Abstract
This article addresses the design and validation of an updated questionnaire that makes it possible to understand the use patterns and attitudes of university youth on social networks. The authors utilized a panel of 20 judges who were social media experts and a sample of 640 university students. The exploratory factor analysis (EFA) explained 66.523% of the total variance. The confirmatory factor analysis (CFA), carried out to verify the dimensional structure of the instrument, reflected the appropriate parameters. The reliability study showed a Cronbach’s alpha of 0.864. These data corroborated the development of a robust and reliable questionnaire. The resulting instrument did not contain items alluding to specific social networks (Facebook, Twitter, Instagram, or LinkedIn), but rather students’ usage patterns of them. The exclusion of items that referred to particular social networks during the research demonstrated a convergence in behavior on social media regardless of the nuances of each platform. This fact suggested that the platform was of secondary importance in the context of a new paradigm in which the type of use (viewing, posting, participating, or interacting) took precedence over the name of the network itself.
Keywords:
social networks; Facebook; Twitter; Instagram; LinkedIn; structural equation modeling; validity; reliability; university 1. Introduction
Growth in Internet use has been accompanied by the spread of social media throughout the world. In Spain, according to data from the National Institute of Statistics, through its Survey on Equipment and Use of Information and Communication Technologies in Households, the percentage of social networking users between 16 and 24 years reached 90.6% in 2019 [1].
These platforms have an undeniable impact, and their integration into the lives of the youngest stratum of society is an established reality. Many young people have fully integrated the use of social networks into their daily routines. Gómez-Aguilar, Roses-Campos, and Farias-Batlle [2], for example, suggested that these platforms have positioned themselves among youth as a space for a quick and easy exchange of information. Meanwhile, Bernal and Angulo [3] stated that social networks offer young people tools of support both in their search for personal contact and in the construction of their social selves.
The success of these platforms is owed to many factors, including aspects such as their dynamic content, their collaborative utility, their intuitiveness, their accessibility, and their interactive nature [4]. However, what is a social network? Castañeda Quintero [5] defined these platforms as “those telematic tools organized around user profiles—personal or professional—in which the individual must establish connections with other individuals with whom they share common concerns”.
However, the complexity of the social media phenomenon goes beyond the above definition. Thus, Prendes Espinosa, Gutiérrez Porlán, and Castañeda Quintero [6] shifted the discussion regarding these platforms toward broader aspects. Three such aspects are of note: (a) cognitive interactivity [7], (b) collective intelligence on social networks [8], and (c) connectivism and participation in the digital age [9].
Similarly, the literature review by Almansa, Fonseca, and Castillo [10] on social media research also demonstrated three major thematic areas: (a) the representation of users and the creation of links between them [11,12]; (b) the structuring of networks around the individual’s concerns and motivations [13,14]; and (c) the privacy and risks of social networks [15,16].
More recently, García-Ruiz, Tirado, and Hernando [17] addressed the study of this phenomenon from the perspective of the uses and gratification theory in mass media in order to examine the rewards young people experience upon using some of these platforms intensively.
1.1. Social Networks in The University
Social media figures prominently in the area of higher education. Many studies note the benefits of using social networks as a value-added tool in teaching and learning processes. At a time when pedagogical models are actively changing, the use of these platforms plays a key role in university education [18]. In this context, the pillars of participation, interaction, and collaboration around which social media is built make its integration into university education particularly propitious. Various authors [19] pointed out that the introduction of these technologies in the university context may favor a better adaptation to the guidelines established by the European Higher Education Area (EHEA).
The literature regarding the applicability and implementation of social networks in teaching and learning processes in higher education describes multiple approaches. Gutiérrez Porlan and Soto Pérez [20], for example, explored the use of Facebook groups as a tool for interaction and participation between students and teachers in the final course on pedagogy to improve the classroom environment.
The study by Santillán García, Cornejo Marroquín, and Ausín Lomas [21] described an approach focused on using Facebook to improve the dissemination and visibility of a blog with academic information of interest to students in health sciences degree programs.
The approach by Tuñez López and Sixto García [22] with journalism students proposed using Facebook pages to redirect student-teacher communication flows to a virtual space.
In the same vein, research conducted by Marín and Tur [23] among a sample of students in education programs revealed participants’ positive attitudes toward the use of Twitter as a way to reinforce their learning.
Meanwhile, the study by Cabero and Marín [24] explored the predisposition of students majoring in early childhood and elementary education at several universities toward the use of different social networks (Facebook, Twitter, LinkedIn, and Hi5) for collaborative purposes.
The research of Serrat Antoli [25] on the use of Facebook in the development of participatory methodologies in the university context showed the potential of this platform, on the one hand, as a generator of knowledge and, on the other, as a dynamic instrument for the course.
Matosas-López and Romero-Luis’s work [26] with marketing students explored the correlations between the use patterns of Facebook, Twitter, and Instagram and the perceived usefulness for these students of certain digital learning resources.
Finally, the research conducted by Santoveña-Casal and Bernal-Bravo [27] revealed that the use of Twitter not only provided a motivational element that other tools, such as forums, were unable to provide, but also enabled self-directed learning.
All these works present experiences related to the application and use of different social networking platforms in the university context. However, platforms such as MySpace, Tuenti, Hi5, or Xing [2,19,24,28] have gradually lost popularity in favor of others, such as Facebook, Twitter, Instagram, and LinkedIn [29]. Similarly, the functionality and usage patterns of social media users have not remained static over time. Thus, functionalities that until a few years ago were of scant importance, such as mentions or hashtags, or whose implementation presented technical challenges, as in case of videos or GIFs (Graphic Interchange Format), are now central to habitual patterns of use on these platforms.
