A System Dynamics Model of Supply-Side Issues Influencing Beef Consumption in Nigeria
Abstract
1. Introduction
2. Literature Review
2.1. Protein Consumption in Nigeria
2.2. Modeling Livestock Sector Dynamics
2.3. Challenges Facing the Nigerian Beef Industry
2.4. Point of Departure
3. Materials and Methods
4. Results and Discussion
4.1. Causal Loop Diagram
4.2. Stock Flow (SF) Analysis
4.2.1. Pasture and Feed Module
4.2.2. Cattle Module
4.2.3. Beef Market Module
4.3. Policy Tests, Analyses and Recommendations
- Policy 1—Improved Feed Growth: improvement in quantity and quality of feed available as a result of higher feed growth rate through the use of practices such as organic manure produced from cattle feces and improved pasture management. Within this policy simulation, we assume that feed growth rate per hectare is increased to a feasible value of 1.3 tons/hectare/year from its current level of 1.05 tons/hectare/year through a pasture improvement plan. This plan could include cultivation of high yielding crops that are easily convertible to nutrients when grazed upon or pasture rotation to reduce the depletion of soil nutrients to promote pasture growth.
- Policy 2—Lower Slaughter Rate: encouraging a larger cows’ stock via the reduction of the slaughter rate for a limited period. Within this policy simulation, slaughter rate reduction was assumed to last for three years (2019–2022). In this policy case, herders will reduce the number of cattle that are sold to the market for slaughter. A sensitivity analysis was carried out on the slaughter rate reduction fraction (the percentage by which the rate of slaughter will be reduced) to determine the value that gives the highest increase in cattle. This analysis yielded a slaughter rate reduction fraction of 0.51 or 51%.
- Policy 3—Higher Carcass Yield: increasing carcass yield via a carcass yield improvement program (parameterized as carcass yield slope), whereby higher-producing beef cattle are bred. A carcass yield slope value of 0.2 would double the carcass yield by 2030 following a constant increase. If this were accomplished, the new carcass yield values in 2030 would be equivalent to the current carcass yield value of developed countries like Germany and the United States of America (see the FAO data). This would be attainable if similar livestock technology and management practices could be used in Nigeria. Such an approach would necessarily require thoughtful consideration of the unique differences between developed countries and Nigeria regarding breed adaptability, feed requirement, utilization and conversion issues, as well as grazing, land and water management, and financial constraints.
- Policy 4—Combined Policies: combined simulation of Policies 1, 2, and 3 to observe desirable and undesirable synergistic effects on the BCPC.
4.4. Limitations and Future Research
5. Conclusions
Author Contributions
Funding
Acknowledgments
Conflicts of Interest
Appendix A

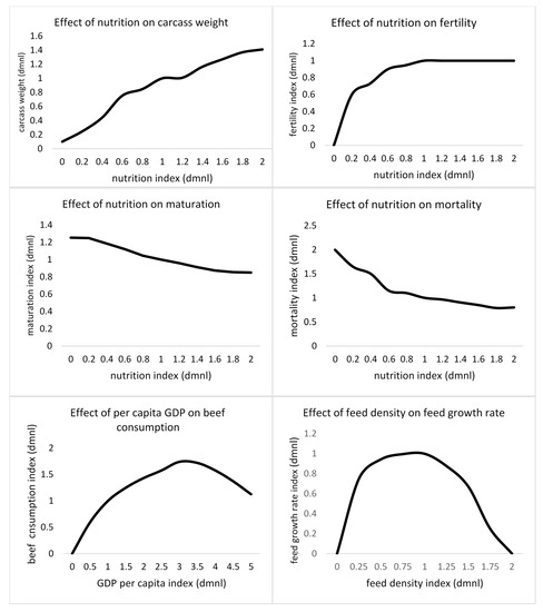
- The indexes measure the change of the variable over time which makes the unit of each axis dimensionless. Indexes adjust values so that they are normalized relative to a chosen given starting point in time (here 1991) which is necessary to enable comparison of data. In Figure A1, an index value of 1 shows no change in trend of the variable over time, while values above or below 1 show an increasing or decreasing trend, respectively. Using indexes instead of absolute numbers is considered good modeling practice as it tends to prevent errors and makes reasoning easier (e.g., if “x doubles, how will y react” is graphically much easier if x = 1 than if it is an absolute number). For these reasons, some modeling software give a warning if dimensioned arguments are used in graphical functions.
