Spatiotemporal Variations of Drought and Their Teleconnections with Large-Scale Climate Indices over the Poyang Lake Basin, China
Abstract
1. Introduction
2. Materials and Methods
2.1. Study Area
2.2. Data
2.3. Methods
2.3.1. Standardized Precipitation Evapotranspiration Index (SPEI)
2.3.2. Modified Mann–Kendall Trend Test and Sen’s Slope
2.3.3. Ensemble Empirical Mode Decomposition
2.3.4. Cross-Wavelet Transform
3. Results
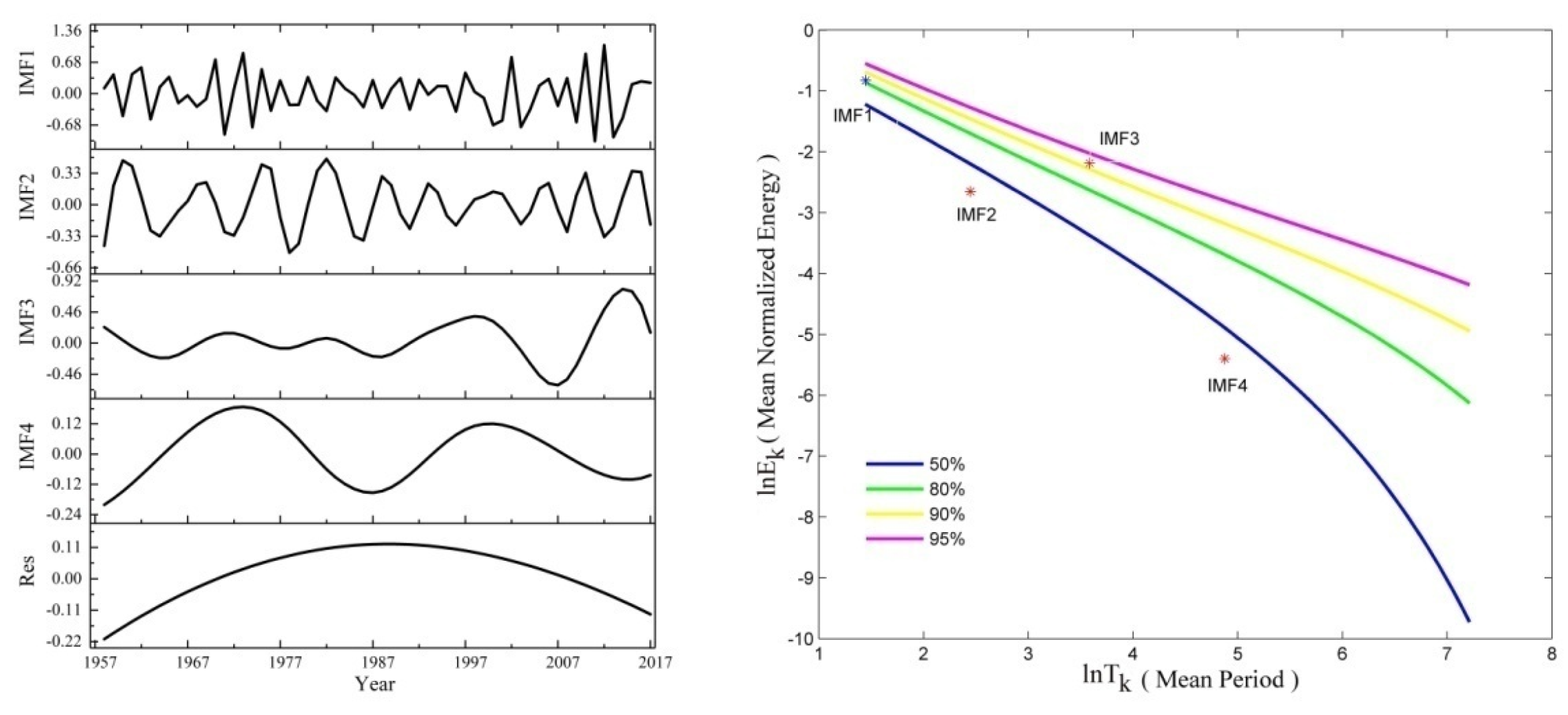
3.1. Multi-Scale Oscillation Characteristics
3.2. Spatial Characteristics of Drought
3.3. Links between Drought Variation and Large-Scale Climate Indices
4. Discussion
5. Conclusions
Author Contributions
Funding
Acknowledgments
Conflicts of Interest
References
- Sahoo, A.K.; Sheffield, J.; Pan, M.; Wood, E.F. Evaluation of the Tropical Rainfall Measuring Mission Multi-Satellite Precipitation Analysis (TMPA) for assessment of large-scale meteorological drought. Remote Sens. Environ. 2015, 159, 181–193. [Google Scholar] [CrossRef]
- Sternberg, T. Regional drought has a global impact. Nature 2011, 472, 169. [Google Scholar] [CrossRef] [PubMed]
- Ofipcc, W.G.I. Climate Change 2013: The Physical Science Basis. Contrib. Work. 2013, 43, 866–871. [Google Scholar]
- Giannakopoulos, C.; Sager, P.L.; Bindi, M.; Moriondo, M.; Kostopoulou, E.; Goodess, C.M. Climatic changes and associated impacts in the Mediterranean resulting from a 2 °C global warming. Glob. Planet. Chang. 2009, 68, 209–224. [Google Scholar] [CrossRef]
- Barriopedro, D.; Gouveia, C.M.; Trigo, R.M.; Wang, L. The 2009/10 Drought in China: Possible Causes and Impacts on Vegetation. J. Hydrometeorol. 2012, 13, 1251–1267. [Google Scholar] [CrossRef]
