Effect of Decarbonisation Policies and Climate Change on Environmental Impacts due to Heating and Cooling in a Single-Family House
Abstract
1. Introduction
Energy Demand and Sustainability for Space Conditioning in a Context of Energy Decarbonisation
2. Materials and Methods
2.1. Proposal for Future Scenarios of Electricity Production
2.2. Single-Family House
2.2.1. Building Geometry
2.2.2. Materials and Properties
2.2.3. Operational Conditions
2.3. Climate Data
2.4. Calculation of the Thermal Demand
2.5. Life Cycle Analysis
3. Results and Discussion
3.1. Effect of Decarbonisation Policies on the Impacts Associated with Electricity Production
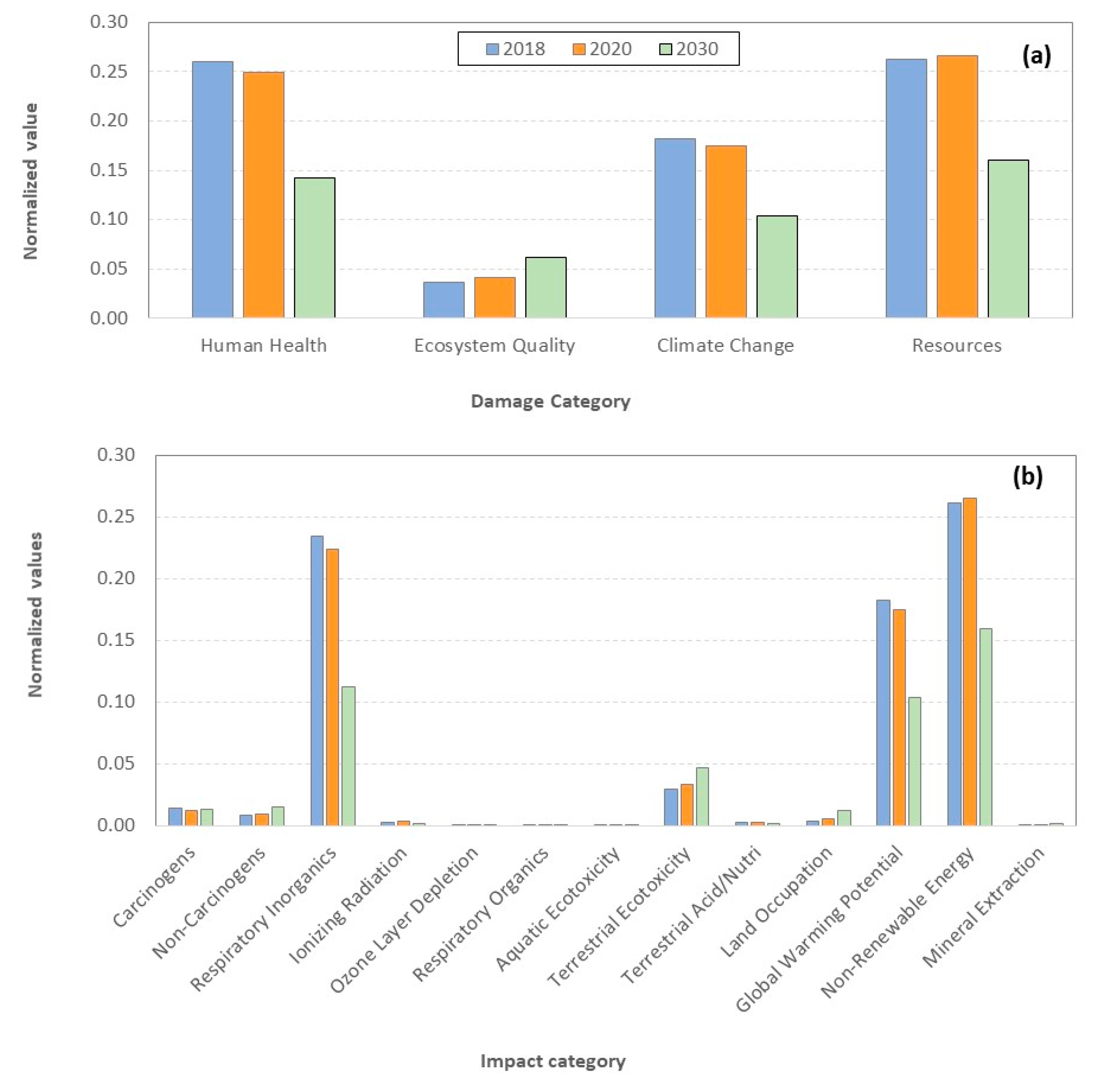
3.1.1. Human Health
3.1.2. Ecosystem Quality
3.1.3. Climate Change
3.1.4. Resources Consumption
3.2. Heating and Cooling Demands
3.3. Impacts Associated with the Operational Energy for Heating and Cooling
4. Conclusions
Supplementary Materials
Author Contributions
Funding
Acknowledgments
Conflicts of Interest
References
- United Nations. Framework Convention on Climate Change. Conference of the Parties. 2015. Available online: https://assets.documentcloud.org/documents/2646274/Updated-l09r01.pdf (accessed on 4 February 2020).