- Effect of nutrition on carcass yield: Lower nutrition index (NI, the ratio of feed density to required feed density; the aim of the NI is to provide a statistic for which the nutritional deficit in cattle can be measured) causes lower carcass yield. As such, at the extreme where NI = 0 carcass yield will drop by 90%, and when NI < 1 carcass yield will not be influenced by nutrition.
- Effect of nutrition on fertility rate: A lower nutrition index leads to lower fertility rates while a NI of 1 and above shows a normal fertility rate. At the point where NI is zero, we assumed that the effect of nutrition on fertility rate will be zero, and then at points where NI is above 1 the fertility rate effects remain 1, even though more feed does not necessarily lead to higher fertility rate in cow.
- Effect of nutrition on maturation rate: A lower nutrition index leads to a higher maturation time. For instance, at one end point where NI is zero, we anticipated a 25% rise in maturation time; where NI = 1 we expected cattle to mature at their normal rate; and when NI > 1 cattle will take less time to mature, but not less than 85% of the normal maturation rate.
- Effect of nutrition on mortality rate: A nutrition index (NI, the ratio of feed density to required feed density) <1 leads to increased mortality in cattle. For instance, at one end point where nutrition index = 0, mortality rate is expected to rise to peak level, which is twice the mortality rate at a nutrition index = 1; and at a nutrition index ≥ 1 (above the required feed density), mortality rate reduces, but not more than 20% even at a NI peak of 2.
- Effect of per capita GDP on beef consumption per capita: a low GDP per capita causes low beef consumption per capita (BCPC), and, when the GDP per capita index gets to a threshold (3, 1.7), BCPC begins to decline as higher incomes beyond such level lead to a shift from beef to non-beef protein sources.
- The effect of feed density on feed growth rate graph follows an inverted-U shape. At one extreme, where the feed density index (ratio of feed density to maximum feed density) is zero, the effect is zero, and as the feed density index rises the effect rises until the index becomes 1 (its peak point). Beyond 1, the feed growth begins to decline as there is less space and nutrients for plants to thrive upon.
- Fixed points (1, 1) for all graphs indicate that if the nutrition index remains same, the effect functions will not be active.
- The graphical functions were drawn based on qualitative a priori expectations and calibration and not from historic data, as the availability or accessibility or the required data was lacking. For instance, after several enquiries, we were unable to locally obtain historic data showing the relationship between the influence of nutrition on maturation, mortality and fatality in cows. The same was true for the relationship between feed density and feed growth rate. However, we made use of historic data for GDP per capita and beef consumption per capita as a guide to plot the effect of per capita GDP on beef consumption graph.
