Living under a Fluctuating Climate and a Drying Congo Basin
Abstract
1. Introduction
2. Methods and Materials
2.1. The Mpoko Watershed (Central African Republic)
2.2. The So’o Watershed (Cameroon)
2.3. The Masako Watershed (Democratic Republic of Congo)
3. Results
3.1. Climatic and Rainfall Variability in the Congo Basin
3.1.1. Evolution of Thermal Extremes in the Congo Basin
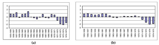
3.1.2. Rainfall Variation
3.1.3. Impacts of Rainfall Variability on the Surface Flows (Runoffs) in the Congo Basin
3.2. Impacts of Hydroclimatic Variability on Rural Livelihoods in the Congo Basin
3.2.1. Farmer Perceptions on Variation and Changes
3.2.2. Impact on Agricultural Sector
3.2.3. Impact on the Availability of Non-Timber Forest Products
3.2.4. Water Availability and Quality
4. Discussion
4.1. Interannual Evolution of Rainfall and Surface Flows (Runoff) in the Studied Sites
4.2. Impact of Water Cycle Modification on Rural Population
5. Conclusions
Author Contributions
Funding
Acknowledgments
Conflicts of Interest
References
- Andréassian, V. Waters and forests: From historical controversy to scientific debate. J. Hydrol. 2004, 29, 1–27. [Google Scholar] [CrossRef]
- Vörösmarty, C.J.; Lévêque, C.; Revenga, C. Chapter 7—Fresh Water. In Ecosystems and Human Well-Being. (1) Current State and Trends; Hassan, R., Scholes, R., Ash, N., Eds.; Millennium Ecosystem Assessment; Island Press: Washington, DC, USA, 2006; pp. 165–207. [Google Scholar]
- Hamilton, L.S. Forests and Water: A Thematic Study Prepared in the Framework of the Global Forest Resources Assessment 2005; Forestry Paper No. 155; Food and Agriculture Organization of the United Nations: Rome, Italy, 2008. [Google Scholar]
- MEA. Ecosystems and Human Well-Being: Synthesis; Island Press: Washington, DC, USA, 2005. [Google Scholar]
- Bonell, M.; Bruijnzeel, L.A. (Eds.) Forests, Water and People in the Humid Tropics; Cambridge University Press: Cambridge, UK, 2005. [Google Scholar]
- FAO. Sustainable Use and Management of Freshwater Resources: The Role of Forests. In State of the World’s Forests; Food and Agriculture Organization of the United Nations: Rome, Italy, 2003. [Google Scholar]
- FAO. The New Generation of Watershed Management PROGRAMMES and Projects. A Resource Book for Practitioners and Local Decision-Makers Based on the Findings and Recommendations of an FAO Review; FAO Forestry Paper No. 150; Food and Agriculture Organization of the United Nations: Rome, Italy, 2006. [Google Scholar]
- FAO; CIFOR. Forests and Floods: Drowning in Fiction or THRIVING on Facts? RAP Publication No. 2005/03, Forest Perspectives No. 2. Bangkok; Food and Agriculture Organization of the United Nations: Rome, Italy; Center for International Forestry Research: Bogor Barat, Indonesia, 2005. [Google Scholar]
- Imbach, P.; Molina, L.; Locatelli, B.; Roupsard, O.; Ciais, P.; Corrales, L.; Mahé, G. Climatology-based regional modeling of potential vegetation and average annual long-term runoff for Mesoamerica. Hydrol. Earth Syst. Sci. 2010, 14, 1801–1817. [Google Scholar] [CrossRef]
- Locatelli, B.; Imbach, P.; Vignola, R.; Metzger, M.J.; Leguíua Hidalgo, E.J. Ecosystem services and hydroelectricity in Central America: Modeling service flows with fuzzy logic and expert knowledge. Reg Environ. Change 2011, 11, 393–404. [Google Scholar] [CrossRef]
- ACPC. Climate Change and Water in Africa: Analysis of Knowledge Gaps and Needs; Working Paper No. 4.; United Nations Economic Commission for Africa: Addis Ababa, Ethiopia, 2011. [Google Scholar]
