Optimization of Design Parameters for Office Buildings with Climatic Adaptability Based on Energy Demand and Thermal Comfort
Abstract
1. Introduction
1.1. Background
1.2. Research Content
1.3. Scientific Originality
1.4. Target of This Research
2. Methodology
2.1. Climate Condition
2.1.1. Climate Classification
2.1.2. Chosen Location
- (1)
 - Climate data should be measured in the database of Energy Plus;
 - (2)
 - The cities must have typical weather features of each climate zone;
 - (3)
 - Weather condition should have a reasonable geographical distribution.
 
2.2. Pre-Evaluation of Various Design Parameters
2.3. Simulation Studies
2.3.1. Mathematical Model and Evaluation Criteria
Energy Consumption Model
Thermal Comfort Model
2.3.2. Basic Simulation Assumptions
- (1)
 - The rooms with similar functions in the building’s geometrical model were merged into the same thermal zone (thermal zone 1: office cell; thermal zone 2: meeting space; thermal zone 3: equipment room, etc.);
 - (2)
 - The inner walls (three surfaces), floor, and inner ceiling are adiabatic—heat transfers between the room and outside environment only through the exterior wall with fenestration;
 - (3)
 - Direct solar radiation is mainly absorbed by the floor, which equals 75%; the other 25% is absorbed by the interior surfaces, and the reflected direct radiation from the surfaces is absorbed by all inner surfaces according to their absorptivity; meanwhile, diffuse solar radiation is all absorbed by the inner surfaces;
 - (4)
 - The heating demand consumes natural gas with an overall system efficiency of 82%, and the cooling demand consumes electricity with the coefficient of performance (COP), which was 5.6.
 