Appendix B. Model Variable Description
| Variable Name | Variable Type * | Value | Equation (Where Relevant) | Unit | Source |
|---|---|---|---|---|---|
| Beef for consumption | C | E | cattle.sales_rate * carcass_yield | Tons/year | |
| Carcass yield | C | E | carcass_yield_increase_factor * normal_yield_per_carcass * effect_of_nutrition_on_carcass_yield | Tons/head | FAO http://www.fao.org/faostat/en/#data |
| Carcass yield increase factor | C | E | 1 + RAMP(carcass_yield_slope, 2019) | Dmnl (Dimensionless) | |
| Carcass yield slope | C | 0.2 | Dmnl/year | Policy | |
| Consumption per capita | C | E | beef_for_consumption/population | Tons/(People * Years) | |
| Consumption per capita (kg) | C | E | consumption_per_capita * weight_conversion | Kilograms/(People * Years) | FAO http://www.fao.org/faostat/en/#data/FBS |
| Demanded beef sales rate | C | E | population * demanded_per_capita_consumption | Tons/year | |
| Demanded per capita consumption | C | E | initial_per_capita_consumption * effect_of_per_capita_GDP_on_per_capita_consumption | Tons/person/year | |
| Demanded sales rate (head) | C | E | demanded_beef_sales_rate/normal_yield_per_carcass | Head/years | |
| Effect of nutrition on carcass yield | C | G | Dmnl | Authors’ judgement | |
| Effect of per capita GDP on per capita consumption | C | G | Dmnl | Authors’ judgement | |
| Initial per capita consumption | C | 0.002145 | Tons/person/year | Derived from FAO Dataset http://www.fao.org/faostat/en/#data/FBS | |
| Normal yield per carcass | C | 0.1427 | Tons/head | Average value of data derived from FAO Dataset http://www.fao.org/faostat/en/#data | |
| Per capita GDP index | C | E | real_per_capita_GDP/INIT (real_per_capita_GDP) | Dmnl | |
| Population | C | G | Person | https://datacatalog.worldbank.org/dataset/population-estimates-and-projections | |
| Real per capita GDP | C | G | USD/person | https://datacatalog.worldbank.org/dataset/world-development-indicators | |
| Weight conversion | C | 1000 | Kg/tons | a priori | |
| Calves | S | E | calves(t − dt) + (reproduction_rate − maturation_rate − calves_dying) * dt | Head | |
| Cows | S | E | cows(t − dt) + (maturation_rate − slaughter_rate − cows_dying) * dt | Head | http://www.fao.org/faostat/en/#data/EK |
| S for sales | S | E | S_for_sales(t − dt) + (slaughter_rate + imports − sales_rate) * dt | Head | |
| Calves dying | F | E | calves * average_mortality_rate * effect_of_nutrition_on_mortality {UNIF} | Head/year | |
| Cows dying | F | E | cows * average_mortality_rate * effect_of_nutrition_on_mortality {UNIF} | Head/year | |
| Imports | F | G | Head/year | https://stats.oecd.org/Index.aspx?DataSetCode=HIGH_AGLINK_2018# | |
| Maturation rate | F | E | DELAYN(reproduction_rate − calves_dying, maturation_time, maturation_delay_order, reproduction_rate − calves_dying) {UNIF} | Head/year | |
| Reproduction rate | F | E | DELAYN(breeding_S * fertility_rate * effect_of_nutrition_on_fertility, gestation_period, reproduction_delay_order, breeding_S * fertility_rate * effect_of_nutrition_on_fertility) {UNIF} | Head/year | |
| Sales rate | F | E | DELAYN(slaughter_rate + imports, beef_storage_time, beef_storage_time_delay_order, slaughter_rate + imports) {UNIF} | Head/year | |