1.2. Objective
In a dynamic and changing context such as that of social networking, possessing up-to-date information regarding the actual realities of social media use is of paramount importance, so much so that, for example, Folch and Castellano [30] highlighted the need to carry out periodic and continuous research on this topic. On the other hand, the awareness of encouraging sustainable education makes the promotion of these technologies for educational purposes a sensible issue [31,32,33].
This study aims to provide the academic community with a competent and effective questionnaire to gather information on the current use patterns and attitudes of university youth on social networks. To do so, the authors design and validate an updated measurement instrument.
Given that use patterns on social media are changing rapidly, gathering information from patterns at the current moment will help teachers to understand the type of use made by the student on these platforms.
2. Material and Methods
2.1. Participants
The research, carried out during the academic year 2019-2020, involved both a panel of experts and a sample of university students. On the one hand, the authors turned to a panel of expert judges for content validation. On the other hand, they used a sample of students for the comprehension validity, construct validity, and reliability analyses of the questionnaire.
The panel of expert judges involved in content validation were 20 subjects, all with more than 8 years of experience. In line with the approach of García-Vera, Roig-Vila, and García [34], the authors employed a multidisciplinary panel made up of teachers in the field of information and communication technology (ICT) and professionals in social networking management. The panel included 10 professors specialized in ICT education and 10 social media professionals with experience in corporate communications in the public and private spheres. The average age of the panel members was 41.16 (SD = 3.62), with 45% females (9 out of 20) and 55% males (11 out of 20).
The sample of students participating in the analysis of comprehension validity, construct validity, and reliability was made up of students in eight different degree programs at Rey Juan Carlos University (a medium-sized university in Spain). The programs were selected from the university catalog by convenience sampling, taking those that were representative and to which there was easier access [35]. Attempting to maintain heterogeneity between the different fields of study, the authors selected the following eight degree programs: Marketing, Elementary Education, Law, Accounting and Finance, International Relations, Industrial Organization Engineering, Nursing, and Social Work. To ensure the representativeness of the programs selected over the entire sample, the authors performed stratified sampling by selecting the participants in each program in a simple random manner [36]. The weight of each stratum in the sample is listed in Table 1.
Table 1.
Distribution of strata in the sample.
Assuming a maximum indeterminate form in which the probability of being part of the sample is identical to the probability of not being part of it (P = Q = 0.50) and assuming a 95% confidence level, the sample of 640 subjects out of the total of 7128 enrolled students in the above eight majors showed a sampling error of 3.64%. Based on the criteria of other authors that indicated sampling errors of up to 7% [37], the researchers considered that this sample provided the study more than adequate statistical significance. The average age of the students was 19.93 (SD= 1.84), with 54.30% being female and 45.70% male.
2.2. Design of the First Version of the Questionnaire
The body of the initial questionnaire was designed based on the authors’ literature review regarding the use of social media. In the first version of the instrument, four blocks were considered, consisting of a total of 28 items (see Table 2).
Table 2.
Description of the items in the first version of the questionnaire.
For the definition of Block I, which included the most common social networks, as well as their frequency of use, the work of Sánchez-Rodríguez, Ruiz-Palmero, and Sánchez-Rivas was taken as a reference [18]. In the design of Block II, which focused on the types of uses of the platform, some of the reflections of the research on social media usage habits by García-Jiménez, López-de-Ayala, and Catalina-Garcia were considered [38]. Block III addressed the layout of user profiles and the native functionalities of the platform, following several of the conclusions of Almansa, Fonseca, and Castillo’s work [10]. Finally, Block IV included information about the devices used to access social networks, borrowed from the categorization proposed by Prendes Espinosa, Gutiérrez Porlan, and Castañeda Quintero [6] in their research on user profiles of university students.
Of the 28 items that made up the body of the initial questionnaire, Items 1 through 27 took the type of scale used by García-Ruiz et al. [17] in their work on uses and gratifications and were answered on a five-point Likert scale. Item 28 was presented as a multiple-choice question with five devices as answering choices (smartphone, tablet, laptop, desktop PC, and smart TV).
2.3. Fieldwork and Analysis Procedure
In line with the indications of Carter-Dios and Pérez [39] or Reche et al. [40], for the development of instrumental studies, after completing the first version of the questionnaire, the validity and reliability of the questionnaire were analyzed. The approach for this task consisted of four distinct stages: (1) content validity analysis, (2) comprehension validity analysis, (3) construct validity analysis, and (4) reliability analysis of the final instrument. In addition, after this four-stage procedure, the authors reported the overall descriptive results obtained with the final questionnaire in a fifth section.
The technique used for content validity analysis, following the recommendations of similar investigations [41,42], was expert judgment. Once this first validation was completed, with the resulting items, the questionnaire was administered online to the student sample. The data collected through this intermediate version of the instrument will serve to develop further analyses.
Comprehension validity was analyzed by examining, on the one hand, the standard deviation (SD), skewness, and kurtosis values and, on the other, the corrected item-total correlation coefficient and Cronbach’s alpha when individual items were deleted [43].
Construct validity, in line with other studies regarding the validation of questionnaires in the university setting [44,45], was examined using an exploratory factor analysis (EFA) followed by a confirmatory factor analysis (CFA). The fit of the CFA was evaluated by examining the comparative fit index (CFI), the goodness-of-fit index (GFI), the root mean squared error of approximation (RMSEA), and the standardized root mean squared residual (SRMR) [46,47].