- European Union. Official Journal of the European Union, L 328. 21 December 2018. Available online: https://eur-lex.europa.eu/legal-content/EN/TXT/?uri=OJ:L:2018:328:TOC (accessed on 12 February 2020).
- Directive (EU) 2018/2002 of the European Parliament and of the Council of 11 December 2018 Amending Directive 2012/27/EU on Energy Efficiency. Official Journal of the European Union L328/210. 2018. Available online: https://eur-lex.europa.eu/legal-content/EN/TXT/?uri=uriserv%3AOJ.L_.2018.328.01.0210.01.ENG (accessed on 31 January 2020).
- Directive 2012/27/EU of the European Parliament and of the Council of 25 October 2012 on Energy Efficiency, Amending Directives 2009/125/EC and 2010/30/EU and Repealing Directives 2004/8/EC and 2006/32/EC. Official Journal of the European Union L315/1. 2012. Available online: https://eur-lex.europa.eu/legal-content/EN/TXT/PDF/?uri=CELEX:32012L0027&from=EN (accessed on 31 January 2020).
- Directive (EU) 2018/2001 of the European Parliament and of the Council of 11 December 2018 on the Promotion of the Use of Energy from Renewable Sources. Official Journal of the European Union 318/210. 2018. Available online: https://eur-lex.europa.eu/legal-content/EN/TXT/PDF/?uri=CELEX:32018L2001&from=EN (accessed on 3 February 2020).
- Regulation (EU) 2018/1999 of the European Parliament and of the Council of 11 December 2018 Governance of the Energy Union and Climate Action, Amending Regulations (EC) No 663/2009 and (EC) No 715/2009 of the European Parliament and of the Council, Directives 94/22/EC, 98/70/EC, 2009/31/EC, 2009/73/EC, 2010/31/EU, 2012/27/EU and 2013/30/EU of the European Parliament and of the Council, Council Directives 2009/119/EC and (EU) 2015/652 and repealing Regulation (EU) No 525/2013 of the European Parliament and of the Council. 2018. Available online: http://data.europa.eu/eli/reg/2018/1999/oj (accessed on 3 February 2020).
- Communication from the Commission to the European Parliament, the European Council, the Council, the European Economic and Social Committee, the Committee of the Regions and the European Investment Bank. A Clean Planet for All—A European Strategic Long-Term Vision for a Prosperous, Modern, Competitive and Climate Neutral Economy (COM (2018) 773 Final). 2018. Available online: https://eur-lex.europa.eu/legal-content/EN/ALL/?uri=CELEX%3A52018DC0773 (accessed on 4 February 2020).
- Spanish Ministry of Ecological Transition. National Integrated Energy and Climate Plan 2021–2030. 2019. Available online: https://www.miteco.gob.es/images/es/pnieccompleto_tcm30-508410.pdf (accessed on 3 March 2020). (In Spanish).