| Slaughter rate | F | E | (MIN ((cows/time_to_slaughter) − cows_dying, Beef_Market.”demanded_sales_rate_(head)”)) * IF(TIME > policy_start_time AND(TIME < policy_stop_time)) THEN (1 − slaughter_rate_reduction_fraction) ELSE 1 {UNIF} | Head/year | https://stats.oecd.org/Index.aspx?DataSetCode=HIGH_AGLINK_2018# |
| Average maturation time | C | 1.7 | Years | Various literature review | |
| Average mortality rate | C | 0.01 | Dmnl/year | Authors’ judgement | |
| Beef storage time | C | 0.1667 | Year | During calibration process | |
| Beef storage time delay order | C | 5.3 | Dmnl | During calibration process | |
| Breeding proportion | C | 0.2335 | Dmnl | During calibration process | |
| Breeding S | C | E | cows * breeding_proportion | Head | |
| Effect of nutrition on fertility | C | G | Dmnl | Authors’ judgement | |
| Effect of nutrition on maturation | C | G | Dmnl | Authors’ judgement | |
| Effect of nutrition on mortality | C | G | Dmnl | Authors’ judgement | |
| Fertility rate | C | 1 | Dmnl/year | Scholarly articles | |
| Gestation period | C | 0.789 | Year | Scholarly articles | |
| Import future | C | G | Head/year | https://stats.oecd.org/Index.aspx?DataSetCode=HIGH_AGLINK_2018# (2019–2030) | |
| Import past | C | G | Head/year | https://stats.oecd.org/Index.aspx?DataSetCode=HIGH_AGLINK_2018# (1990–2018) | |
| Initial calves | C | 1.0 × 106 | Head | During calibration process | |
| Initial cows | C | 6.97 × 106 | Head | http://www.fao.org/faostat/en/#data/EK (1990) | |
| Initial S for sales | C | 1.39 × 107 | Head | http://www.fao.org/faostat/en/#data/EK (1990) | |
| Maturation delay order | C | 3.83 | Dmnl | During calibration process | |
| Maturation time | C | E | effect_of_nutrition_on_maturation * average_maturation_time | Year | |
| Policy start time | C | 2019 | Year | ||
| Policy stop time | C | 2022 | Year | ||
| Present time | C | 2018 | Year | ||
| Reproduction delay order | C | 1.99 | Dmnl | During calibration process | |
| Slaughter rate reduction fraction | C | 0–1 | Dmnl | Policy | |
| Time to slaughter | C | 4.65 | Year | During calibration process | |
| Feed | S | E | feed(t − dt) + (feed_growth_rate − feed_utilization_rate) * dt | Tons | |
| Pasture | S | E | pasture(t − dt) + (pasture_increase_rate − pasture_decrease_rate) * dt | Hectares | http://faostat3.fao.org/download/R/RL/F |
| Potential pasture | S | E | potential_pasture(t − dt) + (−pasture_increase_rate) * dt | Hectares | |
| Feed growth rate | F | E | pasture * feed_growth_rate_per_hectare {UNIF} | Tons/year | |
| Feed utilization rate | F | E | Cattle.cows * feed_consumed_per_cow {UNIF} | Tons/year | |
| Pasture decrease rate | F | E | pasture/pasture_decommission_time {UNIF} | Hectare/year | |
| Pasture increase rate | F | E | MIN (extra_pasture_needed/pasture_conversion_time, potential_pasture/pasture_conversion_time) {UNIF} | Hectare/year | |
| Desired liveS density | C | 8.017 | Head/hectare | During calibration process | |
| Extra pasture needed | C | E | Cattle.cows/(desired_liveS_density—liveS_density) | Hectare | |
| Feed consumed per cow | C | 5.529 | Tons/head/year | During calibration process | |
| Feed density | C | E | feed/pasture | Tons/hectare | |
| Feed growth rate per hectare | C | 0.6779 | Tons/hectare/year | During calibration process | |
| Initial feed | C | 6.7 × 108 | Tons | During calibration process | |
| Initial pasture | C | 6.15 × 107 | Hectares | http://faostat3.fao.org/download/R/RL/F | |