- Gao, X.; Zhao, Q.; Zhao, X.; Wu, P.; Pan, W.; Gao, X.; Sun, M. Temporal and spatial evolution of the standardized precipitation evapotranspiration index (SPEI) in the Loess Plateau under climate change from 2001 to 2050. Sci. Total Environ. 2017, 595, 191–200. [Google Scholar] [CrossRef]
- Spinoni, J.; Naumann, G.; Vogt, J.; Barbosa, P. European drought climatologies and trends based on a multi-indicator approach. Glob. Planet. Chang. 2015, 127, 50–57. [Google Scholar] [CrossRef]
- Palmer, W.C. Meteorological Drought; Weather Bureau US Department of Commerce: Washington, DC, USA, 1965; Volume 30.
- McKee, T.B.; Doesken, N.J.; Kleist, J. The Relationship of Drought Frequency and Duration to Time Scales. In Proceedings of 8th Conference on Applied Climatology, Anaheim, CA, USA, 17–22 January 1993; pp. 179–184. [Google Scholar]
- Hanson, A.D.; Nelsen, C.E.; Everson, E.H. Evaluation of Free Proline Accumulation as an Index of Drought Resistance Using Two Contrasting Barley Cultivars 1. Crop Sci. 1977, 17, 720–726. [Google Scholar] [CrossRef]
- Hong, W.; Hayes, M.J.; Weiss, A.; Qi, H. An Evaluation the Standardized Precipitation Index, the China-Z Index and the Statistical Z-Score. Int. J. Climatol. 2001, 21, 745–758. [Google Scholar]
- Bandyopadhyay, N.; Saha, A.K. Analysing Meteorological and Vegetative Drought in Gujarat In Climate Change and Biodiversity, Proceedings of IGU Rohtak Conference, Volume 1. Springer Japan. 2014. Available online: https://www.springer.com/gp/book/9784431548379 (accessed on 24 April 2020).