- Fortes, P.; Simoes, S.; Gouveia, J.P.; Seixas, J. Electricity, the silver bullet for the deep decarbonisation of the energy system? Cost-effectiveness analysis for Portugal. Appl. Energy 2019, 237, 292–303. [Google Scholar] [CrossRef]
- García-Gusano, D.; Garraín, D.; Dufour, J. Prospective life cycle assessment of the Spanish electricity production. Renew. Sustain. Energy Rev. 2017, 75, 21–34. [Google Scholar] [CrossRef]
- Atilgan, B.; Azapagic, A. Assessing the Environmental Sustainability of Electricity Generation in Turkey on a Life Cycle Basis. Energies 2016, 9, 31. [Google Scholar] [CrossRef]
- Ruhnau, O.; Bannik, S.; Otten, S.; Praktiknjo, A.; Robinius, M. Direct or indirect electrification? A review of heat generation and road transport decarbonisation scenarios for Germany 2050. Energy 2019, 166, 989–999. [Google Scholar] [CrossRef]
- Kato, E.; Kurosawa, A. Evaluation of Japanese energy system toward 2050 with TIMES-Japan – deep decarbonization pathways. Energy Procedia 2019, 158, 4141–4146. [Google Scholar] [CrossRef]
- Deetjen, T.A.; Conger, J.P.; Leibowicz, B.D.; Webber, M.E. Review of climate action plans in 29 major U.S. cities: Comparing current policies to research recommendations. Sustain. Cities Soc. 2018, 41, 711–727. [Google Scholar] [CrossRef]
- European Union. European Commission Directorate-General for Energy, Section Topics–Energy Efficiency–Buildings. 2017. Available online: https://ec.europa.eu/energy/en/topics/energy-efficiency/buildings (accessed on 15 February 2020).
- Directive 2002/91/EC of the European Parliament and of the Council of 16 December 2002 on the Energy Performance of Buildings. Official Journal of the European Communities L1. 2003. Available online: https://eur-lex.europa.eu/LexUriServ/LexUriServ.do?uri=OJ:L:2003:001:0065:0071:EN:PDF (accessed on 5 February 2020).
- Directive 2010/31/EU of the European Parliament and of the Council of 19 May 2010 on the Energy Performance of Buildings (Recast). Official Journal of the European Union L153/13. 2010. Available online: https://eur-lex.europa.eu/LexUriServ/LexUriServ.do?uri=OJ:L:2010:153:0013:0035:EN:PDF (accessed on 6 February 2020).
- Spanish Ministry of Housing. Spanish Technical Building Code. Basic Document on Energy Savings DB-HE. Royal Legislative Decree 314 of 17 March 2006. Available online: http://www.codigotecnico.org (accessed on 12 January 2020). (In Spanish).
- Spanish Ministry of Housing. Order VIV/984/2009, of 15 April, Amending Certain Basic Documents of the Spanish Technical Building Code Approved by the Royal Legislative Decree 314 of 17 March. Madrid. Spanish Ministry of Industry and Housing 2006 and the Royal Legislative Decree 1371 of 19 October 2007. 2009. Available online: http://www.codigotecnico.org (accessed on 12 January 2020). (In Spanish).
- Spanish Ministry of Infrastructure. Order FOM 1635 of 10 September 2013, for Which the Basic Document on Energy Savings DB-HE on the Spanish Technical Building Code is Updated. 2013. Available online: http://www.codigotecnico.org (accessed on 12 January 2020). (In Spanish).
- Spanish Ministry of Infrastructure. Order FOM 588 of 15 June 2017, Amending the Basic Document on Energy Savings DB-HE and the Basic Document on Healthy Conditions DB-HS “Salubridad” in the Spanish Technical Building Code Approved by Royal Legislative Decree 314 of 17 March 2006. 2017. Available online: http://www.codigotecnico.org (accessed on 12 January 2020). (In Spanish).
- EN 15978:2011. Sustainability of Construction Works—Assessment of Environmental Performance of Buildings—Calculation Method; European Committee for Standardization (CEN): Brussels, Belgium; Available online: https://standards.globalspec.com/std/1406797/EN%2015978 (accessed on 6 March 2020).
- EN 15804:2012 + A1:2013. Sustainability of Construction Works—Environmental Product Declarations—Core Rules for the Product Category of Construction Products; European Committee for Standardization (CEN): Brussels, Belgium; Available online: https://standards.cen.eu/dyn/www/f?p=204:110:0::::FSP_PROJECT,FSP_ORG_ID:40703,481830&cs=1B0F862919A7304F13AE6688330BBA2FF (accessed on 6 March 2020).