Finally, the reliability of the final instrument was assessed with Cronbach’s alpha and the average variance extracted (AVE) [48].
Once the validity and reliability analyses were completed, the overall descriptive results obtained with the final questionnaire were shown, presenting the average value for each question along with its SD. All analyses were carried out using the IBM SPSS 25 statistical analysis software and its extension AMOS Version 20.
3. Results
3.1. Content Validity Analysis
Content validation was carried out in three successive rounds in which the panel of expert judges assessed the pertinence, relevance, and precision of each of the 28 questions in the questionnaire. In each of these three rounds, the panel of experts received a template in which each item was quantitatively scored on a ten-point Likert scale.
In the first round of assessment, judges gave high scores on the pertinence of the questions (M = 8.32, SD = 1.26). The second stage also received positive assessments regarding the relevance of the items in the questionnaire (M = 8.91, SD = 0.95). Finally, the third round also reflected optimal results regarding the level of precision in the wording of the questions (M = 8.37, SD = 0.98). Despite the above, poorly scored items were also identified at all stages.
In line with the approaches of previous studies [48,49], in each round, the authors discarded those items with average values less than seven. This refinement criterion led to eliminating nine of the 28 items in the first version of the instrument (Item 1, Item 2, Item 3, Item 4, Item 8, Item 9, Item 10, Item 13, and Item 19), generating a second version of the questionnaire with 19 items.
3.2. Comprehension Validity Analysis
The study of comprehension validity, like the subsequent analyses, was carried out based on the data obtained after the questionnaire was administered to the sample of students participating in the study. For this analysis, the SDs were extracted in addition to skewness and kurtosis values (see Table 3). Items with SD > 1 and skewness and kurtosis values between -1 and one were considered adequate [50].
Table 3.
Standard deviation values and skewness and kurtosis indicators.
SD values, as well as skewness and kurtosis values were considered acceptable for 18 of the 19 items. Only Item 28 was eliminated, for presenting an SD less than one and skewness and kurtosis values outside of the specified range. Item 28 pertained to the device students used to access social networks. This question, because it was answered in the same way by nearly every subject (a smartphone), did not contribute to gathering meaningful information. After eliminating this item, a third version of the measurement instrument was generated, with 18 items.
The level of discrimination of each item was also examined using item-total correlation statistics (see Table 4). The items considered adequate were those with corrected item-total correlation values of > 0.20 and for which the elimination of the item did not substantially increase the reliability expressed by Cronbach’s alpha [43].
Table 4.
Item-total correlation statistics.
The table shows acceptable corrected correlation and Cronbach’s alpha values for 13 of the 18 items, suggesting that five items may be deleted (Item 5, Item 6, Item 7, Item 23, and Item 24). Thus, before analyzing the construct validity and final reliability of the instrument, a fourth, and a priori final, version of the questionnaire was obtained, consisting of 13 items.
3.3. Construct Validity Analysis
Before proceeding with the factor analyses (EFA and CFA) required to analyze construct validity, the Kaiser–Meyer–Olkin test for sampling adequacy and Bartlett’s test for sphericity were run. The purpose of extracting these two statistics was to evaluate the fit of the data to the planned factor analyses. The Kaiser–Meyer–Olkin value obtained was 0.764, better than the recommended value of 0.600. Bartlett’s test of sphericity yielded a statistical significance of 0.000. Both results confirmed the existence of sufficient correlations between the items, so factorial analyses were appropriate [51,52].
3.3.1. EFA
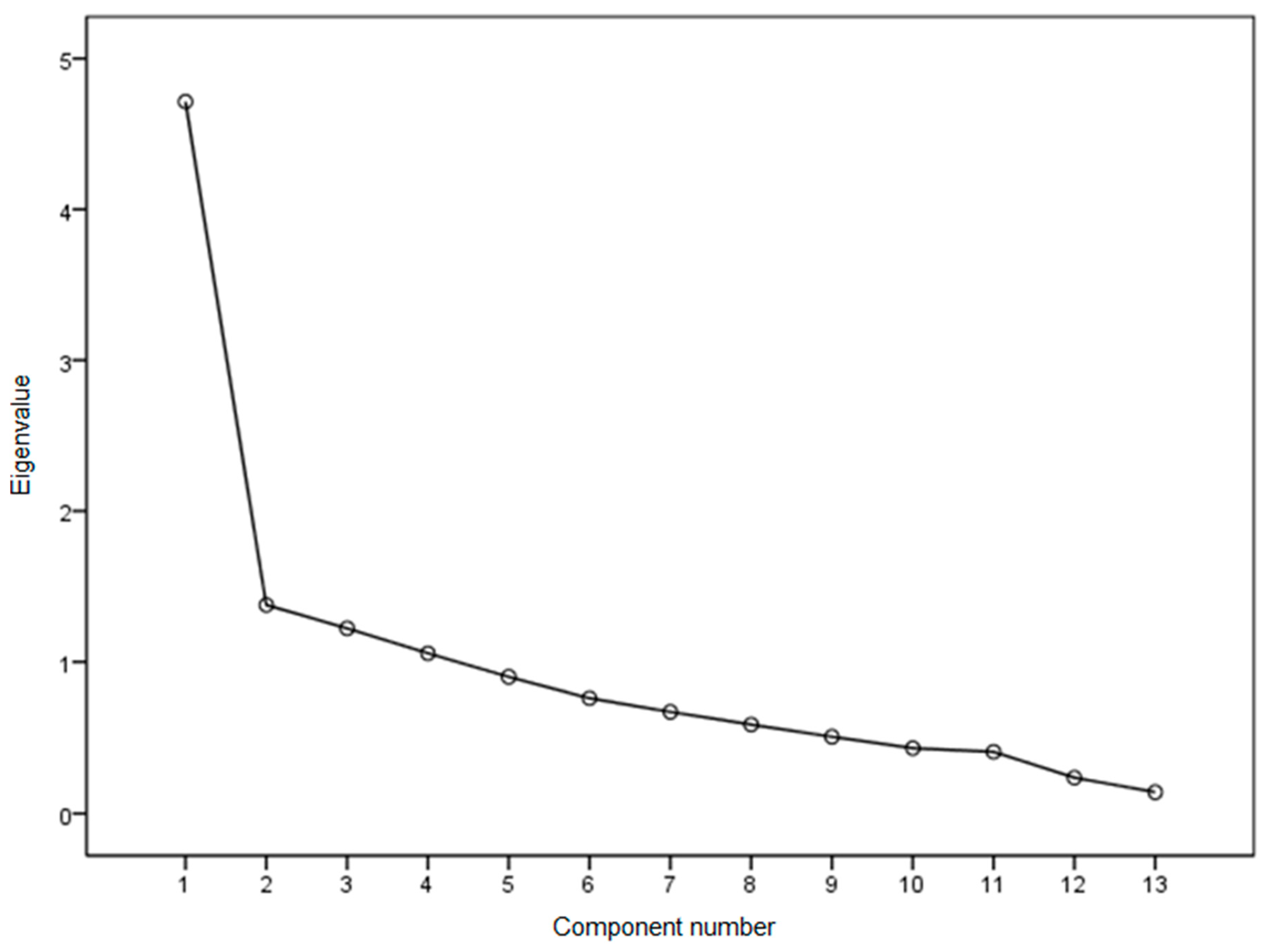