- Park, J.H.; Kim, K.B.; Chang, H.Y. Statistical properties of effective drought index (EDI) for Seoul, Busan, Daegu, Mokpo in South Korea. Asia-Pacific J. Atmos. Sci. 2014, 50, 453–458. [Google Scholar] [CrossRef]
- Park, S.; Im, J.; Jang, E.; Rhee, J. Drought assessment and monitoring through blending of multi-sensor indices using machine learning approaches for different climate regions. Agric. For. Meteorol. 2016, 216, 157–169. [Google Scholar] [CrossRef]
- Jiang, S.; Yang, R.; Cui, N.; Zhao, L.; Liang, C. Analysis of Drought Vulnerability Characteristics and Risk Assessment Based on Information Distribution and Diffusion in Southwest China. Atmosphere 2018, 9, 239. [Google Scholar] [CrossRef]
- Yeh, H.-F.; Hsu, H.-L. Stochastic Model for Drought Forecasting in the Southern Taiwan Basin. Water 2019, 11, 2041. [Google Scholar] [CrossRef]
- Zhu, Y.; Chang, J.; Huang, S.; Huang, Q. Characteristics of integrated droughts based on a nonparametric standardized drought index in the Yellow River Basin, China. Hydrol. Res. 2015, 47, 454–467. [Google Scholar] [CrossRef]
- Guo, H.; Bao, A.; Liu, T.; Jiapaer, G.; Ndayisaba, F.; Jiang, L.; Kurban, A.; De Maeyer, P. Spatial and temporal characteristics of droughts in Central Asia during 1966–2015. Sci. Total Environ. 2018, 624, 1523–1538. [Google Scholar] [CrossRef]
- Yoon, J.H.; Mo, K.; Wood, E.F. Dynamic-Model-Based Seasonal Prediction of Meteorological Drought over the Contiguous United States. J. Hydrometeorol. 2012, 13, 463–482. [Google Scholar] [CrossRef]
- Vicenteserrano, S.M.; Beguería, S.; Lópezmoreno, J.I. A Multiscalar Drought Index Sensitive to Global Warming: The Standardized Precipitation Evapotranspiration Index. J. Clim. 2010, 23, 1696–1718. [Google Scholar] [CrossRef]
- Zhuang, S.; Zuo, H.; Ren, P.; Xiong, G.; Li, B.; Dong, W.; Wang, L. Application of standardized precipitation evaporation index in China. Clim. Environ. Res. 2013, 18, 617–625. [Google Scholar]
- Jin, L.; Zhang, J.; Wang, R.; Zhang, M.; Bao, Y.; Guo, E.; Wang, Y. Analysis for Spatio-Temporal Variation Characteristics of Droughts in Different Climatic Regions of the Mongolian Plateau Based on SPEI. Sustainability 2019, 11, 5767. [Google Scholar] [CrossRef]
- Cao, B.; Zhang, B.; Ma, B.; Tang, M.; Wang, G.; Wu, Q.; Jia, Y. Temporal and Spatial Characteristics of Drought in the Middle and Lower Reaches of the Yangtze River Based on SPEI Index. J. Ecol. 2018, 38, 280–289. [Google Scholar]
- Wang, Z.; Huang, Z.; Li, J.; Zhong, R.; Huang, W. Temporal and spatial evolution of meteorological drought and vegetation distribution in China basin based on SPEI and NDVI. Trans. China Soc. Agric. Eng. 2016, 32, 177–186. [Google Scholar]
- Li, X.; Zhang, Q.; Ye, X. Dry/Wet Conditions Monitoring Based on TRMM Rainfall Data and Its Reliability Validation over Poyang Lake Basin, China. Water 2013, 5, 1848–1864. [Google Scholar] [CrossRef]
- Min, S.; Yan, M.; Liu, J. Study on Characteristics of Arid Climate in Poyang Lake Basin. J. Lake Sci. 2013, 25, 65–72. [Google Scholar]
- Zhang, Q.; Xiao, M.; Singh, V.P.; Chen, Y.D. Max-stable based evaluation of impacts of climate indices on extreme precipitation processes across the Poyang Lake basin, China. Glob. Planet. Chang. 2014, 122, 271–281. [Google Scholar]