- Adalberth, K. Energy use during the life cycle of buildings: A method. Build. Environ. 1997, 32, 317–320. [Google Scholar] [CrossRef]
- Khasreen, M.M.; Banfill, P.; Menzies, G.F. Life-Cycle Assessment and the Environmental Impact of Buildings: A Review. Sustainability 2009, 1, 674–701. [Google Scholar] [CrossRef]
- Buyle, M.; Braet, J.; Audenaert, A. Life cycle assessment in the construction sector: A review. Renew. Sustain. Energy Rev. 2013, 26, 379–388. [Google Scholar] [CrossRef]
- Rashid, A.F.A.; Yusoff, S. A review of life cycle assessment method for building industry. Renew. Sustain. Energy Rev. 2015, 45, 244–248. [Google Scholar] [CrossRef]
- Vilches, A.; Garcia-Martinez, A.; Sanchez-Montañes, B. Life cycle assessment (LCA) of building refurbishment: A literature review. Energy Build. 2017, 135, 286–301. [Google Scholar] [CrossRef]
- Goedkoop, M.; Spriensma, R. The Eco-Indicator 99: A Damage Oriented Method for Life Cycle Impact Assessment. Methodology Annex, 3rd ed.; PRé; Consultants B.V.: Amersfoort, NL, USA, 2001; Available online: https://www.pre-sustainability.com/download/EI99_annexe_v3.pdf (accessed on 10 October 2019).
- Guinee, J.B.; Gorree, M.; Heijungs, R.; Huppes, G.; Koning, A.; Wegener-Sleeswijk, A.; Suh, S.; UdodeHaes, H.; Brujin, H.; Duin, R.; et al. Handbook on Life Cycle Assessment; Operational Guide to the ISO Standards: Dordrecht, Holland, 2002. [Google Scholar]
- Lewandowska, A.; Noskowiak, A.; Pajchrowski, G. Comparative life cycle assessment of passive and traditional residential buildings’ use with a special focus on energy-related aspects. Energy Build. 2013, 67, 635–646. [Google Scholar] [CrossRef]
- Szamosi, Z.; Bodnár, I.; Szepesi, G.L.; Rosas-Casals, M.; Berényi, L. Improved environmental impact in the architecture industry: LCA analysis of an alternative masonry element. Renew. Energy 2020, 147, 1718–1727. [Google Scholar] [CrossRef]
- Bribian, I.Z.; Uson, J.A.A.; Scarpellini, S. Life cycle assessment in buildings: State-of-the-art and simplified LCA methodology as a complement for building certification. Build. Environ. 2009, 44, 2510–2520. [Google Scholar] [CrossRef]
- ISO. ISO 14040, Environmental Management—Life Cycle Assessment—Principles and Framework; ISO: Geneva, Switzerland, 2006. [Google Scholar]
- ISO. ISO 14044, Environmental Management—Life Cycle Assessment—Requirements and Guidelines; ISO: Geneva, Switzerland, 2006. [Google Scholar]
- Zhang, Y.; Yan, D.; Hu, S.; Guo, S. Modelling of energy consumption and carbon emission from the building construction sector in China, a process-based LCA approach. Energy Policy 2019, 134, 110949. [Google Scholar] [CrossRef]
- Buyle, M.; Braet, J.; Audenaert, A. Life Cycle Assessment of an Apartment Building: Comparison of an Attributional and Consequential Approach. Energy Procedia 2014, 62, 132–140. [Google Scholar] [CrossRef]
- Schlegl, F.; Gantner, J.; Traunspurger, R.; Albrecht, S.; Leistner, P. LCA of buildings in Germany: Proposal for a future benchmark based on existing databases. Energy Build. 2019, 194, 342–350. [Google Scholar] [CrossRef]
- Gercek, M.; Arsan, Z.D. Energy and environmental performance based decision support process for early design stages of residential buildings under climate change. Sustain. Cities Soc. 2019, 48, 101580. [Google Scholar] [CrossRef]
- Andric, I.; Gomes, N.; Pina, A.; Ferrao, P.; Fournier, J.; Lacarrière, B.; Le Corre, O. Modeling the long-term effect of climate change on building heat demand: Case study on a district level. Energy Build. 2016, 126, 77–93. [Google Scholar] [CrossRef]
- Andric, I.; Silva, C.S.; Pina, A.; Ferrão, P.; Fournier, J.; Lacarrière, B.; Le Corre, B. The impact of climate change and building renovation on heating related CO2 emissions on a neighborhood level. In Proceedings of the International Conference CISBAT 2015 Future Buildings and Districts Sustainability from Nano to Urban Scale, Lausanne, Switzerland, 9–11 September 2015; pp. 621–626. Available online: https://doi.org/10.5075/epfl-cisbat2015-621-626 (accessed on 10 February 2020).