2.3.3. Benchmark Case Geometrical Model
2.3.4. Envelope and Boundary Conditions
2.3.5. Optimization Scheme
3. Results and Discussion
3.1. Energy Demand
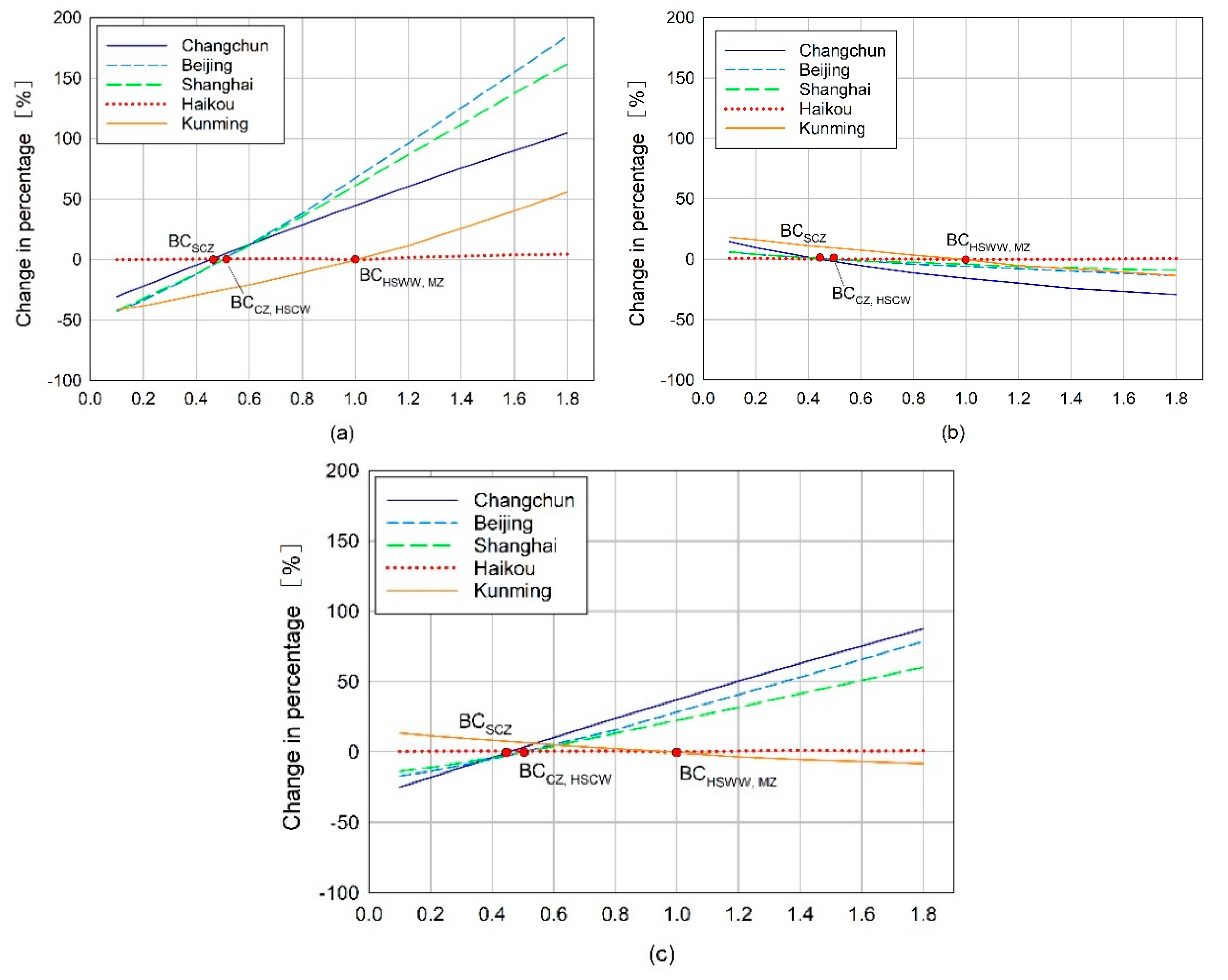
3.1.1. Orientation
3.1.2. Layer of EPS Board
3.1.3. U-Value of Exterior Fenestration
3.1.4. SHGC
3.1.5. WWR
3.1.6. Infiltration Rate
3.1.7. Optimal Value/Range for Energy Conservation
3.2. Thermal Comfort
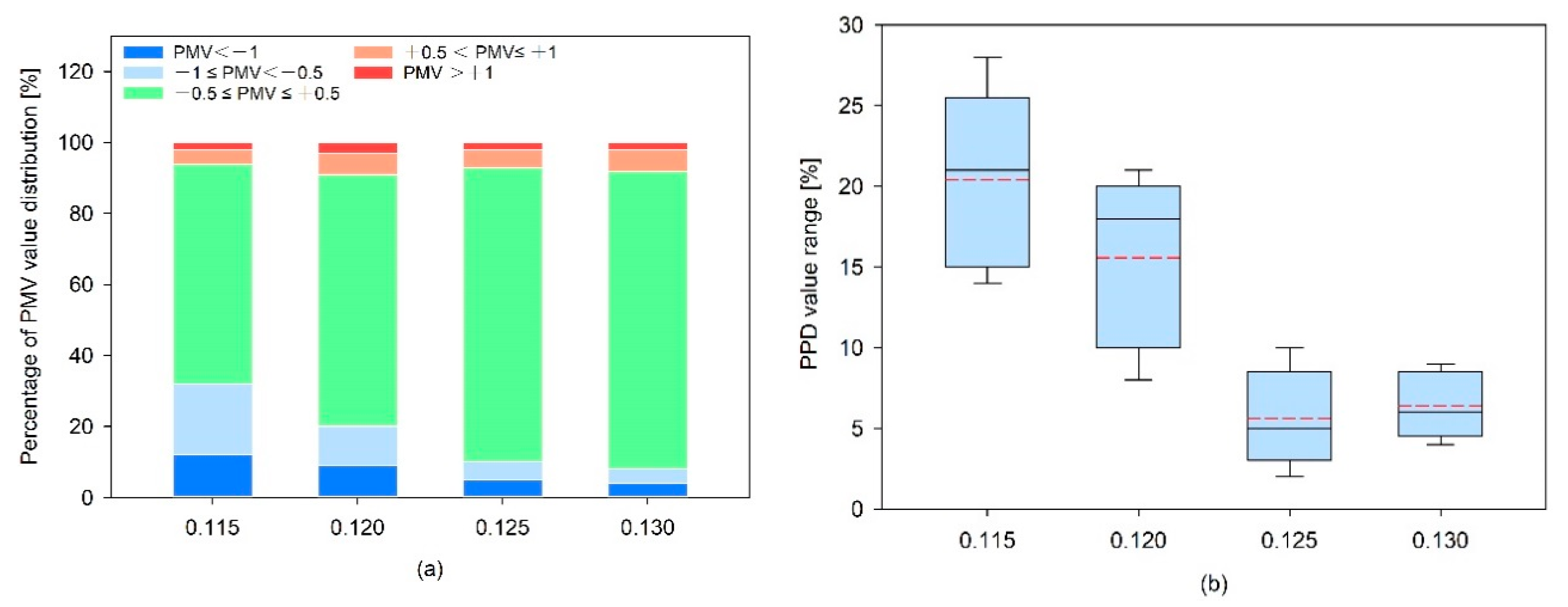
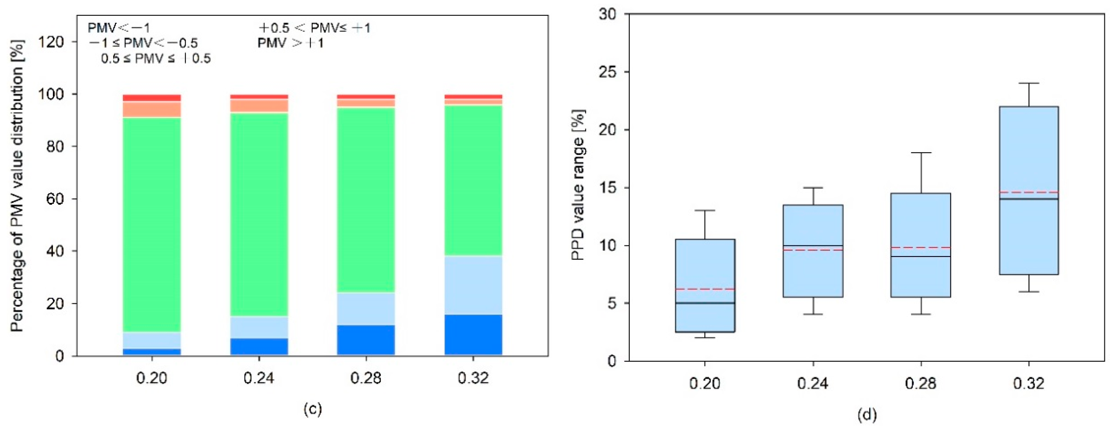
3.2.1. SCZ—Changchun
3.2.2. CZ—Beijing
3.2.3. HSCW—Shanghai
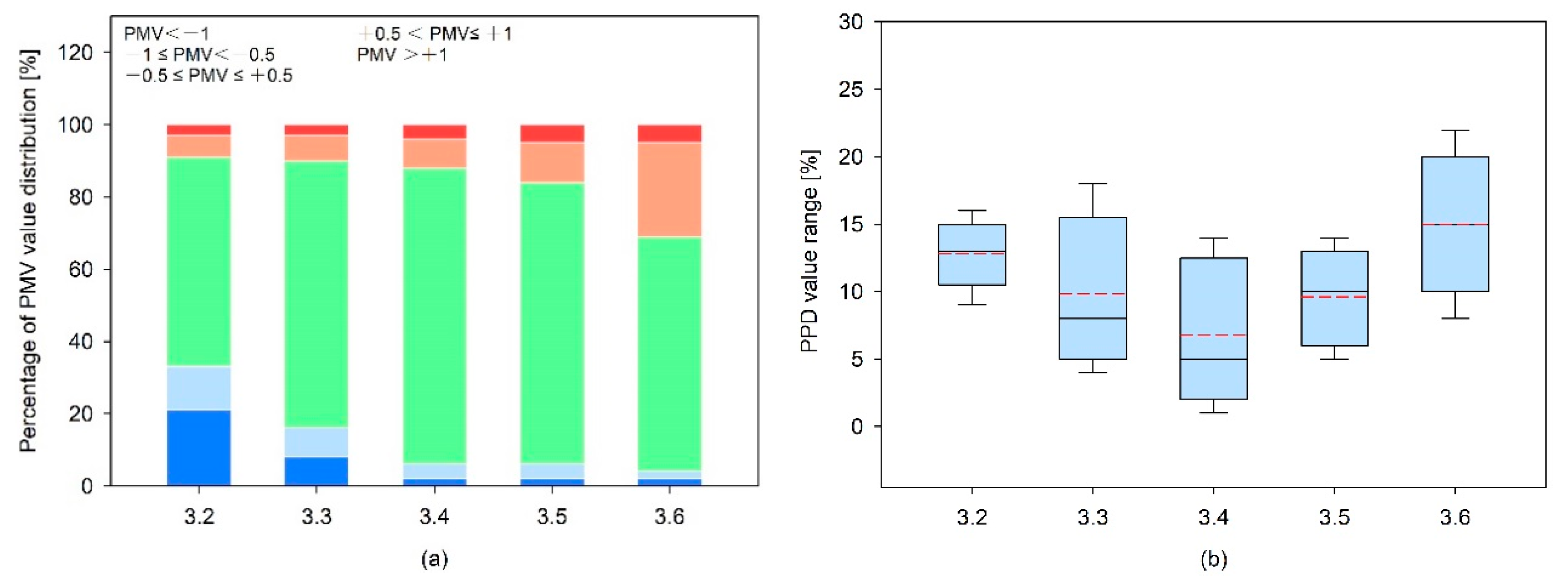
3.2.4. HSWW—Haikou
3.2.5. MZ—Kunming
3.3. A Trade-Off Consideration between Energy Demand and Thermal Requirement
4. Conclusions
- (1)
 - In general, buildings oriented south have the best performance for energy consumption across all five climate zones, because they can make full use of the solar radiation and achieve the basic day-lighting requirement;
 - (2)
 - SCZ—Changchun: due to the fact that heat protection in winter is the most significant aspect, the insulation thickness, WWR, and infiltration are more sensitive when the thickness of EPS insulation varies from 0.125 m to 0.130 m and WWR is less than 0.24, and when the other parameters remain unchanged at the optimal values (infiltration rate is as small as possible), buildings in this climate can reach the maximum total energy demand reductions of about 18–24%. Meanwhile, with the improvement of the building envelope, a comfortable condition will be maintained at the higher level;
 - (3)
