Temporal Scaling of Water Level Fluctuations in Shallow Lakes and Its Impacts on the Lake Eco-Environments
Abstract
1. Introduction
2. Materials and Methods
2.1. Site Description
2.2. Data Acquisition and Processing
2.3. Analytical Methods and System Dynamics Model
2.3.1. Model Equations
2.3.2. Lake Water Volume
2.3.3. Groundwater
2.3.4. Water Level–Area–Volume Relationship
3. Results
3.1. Analysis of Hydro-Climatic Changes
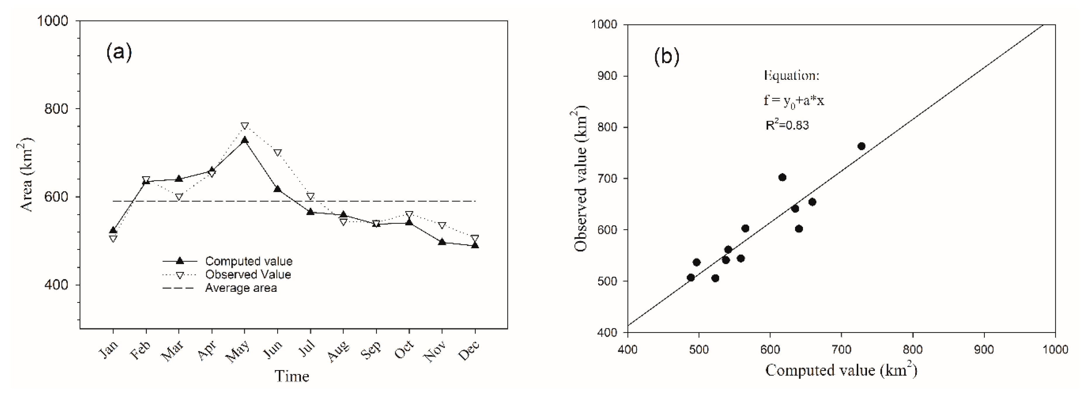
3.2. Model Calibration and Validation
4. Discussion
4.1. Sensitivity Analysis
4.2. Ecological Effects and Potential Risks of Lake Water Level Fluctuations
4.3. Evaluation of Effective Management Plan For Ebinur Lake
4.4. Implications
5. Conclusions
Author Contributions
Funding
Acknowledgments
Conflicts of Interest
References
- Gownaris, N.J.; Rountos, K.J.; Kaufman, L.; Kolding, J.; Lwiza, K.M.M.; Pikitch, E.K. Water level fluctuations and the ecosystem functioning of lakes. J. Great Lakes Res. 2018, 44, 1154–1163. [Google Scholar] [CrossRef]
- Kolding, J.; van Zwieten, P.A.M. Relative lake level fluctuations and their influence on productivity and resilience in tropical lakes and reservoirs. Fish. Res. 2012, 115–116, 99–109. [Google Scholar] [CrossRef]
- Usmanova, R.M. Aral Sea and sustainable development. Water Sci. Technol. 2003, 47, 41–47. [Google Scholar] [CrossRef]
- Stephens, D.W. Changes in lake levels, salinity and the biological community of Great Salt Lake (Utah, USA), 1847–1987. Hydrobiologia 1990, 197, 139–146. [Google Scholar] [CrossRef]
- Bourne, J.K.; Joel, K.; Ludwig, G. Eccentric Salton Sea. Natl. Geogr. Mag. 2005, 207, 88–107. [Google Scholar]
- Naselli-Flores, L.; Barone, R. Water-Level Fluctuations in Mediterranean Reservoirs: Setting a Dewatering Threshold as a Management Tool to Improve Water Quality. Hydrobiologia 2005, 548, 85–99. [Google Scholar] [CrossRef]
- McGowan, S.; Leavitt, P.R.; Hall, R.I. A whole-lake experiment to determine the effects of winter droughts on shallow lakes. Ecosystems 2005, 8, 694–708. [Google Scholar] [CrossRef]
- Liu, X.; Yang, Z.; Yuan, S.; Wang, H. A novel methodology for the assessment of water level requirements in shallow lakes. Ecol. Eng. 2017, 102, 31–38. [Google Scholar] [CrossRef]
- Midwood, J.D.; Chow-Fraser, P. Changes in aquatic vegetation and fish communities following 5 years of sustained low water levels in coastal marshes of eastern Georgian Bay, Lake Huron. Glob. Chang. Biol. 2012, 18, 93–105. [Google Scholar] [CrossRef]
- Paillisson, J.-M.; Marion, L. Water level fluctuations for managing excessive plant biomass in shallow lakes. Ecol. Eng. 2011, 37, 241–247. [Google Scholar] [CrossRef]
- Wantzen, K.M.; Rothhaupt, K.-O.; Mörtl, M.; Cantonati, M.; G.-Tóth, L.; Fischer, P. Ecological effects of water-level fluctuations in lakes: An urgent issue. Hydrobiologia 2008, 613, 1–4. [Google Scholar] [CrossRef]
- Zhang, G.; Xie, H.; Yao, T.; Kang, S. Water balance estimates of ten greatest lakes in China using ICESat and Landsat data. Chin. Sci. Bull. 2013, 58, 3815–3829. [Google Scholar] [CrossRef]
- Manzur, M.E.; Grimoldi, A.A.; Insausti, P.; Striker, G.G. Escape from water or remain quiescent? Lotus tenuis changes its strategy depending on depth of submergence. Ann. Bot. 2009, 104, 1163–1169. [Google Scholar] [CrossRef] [PubMed]