- Palacios-Munoz, B.; Peuportier, B.; Gracia, L.; López-Mesa, B. Sustainability assessment of refurbishment vs. new constructions by means of LCA and durability-based estimations of buildings lifespans: A new approach. Build. Environ. 2019, 160, 106–203. [Google Scholar] [CrossRef]
- Meteonorm Handbook, Parts I, II and III; Meteotest: Bern, Switzerland, 2016; Available online: http://www.meteotest.ch (accessed on 10 July 2019).
- Spanish Grid Operator. 2019. Available online: https://www.ree.es/es/estadisticas-del-sistema-electrico-espanol/series-estadisticas/series-estadisticas-nacionales (accessed on 18 May 2019).
- International Energy Agency. The IEA’s Monthly Electricity Statistics. 2019. Available online: https://www.iea.org/statistics/monthly/#electricity (accessed on 18 May 2019).
- Berndgen-Kaiser, A.; Fox-Kämper, R.; Wiechert, M. Post-war Single-Family Houses in Europe under Pressure? A Demographic and Economic Framework for the Future Market of Elder Single-Family Housing Neighbourhoods. J. Urban Res. 2016. Available online: http://journals.openedition.org/articulo/3021 (accessed on 6 March 2020).
- González Prieto, D.; Prieto González, M.M. Impact of socio-economic aspects on the typologies of industrialized housing: Use of lightweight concrete in Asturias. In Proceedings of the 9th European Conference on Energy Efficiency and Sustainability in Architecture and Planning/2nd International Congress on Advanced Construction, Bilbao, Spain, 10–12 September 2018; Available online: https://www.uik.eus/es/9o-congreso-europeo-sobre-eficiencia-energetica-y-sostenibilidad-en-arquitectura-y-urbanismo-eesap-9 (accessed on 4 February 2020).
- Perez, R.; Ineichen, P.; Maxwell, E.; Seals, R.; Zelenka, A. Dynamic models for hourly global-to-direct irradiance conversion. In Proceedings of the Solar World Congress Biennial Congress of the International Solar Energy Society, Denver, CO, USA, 19–23 August 1991; Volume 1. Part II. [Google Scholar]
- PHPP Passive House Planning Package; Version 9; Passive House Institute: Darmstadt, Germany, 2015.
- CYPECAD MEP; Version 2019; CYPE Ingenieros, S.A.: Alicante, Spain, 2019.
- ISO. ISO 52016-1. Energy Performance of Buildings—Energy Needs for Heating and Cooling, Internal Temperatures and Sensible and Latent Heat Loads—Part 1: Calculation Procedures; ISO: Geneva, Switzerland, 2017. [Google Scholar]
- CYPETHERM HE PLUS; Version 2019; CYPE Ingenieros, S.A.: Alicante, Spain, 2019.
- Jolliet, O.; Margni, M.; Charles, R.; Humbert, S.; Payet, J.; Rebitzer, G.; Rosenbaum, R. IMPACT 2002+: A New Life Cycle Impact Assessment Methodology; Swiss Federal Institute of Technology Lausanne (EPFL): Lausanne, Switzerland, 2003. [Google Scholar]
- Pennington, D.W.; Margni, M.; Ammann, C.; Jolliet, O. Multimedia Fate and Human Intake Modeling: Spatial versus Nonspatial Insights for Chemical Emissions in Western Europe. Environ. Sci. Technol. 2005, 39, 1119–1128. [Google Scholar] [CrossRef] [PubMed]
- International Renewable Energy Agency (IRENA). Renewable Energy Prospects for the European Union; European Commission: Brussels, Belgium, 2018. [Google Scholar]
- Lechón, Y.; De La Rua, C.; Cabal, H. Impacts of Decarbonisation on the Water-Energy-Land (WEL) Nexus: A Case Study of the Spanish Electricity Sector. Energies 2018, 11, 1203. [Google Scholar] [CrossRef]
- Directive 2009/28/EC of the European Parliament and of the Council of 23 April 2009 on the Promotion of the Use of Energy from Renewable Sources and Amending and Subsequently Repealing Directives 2001/77/EC and 2003/30/EC. Official Journal of the European Union 140/16. 2009. Available online: https://eur-lex.europa.eu/legal-content/EN/TXT/PDF/?uri=CELEX:32009L0028 (accessed on 7 February 2020).