Before the EFA, the authors extracted the scree plot (see Figure 1). This graph provided an initial approach that identified four factors or dimensions. These four dimensions could be observed by the existence of three turning points: a first and evident turning point in Element 2 and two slight turning points matching more with Elements 11 and 12.
Figure 1.
Scree plot. Source: created by the authors (SPSS.25).
The EFA was carried out following the extraction of main components, with varimax rotation, applying the criterion of eigenvalue > 1 for factor extraction. The rotated component matrix extracted showed the dimensional structure of the instrument, revealing, in accordance with the scree plot, the existence of four underlying factors in the set of items (see Table 5).
Table 5.
Rotated component matrix.
These four factors accounted for 66.523% of the total variance of the instrument. Their compositions are detailed below.
Factor 1 included four items (Item 17, Item 14, Item 16, and Item 11) that explained 22.673% of the variance. These items referred to the importance assigned to the viewing of photos, videos, and GIFs, searching for information, and the use of mentions of friends and/or family members. The authors labelled this factor “viewing.”
Factor 2 contained four items (Item 18, Item 22, Item 15, and Item 12) that explained 19.639% of the variance. These items referred to the importance of posting photos, videos, and GIFs, making status updates, and the use of mentions to prominent figures. This factor was labeled “posting.”
Factor 3 includes two items (Item 21 and Item 20) that explained 12.368% of the variance. These addressed the importance assigned to participation in surveys, games, and discussions. The authors labelled this factor “participating.”
Finally, Factor 4 contained the last three items (Item 26, Item 27, and Item 25). These explained 11.843% of the variance and referred to the frequency of use of hashtags, likes, and mentions. This factor was labeled “interacting.”
3.3.2. CFA
Once the dimensional structure of the instrument was known, its validity was confirmed by means of CFA. This CFA was done by estimating the parameters of the model under the maximum likelihood criterion. The model produced by the analysis, with its respective standardized regression coefficients and the covariances between factors, is reflected in Figure 2.
Figure 2.
Confirmatory factor analysis (CFA) model for the questionnaire assessing the use of social networks. Source: created by the authors (AMOS 20).
The evaluation of the CFA model was carried out by examining the usual indicators: CFI, GFI, RMSEA, and SRMR. The model fit, measured as the chi-squared/degrees of freedom ratio (χ2/df), was 2.473, presenting the following fit indicators: CFI = 0.935, GFI = 0.925, RMSEA = 0.073, and SRMR = 0.0596.
The CFI can be interpreted as a multivariate coefficient of determination, which is considered optimal when greater than 0.90 [53]. Similarly, the GFI is a comparative fit indicator that is also considered appropriate at 0.90 to 0.95 [54]. The RMSEA reflects the difference between the population matrix and sample model and indicates a good model fit when less than 0.08 [55]. Finally, the SRMR represents the status of standardized residuals, and a value below 0.08 again indicates an optimal fit [56].
3.4. Reliability Analysis of The Final Instrument
The reliability and internal consistency of the final version of the questionnaire were examined using Cronbach’s alpha. This coefficient explores the homogeneity of the items contained in each factor, revealing whether they are interconnected [57].
The internal consistency of the items comprising the first factor (viewing) showed a Cronbach’s alpha of 0.831. The items included in the second factor (posting) presented a Cronbach’s alpha of 0.798. The internal consistency for the third factor (participating) showed a value of 0.684. The items of the fourth factor (interacting) had a Cronbach’s alpha of 0.604. According to Kerlinger and Lee [58], reliability coefficients between 0.600 and 0.850 for each of the constructs are considered optimal. Similarly, the reliability of the instrument as a whole also had a satisfactory overall coefficient of 0.864.
