Money Talks: Team Variables and Player Positions that Most Influence the Market Value of Professional Male Footballers in Europe
Abstract
1. Introduction
2. Materials and Methods
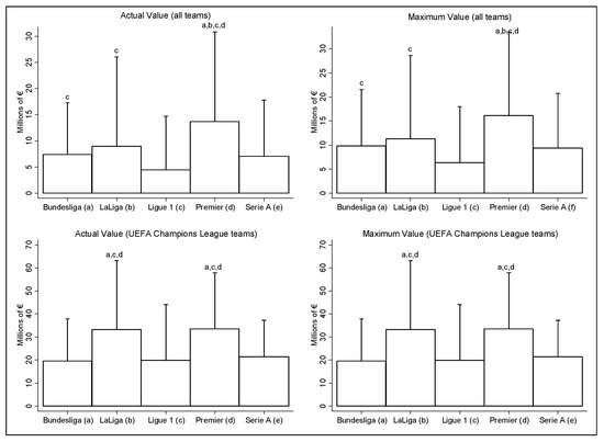
3. Results
4. Discussion
Author Contributions
Funding
Conflicts of Interest
References
- Deprez, D.N.; Fransen, J.; Lenoir, M.; Philippaerts, R.M.; Vaeyens, R. A retrospective study on anthropometrical, physical fitness, and motor coordination characteristics that influence dropout, contract status, and first-team playing time in high-level soccer players aged eight to eighteen years. J. Strength Cond. Res. 2015, 29, 1692–1704. [Google Scholar] [CrossRef] [PubMed]
- Lovell, R.; Towlson, C.; Parkin, G.; Portas, M.; Vaeyens, R.; Cobley, S. Soccer player characteristics in English lower-league development programmes: The relationships between relative age, maturation, anthropometry and physical fitness. PLoS ONE 2015, 10, e0137238. [Google Scholar] [CrossRef] [PubMed]
- Williams, A.M.; Reilly, T. Talent identification and development in soccer. J. Sports Sci. 2000, 18, 657–667. [Google Scholar] [CrossRef] [PubMed]
- Boone, J.; Vaeyens, R.; Steyaert, A.; Vanden Bossche, L.; Bourgois, J. Physical fitness of elite Belgian soccer players by player position. J. Strength Cond. Res. 2012, 26, 2051–2057. [Google Scholar] [CrossRef]
- di Salvo, V.; Baron, R.; Tschan, H.; Calderon Montero, F.J.; Bachl, N.; Pigozzi, F. Performance characteristics according to playing position in elite soccer. Int. J. Sports Med. 2006, 28, 222–227. [Google Scholar] [CrossRef]
- Dobson, S.; Gerrard, B. The determination of player transfer fees in English professional soccer. J. Sport Manag. 1999, 13, 259–279. [Google Scholar] [CrossRef]
- Deutscher, C.; Büschemann, A. Does consistency pay off financially? Evidence from the Bundesliga. J. Sports Econ. 2016, 17, 27–43. [Google Scholar] [CrossRef]
- Garcia del Barrio, P.; Pujol, F. Pay and Performance in the Spanish Soccer League: Who Gets the Expected Monopsony Rents? University of Navarra: Pamplona, Spain, 2004. [Google Scholar]
- Bryson, A.; Frick, B.; Simmons, R. The returns to scarce talent: Footedness and player remuneration in European soccer. J. Sports Econ. 2013, 14, 606–628. [Google Scholar] [CrossRef]
- Bachan, R.; Reilly, B.; Witt, R. Team performance and race: Evidence from the English and French national soccer teams. Appl. Econ. 2014, 46, 1535–1546. [Google Scholar] [CrossRef]