- Directive 2009/29/EC amending Directive 2003/87/EC so as to Improve and Extend the Greenhouse Gas Emission Allowance Trading Scheme of the Community. Official Journal of the European Union L 140/63. 2009. Available online: https://eur-lex.europa.eu/legal-content/EN/TXT/?uri=celex%3A32009L0029 (accessed on 7 February 2020).
- Directive 2001/81/EC on National Emission Ceilings for Certain Atmospheric Pollutants. Official Journal of the European Union L 309. 2001. Available online: https://eur-lex.europa.eu/LexUriServ/LexUriServ.do?uri=OJ:L:2001:309:0022:0030:EN:PDF (accessed on 17 February 2020).
- Karimpour, M.; Belusko, M.; Xing, K.; Bruno, F. Minimising the life cycle energy of buildings: Review and analysis. Build. Environ. 2014, 73, 106–114. [Google Scholar] [CrossRef]
- Suarez, R.; Escandón, R.; López-Pérez, R.; Leon-Rodriguez, A.L.; Klein, T.; Silvester, S. Impact of Climate Change: Environmental Assessment of Passive Solutions in a Single-Family Home in Southern Spain. Sustainability 2018, 10, 2914. [Google Scholar] [CrossRef]











| 2018 | % | 2020 | % | 2030 | % | |||
|---|---|---|---|---|---|---|---|---|
| Renewables | Hydro | Hydropower | 34,106 | 33 | 28,288 | 23 | 28,351 | 10 |
| Pumped-storage | 2009 | 2 | 4594 | 4 | 11,960 | 4 | ||
| Wind | Hydro-wind | 24 | 0 | 0 | 0 | 0 | 0 | |
| Wind | 49,570 | 48 | 60,670 | 50 | 119,520 | 44 | ||
| Solar | Solar photovoltaic | 7759 | 8 | 16,304 | 13 | 70,491 | 26 | |
| Solar thermal | 4424 | 4 | 5608 | 5 | 23,170 | 9 | ||
| Others | Others renewables (1) | 0 | 0 | 0 | 0 | 301 | 0 | |
| Renewable waste (2) | 4431 | 4 | 6823 | 6 | 17,596 | 6 | ||
| Total Renewables | 102,324 | 100 | 122,287 | 100 | 271,389 | 100 | ||
| Non-Renewables | Nuclear | Nuclear | 53,198 | 34 | 58,039 | 37 | 24,952 | 32 |
| Coal | Coal | 37,274 | 23 | 33,160 | 21 | 0 | 0 | |
| Oil | Oil + Gas | 6683 | 4 | 10,141 | 7 | 5071 | 7 | |
| Natural gas | Combined cycle | 30,044 | 19 | 29,291 | 19 | 32,725 | 42 | |
| Cogeneration (3) | 29,016 | 18 | 24,845 | 16 | 15,179 | 19 | ||
| Others | Non-renewable waste | 2435 | 2 | 0 | 0 | 0 | 0 | |
| Total Non-Renewables | 158,650 | 100 | 155,476 | 100 | 77,927 | 100 | ||
| Total Renewables + Non-Renewables | 260,974 | 277,763 | 349,316 | |||||
| Building Element | Material | Thickness | Conductivity |
|---|---|---|---|
| (m) | (W/m K) | ||
| External wall (with internal lining) | Plaster | 0.013 | 0.250 |
| Mineral wool | 0.047 | 0.035 | |
| Lightweight concrete | 0.140 | 0.680 | |
| XPS | 0.140 | 0.034 | |
| Coat of cement | 0.018 | 0.459 | |
| Total | 0.358 | ||
| Floor slab | Wood | 0.020 | 0.130 |
| Conductive cement mortar | 0.040 | 2.000 | |