To conclude, in accordance with Calderón et al. [48], the reliability analysis was completed by examining the AVE. The AVE was above 0.50 for each of the four factors, further corroborating the reliability of the final instrument.
3.5. Descriptive Results Obtained with the Validated Questionnaire
Table 6 presents the descriptive results obtained for each item of the final questionnaire. The results are organized by factor. Factor 1 (viewing) highlights the importance assigned to viewing photos and searching for information. Factor 2 (posting) demonstrates that participants assigned great importance to posting photos and posting status updates on their profiles.
Table 6.
Descriptive results of the validated questionnaire.
Likewise, of note in Factor 3 (participating) was the item referring to participation in surveys or games. However, the responses to this item had a high dispersion, which denoted a low degree of consensus among the participants on this question. Finally, in Factor 4 (Interacting), the item that stood out was on the subjects’ high frequency of the use of the “like” function.
4. Discussion and Conclusions
The questionnaire designed by the authors filled the need to obtain up-to-date information regarding the social network use patterns among university youth. This work provided an updated measurement instrument that could be used to understand the realities of social networking, as a step before the development of pedagogical practices that incorporate these technologies.
The analyses carried out indicated that the resulting questionnaire was robust and reliable. The content validity, assessed by a panel of expert judges, presented high scores and levels of agreement in terms of pertinence, relevance, and precision in the wording of the items. The comprehension validity included adequate values for SD, skewness, kurtosis, and corrected item-total correlation for the items in the final instrument. Similarly, the construct validity, examined by EFA, explained 66.523% of the variance, and the subsequent CFA yielded optimal values of CFI, GFI, RMSEA, and SRMR. Likewise, the reliability analysis of the final questionnaire revealed an overall Cronbach’s alpha of 0.864, as well as appropriate AVE values.
The procedure presented led to a questionnaire whose final version was comprised of four factors or dimensions (viewing, posting, participating, and interacting) spread across 13 items. These 13 items allowed information to be gathered on aspects such as the type of content that was searched for and posted, participation and collaboration with other users, and the ways users interacted within the social media setting.
It should be noted that the final version attained after the process of developing and validating the instrument did not contain items that referred to any specific social network, but rather students’ patterns of use within them. The elimination of items that made explicit mention of specific platforms reflected, in the authors’ view, a convergence in behaviors within social media regardless of the different nuances of each network. The authors concluded, therefore, that the distinctive and characteristic elements of each platform were of secondary importance in a new paradigm in which the type of use (viewing, posting, participating, or interacting) prevails over the name and brand image of the network itself.
These findings were in line with previous studies highlighting the volatile and fleeting nature of many social media platforms. Examples of this were the works by Matosas-López and Romero-Ania [29] and by Matosas-López, Romero-Ania and Romero-Luis [59], studies in which the authors addressed how certain networks disappeared and gave way to others. From the opposite perspective, the results of this research came into conflict with those of previous studies on the use of social networks, works that focused their analyses on specific platforms of a general nature such as WhatsApp [60] or platforms specialized in education such as Edmodo [61].
In view of the above, the authors underline that one of the main advances of this work was that it demystified the topic of what platform to use to put the focus on what to do regardless of whether it is a platform or another.
On the other hand, the overall descriptive results obtained through the final questionnaire confirmed many of the findings of previous studies. Factor 1 (viewing), in line with the study by Monge Benito and Olabarri Fernández [62], revealed the importance participants placed on viewing content on these networks. In addition, this factor confirmed the usefulness of these platforms as tools for searching for information, noted by Prendes Espinosa et al. [6].
Factor 2 (posting), consistent with the findings of Sánchez-Rodríguez et al. [18], emphasized the importance students placed on sharing content with their network. This factor also confirmed what Valerio Ureña and Serna Valdivia pointed out [63]: university students are always interested in updating their status on their profiles.
Likewise, Factor 3 (participating), in line with Abella García and Delgado Benito [64], corroborated the importance university students placed on these platforms as tools for discussion and information exchange. This factor also confirmed the findings of García-Ruiz et al. [17] and Doval-Avendaño, Domínguez Quintas, and Dans Álvarez [65] regarding the entertainment potential of these technologies.
Finally, Factor 4 (interacting) highlighted the use of the “like” function, confirming what was reported by García Galera, Fernández Muñoz and Del Hoyo Hurtado [66] in their work on cooperation and ways of interacting among young university students in the digital age.
In light of the above, the authors concluded that the developed questionnaire was valid and reliable for evaluating the use patterns of university youth on social networks at the present time. The instrument made it possible to obtain necessary information for the implementation of pedagogical practices supported by these platforms.
Author Contributions
Methodology, writing, review and editing and project administration, M.G.-G.; data curation, formal analysis, resources, and writing, original draft, L.M.-L.; funding acquisition, conceptualization, and supervision, J.R.-P. All authors equally contributed to this article. All authors read and agreed to the published version of the manuscript.
Funding
This research was funded by the ERASMUS + program financed by the European Union, Grant Number 2019-1-ES01-KA201-065104.
Conflicts of Interest
The authors declare no conflict of interest.