- Hoffmann, R.; Chew, L.G.; Ramasamy, B. The socio-economic determinants of international soccer performance. J. Appl. Econ. 2002, 5, 253–272. [Google Scholar] [CrossRef]
- Pedace, R. Earnings, performance, and nationality discrimination in a highly competitive Labor market as an analysis of the English professional soccer league. J. Sport Econ. 2008, 9, 115–140. [Google Scholar] [CrossRef]
- Schokkaert, J. Football clubs’ recruitment strategies and international player migration: Evidence from Senegal and South Africa. Soccer Soc. 2016, 17, 120–139. [Google Scholar] [CrossRef]
- Lehmann, E.; Schulze, G. What does it take to be a star?—The role of performance and the media for German soccer players. Appl. Econ. Q. 2008, 54, 59–70. [Google Scholar] [CrossRef]
- Lucifora, C.; Simmons, R. Superstar effects in sport: Evidence from Italian soccer. J. Sports Econ. 2003, 4, 35–55. [Google Scholar] [CrossRef]
- Herm, S.; Callsen-Bracker, H.M.; Kreis, H. When the crowd evaluates soccer players’ market values: Accuracy and evaluation attributes of an online community. Sport Manag. Rev. 2014, 17, 484–492. [Google Scholar] [CrossRef]
- Müller, O.; Simons, A.; Weinmann, M. Beyond crowd judgments: Data-driven estimation of market value in association football. Eur. J. Oper. Res. 2017, 263, 611–624. [Google Scholar]
- Prpić, J.; Shukla, P.P.; Kietzmann, J.H.; McCarthy, I.P. How to work a crowd: Developing crowd capital through crowdsourcing. Bus. Horiz. 2015, 58, 77–85. [Google Scholar] [CrossRef]
- Peeters, T. Testing the Wisdom of Crowds in the field: Transfermarkt valuations and international soccer results. Int. J. Forecast. 2018, 34, 17–29. [Google Scholar] [CrossRef]
- Torgler, B.; Schmidt, S.L. What shapes player performance in soccer? Empirical findings from a panel analysis. Appl. Econ. 2007, 39, 2355–2369. [Google Scholar] [CrossRef]
- Richau, L.; Follert, F.; Emrich, M.F. Performance indicators in football: The importance of actual performance for the market value of football players. Sciamus Sport und Management Jahrestagung des Arbeitskreises Sportökonomie 2019, 23, 41–67. [Google Scholar]
- Frenger, M.; Follert, F.; Richau, L.; Emrich, E. Follow me… on the relationship between social media activities and market values in the German Bundesliga. Work. Pap. Eur. Inst. Socioecon. 2019, 32, 4–12. [Google Scholar]