- Gu, C.; Mu, X.; Zhao, G.; Gao, P.; Sun, W.; Yu, Q. Changes in Stream Flow and Their Relationships with Climatic Variations and Anthropogenic Activities in the Poyang Lake Basin, China. Water 2016, 8, 564. [Google Scholar] [CrossRef]
- Min, Q.; Min, D. Characteristics of Drought Evolution and Countermeasures for Hydrological Drought Prevention in Poyang Lake Area. J. China Hydrol. 2010, 30, 84–88. [Google Scholar]
- Liu, Y.; Zhao, X.; Wu, G. A preliminary analysis of the causes of the frequent occurrence of extreme drought events in the Poyang Lake area in the past decade. Resour. Environ. Yangtze Basin 2014, 23, 131–138. [Google Scholar]
- Hong, X.; Guo, S.; Ma, H.; Liu, D. Temporal and Spatial Evolution Characteristics of Drought in Poyang Lake Basin Based on SPI and Its Correlation with Lake Water Level. J. China Hydrol. 2014, 34, 25–31. [Google Scholar]
- Wang, R.; Peng, W.; Liu, X.; Wu, W.; Chen, X.; Zhang, S. Responses of Water Level in China’s Largest Freshwater Lake to the Meteorological Drought Index (SPEI) in the Past Five Decades. Water 2018, 10, 137. [Google Scholar] [CrossRef]
- Mishra, A.K.; Singh, V.P. A review of drought concepts. J. Hydrol. 2010, 391, 202–216. [Google Scholar] [CrossRef]
- Zhang, Y.; Hao, Z.; Wang, Y.; Li, M.; Chen, E.; Li, F.; Zhang, Y. Multiscale Characteristics of Drought Based on SPEI and SPI in Association with Climate Index in Taiyuan. Ecol. Environ. Sci. 2014, 9, 7. [Google Scholar]
- Sun, Y.; Liu, X.; Ren, Z.; Li, S. Multi-scale drought characteristics and influencing factors in the Loess Plateau from 1960 to 2016. Geogr. Res. 2019, 7, 13. [Google Scholar]
- Liu, W.; Liu, L. Analysis of Dry/Wet Variations in the Poyang Lake Basin Using Standardized Precipitation Evapotranspiration Index Based on Two Potential Evapotranspiration Algorithms. Water 2019, 11, 1380. [Google Scholar] [CrossRef]
- Ahmad, M.I.; Sinclair, C.D.; Werritty, A. Log-logistic flood frequency analysis. J. Hydrol. 1998, 98, 205–224. [Google Scholar] [CrossRef]
- Singh, V.P.; Guo, H.; Yu, F.X. Parameter estimation for 3-parameter log-logistic distribution (LLD3) by Pome. Stoch. Hydrol. Hydraul. 1993, 7, 163–177. [Google Scholar] [CrossRef]
- Abramowitz, M.; Stegun, I.A. Handbook of Mathematical Functions; Dover Publications: New York, NY, USA, 1965. [Google Scholar]
- Hamed, K.H.; Rao, A.R. A modified Mann-Kendall trend test for autocorrelated data. J. Hydrol. 1998, 204, 182–196. [Google Scholar] [CrossRef]
- Sen, P.K. Estimates of the Regression Coefficient Based on Kendall’s Tau. J. Am. Stat. Assoc. 1968, 63, 1379–1389. [Google Scholar] [CrossRef]
- Huang, N.E.; Shen, Z.; Long, S.R. The empirical mode decomposition and the Hilbert spectrum for nonlinear and non-stationary time series analysis. Proc. Math. Phys. Eng. Sci. 1998, 454, 903–905. [Google Scholar] [CrossRef]
- Wu, Z.; Huang, N. Ensemble empirical mode decomposition: A noise-assisted data analysis method. Adv. Adapt. Data Anal. 2009, 1, 1–41. [Google Scholar] [CrossRef]
- Torrence, C.; Compo, G.P. A Practical Guide to Wavelet Analysis. Bull. Am. Meteorol. Soc. 1998, 79, 61–78. [Google Scholar] [CrossRef]
- Grinsted, A.; Moore, J.C.; Jevrejeva, S. Application of the cross wavelet transform and wavelet coherence to geophysical time series. Nonlinear Process. Geophys. 2004, 11, 561–566. [Google Scholar] [CrossRef]