| Initial potential pasture | C | 8.0 × 108 | Hectares | http://faostat3.fao.org/download/R/RL/F | |
| LiveS density | C | E | Cattle.cows/pasture | Head/hectares | http://www.fao.org/faostat/en/#data/EK |
| Nutrition index | C | E | feed_density/starvation_threshold | Dmnl | |
| Pasture conversion time | C | 0.059 | Year | During calibration process | |
| Pasture decommission time | C | 3.992 | Year | During calibration process | |
| Required feed density | C | 14.5 | Tons/hectare | http://ecocrop.fao.org/ecocrop/srv/en/home |
References
- Scrimshaw, N.S.; Béhar, M. Protein Malnutrition in Young Children. Science 1961, 133, 2039–2047. [Google Scholar] [CrossRef]
- Müller, O.; Krawinkel, M. Malnutrition and health in developing countries. Can. Med. Assoc. J. 2005, 173, 279–286. [Google Scholar] [CrossRef] [PubMed]
- Batool, R.; Butt, M.S.; Sultan, M.T.; Saeed, F.; Naz, R. Protein–energy malnutrition: a risk factor for various ailments. Crit. Rev. Food Sci. Nutr. 2015, 55, 242–253. [Google Scholar] [CrossRef] [PubMed]
- Semba, R.D. The Rise and Fall of Protein Malnutrition in Global Health. Ann. Nutr. Metab. 2016, 69, 79–88. [Google Scholar] [CrossRef] [PubMed]
- Ittner, N.R.; Bond, T.E.; Kelly, C.F. Methods of increasing beef production in hot climates. Bull. Calif. Agric. Exp. Stn. 1958, B0761, 1–90. [Google Scholar]
- Euclides Filho, K. Supply chain approach to sustainable beef production from a Brazilian perspective. Livest. Prod. Sci. 2004, 90, 53–61. [Google Scholar] [CrossRef]
- McAlpine, C.A.; Etter, A.; Fearnside, P.M.; Seabrook, L.; Laurance, W.F. Increasing world consumption of beef as a driver of regional and global change: A call for policy action based on evidence from Queensland (Australia), Colombia and Brazil. Glob. Environ. Chang. 2009, 19, 21–33. [Google Scholar] [CrossRef]
- Martha, G.B.; Alves, E.; Contini, E. Land-saving approaches and beef production growth in Brazil. Agric. Syst. 2012, 110, 173–177. [Google Scholar] [CrossRef]
- Recanati, F.; Allievi, F.; Scaccabarozzi, G.; Espinosa, T.; Dotelli, G.; Saini, M. Global Meat Consumption Trends and Local Deforestation in Madre de Dios: Assessing Land Use Changes and other Environmental Impacts. Procedia Eng. 2015, 118, 630–638. [Google Scholar] [CrossRef]
- Herrero, M.; Thornton, P.K. Livestock and global change: emerging issues for sustainable food systems. Proc. Natl. Acad. Sci. USA 2013, 110, 20878–20881. [Google Scholar] [CrossRef]
- Nardone, A.; Ronchi, B.; Lacetera, N.; Ranieri, M.S.; Bernabucci, U. Effects of climate changes on animal production and sustainability of livestock systems. Livest. Sci. 2010, 130, 57–69. [Google Scholar] [CrossRef]
- McMichael, A.J.; Butler, A.J. Environmentally Sustainable and Equitable Meat Consumption in a Climate Change World, Chapter 11. In Meat Crisis: Developing More Sustainable Production and Consumption; D’Silva, J., Webster, J., Eds.; Routledge: Oxfordshire, UK, 2010. [Google Scholar]
- Smith, P.; Gregory, P.J. Climate change and sustainable food production. Proc. Nutr. Soc. 2013, 72, 21–28. [Google Scholar] [CrossRef] [PubMed]
- Steinfeld, H.; Gerber, P. Livestock production and the global environment: Consume less or produce better? Proc. Natl. Acad. Sci. USA 2010, 107, 18237–18238. [Google Scholar] [CrossRef]
- FAOSTAT. Available online: http://www.fao.org/faostat/en/#data (accessed on 5 March 2020).