- Mahoney, J.M.; Rood, S.B. Streamflow requirements for cottonwood seedling recruitment—An integrative model. Wetlands 1998, 18, 634–645. [Google Scholar] [CrossRef]
- Merritt, D.M.; Scott, M.L.; Leroy, P.N.; Auble, G.T.; Lytle, D.A. Theory, methods and tools for determining environmental flows for riparian vegetation: Riparian vegetation-flow response guilds. Freshw. Biol. 2010, 55, 206–225. [Google Scholar] [CrossRef]
- Yu, L.; Yu, D. Differential responses of the floating-leaved aquatic plant Nymphoides peltata to gradual versus rapid increases in water levels. Aquat. Bot. 2011, 94, 71–76. [Google Scholar] [CrossRef]
- Shiri, J.; Shamshirband, S.; Kisi, O.; Karimi, S.; Bateni, S.M.; Hosseini Nezhad, S.H.; Hashemi, A. Prediction of Water-Level in the Urmia Lake Using the Extreme Learning Machine Approach. Water Resour. Manag. 2016, 30, 5217–5229. [Google Scholar] [CrossRef]
- Morrill, C.; Small, E.E.; Sloan, L.C. Modeling orbital forcing of lake level change: Lake Gosiute (Eocene), North America. Glob. Planet. Chang. 2001, 29, 57–76. [Google Scholar] [CrossRef]
- Bracht-Flyr, B.; Istanbulluoglu, E.; Fritz, S. A hydro-climatological lake classification model and its evaluation using global data. J. Hydrol. 2013, 486, 376–383. [Google Scholar] [CrossRef]
- Soja, G.; Züger, J.; Knoflacher, M.; Kinner, P.; Soja, A.-M. Climate impacts on water balance of a shallow steppe lake in Eastern Austria (Lake Neusiedl). J. Hydrol. 2013, 480, 115–124. [Google Scholar] [CrossRef]
- Torabi Haghighi, A.; Kløve, B. A sensitivity analysis of lake water level response to changes in climate and river regimes. Limnologica 2015, 51, 118–130. [Google Scholar] [CrossRef]
- Cao, T.; Yi, Y.; Liu, H.; Yang, Z. Integrated ecosystem services-based calculation of ecological water demand for a macrophyte-dominated shallow lake. Glob. Ecol. Conserv. 2020, 21, e00858. [Google Scholar] [CrossRef]
- Forrester, J.W. Industrial Dynamics; MIT Press: Cambridge, MA, USA, 1961. [Google Scholar]
- Ahmad, S.; Prashar, D. Evaluating municipal water conservation policies using a dynamic simulation model. Water Resour. Manag. 2010, 24, 3371–3395. [Google Scholar] [CrossRef]
- Qaiser, K.; Ahmad, S.; Johnson, W.; Batista, J.R. Evaluating water conservation and reuse policies using a dynamic water balance model. Environ. Manag. 2013, 51, 449–458. [Google Scholar] [CrossRef]
- Rusuli, Y.; Li, L.; Ahmad, S.; Zhao, X. Dynamics model to simulate water and salt balance of Bosten Lake in Xinjiang, China. Environ. Earth Sci. 2015, 74, 2499–2510. [Google Scholar] [CrossRef]
- Choubin, B.; Khalighi-Sigaroodi, S.; Malekian, A.; Ahmad, S.; Attarod, P. Drought forecasting in a semi-arid watershed using climate signals: A neuro-fuzzy modeling approach. J. Mt. Sci. 2014, 11, 1593–1605. [Google Scholar] [CrossRef]
- Kalra, A.; Ahmad, S.; Nayak, A. Increasing streamflow forecast lead time for snowmelt-driven catchment based on large-scale climate patterns. Adv. Water Resour. 2013, 53, 150–162. [Google Scholar] [CrossRef]
- Dawadi, S.; Ahmad, S. Evaluating the impact of demand-side management on water resources under changing climatic conditions and increasing population. J. Environ. Manag. 2013, 114, 261–275. [Google Scholar] [CrossRef]