- Lorenz, J.; Rauhut, H.; Schweitzer, F.; Helbing, D. How social influence can undermine the wisdom of crowd effect. Proc. Natl. Acad. Sci. USA 2011, 108, 9020–9025. [Google Scholar] [CrossRef] [PubMed]
- Prockl, F.; Frick, B. Information Precision in Online Communities: Player Valuations on www.Transfermarkt.De. Int. J. Sport Financ. 2018, 13, 319–335. [Google Scholar]
- Carreras, M.; Garcia, J. TV Rights, Financial Inequality, and Competitive Balance in European Football: Evidence from the English Premier League and the Spanish LaLiga. Int. J. Sport Financ. 2018, 13, 201–224. [Google Scholar]
- Doyle, J.R.; Bottomley, P.A. Relative age effect in elite soccer: More early-born players, but no better valued, and no paragon clubs or countries. PLoS ONE 2018, 13, e0192209. [Google Scholar] [CrossRef]
- Pérez-González, B.; Fernández-Luna, A.; Vega, P.; Burillo, P. The relative age effect: Does it also affect perceived market value? The case of the Spanish LFP (Professional Football League). J. Phys. Educ. Sport 2018, 18, 1408–1411. [Google Scholar]
- Cohen, J. A power primer. Psychol. Bull. 1992, 112, 155–159. [Google Scholar] [CrossRef]
- Wicker, P.; Prinz, J.; Weimar, D.; Deutcher, C.; Upmann, T. No pain, no gain? Effort and productivity in professional soccer. Int. J. Sport Financ. 2013, 8, 124–139. [Google Scholar]
- Kesenne, S. Revenue sharing and absolute league quality; talent investment and talent allocation. Scott. J. Political Econ. 2015, 62, 51–58. [Google Scholar] [CrossRef]
- Simmons, R.; Deutscher, C. The economics of the World Cup. In The Oxford Handbook of Sports Economics; Kahane, L., Shmanske, S., Eds.; Oxford University Press: Oxford, UK, 2012. [Google Scholar]
- Franck, E.; Nüesch, S. Mechanism of superstar formation in German soccer: Empirical evidence. Eur. Sport Manag. Q. 2018, 8, 145–164. [Google Scholar] [CrossRef]
- Majewski, S. Identification of factors determining market value of the most valuable football players. J. Manag. Bus. Adm. 2016, 24, 91–104. [Google Scholar] [CrossRef]
- Serrano, R.; García-Bernal, J.; Fernández-Olmos, M.; Espitia-Escuer, M.A. Expected quality in European football attendance: Market value and uncertainty reconsidered. Appl. Econ. Lett. 2015, 22, 1051–1054. [Google Scholar] [CrossRef]
- Kiefer, S. The impact of the Euro 2012 on popularity and market value of football players. Int. J. Sport Financ. 2014, 9, 95–110. [Google Scholar]