- Sanders, J.O.; Cartwright, T.C. A general cattle production systems model. I: Structure of the model. Agric. Syst. 1979, 4, 217–227. [Google Scholar] [CrossRef]
- Cederberg, C.; Stadig, M. System expansion and allocation in life cycle assessment of milk and beef production. Int. J. LCA 2003, 8, 350–356. [Google Scholar] [CrossRef]
- Seré, C.; van der Zijpp, A.; Persley, G.; Rege, E. Dynamics of livestock production systems, drivers of change and prospects for animal genetic resources. Anim. Genet. Resour./Resour. génétiques Anim./Recur. genéticos Anim. 2008, 42, 3–24. [Google Scholar] [CrossRef]
- Tedeschi, L.O.; Nicholson, C.F.; Rich, E. Using System Dynamics modelling approach to develop management tools for animal production with emphasis on small ruminants. Small Rumin. Res. 2011, 98, 102–110. [Google Scholar] [CrossRef]
- Sterman, J.D. Business Dynamics: Systems Thinking and Modeling for a Complex World; Irwin/McGraw-Hill: New York, NY, USA, 2000. [Google Scholar]
- FAO Human Energy Requirements. Report of a Joint FAO/WHO/UNU Expert Consultation. World Health Organ. Tech. Rep. Ser. 2004, 1, 35–50. [Google Scholar]
- Food and Agriculture Organization Corporate Statistical Database (FAOSTAT). Statistical Database; Food and Agriculture Organization of the United Nations: Rome, Italy, 2013. [Google Scholar]
- Oloyede, H. All for the love of nutrients. In The Seventy Eight Inaugural Lecture, Library and Publication Committee; University of Ilorin: Ilorin, Nigeria, 2005. [Google Scholar]
- Von Braun, J. The World Food Situation: An Overview; IFPRI Policy Brief: Washington, DC, USA, 2005. [Google Scholar]
- Ajayi, A.; Chukwu, M. Soybean Utilisation Among Households in Nslia Local Government Area of Enugu State: Implications for the’Women-in-Agriculture’Extension Programme. In Department of Agricultural Extension; University of Nigeria: Nsukka, Nigeria, 2008; p. 1118-0021. [Google Scholar]
- Adetunji, M.; Adepoju, A. Evaluation of households protein consumption pattern in offrire local government area of Oyo State. Int. J. Agric. Econ. Rural. Dev. 2011, 4, 72–82. [Google Scholar]
- Garner, T.I. Consumer expenditures and inequality: an analysis based on decomposition of the Gini coefficient. Rev. Econ. Stat. 1993, 75, 134–138. [Google Scholar] [CrossRef]
- Farrow, A.; Larrea, C.; Hyman, G.; Lema, G. Exploring the spatial variation of food poverty in Ecuador. Food Policy 2005, 30, 510–531. [Google Scholar] [CrossRef]
- Nasurudeen, P.; Kuruvila, A.; Sendhil, R.; Chandresekar, V. The dynamics and inequality of nutrient consumption in India. Indian J. Agric. Econ. 2006, 61, 362–373. [Google Scholar]
- Cirera, X.; Masset, E. Income distribution trends and future food demand. Philos. Trans. R. Soc. B Biol. Sci. 2010, 365, 2821–2834. [Google Scholar] [CrossRef] [PubMed]
- FAO and GDP. Climate Change and the Global Dairy Cattle Sector—The Role of the Dairy Sector in Low-Carbon Future; FAO: Rome, Italy, 2018; p. 36. [Google Scholar]
- Parsons, D.; Nicholson, C.F.; Blake, R.W.; Ketterings, Q.M.; Ramírez-Aviles, L.; Fox, D.G.; Tedeschi, L.O.; Cherney, J.H. Development and evaluation of an integrated simulation model for assessing smallholder crop–livestock production in Yucatán, Mexico. Agric. Syst. 2011, 104, 1–12. [Google Scholar] [CrossRef]
- Stephens, E.C.; Nicholson, C.F.; Brown, D.R.; Parsons, D.; Barrett, C.B.; Lehmann, J.; Mbugua, D.; Ngoze, S.; Pell, A.N.; Riha, S.J. Modeling the impact of natural resource-based poverty traps on food security in Kenya: The Crops, Livestock and Soils in Smallholder Economic Systems (CLASSES) model. Food Sec. 2012, 4, 423–439. [Google Scholar] [CrossRef]