- Butler, C.; Adamowski, J. Empowering marginalized communities in water resources management: Addressing inequitable practices in Participatory Model Building. J. Environ. Manag. 2015, 153, 153–162. [Google Scholar] [CrossRef]
- Yaeger, M.A.; Housh, M.; Cai, X.; Sivapalan, M. An integrated modeling framework for exploring flow regime and water quality changes with increasing biofuel crop production in the U.S. Corn Belt. Water Resour. Res. 2014, 50, 9385–9404. [Google Scholar] [CrossRef]
- Valipour, M. Future of agricultural water management in Africa. Arch. Agron. Soil Sci. 2015, 61, 907–927. [Google Scholar] [CrossRef]
- Abadi, L.S.K.; Shamsai, A.; Goharnejad, H. An analysis of the sustainability of basin water resources using Vensim model. KSCE J. Civ. Eng. 2015, 19, 1941–1949. [Google Scholar] [CrossRef]
- Alifujiang, Y.; Abuduwaili, J.; Ma, L.; Samat, A.; Groll, M. System Dynamics Modeling of Water Level Variations of Lake Issyk-Kul, Kyrgyzstan. Water 2017, 9, 989. [Google Scholar] [CrossRef]
- Wang, X.; Zhang, F.; Kung, H.; Ghulam, A.; Trumbo, A.L.; Yang, J.; Ren, Y.; Jing, Y. Evaluation and estimation of surface water quality in an arid region based on EEM-PARAFAC and 3D fluorescence spectral index: A case study of the Ebinur Lake Watershed, China. CATENA 2017, 155, 62–74. [Google Scholar] [CrossRef]
- Abuduwaili, J.; Gabchenko, M.V.; Junrong, X. Eolian transport of salts—A case study in the area of Lake Ebinur (Xinjiang, Northwest China). J. Arid Environ. 2008, 72, 1843–1852. [Google Scholar] [CrossRef]
- Li, Y.; Chu, X.; Jin, H. Study on changes of hydrological charactericteristies of Ebinur lake basin in Xinjiang. J. China Hydrol. 2006, 26, 68–71. [Google Scholar]
- Wu, J.; Lin, L. Characteristics and reasons of fluctuation of lake surface of the Aibi Lake, Xinjiang autonomous region. Mar. Geol. Quat. Geol. 2004, 24, 57–60. [Google Scholar]
- Ragni, M.; Steffenhagen, F.; Klein, A. Generalized dynamic stock and flow systems: An AI approach. Cogn. Syst. Res. 2011, 12, 309–320. [Google Scholar] [CrossRef]
- Lei, Y.; Yao, T.; Yang, K.; Bird, B.W.; Tian, L.; Zhang, X.; Wang, W.; Xiang, Y.; Dai, Y.; Lazhu; et al. An integrated investigation of lake storage and water level changes in the Paiku Co basin, central Himalayas. J. Hydrol. 2018, 562, 599–608. [Google Scholar] [CrossRef]
- Kummu, M.; Tes, S.; Yin, S.; Adamson, P.; Józsa, J.; Koponen, J.; Richey, J.; Sarkkula, J. Water balance analysis for the Tonle Sap Lake-floodplain system. Hydrol. Process. 2014, 28, 1722–1733. [Google Scholar] [CrossRef]
- Jia, C.G.; Wang, X.F.; Yang, L.; Wang, H.W. A Preliminary Study on the Influence of Water-level Change of the Ebinur Lake on Eco-efficiency in the Lake Area. J. Xinjiang Norm. Univ. Nat. Sci. Ed. 2005, 24, 141–144. [Google Scholar]
- Bai, X. Study on the wetland ecological vulnerability and its driving system in Ebinur lake in XinJiang. East China Norm. Univ. Shanghai China 2010, 38–46. [Google Scholar]
- Zhu, X.; Huang, P. Ecological Environment Deterioration of Aibi Lakeside and Its Countermeasures. Environ. Prot. Xinjiang 2004, 26, 36–38. [Google Scholar]