- Brooks, E.G.E.; Allen, D.J.; Darwall, W.R.T. (Eds.) The Status and Distribution of Freshwater Biodiversity in Central Africa; International Union for Conservation of Nature: Cambridge, UK; Gland, Switzerland, 2011. [Google Scholar]
- Wohl, E.E. Hydrology and Discharge. In Large Rivers: Geomorphology and Management; Gupta, A., Ed.; Wiley: Chichester, UK, 2007; pp. 29–44. [Google Scholar]
- Brummett, R.; Tanania, C.; Pandi, A.; Ladel, J.; Munzini, Y.; Russell, A.; Stiassny, M.; Thieme, M.; White, S.; Davies, D. Ressources en Eau et Biens et Services liés à l’écosystème Forestier. In Les forêts du Bassin du Congo. Etat des Forêts 2008; Wasseige, C., Devers, D., de Marcen, P., Eba’aAtyi, R., Nasi, R., Mayaux, P.H., Eds.; Office des Publications de l’Union Européenne: Brussels, Belgium, 2009; pp. 145–161. [Google Scholar]
- MacDonald, A.M.; Calow, R.C.; Macdonald, D.M.; Darling, W.G.; O Dochartaigh, B.E. What impact will climate change have on rural groundwater supplies in Africa? Hydrol. Sci. 2009, 544, 690–703. [Google Scholar] [CrossRef]
- De Wasseige, C.; Devers, D.; De Marcken, P.; Eba’aAtyi, R.; Nasi, R.; Mayaux, P. (Eds.) Les Forêts du Bassin du Congo—Etat des Forêts 2008; Office des Publications de l’Union Européenne: Luxembourg, 2009. [Google Scholar]
- Boko, M.; Niang, I.; Nyong, A.; Vogel, A.; Andrew, G.; Medany, M.; Osman-Elasha, B.; Tabo, R.; Yanda, P.Z. Africa Contribution of Working Group II to the fourth assessment report of the Intergovernmental Panel on Climate Change. In Climate Change 2007: Impacts, Adaptation and Vulnerability; Parry, M.L., Canziani, O.F., Palutikof, J.P., Eds.; Cambridge University Press: Cambridge, UK, 2007. [Google Scholar]
- Hubert, R.; Carbonnel, J.P. Approche statistique de l’aridification de l’Afrique de L’Ouest. J. Hydrol. 1987, 95, 165–183. [Google Scholar] [CrossRef]
- Mahé, G.; Olivry, J.C. Variations des précipitations et des écoulements en Afrique de l’Ouest et Centrale de 1951 à 1989. Sécheresse 1995, 1, 109–117. [Google Scholar]
- Orange, D.; Feizoure, C.; Wesselink, A.; Callede, J. Variabilité hydrologiques de l’Oubangui à Bangui au cours du XXe siècle. In Proc. Actes des Journées Scientifiques FRIEND-AOC; Laboratoire d’Hydrologie, UR 22, ORSTOM, Montpellier: Cotonou, Bénin, 1995. [Google Scholar]
- Laraque, A.; Mahé, G.; Orange, D.; Marieu, B. Spatiotemporal variations in hydrological regimes within Central Africa during the XXth century. J. Hydrol. 2001, 245, 104–117. [Google Scholar] [CrossRef]
- Nguimalet, C.-R. Le Cycle et la Gestion de l’eau à Bangui (République Centrafricaine). Approche Hydrogéomorphologique du Site d’une Capitale Africaine. Ph.D. Thesis, Géographie, Urbanisme et Aménagement, Université Lumière Lyon 2, Lyon, France, 2004. [Google Scholar]
- SighaNkamdjou, L. Fonctionnement Hydrochimique d’un écosystème Forestier de l’Afrique Centrale: La Ngoko à Mouloundou (Sud-Est du Cameroun). Ph.D. Thesis, Univ. Paris (Orsay), Paris, France, 1993. [Google Scholar]
- Censier, C. Les Pluies de Mangues à Bangui; OROSTOM: Paris, France, 1993. [Google Scholar]
- Feïzoure, C.T. Les Conséquences de la Variabilité Hydroclimatique sur l’érosion Dans le Bassin de l’Oubangui (République Centrafricaine); Mémoire de DEA; climat et contraintes climatiques; Université de Bourgogne: Dijon, France, 1994. [Google Scholar]
- Ndjendole, S. Contraintes Pluviométriques sur les Cultures Annuelles en Centrafrique: L’exemple de la Culture Cotonnière. Ph.D. Thesis, Univ. Géographie, Spécialité Climatologie, Université de Bourgogne, Dijon, France, 2001. [Google Scholar]
- Bouka Biona, C.; Marcel Mpounza, M. Impacts des Effets Actuels et Attendus du Changement Climatique en République du Congo; 1 Laboratoire de Physique de l’Atmosphère, Faculté des Sciences de l’Université Marien Ngouabi: Brazzaville, Republic of Congo, 2010. [Google Scholar]