References
- INE. Encuesta Sobre Equipamiento y Uso de Tecnologías de Información y Comunicación en Los Hogares. TICH 2019; INE: Madrid, Spain, 2019. [Google Scholar]
- Gómez-Aguilar, M.; Roses-Campos, S.; Farias-Batlle, P. El uso académico de las redes sociales en universitarios. Comunicar 2012, 19, 131–138. [Google Scholar] [CrossRef]
- Bernal, C.; Angulo, F. Interacciones de los jóvenes andaluces en las redes sociales. Comunicar 2013, 20, 25–30. [Google Scholar]
- Castaño, C.; Maiz, I.; Palacio, G.; Villarroel, J.D. Prácticas educativas en entornos Web 2.0; Cabero, J., Ed.; Editorial Síntesis: Madrid, Spain, 2008; ISBN 9788497565714. [Google Scholar]
- Castañeda Quintero, L. Aprendizaje Con Redes Sociales: Tejidos Educativos Para Los Nuevos Entornos; Cabero-Almenara, J., Ed.; Editorial MAD: Sevilla, Spain, 2010; ISBN 978-84-676-3619-2. [Google Scholar]
- Prendes Espinosa, P.; Gutiérrez Porlán, I.; Castañeda Quintero, L. Perfiles de uso de redes sociales: Estudio descriptivo con alumnado de la Universidad de Murcia. Rev. Complut. Educ. 2015, 26, 175–195. [Google Scholar] [CrossRef]
- Prendes Espinosa, M.P. Nuevas Tecnologías y Educación; Pearson Educación: Madrid, Spain, 2004; ISBN 8420541621. [Google Scholar]
- Lévy, P. Inteligencia Colectiva Por Una Antropología Del Ciberespacio; Organización Panamericana de la Salud: Washington, DC, UA, 2004; ISBN 2707126934. [Google Scholar]
- Siemens, G. Connectivism: A Learning Theory for the Digital Age. Int. J. Instr. Technol. Distance Learn. 2014, 2, 1–9. [Google Scholar]
- Almansa, A.; Fonseca, O.; Castillo, A. Redes sociales y jóvenes. Uso de Facebook en la juventud colombiana y española. Comunicar 2013, 20, 127–135. [Google Scholar]
- Junco, R. The relationship between frequency of Facebook use, participation in Facebook activities, and student engagement. Comput. Educ. 2012, 58, 162–171. [Google Scholar] [CrossRef]
- McAndrew, F.T.; Jeong, H.S. Who does what on Facebook? Age, sex, and relationship status as predictors of Facebook use. Comput. Hum. Behav. 2012, 28, 2359–2365. [Google Scholar] [CrossRef]
- Backstrom, L.; Huttenlocher, D.; Kleinberg, J.; Lan, X. Group formation in large social networks: Membership, growth, and evolution. In Proceedings of 12th International Conference on Knowledge Discovery in Data Mining; ACM Press: New York, NY, USA, 2006; pp. 44–54. [Google Scholar]
- Liu, H.; Maes, P.; Davenport, G. Unraveling the Taste Fabric of Social Networks. Int. J. Semant. Web Inf. Syst. 2006, 2, 42–71. [Google Scholar] [CrossRef]
- Calvete, E.; Orue, I.; Estévez, A.; Villardón, L.; Padilla, P. Cyberbullying in adolescents: Modalities and aggressors’ profile. Comput. Hum. Behav. 2010, 26, 1128–1135. [Google Scholar] [CrossRef]
- McBride, D.L. Risks and benefits of social media for children and adolescents. J. Pediatr. Nurs. Nurs. Care Child. Fam. 2011, 26, 498–499. [Google Scholar] [CrossRef]
- García-Ruiz, R.; Tirado, R.; Hernando, Á. Redes sociales y estudiantes: motivos de uso y gratificaciones. Evidencias para el aprendizaje. Aula Abierta 2018, 47, 291–298. [Google Scholar] [CrossRef]
- Sánchez-Rodríguez, J.; Ruiz-Palmero, J.; Sánchez-Rivas, E. Uso problemático de las redes sociales en estudiantes universitarios. Rev. Complut. Educ. 2015, 159, 1130–2496. [Google Scholar] [CrossRef]
- Espuny Vidal, C.; González Martínez, J.; Lleixà Fortuño, M.; Gisbert Cervera, M. Actitudes y expectativas del uso educativo de las redes sociales en los alumnos universitarios. RUSC. Univ. Knowl. Soc. J. 2011, 8, 171–185. [Google Scholar]
- Gutiérrez Porlan, I.; Soto Pérez, F.J. Conectados: Una experiencia de uso de Facebook con estudiantes de Pedagogía. In Proceedings of the IV Jornadas Nacionales TIC y Educación y Y III Jornadas EXPERTIC. Los Retos De La Competencia Digital: El Cambio Metodológico; de Murcia, R., Consejería de Educación, F.E., Estadística, S.G.S., Eds.: Lorca, Spain, 2012. [Google Scholar]
- Santillán García, A.; Cornejo Marroquín, C.; Ausín Lomas, S. Las fan page de Facebook como medio de difusión de la enfermería basada en la evidencia. Enfermería Glob. 2012, 11. [Google Scholar] [CrossRef]
- Tuñez López, M.; Sixto García, J. Las redes sociales como entorno docente: Análisis del uso de Facebook en la docencia universitaria. Pixel-Bit. Rev. Medios Educ. 2012, 41, 77–92. [Google Scholar]
- Marín, V.I.; Tur, G. Student Teachers’ Attitude towards Twitter for Educational Aims. Open Prax. 2014, 6, 275–285. [Google Scholar] [CrossRef][Green Version]