- Zhang, Z.; Abuduwaili, J.; Jiang, F. Sources, pollution statue and potential ecological risk of heavy metals in surface sediments of aibi lake, northwest china. Environ. Sci. 2015, 36, 490–496. [Google Scholar]
- Evtimova, V.V.; Donohue, I. Water-level fluctuations regulate the structure and functioning of natural lakes. Freshw. Biol. 2016, 61, 251–264. [Google Scholar] [CrossRef]
- Abuduwaili, J.; Xu, J.R.; Mu, G.J. Effect of soil dust from Ebinur Lake on soil salts and landscape of surrounding regions. J. Glaciol. Geocryol. 2007, 29, 928–939. [Google Scholar] [CrossRef]
- Liu, D.; Abuduwaili, J.; Lei, J.; Wu, G.; Gui, D. Wind erosion of saline playa sediments and its ecological effects in Ebinur Lake, Xinjiang, China. Environ. Earth Sci. 2011, 63, 241–250. [Google Scholar] [CrossRef]
- Abuduwaili, J.; Liu, D.; Wu, G. Saline dust storms and their ecological impacts in arid regions. J. Arid Land 2010, 2, 144–150. [Google Scholar] [CrossRef]
- Gafny, S.; Gasith, A. Spatially and temporally sporadic appearance of macrophytes in the littoral zone of Lake Kinneret, Israel: Taking advantage of a window of opportunity. Aquat. Bot. 1999, 62, 249–267. [Google Scholar] [CrossRef]
- Hill, N.M.; Keddy, P.A.; Wisheu, I.C. A Hydrological Model for Predicting the Effects of Dams on the Shoreline Vegetation of Lakes and Reservoirs. Environ. Manag. 1998, 22, 723–736. [Google Scholar] [CrossRef]
- Janssen, A.B.G.; Teurlincx, S.; An, S.; Janse, J.H.; Paerl, H.W.; Mooij, W.M. Alternative stable states in large shallow lakes? J. Great Lakes Res. 2014, 40, 813–826. [Google Scholar] [CrossRef]
- Zhang, F.; Kung, H.; Johnson, V. Assessment of Land-Cover/Land-Use Change and Landscape Patterns in the Two National Nature Reserves of Ebinur Lake Watershed, Xinjiang, China. Sustainability 2017, 9, 724. [Google Scholar] [CrossRef]
- Yusupjan, A.; Alimujiang, K.; Abdusalam, R. Information extraction and dynamic area change in Ebinur Lake Wetland based on RS and GIS. Water Resour. Prot. 2014, 30, 57–61. [Google Scholar]
- Zhao, X.; Chu, X.; Ma, X.; Mo, F. Ebinur Lake Wetland vegetation coverage in response to a micro-climate change. Pratacult. Sci. 2017, 36, 1168–1177. [Google Scholar]
- Hao, S.; Li, F.; Li, Y.; Gu, C.; Zhang, Q.; Qiao, Y.; Jiao, L.; Zhu, N. Stable isotope evidence for identifying the recharge mechanisms of precipitation, surface water, and groundwater in the Ebinur Lake basin. Sci. Total Environ. 2019, 657, 1041–1050. [Google Scholar] [CrossRef] [PubMed]
- Strang, I.; Dienst, M. Effects of water level at Lake Constance on the Deschampsietum rhenanae from 1989 to 2003. Limnologica 2004, 34, 22–28. [Google Scholar] [CrossRef][Green Version]
- Wilcox, D.A.; Nichols, S.J. The effects of water-level fluctuations on vegetation in a Lake Huron wetland. Wetlands 2008, 28, 487–501. [Google Scholar] [CrossRef]
- Wilcox, D.A.; Xie, Y. Predicting wetland plant community responses to proposed water-level-regulation plans for Lake Ontario: Gis-based modeling. J. Great Lakes Res. 2007, 33, 751–773. [Google Scholar] [CrossRef]
- Zohary, T.; Ostrovsky, I. Ecological impacts of excessive water level fluctuations in stratified freshwater lakes. Inland Waters 2011, 1, 47–59. [Google Scholar] [CrossRef]