- Binet, D.; Gobert, B.; Maloueki, L. El Nino-like warm events in the Eastern Atlantic (6°N, 20°S) and fish availability from Congo to Angola (1964–1999). Aquat. Living Resour. 2001, 14, 99–113. [Google Scholar] [CrossRef]
- Bele, M.Y.; Somorin, O.A.; Sonwa, D.J.; Nkem, J.N.; Locatelli, B. Forest and adaptation policies in Cameroon. Mitig. Adapt. Strat. Glob. Change 2010, 16, 369–385. [Google Scholar] [CrossRef]
- Brown, H.C.P.; Nkem, J.N.; Sonwa, D.J.; Bele, M.Y. Institutional adaptive capacity and climate change response in the Congo Basin forests of Cameroon. Mitig. Adapt. Strateg. Glob. Change 2010, 15, 263–282. [Google Scholar] [CrossRef]
- Sonwa, D.; Bele, Y.M.; Somorin, O.; Jum, C.; Nkem, J. Adaptation for forests and dependent communities in the Congo Basin: The CoFCCA experience. ETRFN News 2009, 50, 93–100. [Google Scholar]
- Sonwa, D.J.; Bele, Y.M.; Somorin, O.A.; Nkem, J.N. Central Africa is not only carbon stock: Preliminary efforts to promote adaptation to climate change for forest and communities in Congo Basin. Nat. Faune 2011, 25, 52–57. [Google Scholar]
- Sonwa, D.J.; Nkemn, J.; Idinoba, M.E.; Bele, Y.M.; Jum, C. Building regional priorities in forests for development and adaptation to climate change in the Congo Basin. Mitig. Adapt. Strat. Global Change 2012, 17, 441–450. [Google Scholar] [CrossRef]
- Acreman, M.C.; Dunbar, M.J. Defining environmental river flow requirements—A review. Hydrol. Earth Syst. Sci. 2004, 8, 861–876. [Google Scholar] [CrossRef]
- Kouakou, E.; Koné, B.; N’Go1, A.; Cissé, G.; Ifejikasperanza, C.; Savané, I. Ground water sensitivity to climate variability in the white Bandama basin, Ivory Coast. Springer Plus 2014, 3, 226. [Google Scholar] [CrossRef]
- Olivry, J.C. Fleuves et Rivières du Cameroun; Coll. Monographies Hydrologiques; MESRES-ORSTOM: Paris, France, 1986. [Google Scholar]
- Hubert, P.; Carbonnel, J.P.; Chaouche, A. Segmentation des séries hydrométéorologiques. Application à des séries de précipitations et de débits de l’Afrique de l’Ouest. J. Hydrol. 1989, 10, 349–367. [Google Scholar]
- Pettit, A.N. A non-parametric approach to the change point problem. Appl. Stat. 1979, 28, 126–230. [Google Scholar] [CrossRef]
- Lubes, H.; Massonm, J.M.; Servat, E.; Kouame, B.; Boyer, J.F. Caractérisation de Fluctuations Dans une Série Chronologique par Application de Tests Statistiques, Etude Bibliographique; Programme ICCARE Rapport No. 3.; ORSTOM: Montpellier, France, 1994. [Google Scholar]
- Hach Company. Hach Handbook of Water Analysis; Hach Company: Loveland, CO, USA, 2000. [Google Scholar]
- Rodier, J. Analyse de l’eau Naturelle, eau Résiduaire et eau de la Mer; Dunod: Paris, France, 1978. [Google Scholar]
- Tharme, R.E. A global perspective on environmental flow assessment: Emerging trends in the development and application of environmental flow methodologies for rivers. River Res. Applic. 2003, 19, 397–441. [Google Scholar] [CrossRef]
- Callède, J.; Arquisou, G. Données climatiques recueillies à la station bioclimatologique de Bangui pendant la période 1963–1971. Cahiers ORSTOM. Série Hydrologique 1972, 9, 3–26. [Google Scholar]
- Suchel, J.B. Les Climats du Cameroun. Ph.D. Thesis, Bordeaux Montaigne University, Pessac, France, 1988. [Google Scholar]
- Mcsweeney, C.; New, M.; Lizcano, G. UNDP Climate Change Country Profiles: Cameroon; School of Geography and Environment, University of Oxford: Oxford, UK, 2009; Available online: http://countryprofiles.geog.ox.ac.uk/UNDP_reports/Cameroon/Cameroon.lowres.report.pdf (accessed on 16 March 2020).