 - CZ—Beijing: similar to SCZ, the thermal insulation performance of the envelope structure is still an important issue in this area, and the biggest energy saving rate can reach approximately 15% when the EPS thickness is between 0.11 m to 0.13 m, with the best WWR range being from 0.2 to 0.42;
 - (4)
 - HSCW—Shanghai: since both energy demands (heating/cooling) should be taken into consideration in this area, the results showed that when the most important parameters of EPS insulation change from 0.09 m to 0.11 m, this can achieve the biggest energy reduction of 16–19%, and although it can reduce heating loads while continuing to increase the insulation layer, indoor discomfort (slight warm) will exist in summer;
 - (5)
 - HSWW—Haikou: as overheating is the main issue in this region, it is essential to take measures for avoiding high temperatures in summer to reduce the cooling loads. For one thing, maintaining the optimal value of SHGC and other subdominant parameters based on the simulation results invariably, and for another, setting the U-value of fenestration between 3.0 W/(m2 K) and 3.4 W/(m2 K), can receive the best saving of 5–7%, as well as guarantee a higher comfort level;
 - (6)
 - MZ—Kunming: comparing with HSWW, the crucial influence parameters are also SHGC and U-value of exterior fenestration, so it was found that a U-value between 3.3 W/(m2 K) and 3.5 W/(m2 K) while also keeping SHGC as small as possible based on local standards will lead to approximately 12–15% of total energy demand reduction.
 
- (1)
 - The benchmark cases selected in this paper are all multistory buildings, but various geometries will inevitably lead to discrepancies in the shape coefficient and energy utilization;
