, 1343–1363. [Google Scholar] [CrossRef]
- Dang, H.N.; Vu, V.T.T.; Ngo, X.T. Study the Impact of Growth, Firm Size, Capital Structure, and Profitability on Enterprise Value: Evidence of Enterprises in Vietnam. J. Corp. Account. Financ. 2019, 30, 144–160. [Google Scholar] [CrossRef]
- Lee, K.; Roh, T. Proactive Divestiture and Business Innovation: R&D Input and Output Performance. Sustainability 2020, 12, 3874. [Google Scholar]
- Kok, H.; Faems, D.; Faria, P. Dusting off the Knowledge Shelves: Recombinant Lag and the Technological Value of Inventions. J. Manag. 2019, 45, 2807–2836. [Google Scholar] [CrossRef]
- Caner, T.; Bruyaka, O.; Prescott, J.E. Flow Signals: Evidence from Patent and Alliance Portfolios in the US Biopharmaceutical Industry. J. Manag. Stud. 2018, 55, 232–264. [Google Scholar] [CrossRef]
- Liu, X.; Zhang, C. Corporate governance, social responsibility information disclosure, and innovation performance in China. J. Clean. Prod. 2017, 142, 1075–1084. [Google Scholar] [CrossRef]
- Wu, J.; Ma, Z.; Liu, Z. The moderated mediating effect of international diversification, technological capability, and market orientation on emerging firms’ new product performance. J. Bus. Res. 2019, 99, 524–533. [Google Scholar] [CrossRef]
- Haans, R.F.J.; Pieters, C.; He, Z.L. Thinking about U: Theorizing and testing U- and inverted U-shaped relationships in strategy research. Strateg. Manag. J. 2016, 37, 1177–1195. [Google Scholar] [CrossRef]
- Mudambi, R.; Swift, T. Knowing When to Leap: Transitioning between Exploitative and Explorative R&D. Strateg. Manag. J. 2014, 35, 126–145. [Google Scholar]
- Pan, X.; Chen, X.J.; Li, X.B. To fit in or stand out? How optimal distinctiveness in technological diversification affects firm performance. Eur. Manag. J. 2019, 37, 67–77. [Google Scholar] [CrossRef]
- Subramanian, A.M.; Wang, B.; Chai, K. Does Technological Diversity Help or Hurt Small Firms? The Moderating Role of Core Technological Coherence. IEEE Trans. Eng. Manag. 2019, 66, 299–311. [Google Scholar] [CrossRef]
- Kook, S.H.; Kim, K.H.; Lee, C. Dynamic Technological Diversification and Its Impact on Firms’ Performance: An Empirical Analysis of Korean IT Firms. Sustainability 2017, 9, 1239. [Google Scholar] [CrossRef]
- Guo, L.; Zhang, M.; Mark, D.; Cai, H. An integrated indicator system for patent portfolios: Evidence from the telecommunication manufacturing industry. Technol. Anal. Strateg. Manag. 2017, 29, 600–613. [Google Scholar] [CrossRef]
- Ma, Z.; Lee, Y. Patent application and technological collaboration in inventive activities: 1980–2005. Technovation 2008, 28, 379–390. [Google Scholar] [CrossRef]
- Jia, H.Y.; Wang, Z.J.; Cao, Z.Y. R&D Investment Volatility and Firm Performance: The Moderating Roles of Industry Technological Dynamism and Organizational Absorptive Ability. Nankai Bus. Rev. 2018, 21, 130–141. (In Chinese) [Google Scholar]
Publisher’s Note: MDPI stays neutral with regard to jurisdictional claims in published maps and institutional affiliations. |
© 2020 by the authors. Licensee MDPI, Basel, Switzerland. This article is an open access article distributed under the terms and conditions of the Creative Commons Attribution (CC BY) license (http://creativecommons.org/licenses/by/4.0/).