- Dzana, J.-G.; Ngoupayou, J.R.N.; Tchawa, P. The Sanaga discharge at the Edea Catchment outlet (Cameroon): An example of hydrologic responses of a tropical rain-fed river system to changes in precipitation and groundwater inputs and to flow regulation. River Res. Applic. 2011, 27, 754–771. [Google Scholar] [CrossRef]
- Assani, A.A.; Stichellout, E.; Roy, A.G.; Petit, F. Comparison of impacts of dams on the annual maximum flow characteristics in three regulated hydrologic regimes in Quebec (Canada). Hydrol. Process. 2006, 20, 3485–3501. [Google Scholar] [CrossRef]
- Molua, E.L. Turning up the heat on African agriculture: The impact of climate change on Cameroon’s agriculture. Afr. J. Agric. Resour. Econ. 2008, 2, 45–64. [Google Scholar]
- Lecerf, A.; Richardson, J.S. Biodiversity-ecosystem function research: Insights gained from streams. River Res. Applic 2009, 26, 45–54. [Google Scholar] [CrossRef]
- Welcomme, R.L. Relationships between fisheries and the integrity of river systems. Regul. Rivers: Res. Mgmt 1995, 11, 121–136. [Google Scholar] [CrossRef]
- Dudgeon, D.; Arthington, A.H.; Gessner, M.O.; Kawabata, Z.-I.; Knowler, D.J.; Lévêque, C.; Naiman, R.J.; Prieur-Richard, A.-H.; Soto, D.; Stiassny, M.L.J.; et al. Freshwater biodiversity: Importance, threats, status and conservation challenges. Biol. Rev. 2006, 81, 163–182. [Google Scholar] [CrossRef]
- Palmer, M.A.; Reidyliermann, C.A.; Nilsson, C.; Flörke, M.; Alcamo, J.; Sam Lake, P.; Bond, N. Climate change and the world’s river basins: Anticipating management options. Front. Ecol. Environ. 2008, 6, 81–89. [Google Scholar] [CrossRef]
- AQUASTAT—FAO’s Global Information System on Water and Agriculture. Available online: http://www.fao.org/aquastat/en/ (accessed on 16 March 2020).
- Lasco, R.D.; Cruz, R.V.O.; Pulhin, J.M.; Pulhin, F.B. Assessing Climate Change Impacts, Adaptation and Vulnerability: The Case of the Pantabangan-Carranglan Watershed; World Agroforestry Centre and College of Forestry and Natural Resources, University of the Philippines: Los Baños, Philippines, 2010. [Google Scholar]
- African Development Bank. AfDB Group Annual Report 2010; African Development Bank: Abidjan, Côte d’Ivoire, 2011; Available online: https://www.afdb.org/fileadmin/uploads/afdb/Documents/Publications/Annual%20Report%202010%20EN.pdf (accessed on 16 March 2020).