 - (2)
 - The effect of shading was not considered in the calculation, nonetheless, it is widely used in HSWW and MZ to protect against the intense solar radiation, so as to decrease the total cooling loads of the building throughout the year;
 - (3)
 - Relative humidity is a crucial aspect for the thermal environment and safeguarding of the construction envelope, especially in HSWW, leading to the problem of excessive partial pressure of water-steam, which encourages mold growth.
 
Author Contributions
Funding
Acknowledgments
Conflicts of Interest
References
- Giouri, E.D.; Tenpierik, M.; Turrin, M. Zero energy potential of a high rise office building in a Mediterranean climate: Using multi-objective optimization to understand the impact of designs towards zero-energy high-rise buildings. Energy Build. 2020, 209, 109666. [Google Scholar] [CrossRef]
 - Sun, K.; Hong, T. A framework for quantifying the impact of occupant behavior on energy savings of energy conservation measures. Energy Build. 2017, 146, 383–396. [Google Scholar] [CrossRef]
 - Al-Saggaf, A.; Nasir, H.; Taha, M. Quantitative approach for evaluating the building design features impact on cooling energy consumption in hot climates. Energy Build. 2020, 211, 109802. [Google Scholar] [CrossRef]
 - Gercek, M.; Arsan, Z.D. Energy and environmental performance based decision support process for early design stages of residential buildings under climate change. Sustain. Cities Soc. 2019, 48, 101580. [Google Scholar] [CrossRef]
 - China’s Ministry of Housing and Urban-rural Development. China’s Research Report on Building Energy Consumption; 2016; pp. 24–28.