- Cabero, J.; Marín, V. Posibilidades educativas de las redes sociales y el trabajo en grupo. Percepciones de los alumnos universitarios. Comunicar 2014, 21, 165–172. [Google Scholar]
- Serrat Antoli, N. Metodologías participativas y Facebook en el ámbito universitario. Innoeduca. Int. J. Technol. Educ. Innov. 2015, 1, 25. [Google Scholar] [CrossRef]
- Matosas-López, L.; Romero-Luis, J. Correlaciones entre redes sociales y recursos educativos digitales en estudiantes universitarios de Marketing en el EEES. In Contenidos audiovisuales, narrativas y alfabetización mediática; Sierra Sánchez, J., Ed.; McGraw Hill: Madrid, Spain, 2019; pp. 393–402. ISBN 978-84-486-1816-2. [Google Scholar]
- Santoveña-Casal, S.; Bernal-Bravo, C. Explorando la influencia del docente: Participación social en Twitter y percepción académica. Comunicar 2019, 27, 75–84. [Google Scholar] [CrossRef]
- Durán, M.; Guerra, J.M. Usos y tendencias adictivas de una muestra de estudiantes universitarios españoles a la red social Tuenti. An. Psicol. 2015, 31, 260–267. [Google Scholar]
- Matosas-López, L.; Romero-Ania, A. Preferencias de uso de redes sociales entre los estudiantes universitarios de ciencias sociales. In Proceedings of the XIX Congreso Internacional de Investigación Educativa: Investigación Comprometida para la Transformación Social; AIDIPE: Madrid, Spain, 2019; pp. 164–170. [Google Scholar]
- Folch, C.S.; Castellano, C.M. Los medios sociales como herramientas de acceso a la información en la enseñanza universitaria. Digit. Educ. Rev. 2017, 118–129. [Google Scholar]
- Matosas-López, L.; Bernal-Bravo, C.; Romero-Ania, A.; Palomero-Ilardia, I. Quality Control Systems in Higher Education Supported by the Use of Mobile Messaging Services. Sustainability 2019, 11, 6063. [Google Scholar] [CrossRef]
- Hsieh, M.Y. The Most Sustainable Niche Principles of Social Media Education in A Higher Education Contracting Era. Sustainability 2020, 12, 399. [Google Scholar] [CrossRef]
- Ruiz-Palmero, J.; Sánchez-Rivas, E.; Gómez-García, M.; Sánchez Vega, E. Future Teachers’ Smartphone Uses and Dependence. Educ. Sci. 2019, 9, 194. [Google Scholar] [CrossRef]
- García-Vera, V.; Roig-Vila, R.; García, P. Construcción de un instrumento para medir la utilidad percibida de las TIC usadas en la docencia por estudiantes de arquitectura técnica. Pixel-Bit. Rev. Medios Educ. 2016, 49, 121–135. [Google Scholar] [CrossRef]
- Sabariego Puig, M. El proceso de investigación. In Metodología De La Investigación Educativa; Alzina, R.B., Ed.; La Muralla: Madrid, Spain, 2004; pp. 128–163. ISBN 84-7133-748-7. [Google Scholar]
- Gargallo López, B.; Suárez Rodríguez, J.; Garfella Esteban, P.; Fernández March, A. El cuestionario CEMEDEPU. Un instrumento para la evaluación de la metodología docente y evaluativa de los profesores universitarios. Estud. Sobre Educ. 2011, 21, 9–40. [Google Scholar]
- Rivas-Rebaque, B.; Gértrudix-Barrio, F.; Britto, J.C.D.C. De La percepción del docente universitario ante el uso y valor de los datos abiertos. Educ. XX1 2019, 22, 141–163. [Google Scholar] [CrossRef]
- García-Jiménez, A.; López-de-Ayala, M.C.; Catalina-García, B. Hábitos de uso en Internet y en las redes sociales de los adolescentes españoles. Comunicar 2013, XXI, 1–9. [Google Scholar]
- Carretero-Dios, H.; Pérez, C. Normas para el desarrollo y revisión de estudios instrumentales. Int. J. Clin. Heal. Psychol. 2005, 5, 521–551. [Google Scholar]
- Reche Urbano, E.; Quintero Ordoñez, B.; Vilches Vilela, M.J. Influencia mediática en la vida de los menores. Proceso de construcción y validación de un instrumento. EDMETIC 2017, 6, 359–381. [Google Scholar] [CrossRef]
- Escobar-Pérez, J.; Cuervo-Martínez, Á. Validez de contenido y juicio de expertos: Una aproximación a su utilización. Av. Med. 2008, 6, 27–36. [Google Scholar]
- Santos Rego, M.A.; Sotelino Losada, A.; Jover Olmeda, G.; Naval, C.; Alvarez Castillo, J.L.; Vazquez Verdera, V. Diseño y validación de un cuestionario sobre práctica docente y actitud del profesorado universitario hacia la innovación. Educ. XX1 2017, 20, 39–71. [Google Scholar] [CrossRef]
- Lacave Rodero, C.; Molina Díaz, A.I.; Fernández Guerrero, M.M.; Redondo Duque, M.A. Análisis de la fiabilidad y validez de un cuestionario docente. Rev. Investig. Docencia Univ. Inf. 2016, 9, 2. [Google Scholar]
- Luna Serrano, E. Validación de constructo de un cuestionario de evaluación de la competencia docente. Rev. Electron. Investig. Educ. 2015, 17, 13–27. [Google Scholar]