- Gyampoh, B.A.; Idinoba, M.; Amisah, S. Water scarcity under a changing climate in Ghana: Options for livelihoods adaptation. Development 2008, 51, 415–417. [Google Scholar] [CrossRef]
- Elliot, M.; Armstrong, A.; Lobuglio, J.; Bartram, J. Technologies for Climate Change Adaptation—The Water Sector; De Lopez, T., Ed.; UNEP Risoe Centre: Roskilde, Denmark, 2011. [Google Scholar]
- Lebel, L.; Xu, J.; Bastakoti, R.C.; Lamba, A. Pursuits of adaptiveness in the shared rivers of Monsoon Asia. Int. Environ. Agreem. 2010, 10, 355–375. [Google Scholar] [CrossRef]
- Kamdem-Toham, A.; d’Amico, J.; Olson, D.M.; Blom, A.; Trowbridge, L.; Burgess, N.; Thieme, M.; Abell, R.; Carroll, R.W.; Gartlan, S.; et al. A Vision for Biodiversity Conservation in Central Africa: Biological Priorities for Conservation in the Guinean-Congolian Forest and Freshwater Region; WWF: Washington, DC, USA, 2006. [Google Scholar]
- Reid, M.A.; Ogden, R.W. Trend, variability or extreme event? The importance of long-term perspectives in river ecology. River Res. Applic. 2006, 22, 167–177. [Google Scholar] [CrossRef]
- Sonwa, D.J.; Walker, S.; Nasi, R.; Kanninen, M. Potential synergies of the main current forestry efforts and climate change mitigation in Central Africa. Sustain. Sci. 2011, 6, 59–67. [Google Scholar] [CrossRef]
- Dargie, G.C.; Lewis, S.L.; Lawson, I.T.; Mitchard, E.T.A.; Page, S.E.; Bocko, Y.E.; Ifo, S.A. Age, extent and carbon storage of the central Congo Basin peatland complex. Nature 2017, 542, 86–90. [Google Scholar] [CrossRef] [PubMed]
- Miles, L.; Ravilious, C.; García-Rangel, S.; de Lamo, X.; Dargie, G.; Lewis, S. Carbon, Biodiversity and Land-Use in the Central Congo Basinpeatlands. 2017. Available online: https://wedocs.unep.org/bitstream/handle/20.500.11822/22918/Congo_Peatland_FR.pdf?sequence=2 (accessed on 16 March 2020).
- Sonwa, D.J. Forest and Climate Change Response in Africa. In Proceedings of the ASC—TUFS ‘Kick-off’ Symposium, Tokyo University of Foreign Studies, African Studies Center—Tokyo University of Foreign Studies (ASC—TUFS), Tokyo, Japan, 3 November 2017; Kirikoshi, H., Matsunami, Y., Takeuchi, S., Midorikawa, N., Eds.; Frontiers of African Studies: Tokyo, Japan, 2018; pp. 71–82. [Google Scholar]




















| Problems | Potential Solutions and Management |
|---|---|
| Deforestation | Afforestation |
| Drying up of drinking water points | Consumption of stream water Water economy Exodus for the search of water Construction of deep wells |
| Decrease in agricultural productivity | Rehabilitation of wetlands for agriculture Rural exodus in search of food Change of activities Cultivation in nurseries Use of organic fertilizers |
| Decrease in fishing | Practice of animal farming New methods of fishing |
| Loss in aquatic biodiversity (some species of fish) | Practice of aquaculture |
© 2020 by the authors. Licensee MDPI, Basel, Switzerland. This article is an open access article distributed under the terms and conditions of the Creative Commons Attribution (CC BY) license (http://creativecommons.org/licenses/by/4.0/).
Share and Cite
Sonwa, D.J.; Oumarou Farikou, M.; Martial, G.; Félix, F.L. Living under a Fluctuating Climate and a Drying Congo Basin. Sustainability 2020, 12, 2936. https://doi.org/10.3390/su12072936
Sonwa DJ, Oumarou Farikou M, Martial G, Félix FL. Living under a Fluctuating Climate and a Drying Congo Basin. Sustainability. 2020; 12(7):2936. https://doi.org/10.3390/su12072936
Chicago/Turabian StyleSonwa, Denis Jean, Mfochivé Oumarou Farikou, Gapia Martial, and Fiyo Losembe Félix. 2020. "Living under a Fluctuating Climate and a Drying Congo Basin" Sustainability 12, no. 7: 2936. https://doi.org/10.3390/su12072936
APA StyleSonwa, D. J., Oumarou Farikou, M., Martial, G., & Félix, F. L. (2020). Living under a Fluctuating Climate and a Drying Congo Basin. Sustainability, 12(7), 2936. https://doi.org/10.3390/su12072936