- McRoberts, K.C.; Nicholson, C.F.; Blake, R.W.; Tucker, T.W.; Padilla, G.D. Group Model Building to Assess Rural Dairy Cooperative Feasibility in South-Central Mexico. Int. Food Agribus. Manag. Rev. 2013, 16, 55. [Google Scholar]
- Walters, J.P.; Archer, D.W.; Sassenrath, G.F.; Hendrickson, J.R.; Hanson, J.D.; Halloran, J.M.; Vadas, P.; Alarcon, V.J. Exploring agricultural production systems and their fundamental components with system dynamics modelling. Ecol. Model. 2016, 333, 51–65. [Google Scholar] [CrossRef]
- Kahn, H.E.; Lehrer, A.R. A dynamic model for the simulation of cattle herd production systems: Part 3—Reproductive performance of beef cows. Agric. Syst. 1984, 13, 143–159. [Google Scholar] [CrossRef]
- Neto, R.d.C.S.; Berchin, I.I.; Magtoto, M.; Berchin, S.; Xavier, W.G.; Guerra, J.B.S.O.d.A. An integrative approach for the water-energy-food nexus in beef cattle production: A simulation of the proposed model to Brazil. J. Clean. Prod. 2018, 204, 1108–1123. [Google Scholar] [CrossRef]
- Li, M.; Fu, Q.; Singh, V.P.; Ji, Y.; Liu, D.; Zhang, C.; Li, T. An optimal modelling approach for managing agricultural water-energy-food nexus under uncertainty. Sci. Total. Environ. 2019, 651, 1416–1434. [Google Scholar] [CrossRef]
- Pang, H.; Makarechian, M.; Basarab, J.; Berg, R. Structure of a dynamic simulation model for beef cattle production systems. Can. J. Anim. Sci. 1999, 79, 409–417. [Google Scholar] [CrossRef]
- Turner, B.L.; Menendez, H.M.; Gates, R.; Tedeschi, L.O.; Atzori, A.S. System Dynamics Modeling for Agricultural and Natural Resource Management Issues: Review of Some Past Cases and Forecasting Future Roles. Resources 2016, 5, 40. [Google Scholar] [CrossRef]
- Ash, A.; Hunt, L.; McDonald, C.; Scanlan, J.; Bell, L.; Cowley, R.; Watson, I.; McIvor, J.; MacLeod, N. Boosting the productivity and profitability of northern Australian beef enterprises: Exploring innovation options using simulation modelling and systems analysis. Agric. Syst. 2015, 139, 50–65. [Google Scholar] [CrossRef]
- Guimarães, V.P.; Tedeschi, L.O.; Rodrigues, M.T. Development of a mathematical model to study the impacts of production and management policies on the herd dynamics and profitability of dairy goats. Agric. Syst. 2009, 101, 186–196. [Google Scholar] [CrossRef]
- Gebre, K.T.; Wurzinger, M.; Gizaw, S.; Haile, A.; Rischkowsky, B.; Sölkner, J. Effect of genetic improvement of body weight on herd dynamics and profitability of Ethiopian meat sheep: A dynamic simulation model. Small Rumin. Res. 2014, 117, 15–24. [Google Scholar] [CrossRef]
- Babatunde, R.O.; Qaim, M. Impact of off-farm income on food security and nutrition in Nigeria. Food Policy 2010, 35, 303–311. [Google Scholar] [CrossRef]
- Agboola, M.O.; Balcilar, M. Impact of food security on urban poverty: a case study of Lagos State, Nigeria. Procedia-Soc. Behav. Sci. 2012, 62, 1225–1229. [Google Scholar] [CrossRef]
- ‘Lagos consumes N1.6bn Worth of Cattle Daily’–Punch Newspapers. Available online: https://punchng.com/lagos-consumes-n1-6bn-worth-cattle-daily/ (accessed on 5 March 2020).
- Mshelbwala, G. National Livestock Policy Focal Point Presentation–Nigeria. In Proceedings of the Side-Meeting of NLPFPS on VET-GOV Programme Engagement/Targetting and Capacity Building Facilitation. Abuja, Nigeria. Available online: http://www.au-ibar.org/component/jdownloads/finish/67-vet-gov-presentations/1427-nigeria-national-livestock-policy-focal-point-presentation (accessed on 15 February 2020).