- Gerhards, J.; Mutz, M. Who wins the championship? Market value and team composition as predictors of success in the top European football leagues. Eur. Soc. 2017, 19, 223–242. [Google Scholar] [CrossRef]
- Deutscher, C.; Ötting, M.; Schneemann, S.; Scholten, H. The Demand for English Premier League Soccer Betting. J. Sports Econ. 2019, 20, 556–579. [Google Scholar] [CrossRef]
- Pawlowski, T.; Breuer, C.; Hovemann, A. Top clubs’ performance and the competitive situation in European domestic football competitions. J. Sports Econ. 2010, 11, 186–202. [Google Scholar] [CrossRef]
- Plumley, D.; Ramchandani, G.M.; Wilson, R. The unintended consequence of Financial Fair Play: An examination of competitive balance across five European football leagues. Sport Bus. Manag. 2019, 9, 118–133. [Google Scholar] [CrossRef]

| n | Mean Value (€ mill) | Maximum Value (€ mill) | |||||
|---|---|---|---|---|---|---|---|
| Top Team | 1122 | 13.11 | ± | 17.95 * | 15.96 | ± | 18.54 * |
| Bottom Team | 1137 | 3.64 | ± | 4.15 | 5.43 | ± | 5.23 |
| Champions League Team (a) | 427 | 21.92 | ± | 23.57 b,c | 25.76 | ± | 23.62 b,c |
| Europa League Team (b) | 356 | 9.95 | ± | 12.48 c | 12.25 | ± | 12.76 c |
| No Competition Team (c) | 1476 | 4.03 | ± | 4.68 | 5.91 | ± | 5.94 |
| Birthday Quarter 1 (a) | 697 | 8.78 | ± | 14.68 | 11.10 | ± | 15.32 |
| Birthday Quarter 2 (b) | 577 | 8.64 | ± | 15.24 | 10.70 | ± | 15.81 |
| Birthday Quarter 3 (c) | 543 | 7.49 | ± | 11.50 | 10.13 | ± | 12.80 |
| Birthday Quarter 4 (d) | 414 | 8.63 | ± | 13.39 | 10.93 | ± | 13.99 |
| Goalkeeper (a) | 230 | 4.57 | ± | 8.19 | 6.77 | ± | 9.02 |
| Defender (b) | 751 | 6.84 | ± | 8.82 | 8.73 | ± | 9.40 |
| Midfielder (c) | 493 | 8.15 | ± | 12.67 a | 10.28 | ± | 12.76 a |
| Attacking Midfielder (d) | 400 | 12.88 | ± | 21.02 a,b,c,e | 15.78 | ± | 21.84 a,b,c,e |
| Forward (e) | 357 | 9.49 | ± | 16.11 a,b | 12.45 | ± | 17.08 a,b |
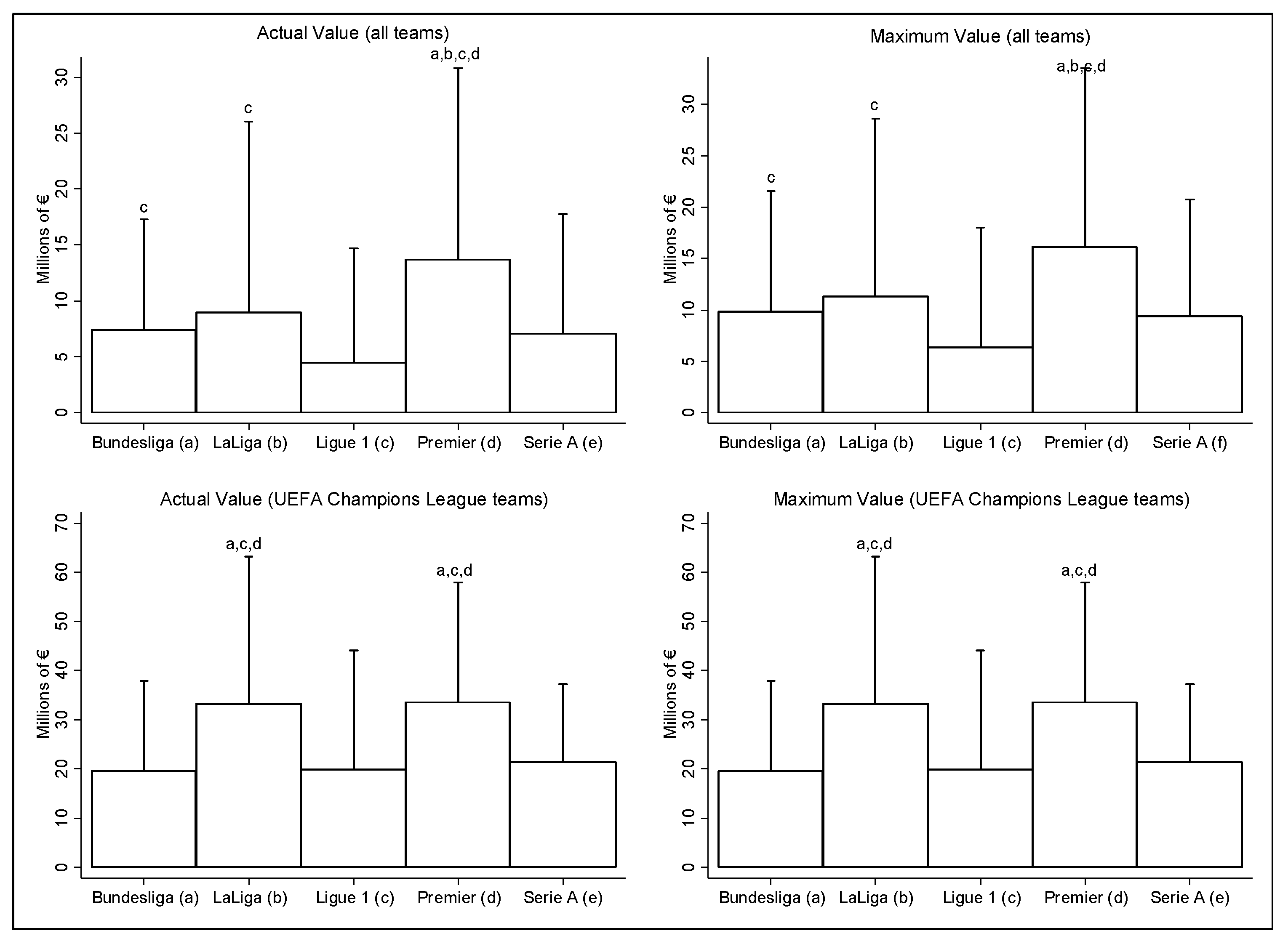
| Current Value | Maximum Value | |||||
|---|---|---|---|---|---|---|
| Coef. | Std. Err. | p | Coef. | Std. Err. | p | |
| Champions League Team | ||||||
| Europa League Team | −11.80 | 1.24 | <0.001 | −13.32 | 1.24 | <0.001 |
| No Competition Team | −17.71 | 1.09 | <0.001 | −19.87 | 1.09 | <0.001 |
| Birthday Quarter 1 | ||||||
| Birthday Quarter 2 | −0.32 | 0.69 | 0.649 | −0.82 | 0.70 | 0.24 |