 - Atmaca, A.B.; Gedik, G.Z. Evaluation of mosques in terms of thermal comfort and energy consumption in a temperate-humid climate. Energy Build. 2019, 195, 195–204. [Google Scholar] [CrossRef]
 - Bano, F.; Sehgal, V. Evaluation of energy-efficient design strategies: Comparison of the thermal performance of energy-efficient office buildings in composite climate, India. Sol. Energy 2018, 176, 506–519. [Google Scholar] [CrossRef]
 - Alalouch, C.; Al-Saadi, S.; Alwaer, H.; Al-Khaled, K. Energy saving potential for residential buildings in hot climates: The case of Oman. Sustain. Cities Soc. 2019, 46, 101442. [Google Scholar] [CrossRef]
 - Chi, F.; Yong, H.; Wang, R.; Li, G.; Peng, C. An investigation of optimal window-to-wall ratio based on changes in building orientations for traditional dwellings. Sol. Energy 2020, 195, 64–81. [Google Scholar] [CrossRef]
 - Du, T.; Jansen, S.; Turrin, M.; van den Dobbelsteen, A. Effects of architectural space layouts on energy performance: A review. Sustainability 2020, 12, 1829. [Google Scholar] [CrossRef]
 - Saikia, P.; Pancholi, M.; Sood, D.; Rakshit, D. Dynamic optimization of multi-retrofit building envelope for enhanced energy performance with a case study in hot Indian climate. Energy 2020, 197, 117263. [Google Scholar] [CrossRef]
 - Zhang, S.; He, W.; Chen, D.; Chu, J.; Fan, H.; Duan, X. Thermal comfort analysis based on PMV/PPD in cabins of manned submersibles. Build. Environ. 2019, 148, 668–676. [Google Scholar] [CrossRef]
 - Hwang, R.; Shih, W.; Huang, K. Performance-rating-based approach to formulate a new envelope index for commercial buildings in perspective of energy efficiency and thermal comfort. Appl. Energy 2020, 264, 114725. [Google Scholar] [CrossRef]
 - Kim, K.; Kim, B.S.; Park, S. Analysis of design approaches to improve the comfort level of a small glazed-envelope building during summer. Sol. Energy 2007, 81, 39–51. [Google Scholar] [CrossRef]
 - Baruch, G. Climate Considerations in Building and Urban Design; John Wiley and Sons Inc.: New York, NY, USA, 1998. [Google Scholar]
 - Inanici, M.N.; Demirbilek, F.N. Thermal performance optimization of building aspect ratio and south window size in five cities having different climatic characteristics of Turkey. Build. Environ. 2000, 35, 41–52. [Google Scholar] [CrossRef]
 - Bai, L.; Wang, S. Definition of new thermal climate zones for building energy efficiency response to the climate change during the past decades in China. Energy 2019, 170, 709–719. [Google Scholar] [CrossRef]
 - China’s Ministry of Housing and Urban-rural Development. Code for Thermal Design of Civil Building; GB50176-2016; 2016; pp. 17–22.
 - Zhang, A.; Bokel, R.; van den Dobbelsteen, A.; Sun, Y.; Huang, Q.; Zhang, Q. The effect of geometry parameters on energy and thermal performance of school buildings in cold climates of China. Sustainability 2017, 9, 1708. [Google Scholar] [CrossRef]
 - Khalesi, J.; Goudarzi, N. Thermal comfort investigation of stratified indoor environment in displacement ventilation: Climate-adaptive building with smart windows. Sustain. Cities Soc. 2019, 46, 101354. [Google Scholar]
 - Fernandez-Antolin, M.; del Rio, J.M.; Costanzo, V.; Nocera, F.; Gonzalez-Lezcano, R. Passive design strategies for residential buildings in different Spanish climate zones. Sustainability 2019, 11, 4816. [Google Scholar] [CrossRef]
 - Xue, P.; Li, Q.; Xie, J.; Zhao, M.; Liu, J. Optimization of window to wall ratio with sunshades in China low latitude region considering daylighting and energy saving requirements. Appl. Energy 2019, 233, 62–70. [Google Scholar] [CrossRef]
 - Shen, H.; Tzempelikos, A. Day-lighting and energy analysis of private offices with automated interior roller shades. Solar Energy 2012, 86, 681–704. [Google Scholar] [CrossRef]
 - Feng, G.; Dou, B.; Xu, X.; Chi, D.; Sun, Y.; Hou, P. Research on energy efficiency design key parameters of envelope for nearly zero energy buildings in cold area. Procedia Eng. 2017, 205, 686–693. [Google Scholar] [CrossRef]