- Xu, K.; Yang, D.; Yang, H.; Li, Z.; Qin, Y.; Shen, Y. Spatio-temporal variation of drought in China during 1961–2012: A climatic perspective. J. Hydrol. 2015, 526, 253–264. [Google Scholar] [CrossRef]
- Li, Y.; Wang, Z.; Zhang, Y.; Li, X.; Huang, W. Drought variability at various timescales over Yunnan Province, China: 1961–2015. Theor. Appl. Climatol. 2019, 138, 743–757. [Google Scholar] [CrossRef]
- Chen, H.; Sun, J. Changes in drought characteristics over China using the standardized precipitation evapotranspiration index. J. Clim. 2015, 28, 5430–5447. [Google Scholar] [CrossRef]
- Yu, M.; Li, Q.; Hayes, M.J.; Svoboda, M.D.; Heim, R.R. Are droughts becoming more frequent or severe in China based on the standardized precipitation evapotranspiration index: 1951–2010? Int. J. Climatol. 2014, 34, 545–558. [Google Scholar] [CrossRef]
- Ye, X.; Zhang, Q.; Bai, L.; Hu, Q. A modeling study of catchment discharge to Poyang Lake under future climate in China. Quat. Int. 2011, 244, 221–229. [Google Scholar] [CrossRef]
- Tao, H.; Fraedrich, K.; Menz, C.; Zhai, J. Trends in extreme temperature indices in the Poyang Lake Basin, China. Stoch. Environ. Res. Risk Assess. 2014, 28, 1543–1553. [Google Scholar] [CrossRef]
- Li, H.; Liu, L.; Shan, B.; Xu, Z.; Niu, Q.; Cheng, L.; Xu, Z. Spatiotemporal Variation of Drought and Associated Multi-Scale Response to Climate Change over the Yarlung Zangbo River Basin of Qinghai–Tibet Plateau, China. Remote Sens. 2019, 11, 1596. [Google Scholar] [CrossRef]
- Hu, Z.; Chen, X.; Chen, D.; Li, J.; Wang, S.; Zhou, Q.; Guo, M. “Dry gets drier, wet gets wetter”: A case study over the arid regions of central Asia. Int. J. Climatol. 2019, 39, 1072–1091. [Google Scholar] [CrossRef]
- Wu, M.; Li, Y.; Hu, W.; Yao, N.; Li, L.; Liu, D. Spatiotemporal variability of standardized precipitation evapotranspiration index in mainland China over 1961–2016. Int. J. Climatol. 2020. [Google Scholar] [CrossRef]
- Yang, J.; Chang, J.X.; Wang, Y.M.; Li, Y.Y.; Hu, H.; Chen, Y.T.; Huang, Q.; Yao, J. Comprehensive drought characteristics analysis based on a nonlinear multivariate drought index. J. Hydrol. 2018, 557, 651–667. [Google Scholar]
- Lin, P.; Zhong Wei, Y.; Hui, Y. Relationship between Drought and Flood Patterns in Eastern China and Pacific Decadal Oscillation in the Past 400 Years. Chin. Sci. Bull. 2014, 60, 97–108. (In Chinese) [Google Scholar]
- Zhang, Q.; Xiao, M.; Singh, V.P.; Wang, Y. Spatiotemporal variations of temperature and precipitation extremes in the Poyang Lake basin, China. Theor. Appl. Climatol. 2016, 124, 855–864. [Google Scholar] [CrossRef]
- Shao, J.; Wang, J.; Lv, S.; Bing, J. Spatial and temporal variability of seasonal precipitation in Poyang Lake basin and possible links with climate indices. Hydrol. Res. 2016, 47, 51–68. [Google Scholar] [CrossRef]
- Chen, W.; Feng, J.; Wu, R. Roles of ENSO and PDO in the link of the East Asian winter monsoon to the following summer monsoon. J. Clim. 2013, 26, 622–635. [Google Scholar] [CrossRef]
- Xiao, M.; Zhang, Q.; Singh, V.P. Influences of ENSO, NAO, IOD and PDO on seasonal precipitation regimes in the Yangtze River basin, China. Int. J. Climatol. 2015, 35, 3556–3567. [Google Scholar] [CrossRef]