- Deegan, B.M.; White, S.D.; Ganf, G.G. Nutrients and water level fluctuations: A study of three aquatic plants. River Res. Appl. 2012, 28, 359–368. [Google Scholar] [CrossRef]
- Yin, X.A.; Yang, Z.F. A method to assess the alteration of water-level-fluctuation patterns in lakes. Procedia Environ. Sci. 2012, 13, 2427–2436. [Google Scholar] [CrossRef]
- Ostendorp, W.; Dienst, M.; Schmieder, K. Disturbance and rehabilitation of lakeside Phragmites reeds following an extreme flood in Lake Constance (Germany). Hydrobiologia 2003, 506–509, 687–695. [Google Scholar] [CrossRef]
- Wang, W.; Yin, C. The boundary filtration effect of reed-dominated ecotones under water level fluctuations. Wetl. Ecol. Manag. 2008, 16, 65–76. [Google Scholar] [CrossRef]
- Schmieder, K.; Dienst, M.; Ostendorp, W. Effects of the extreme flood in 1999 on the spatial dynamics and stand structure of the reed belts in Lake Constance. Limnologica 2002, 32, 131–146. [Google Scholar] [CrossRef]
- Palmer, M.A. Beyond infrastructure. Nature 2010, 467, 534–535. [Google Scholar] [CrossRef] [PubMed]
- Jiang, H.; Wen, Y.; Zou, L.; Wang, Z.; He, C.; Zou, C. The effects of a wetland restoration project on the Siberian crane (Grus leucogeranus) population and stopover habitat in Momoge National Nature Reserve, China. Ecol. Eng. 2016, 96, 170–177. [Google Scholar] [CrossRef]
- Leira, M.; Cantonati, M. Effects of water-level fluctuations on lakes: An annotated bibliography. Hydrobiologia 2008, 613, 171–184. [Google Scholar] [CrossRef]
- Zhang, X.; Liu, X.; Wang, H. Developing water level regulation strategies for macrophytes restoration of a large river-disconnected lake, China. Ecol. Eng. 2014, 68, 25–31. [Google Scholar] [CrossRef]
- Ge, Y.; Abuduwaili, J.; Ma, L.; Wu, N.; Liu, D. Potential transport pathways of dust emanating from the playa of Ebinur Lake, Xinjiang, in arid northwest China. Atmos. Res. 2016, 178–179, 196–206. [Google Scholar] [CrossRef]








© 2020 by the authors. Licensee MDPI, Basel, Switzerland. This article is an open access article distributed under the terms and conditions of the Creative Commons Attribution (CC BY) license (http://creativecommons.org/licenses/by/4.0/).
Share and Cite
Maihemuti, B.; Aishan, T.; Simayi, Z.; Alifujiang, Y.; Yang, S. Temporal Scaling of Water Level Fluctuations in Shallow Lakes and Its Impacts on the Lake Eco-Environments. Sustainability 2020, 12, 3541. https://doi.org/10.3390/su12093541
Maihemuti B, Aishan T, Simayi Z, Alifujiang Y, Yang S. Temporal Scaling of Water Level Fluctuations in Shallow Lakes and Its Impacts on the Lake Eco-Environments. Sustainability. 2020; 12(9):3541. https://doi.org/10.3390/su12093541
Chicago/Turabian StyleMaihemuti, Balati, Tayierjiang Aishan, Zibibula Simayi, Yilinuer Alifujiang, and Shengtian Yang. 2020. "Temporal Scaling of Water Level Fluctuations in Shallow Lakes and Its Impacts on the Lake Eco-Environments" Sustainability 12, no. 9: 3541. https://doi.org/10.3390/su12093541
APA StyleMaihemuti, B., Aishan, T., Simayi, Z., Alifujiang, Y., & Yang, S. (2020). Temporal Scaling of Water Level Fluctuations in Shallow Lakes and Its Impacts on the Lake Eco-Environments. Sustainability, 12(9), 3541. https://doi.org/10.3390/su12093541