| XPS with acoustic protection | 0.040 | 0.034 | |
| Lightweight concrete | 0.140 | 0.680 | |
| XPS | 0.140 | 0.034 | |
| Cement mortar | 0.050 | 1.050 | |
| Concrete slab | 0.200 | 2.100 | |
| Total | 0.630 | ||
| Roof | Lightweight concrete | 0.140 | 0.680 |
| XPS | 0.200 | 0.034 | |
| Oriented strand board (OSB) | 0.024 | 0.120 | |
| Air layer | 0.060 | 0.180 | |
| Slate | 0.018 | 2.200 | |
| Total | 0.442 | ||
| Horizontal partition | Plaster | 0.013 | 0.250 |
| Mineral wool | 0.040 | 0.035 | |
| Total | 0.053 | ||
| Vertical partition | Gypsum plaster | 0.015 | 0.540 |
| Lightweight concrete | 0.080 | 0.680 | |
| Expanded polystyrene | 0.080 | 0.035 | |
| Total | 0.175 | ||
| External wall (without internal lining) | Lightweight concrete | 0.140 | 0.680 |
| XPS | 0.140 | 0.034 | |
| Coat of cement | 0.018 | 0.459 | |
| Total | 0.298 |
| Schedule | 1 h–7 h | 8 h | 9 h–15 h | 16 h–18 h | 19 h | 20 h–23 h | 24 h |
|---|---|---|---|---|---|---|---|
| Persons (W/m2) | |||||||
| - Working day (sensible) | 2.15 | 0.54 | 0.54 | 1.08 | 1.08 | 1.08 | 2.15 |
| - Working day (latent) | 1.36 | 0.34 | 0.34 | 0.68 | 0.68 | 0.68 | 1.36 |
| - Holiday (sensible) | 2.15 | 2.15 | 2.15 | 2.15 | 2.15 | 2.15 | 2.15 |
| - Holiday (latent) | 1.36 | 1.36 | 1.36 | 1.36 | 1.36 | 1.36 | 1.36 |
| Lighting (W/m2) | 2.2 | 1.32 | 1.32 | 1.32 | 2.2 | 4.4 | 4.4 |
| Other equipment (W/m2) | 2.2 | 1.32 | 1.32 | 1.32 | 2.2 | 4.4 | 4.4 |
| Heating set point (°C) | 17 | 20 | 20 | 20 | 20 | 20 | 17 |
| Cooling set point (°C) | 27 | 25 | 25 | 25 | 25 | 25 | 27 |
| Ventilation + infiltration | |||||||
| rate (/h) (1) | |||||||
| - Winter | 1.468 | 1.468 | 1.468 | 1.468 | 1.468 | 1.468 | 1.468 |
| - Summer | 4 | 4 | 1.468 | 1.468 | 1.468 | 1.468 | 1.468 |
| Energy Sources | 2020 | 2030 | ||
|---|---|---|---|---|
| NIECP | BaU 1 | NIECP | BaU 1 | |
| Hydro | 11.8 | 13.4 | 11.5 | 11.8 |
| Wind | 21.8 | 16.0 | 34.2 | 32.4 |
| Solar PV | 5.9 | 2.6 | 20.2 | 2.1 |
| Solar Thermal | 2.0 | 1.5 | 6.6 | 8.8 |
| Other Renewables | 2.5 | 2.1 | 5.0 | 3.6 |
| Nuclear | 20.9 | 24.9 | 7.1 | 0.0 |
| Coal | 11.9 | 0.0 | 0.0 | 0.0 |
| Oil + Gas | 3.7 | 8.5 | 1.5 | 5.1 |
| Natural Gas (power and heat and power) | 19.5 | 30.9 | 13.7 | 36.2 |
| Damage Categories (Endpoint Categories) | ||||
| Categories | Unit | 2018 | 2020 | 2030 |
| Human Health | DALY | 8.65 × 10+04 | 8.28 × 10+04 | 4.73 × 10+04 |
| Ecosystem Quality | PDF·m2·year | 2.31 × 10+10 | 2.65 × 10+10 | 3.92 × 10+10 |
| Climate Change | kg CO2 eq | 8.46 × 10+10 | 8.11 × 10+10 | 4.81 × 10+10 |
| Resources | MJ primary | 1.87 × 10+12 | 1.90 × 10+12 | 1.14 × 10+12 |
| Impact Categories (Midpoint Categories) | ||||