- Linderholm, H.W.; Ou, T.; Jeong, J.H.; Folland, C.K.; Gong, D.; Liu, H.; Chen, D. Interannual teleconnections between the summer North Atlantic Oscillation and the East Asian summer monsoon. J. Geophys. Res. Atmos. 2011, 116. [Google Scholar] [CrossRef]
- Tamaddun, K.A.; Kalra, A.; Ahmad, S. Wavelet analyses of western US streamflow with ENSO and PDO. J. Water Clim. Chang. 2017, 8, 26–39. [Google Scholar] [CrossRef]
- Hurrell, J.W. Decadal trends in the north atlantic oscillation: Regional temperatures and precipitation. Science 1995, 269, 676–679. [Google Scholar] [CrossRef] [PubMed]
- Feng, L.; Wei, F.Y. A predictive model for summer precipitation over China based on upper tropospheric temperature and North Atlantic Oscillation in the preceding spring. Chin. J. Atmos. Sci. 2011, 35, 963–976. (In Chinese) [Google Scholar]
- Li, S.; Yang, S.; Liu, X. Temporal and Spatial Variation Characteristics of Precipitation and Its Influencing Factors in the Arctic End of the Qinling-Huaihe River from 1960 to 2013. Progress Geogr. 2015, 34, 354–363. [Google Scholar]
- Gong, D.Y.; Wang, S.W. Influence of Arctic Oscillation on winter climate over China. Acta Geogr. Sin. 2003, 58, 559–568. [Google Scholar]
- Yan, X.; Zhang, M. Numerical Simulation of the Influence of the Indian Ocean Dipole on the East Asian Monsoon Region during the SST Anomaly over the Eastern Equatorial Pacific. J. Trop. Meteorol. 2004, 20, 375–382. [Google Scholar]
- Yuan, H.Z. The Indian Ocean Dipole and Its Relationship with Precipitation over China; Nanjing University of Information Science & Technology: Nanjing, China, 2006. (In Chinese) [Google Scholar]





| Number | ID | Stations | Longitude (E°) | Latitude (N°) | Elevation (m) |
|---|---|---|---|---|---|
| 1 | 57595 | Tongshan | 114.50 | 29.60 | 76.1 |
| 2 | 57598 | Xiushui | 114.35 | 29.02 | 146.8 |
| 3 | 59696 | Yifeng | 114.47 | 28.24 | 91.7 |
| 4 | 57780 | Zhuzhou | 113.17 | 27.87 | 74.6 |
| 5 | 57789 | Lihua | 113.57 | 27.08 | 194.5 |
| 6 | 57793 | Yichun | 114.23 | 27.48 | 131.3 |
| 7 | 57799 | Ji’an | 114.55 | 27.03 | 71.2 |
| 8 | 57889 | Guidong | 113.95 | 26.08 | 835.9 |
| 9 | 57894 | Jinggangshan | 114.10 | 26.35 | 843 |
| 10 | 57896 | Suichuan | 114.30 | 26.20 | 126.1 |
| 11 | 57993 | Ganzhou | 115.00 | 25.52 | 137.5 |
| 12 | 57996 | Nanxiong | 114.32 | 25.13 | 133.8 |
| 13 | 58414 | Taihu | 116.30 | 30.45 | 71 |
| 14 | 58419 | Dongzhi | 117.02 | 30.10 | 17.6 |
| 15 | 58500 | Xinyang | 115.20 | 29.85 | 45.8 |
| 16 | 58506 | Lushan | 115.59 | 29.35 | 1164.5 |
| 17 | 58507 | Wuning | 115.07 | 29.15 | 116 |
| 18 | 58519 | Boyang | 116.41 | 29.00 | 40.1 |
| 19 | 58520 | Qimen | 117.72 | 29.85 | 140.4 |
| 20 | 58527 | Jingdezhen | 117.12 | 29.18 | 80.9 |
| 21 | 58531 | Tunxi | 118.28 | 29.71 | 142.7 |
| 22 | 58600 | Jing’an | 115.22 | 28.52 | 78.9 |
| 23 | 58606 | Nanchang | 115.55 | 28.36 | 46.9 |
| 24 | 58608 | Zhangshu | 115.33 | 28.04 | 30.4 |
| 25 | 58622 | Dexing | 117.35 | 28.57 | 88.5 |
| 26 | 58626 | Guixi | 117.15 | 28.19 | 60.8 |
| 27 | 58633 | Quzhou | 118.90 | 29.00 | 82.4 |
| 28 | 58634 | Yushan | 118.15 | 28.41 | 116.3 |
| 29 | 58637 | Shangrao | 117.59 | 28.27 | 118.2 |
| 30 | 58705 | Yongfeng | 115.25 | 27.20 | 85.7 |
| 31 | 58715 | Nancheng | 116.39 | 27.35 | 80.8 |