| Birthday Quarter 3 | −1.50 | 0.61 | 0.015 | −1.61 | 0.64 | 0.01 |
| Birthday Quarter 4 | −0.28 | 0.72 | 0.694 | −0.71 | 0.74 | 0.34 |
| Premier League | ||||||
| Bundesliga | −7.24 | 0.82 | <0.001 | −6.83 | 0.86 | <0.001 |
| LaLiga | −4.64 | 0.93 | <0.001 | −4.63 | 0.92 | <0.001 |
| Ligue 1 | −8.66 | 0.80 | <0.001 | −8.81 | 0.82 | <0.001 |
| Serie A | −6.76 | 0.79 | <0.001 | −6.51 | 0.79 | <0.001 |
| Goalkeeper | ||||||
| Defender | 1.85 | 0.62 | 0.003 | 2.54 | 0.69 | <0.001 |
| Attacking Midfielder | 7.03 | 1.06 | <0.001 | 9.06 | 1.10 | <0.001 |
| Midfielder | 3.82 | 0.73 | <0.001 | 4.98 | 0.78 | <0.001 |
| Forward | 5.38 | 0.91 | <0.001 | 7.64 | 0.98 | <0.001 |
| Age | −0.18 | 0.05 | 0.001 | 0.33 | 0.06 | <0.001 |
| Constant | 29.01 | 2.12 | <0.001 | 18.05 | 2.20 | <0.001 |
| R2 | 0.33 | 0.36 | ||||
| F | 34.39 (p < 0.001) | 42.98 (p < 0.001) | ||||
© 2020 by the authors. Licensee MDPI, Basel, Switzerland. This article is an open access article distributed under the terms and conditions of the Creative Commons Attribution (CC BY) license (http://creativecommons.org/licenses/by/4.0/).
Share and Cite
Felipe, J.L.; Fernandez-Luna, A.; Burillo, P.; de la Riva, L.E.; Sanchez-Sanchez, J.; Garcia-Unanue, J. Money Talks: Team Variables and Player Positions that Most Influence the Market Value of Professional Male Footballers in Europe. Sustainability 2020, 12, 3709. https://doi.org/10.3390/su12093709
Felipe JL, Fernandez-Luna A, Burillo P, de la Riva LE, Sanchez-Sanchez J, Garcia-Unanue J. Money Talks: Team Variables and Player Positions that Most Influence the Market Value of Professional Male Footballers in Europe. Sustainability. 2020; 12(9):3709. https://doi.org/10.3390/su12093709
Chicago/Turabian StyleFelipe, Jose Luis, Alvaro Fernandez-Luna, Pablo Burillo, Luis Eduardo de la Riva, Javier Sanchez-Sanchez, and Jorge Garcia-Unanue. 2020. "Money Talks: Team Variables and Player Positions that Most Influence the Market Value of Professional Male Footballers in Europe" Sustainability 12, no. 9: 3709. https://doi.org/10.3390/su12093709
APA StyleFelipe, J. L., Fernandez-Luna, A., Burillo, P., de la Riva, L. E., Sanchez-Sanchez, J., & Garcia-Unanue, J. (2020). Money Talks: Team Variables and Player Positions that Most Influence the Market Value of Professional Male Footballers in Europe. Sustainability, 12(9), 3709. https://doi.org/10.3390/su12093709