 - Susorova, I.; Tabibzadeh, M.; Rahman, A.; Clack, H.L.; Elnimeiri, M. The effect of geometry factors on fenestration energy performance and energy savings in office buildings. Energy Build. 2013, 57, 6–13. [Google Scholar] [CrossRef]
 - Goia, F. Search for the optimal window to wall ratio in office buildings in different European climates and the implications on total energy saving potential. Solar Energy 2016, 132, 467–492. [Google Scholar] [CrossRef]
 - Zhao, M.; Kunzel, H.M.; Antretter, F. Parameters influencing the energy performance of residential buildings in different Chinese climate zones. Energy Build. 2015, 96, 64–75. [Google Scholar] [CrossRef]
 - Wu, Z.; Li, N.; Wargocki, P.; Peng, J.; Li, J. Field study on thermal comfort and energy saving potential in 11 split air-conditioned office buildings in Changsha, China. Energy 2019, 182, 471–482. [Google Scholar] [CrossRef]
 - Gartner, J.A.; Gray, F.M.; Auer, T. Assessment of the impact of HVAC system configuration and control zoning on thermal comfort and energy efficiency in flexible office spaces. Energy Build. 2020, 212, 109785. [Google Scholar] [CrossRef]
 - Ming, R.; Yu, W.; Zhao, X.; Liu, Y.; Li, B.; Essah, E.; Yao, R. Assessing energy saving potentials of office buildings based on adaptive thermal comfort using a tracking-based method. Energy Build. 2020, 208, 109611. [Google Scholar] [CrossRef]
 - Garcia, D.S.; Bellido, C.R.; Rio, J.; Fargallo, A.P. Towards the quantification of energy demand and consumption through the adaptive comfort approach in mixed mode office buildings considering climate change. Energy Build. 2019, 187, 173–185. [Google Scholar] [CrossRef]
 - Wang, R.; Lu, S.; Feng, W. A three-stage optimization methodology for envelope design of passive house considering energy demand, thermal comfort and cost. Energy 2020, 192, 116723. [Google Scholar] [CrossRef]
 - U.S. Department of Energy. Energy Plus Version 8.7 Documentation (Input Output Reference); 2016; pp. 51–59.
 - U.S. Department of Energy. Energy Plus Version 8.7 Documentation (Engineering Reference); 2016; pp. 59–68.
 - Dalong, L.; Liu, Y.; Xujie, H.; Jiaping, L. Review of globe solar radiation model for building energy efficiency analysis. J. Civ. Environ. Eng. 2015, 37, 101–108. [Google Scholar]
 - Supit, K. A simple method to estimate global radiation. Sol. Energy 1998, 63, 147–160. [Google Scholar] [CrossRef]
 - Wei, C.W.; Tso, C.Y. Energy consumption, indoor thermal comfort and air quality in a commercial office with retrofitted heat, ventilation and air conditioning (HVAC) system. Energy Build. 2019, 201, 202–215. [Google Scholar]
 - Kleber, M.; Wagner, A. Investigation of indoor thermal comfort in warm-humid conditions at a German climate test facility. Build. Environ. 2018, 128, 216–224. [Google Scholar] [CrossRef]
 - Fanger, P.O. Analysis and Applications in Environmental Engineering; 1970; pp. 244–250. [Google Scholar]
 - Butera, F.M. Principles of thermal comfort. Renew. Sustain. Energy Rev. 1998, 2, 39–66. [Google Scholar] [CrossRef]
 - Jang, M.S.; Koh, C.D.; Moon, I.S. Review of thermal comfort design based on PMV/PPD in cabins of Korean maritime patrol vessels. Build. Environ. 2007, 42, 55–61. [Google Scholar] [CrossRef]
 - Wong, L.T.; Mui, K.W.; Hui, P.S. A multivariate-logistic model for acceptance of indoor environmental quality (IEQ) in offices. Build. Environ. 2008, 43, 1–6. [Google Scholar] [CrossRef]
 - China’s Academy of Building Research. Evaluation Standard for Indoor Thermal Environment in Civil Buildings; GB50785-2012; 2012; pp. 56–58. [Google Scholar]
 - China’s Academy of Building Research. Assessment Standard for Healthy Building; T/ASC 02-2016; 2016; pp. 79–82. [Google Scholar]
 - China’s Ministry of Housing and Urban-rural Development. Design Code for Heating Ventilation and Air Conditioning of Civil Buildings; GB50736-2012; 2012; pp. 6–8.