| Categories | Unit | 2018 | 2020 | 2030 |
| Carcinogens | kg C2H3Cl eq | 1.63 × 10+09 | 1.48 × 10+09 | 1.60 × 10+09 |
| Non-Carcinogens | kg C2H3Cl eq | 1.03 × 10+09 | 1.13 × 10+09 | 1.73 × 10+09 |
| Respiratory Inorganics | kg PM2.5 eq | 1.12 × 10+08 | 1.06 × 10+08 | 0.53 × 10+08 |
| Ionising Radiation | Bq C-14 eq | 4.58 × 10+12 | 5.02 × 10+12 | 2.49 × 10+12 |
| Ozone Layer Depletion | kg CFC-11 eq | 1.36 × 10+04 | 1.46 × 10+04 | 1.22 × 10+04 |
| Respiratory Organics | kg C2H4 eq | 1.37 × 10+07 | 1.23 × 10+07 | 1.53 × 10+07 |
| Aquatic Ecotoxicity | kg TEG water | 7.70 × 10+12 | 8.56 × 10+12 | 10.8 × 10+12 |
| Terrestrial Ecotoxicity | kg TEG soil | 2.36 × 10+12 | 2.67 × 10+12 | 3.81 × 10+12 |
| Terrestrial Acid/Nutri | kg SO2 eq | 1.67 × 10+09 | 1.67 × 10+09 | 0.94 × 10+09 |
| Land Occupation | m2org.arable | 2.09 × 10+09 | 2.89 × 10+09 | 6.93 × 10+09 |
| Aquatic Acidification | kg SO2 eq | 5.78 × 10+08 | 5.60 × 10+08 | 2.62 × 10+08 |
| Aquatic Eutrophication | kg PO4 P-lim | 1.73 × 10+07 | 1.78 × 10+07 | 1.78 × 10+07 |
| Global Warming Potential | kg CO2 eq | 8.46 × 10+10 | 8.11 × 10+10 | 4.81 × 10+10 |
| Non-Renewable Energy | MJ primary | 1.87 × 10+12 | 1.89 × 10+12 | 1.14 × 10+12 |
| Mineral Extraction | MJ surplus | 4.50 × 10+09 | 4.90 × 10+09 | 7.14 × 10+09 |
© 2020 by the authors. Licensee MDPI, Basel, Switzerland. This article is an open access article distributed under the terms and conditions of the Creative Commons Attribution (CC BY) license (http://creativecommons.org/licenses/by/4.0/).
Share and Cite
González-Prieto, D.; Fernández-Nava, Y.; Marañón, E.; Prieto, M.M. Effect of Decarbonisation Policies and Climate Change on Environmental Impacts due to Heating and Cooling in a Single-Family House. Sustainability 2020, 12, 3529. https://doi.org/10.3390/su12093529
González-Prieto D, Fernández-Nava Y, Marañón E, Prieto MM. Effect of Decarbonisation Policies and Climate Change on Environmental Impacts due to Heating and Cooling in a Single-Family House. Sustainability. 2020; 12(9):3529. https://doi.org/10.3390/su12093529
Chicago/Turabian StyleGonzález-Prieto, Daniel, Yolanda Fernández-Nava, Elena Marañón, and Maria Manuela Prieto. 2020. "Effect of Decarbonisation Policies and Climate Change on Environmental Impacts due to Heating and Cooling in a Single-Family House" Sustainability 12, no. 9: 3529. https://doi.org/10.3390/su12093529
APA StyleGonzález-Prieto, D., Fernández-Nava, Y., Marañón, E., & Prieto, M. M. (2020). Effect of Decarbonisation Policies and Climate Change on Environmental Impacts due to Heating and Cooling in a Single-Family House. Sustainability, 12(9), 3529. https://doi.org/10.3390/su12093529