| 32 | 58718 | Nanfeng | 116.32 | 27.13 | 111.5 |
| 33 | 58725 | Shaowu | 117.47 | 27.33 | 218 |
| 34 | 58806 | Ningdu | 116.01 | 26.29 | 209.1 |
| 35 | 58813 | Guangchang | 116.20 | 26.51 | 143.8 |
| 36 | 58818 | Ninghua | 116.63 | 26.23 | 358.9 |
| 37 | 58820 | Taining | 117.17 | 26.90 | 342.9 |
| 38 | 58911 | Changting | 116.37 | 25.85 | 310 |
| 39 | 58918 | Shanghang | 116.42 | 25.05 | 198 |
| 40 | 59092 | Longnan | 114.49 | 24.55 | 206.3 |
| 41 | 59102 | Xunwu | 115.39 | 24.57 | 303.9 |
| Categories | Mild Drought | Moderate Drought | Severe Drought | Extreme Drought |
|---|---|---|---|---|
| SPEI Values | (−1.0, −0.5] | (−1.5, −1.0] | (−2.0, −1.5] | ≤−2.0 |
| Timescale | Statistics Index | IMF1 | IMF2 | IMF3 | IMF4 | Res |
|---|---|---|---|---|---|---|
| Annual | Period (year) | 3.16 | 6 | 15 | 30 | |
| Contribution rate (%) | 56.55 | 16.3 | 21.88 | 3.08 | 2.18 | |
| Correlation coefficient | 0.742 ** | 0.479 ** | 0.426 ** | 0.131 | 0.079 | |
| Spring | Period (year) | 2.90 | 5.2 | 13 | 20 | |
| Contribution rate (%) | 84.50 | 9.29 | 3.37 | 1.27 | 1.56 | |
| Correlation coefficient | 0.905 ** | 0.394 ** | 0.282 * | 0.261 * | 0.168 | |
| Summer | Period (year) | 2.90 | 5.71 | 15 | 30 | |
| Contribution rate (%) | 51.47 | 22.65 | 12.89 | 12.59 | 0.40 | |
| Correlation coefficient | 0.705 ** | 0.460 ** | 0.419 ** | 0.284 * | 0.134 | |
| Autumn | Period (year) | 3.16 | 6.32 | 15 | 30 | |
| Contribution rate (%) | 71.64 | 12.54 | 12.06 | 1.71 | 2.06 | |
| Correlation coefficient | 0.832 ** | 0.154 | 0.401 ** | 0.165 | 0.014 | |
| Winter | Period (year) | 3.16 | 7.5 | 24 | 24 | |
| Contribution rate (%) | 73.02 | 11.19 | 4.72 | 1.64 | 9.44 | |
| Correlation coefficient | 0.836 ** | 0.292 * | 0.199 | −0.006 | 0.154 |
| Time | Annual | Spring | Summer | Autumn | Winter |
|---|---|---|---|---|---|
| Z | 0.1636 | −0.0293 | 0.1202 | −0.0021 | 0.0337 |
| Trend | 0.0006 | −0.0001 | 0.0002 | −0.0001 | 0.0004 |
© 2020 by the authors. Licensee MDPI, Basel, Switzerland. This article is an open access article distributed under the terms and conditions of the Creative Commons Attribution (CC BY) license (http://creativecommons.org/licenses/by/4.0/).
Share and Cite
Liu, W.; Zhu, S.; Huang, Y.; Wan, Y.; Wu, B.; Liu, L. Spatiotemporal Variations of Drought and Their Teleconnections with Large-Scale Climate Indices over the Poyang Lake Basin, China. Sustainability 2020, 12, 3526. https://doi.org/10.3390/su12093526
Liu W, Zhu S, Huang Y, Wan Y, Wu B, Liu L. Spatiotemporal Variations of Drought and Their Teleconnections with Large-Scale Climate Indices over the Poyang Lake Basin, China. Sustainability. 2020; 12(9):3526. https://doi.org/10.3390/su12093526
Chicago/Turabian StyleLiu, Weilin, Shengnan Zhu, Yipeng Huang, Yifan Wan, Bin Wu, and Lina Liu. 2020. "Spatiotemporal Variations of Drought and Their Teleconnections with Large-Scale Climate Indices over the Poyang Lake Basin, China" Sustainability 12, no. 9: 3526. https://doi.org/10.3390/su12093526
APA StyleLiu, W., Zhu, S., Huang, Y., Wan, Y., Wu, B., & Liu, L. (2020). Spatiotemporal Variations of Drought and Their Teleconnections with Large-Scale Climate Indices over the Poyang Lake Basin, China. Sustainability, 12(9), 3526. https://doi.org/10.3390/su12093526