 - Lu, M.; Chao, B.; Zhou, X.; Li, M.; Zhang, J.; Ouyang, Q.; Zhu, Y. Can personal control influence human thermal comfort? A field study in residential buildings in China in winter. Energy Build. 2014, 72, 411–418. [Google Scholar] [CrossRef]
 - Gou, S.; Nik, V.M.; Scartezzini, J.; Zhao, Q.; Li, Z. Passive design optimization of new-built residential buildings in Shanghai for improving indoor thermal comfort while reducing building energy demand. Energy Build. 2018, 169, 484–506. [Google Scholar] [CrossRef]
 - Li, H.; Wang, S.; Cheung, H. Sensitivity analysis of design parameters and optimal design for zero/low energy buildings in subtropical regions. Appl. Energy 2018, 228, 1280–1291. [Google Scholar] [CrossRef]
 - Wen, L.; Hiyama, K.; Koganei, M. A method for creating maps of recommended window-to-wall ratios to assign appropriate default values in design performance modeling: A case study of a typical office building in Japan. Energy Build. 2017, 145, 304–317. [Google Scholar] [CrossRef]
 - Chen, S.; Levine, M.; Li, H.; Yowargana, P.; Xie, L. Measured air tightness performance of residential buildings in north China and its influence on district space heating energy use. Energy Build. 2012, 51, 157–164. [Google Scholar] [CrossRef]
 
















| Climate Zone | Sites | Meteorological Station | tmin·m (°C) | tmax·m (°C) | ||
|---|---|---|---|---|---|---|
| Latitude (°) | Longitude (°) | Elevation (m) | ||||
| SCZ | Changchun | 125.22 | 43.90 | 238 | −14.4 | 23.7 | 
| CZ | Beijing | 116.28 | 39.93 | 55 | −2.9 | 27.1 | 
| HSCW | Shanghai | 121.43 | 31.17 | 3 | 4.9 | 28.5 | 
| HSWW | Haikou | 110.25 | 20.00 | 64 | 18.6 | 29.1 | 
| MZ | Kunming | 102.65 | 25.00 | 1887 | 9.4 | 20.3 | 
| Design Parameters | Climate Zones/Cities | ||||
|---|---|---|---|---|---|
| SCZ | CZ | HSCW | HSWW | MZ | |
| Changchun | Beijing | Shanghai | Haikou | Kunming | |
| Orientation [—] | ● | ● | ○ | ○ | ○ | 
| Layer of EPS insulation [m] | ● | ● | ● | ● | ● | 
| U-value of fenestration [W/(m2 K)] | ● | ● | ● | ● | ● | 
| SHGC [—] | ○ | ○ | ○ | ● | ● | 
| WWR [—] | ● | ● | ○ | ○ | ○ | 
| Infiltration rate [h−1] | ● | ● | ● | ○ | ● | 
| Thermal Sensation | Cold | Cool | Slight Cool | Neutral | Slight Warm | Warm | Hot | 
|---|---|---|---|---|---|---|---|
| PMV | −3 | −2 | −1 | 0 | +1 | +2 | +3 | 
| Category | Assessment Criteria | |
|---|---|---|
| 1 | −0.5 ≤ PMV ≤ +0.5 | PPD ≤ 10% | 
| 2 | −1 ≤ PMV < −0.5/+0.5 < PMV ≤ +1 | 10% < PPD ≤ 25% | 
| 3 | PMV < −1/PMV > +1 | PPD > 25% | 
| Basic Information | SCZ | CZ | HSCW | HSWW | MZ | 
|---|---|---|---|---|---|
| Changchun | Beijing | Shanghai | Haikou | Kunming | |
| Plan area (m2) | 1628.6 | 1948.8 | 2012.2 | 1582.4 | 1687.2 | 
| Number of layers (—) | 6 | 6 | 6 | 6 | 6 | 
| Story height (m) | 3.5 | 3.5 | 3.6 | 3.6 | 3.5 | 
| Building height (m) | 22.2 | 22.2 | 22.8 | 22.8 | 22.4 | 
| Climate Zones | Exterior Wall | Exterior Fenestration | WWR [—] | ||
|---|---|---|---|---|---|
| K-Values [W/(m2 K)] | EPS-Thickness [m] | U-Values [W/(m2 K)] | SHGC [—] | ||
| SCZ | 0.48 | 0.065 | 1.46 | 0.570 | 0.35 | 