- Olukunle, O.T. Challenges and prospects of agriculture in Nigeria: the way forward. J. Econ. Sustain. Dev. [Internet] 2013, 4, 37–45. [Google Scholar]
- Kamuanga, M.J.; Somda, J.; Sanon, Y.; Kagoné, H. Livestock and Regional Market in the Sahel and West Africa: Potentials and Challenges; Sahel and West Africa Club/OECD: Paris, France, 2008. [Google Scholar]
- Suleiman, A.; Jackson, E.L.; Rushton, J. Challenges of pastoral cattle production in a sub-humid zone of Nigeria. Trop. Anim. Health Prod. 2015, 47, 1177–1185. [Google Scholar] [CrossRef]
- Akinyemi, T.E. Climate Change Adaptation and Conflict Prevention: Innovation and Sustainable Livestock Production in Nigeria and South Africa. In Nigeria-South Africa Relations and Regional Hegemonic Competence; Springer: Berlin, Germany, 2019; pp. 87–108. [Google Scholar]
- Olabisi, H.A.; Rasheed, A.S. Evaluation of Challenges Facing Small Ruminants Production in Oyo Metropolis, Southern Guinea Savanna Environment of Nigeria. Int. J. Agric. For. Fish. 2017, 5, 34. [Google Scholar]
- OECD Data Live Dataset. Available online: https://stats.oecd.org/Index.aspx?DataSetCode=DP_LIVE (accessed on 7 March 2020).
- Spector, J.M.; Christensen, D.L.; Sioutine, A.V.; McCormack, D. Models and simulations for learning in complex domains: using causal loop diagrams for assessment and evaluation. Comput. Hum. Behav. 2001, 17, 517–545. [Google Scholar] [CrossRef]
- Richardson, G.P.; Black, L.J.; Deegan, M.; Ghaffarzadegan, N.; Greer, D.; Kim, H.; Luna-Reyes, L.F.; MacDonald, R.; Rich, E.; Stave, K.A.; et al. Reflections on peer mentoring for ongoing professional development in system dynamics. Syst. Dyn. Rev. 2015, 31, 173–181. [Google Scholar] [CrossRef][Green Version]
- Free Data, Statistics, Analysis, Visualization & Sharing-Knoema.Com. Available online: https://knoema.com// (accessed on 7 March 2020).
- Refugees, U.N.H.C. for Refworld | Transforming Our World: The 2030 Agenda for Sustainable Development. Available online: https://www.refworld.org/docid/57b6e3e44.html (accessed on 25 March 2020).
- Homer, J.B. Partial-model testing as a validation tool for system dynamics (1983). Syst. Dyn. Rev. 2012, 28, 281–294. [Google Scholar] [CrossRef]
- Oliva, R. Model calibration as a testing strategy for system dynamics models. Eur. J. Oper. Res. 2003, 151, 552–568. [Google Scholar] [CrossRef]
- Architect, S. Isee Systems. Available online: https://www.iseesystems.com/store/products/stella-architect.aspx (accessed on 2 August 2019).









© 2020 by the authors. Licensee MDPI, Basel, Switzerland. This article is an open access article distributed under the terms and conditions of the Creative Commons Attribution (CC BY) license (http://creativecommons.org/licenses/by/4.0/).
Share and Cite
Odoemena, K.G.; Walters, J.P.; Kleemann, H.M. A System Dynamics Model of Supply-Side Issues Influencing Beef Consumption in Nigeria. Sustainability 2020, 12, 3241. https://doi.org/10.3390/su12083241
Odoemena KG, Walters JP, Kleemann HM. A System Dynamics Model of Supply-Side Issues Influencing Beef Consumption in Nigeria. Sustainability. 2020; 12(8):3241. https://doi.org/10.3390/su12083241
Chicago/Turabian StyleOdoemena, Kelechukwu G., Jeffrey P. Walters, and Holger Maximilian Kleemann. 2020. "A System Dynamics Model of Supply-Side Issues Influencing Beef Consumption in Nigeria" Sustainability 12, no. 8: 3241. https://doi.org/10.3390/su12083241
APA StyleOdoemena, K. G., Walters, J. P., & Kleemann, H. M. (2020). A System Dynamics Model of Supply-Side Issues Influencing Beef Consumption in Nigeria. Sustainability, 12(8), 3241. https://doi.org/10.3390/su12083241