- Martínez Clares, P.; Pérez Cusó, F.J.; González Morga, N. ¿Qué necesita el alumnado de la tutoría universitaria? Validación de un instrumento de medida a través de un análisis multivariante. Educ. XX1 2019, 22, 189–213. [Google Scholar] [CrossRef]
- Bentler, P.M. EQS, Structural Equations Program Manual; Multivariate Statistical Software: CA, USA, 2006. [Google Scholar]
- Timmerman, M.E.; Lorenzo-Seva, U. Dimensionality assessment of ordered polytomous items with parallel analysis. Psychol. Methods 2011, 16, 209–220. [Google Scholar] [CrossRef]
- Calderón, A.; Arias-Estero, J.L.; Meroño, L.; Méndez-Giménez, A. Diseño y Validación del Cuestionario de Percepción del Profesorado de Educación Primaria sobre la Inclusión de las Competencias Básicas (#ICOMpri3). Estud. Sobre Educ. 2018, 34, 67–97. [Google Scholar]
- Bulger, S.M.; Housner, L.D. Modified Delphi Investigation of Exercise Science in Physical Education Teacher Education. J. Teach. Phys. Educ. 2007, 26, 57–80. [Google Scholar] [CrossRef]
- Lloret-Segura, S.; Ferreres-Traver, A.; Hernández-Baeza, I.; Tomás-Marco, A. El análisis factorial exploratorio de los ítems: una guía práctica, revisada y actualizada. An. Psicol. 2014, 30, 1151–1169. [Google Scholar] [CrossRef]
- Kaiser, H.F. An index of factorial simplicity. Psychometrika 1974, 39, 31–36. [Google Scholar] [CrossRef]
- Sharon, A.T.; Bartlett, C.J. Effect of instructional conditions in producing leniency on two types of rating scales. Pers. Psychol. 1969, 22, 251–263. [Google Scholar] [CrossRef]
- Tanaka, J.S.; Huba, G.J. A fit index for covariance structure models under arbitrary GLS estimation. Br. J. Math. Stat. Psychol. 1985, 38, 197–201. [Google Scholar] [CrossRef]
- Bentler, P.M. Comparative fit indexes in structural models. Psychol. Bull. 1990, 107, 238–246. [Google Scholar] [CrossRef] [PubMed]
- Steiger, J.H. Structural Model Evaluation and Modification: An Interval Estimation Approach. Multivar. Behav. Res. 1990, 25, 173–180. [Google Scholar] [CrossRef] [PubMed]
- Hu, L.; Bentler, P.M. Cutoff criteria for fit indexes in covariance structure analysis: Conventional criteria versus new alternatives. Struct. Equ. Model. A Multidiscip. J. 1999, 6, 1–55. [Google Scholar] [CrossRef]
- Cea D’Ancona, M.A. Métodos De Encuesta: Teoría Y Práctica, Errores Y Mejora; Síntesis: Madrid, Spain, 2004; ISBN 9788497562508. [Google Scholar]
- Kerlinger, F.N.; Lee, H.B. Investigación Del Comportamiento. Métodos De Investigación En Ciencias Sociales; 4a.; McGraw-Hill: México D.F., Mexico, 2008; ISBN 9789701030707. [Google Scholar]
- Matosas-López, L.; Romero-Ania, A.; Romero-Luis, J. Similarities and differences in the use patterns of social networks by university students: Comparative Spain—Azerbaijan. In Proceedings of the Congreso Universitario Internacional Sobre La Comunicación En La Profesión Y En La Universidad De Hoy: Contenidos, Investigación, Innovación y Docencia (CUICIID); Padilla Castillo, G., Ed.; Fórum XXI: Madrid, Spain, 2019; pp. 754–757. [Google Scholar]
- Vílchez Vilela, M.J.; Reche Urbano, E.; Marín Díaz, V. Diseño y validación de un cuestionario para valorar Whatsapp en la regulación de trabajo en grupo. Rev. Científica Electrónica Educ. Comun. Soc. Conoc. 2015, 15, 245–272. [Google Scholar]
- Alonso-García, S.; Morte-Toboso, E.; Almansa-Núñez, S. Redes sociales aplicadas a la educación: EDMODO. EDMETIC Rev. Educ. Mediática TIC 2014, 4, 88–111. [Google Scholar]
- Monge Benito, S.; Olabarri Fernández, M.E. Los alumnos de la UPV/EHU frente a Tuenti y Facebook: Usos y percepciones. Rev. Lat. Comun. Soc. 2011, 66. [Google Scholar]
- Valerio Ureña, G.; Serna Valdivia, R. Redes sociales y bienestar psicológico del estudiante universitario. Rev. Electrónica Investig. Educ. 2018, 20, 19. [Google Scholar] [CrossRef]
- Abella García, V.; Delgado Benito, V. Aprender a usar Twitter y usar Twitter para aprender. Profr. Rev. Currículum Form. Profr. 2015, 19, 364–378. [Google Scholar]
- Doval-Avendaño, M.; Domínguez Quintas, S.; Dans Álvarez, I. El uso ritual de las pantallas entre jóvenes universitarios/as. Prism. Soc. 2018, 21, 480–499. [Google Scholar]
- García Galera, M.D.C.; Fernández Muñoz, C.; Del Hoyo Hurtado, M. Ciudadanía informada, ciudadanía participativa. la movilización de los jóvenes en el entorno digital. Prism. Soc. 2017, 18, 124–143. [Google Scholar]
© 2020 by the authors. Licensee MDPI, Basel, Switzerland. This article is an open access article distributed under the terms and conditions of the Creative Commons Attribution (CC BY) license (http://creativecommons.org/licenses/by/4.0/).