| CZ | 0.42 | 0.076 | 1.98 | 0.428 | 0.4 | 
| HSCW | 0.74 | 0.036 | 2.35 | 0.328 | 0.4 | 
| HSWW | 1.38 | 0.012 | 2.28 | 0.30 | 0.5 | 
| MZ | 1.24 | 0.015 | 2.40 | 0.332 | 0.6 | 
| Climate Zones | Thermal Interference | Design Temperature | Relative Humidity [%] | ||||
|---|---|---|---|---|---|---|---|
| People [W/m2] | Lighting [W/m2] | Electric Equipment [W/m2] | Air Changes [h−1] | Winter [°C] | Summer [°C] | ||
| SCZ | 11.3 | 9.0 | 8.2 | 0.45 | 16 (20.5) | 28 (25.6) | 40–60 | 
| CZ | 0.5 | ||||||
| HSCW | 0.5 | ||||||
| HSWW | 1 | ||||||
| MZ | 1 | ||||||
| Design Parameters | Climate Zones | Number | ||||
|---|---|---|---|---|---|---|
| SCZ | CZ | HSCW | HSWW | MZ | ||
| Orientation [—] | south, southeast, southwest, west, east | 25 | ||||
| Layer of EPS board [m] | 0.02, 0.04, 0.06, 0.08, 0.10, 0.12 | 0.01, 0.02, 0.04, 0.06, 0.08, 0.10, 0.12 | 32 | |||
| U-value of fenestration [W/(m2 K)] | 1.4, 1.6, 1.8, 2.0, 2.2, 2.4, 2.6, 2.8 | 1.8, 2.0, 2.2, 2.4, 2.6, 2.8, 3.0, 3.2, 3.4 | 2.0, 2.2, 2.4, 2.6, 2.8, 3.0, 3.2, 3.4, 3.6, 3.8, 4.0 | 47 | ||
| SHGC [—] | — | 0.3, 0.4, 0.5, 0.6, 0.7 | 20 | |||
| WWR [—] | 0.2, 0.3, 0.4, 0.5, 0.6, 0.7, 0.8 south and north separately | 70 | ||||
| Infiltration rate [h−1] | 0.1, 0.2, 0.4, 0.6, 0.8, 1.0, 1.2, 1.4, 1.6, 1.8 | 50 | ||||
| Design Parameters | Climate Zones | ||||
|---|---|---|---|---|---|
| SCZ | CZ | HSCW | HSWW | MZ | |
| Changchun | Beijing | Shanghai | Haikou | Kunming | |
| Orientation [—] | ○ South | ○ South | ○ South | ○ South | ○ South | 
| Layer of EPS board [m] | ● 0.115–0.13 | ● 0.1–0.13 | ● 0.08–0.12 | ○ 0.012 | ○ 0.02 | 
| U-value of fenestration [W/(m2 K)] | ○ 1.28 | ○ 1.28 | ● 1.78 | ● 3.0–3.60 | ● 3.20–3.60 | 
| SHGC [—] | ○ 0.570 | ○ 0.5 | ○ 0.39 | ● 0.28 | ● 0.30 | 
| WWR [—] | ● 0.2–0.32 | ● 0.2–0.42 | ○ 0.2–0.4 | ○ 0.2–0.6 | ○ 0.2–0.6 | 
| Infiltration rate [h−1] | ● 0.1 | ● 0.1 | ● 0.1 | ○ 1 | ○ 1 | 
© 2020 by the authors. Licensee MDPI, Basel, Switzerland. This article is an open access article distributed under the terms and conditions of the Creative Commons Attribution (CC BY) license (http://creativecommons.org/licenses/by/4.0/).
Share and Cite
Guo, Y.; Bart, D. Optimization of Design Parameters for Office Buildings with Climatic Adaptability Based on Energy Demand and Thermal Comfort. Sustainability 2020, 12, 3540. https://doi.org/10.3390/su12093540
Guo Y, Bart D. Optimization of Design Parameters for Office Buildings with Climatic Adaptability Based on Energy Demand and Thermal Comfort. Sustainability. 2020; 12(9):3540. https://doi.org/10.3390/su12093540
Chicago/Turabian StyleGuo, Yuang, and Dewancker Bart. 2020. "Optimization of Design Parameters for Office Buildings with Climatic Adaptability Based on Energy Demand and Thermal Comfort" Sustainability 12, no. 9: 3540. https://doi.org/10.3390/su12093540
APA StyleGuo, Y., & Bart, D. (2020). Optimization of Design Parameters for Office Buildings with Climatic Adaptability Based on Energy Demand and Thermal Comfort. Sustainability, 12(9), 3540. https://doi.org/10.3390/su12093540
        
